5-Hydroxymethylfurfural Hydrodeoxygenation to 2,5-Dimethylfuran in Continuous-Flow System over Ni on Nitrogen-Doped Carbon
Abstract
1. Introduction
2. Experimental Methods
2.1. Materials
2.2. Catalyst Preparation
2.3. Catalyst Characterization
2.4. Catalytic Experiments
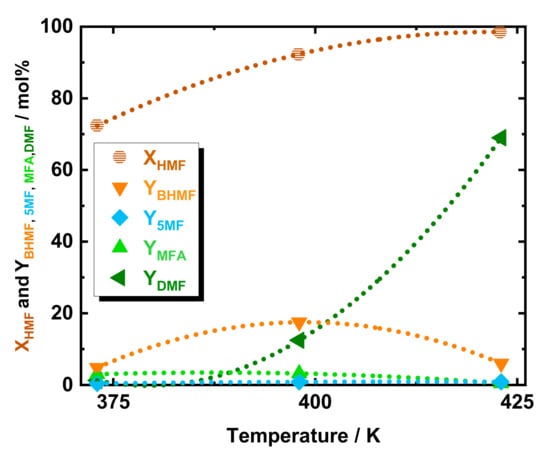
3. Result and Discussion
4. Conclusions
Supplementary Materials
Author Contributions
Funding
Acknowledgments
Conflicts of Interest
References
- Ravishankara, A.R.; Rudich, Y.; Pyle, J.A. Role of Chemistry in Earth’s Climate. Chem. Rev. 2015, 115, 3679–3681. [Google Scholar] [CrossRef] [PubMed]
- Schellnhuber, H.J. Why the right climate target was agreed in Paris. Nat. Clim. Chang. 2016, 6, 649–653. [Google Scholar] [CrossRef]
- Sheldon, R.A. Metrics of Green Chemistry and Sustainability: Past, Present, and Future. ACS Sustain. Chem. Eng. 2017, 6, 32–48. [Google Scholar] [CrossRef]
- Isikgor, F.H.; Becer, C.R. Lignocellulosic biomass: A sustainable platform for the production of bio-based chemicals and polymers. Polym. Chem. 2015, 6, 4497–4559. [Google Scholar] [CrossRef]
- Graglia, M.; Kanna, N.; Esposito, D. Lignin Refinery: Towards the Preparation of Renewable Aromatic Building Blocks. ChemBioEng Rev. 2015, 2, 377–392. [Google Scholar] [CrossRef]
- Sheldon, R.A. Green and sustainable manufacture of chemicals from biomass: State of the art. Green Chem. 2014, 16, 950–963. [Google Scholar] [CrossRef]
- Zhou, C.H.; Xia, X.; Lin, C.X.; Tong, D.S.; Beltramini, J. Catalytic conversion of lignocellulosic biomass to fine chemicals and fuels. Chem. Soc. Rev. 2011, 40, 5588–5617. [Google Scholar] [CrossRef]
- Alonso, D.M.; Bond, J.Q.; Dumesic, J.A. Catalytic conversion of biomass to biofuels. Green Chem. 2010, 12, 1493–1513. [Google Scholar] [CrossRef]
- Liao, Y.; Koelewijn, S.-F.; van den Bossche, G.; van Aelst, J.; van den Bosch, S.; Renders, T.; Navare, K.; Nicolaï, T.; van Aelst, K.; Maesen, M. A sustainable wood biorefinery for low–carbon footprint chemicals production. Science 2020, 367, 1385–1390. [Google Scholar] [CrossRef]
- Besson, M.; Gallezot, P.; Pinel, C. Conversion of biomass into chemicals over metal catalysts. Chem. Rev. 2014, 114, 1827–1870. [Google Scholar] [CrossRef]
- Kumru, B.; Mesa, J.M.; Antonietti, M.; Al-Naji, M. Metal-Free Visible-Light-Induced Dithiol–Ene Clicking via Carbon Nitride to Valorize 4-Pentenoic Acid as a Functional Monomer. ACS Sustain. Chem. Eng. 2019, 7, 17574–17579. [Google Scholar] [CrossRef]
- Al-Naji, M.; Puertolas, B.; Kumru, B.; Cruz, D.; Baumel, M.; Schmidt, B.; Tarakina, N.V.; Perez-Ramirez, J. Sustainable Continuous Flow Valorization of gamma-Valerolactone with Trioxane to alpha-Methylene-gamma-Valerolactone over Basic Beta Zeolites. Chemsuschem 2019, 12, 2628–2636. [Google Scholar] [CrossRef] [PubMed]
- Al-Naji, M.; Popova, M.; Chen, Z.; Wilde, N.; Gläser, R. Aqueous-Phase Hydrogenation of Levulinic Acid Using Formic Acid as a Sustainable Reducing Agent Over Pt Catalysts Supported on Mesoporous Zirconia. ACS Sustain. Chem. Eng. 2019, 8, 393–402. [Google Scholar] [CrossRef]
- Al-Naji, M.; van Aelst, J.; Liao, Y.; d’Hullian, M.; Tian, Z.; Wang, C.; Gläser, R.; Sels, B.F. Pentanoic acid from γ-valerolactone and formic acid using bifunctional catalysis. Green Chem. 2020, 22, 1171–1181. [Google Scholar] [CrossRef]
- Corma, A.; Iborra, S.; Velty, A. Chemical routes for the transformation of biomass into chemicals. Chem. Rev. 2007, 107, 2411–2502. [Google Scholar] [CrossRef]
- Gerardy, R.; Debecker, D.P.; Estager, J.; Luis, P.; Monbaliu, J.M. Continuous Flow Upgrading of Selected C2-C6 Platform Chemicals Derived from Biomass. Chem. Rev. 2020. [Google Scholar] [CrossRef] [PubMed]
- Enviromental Paper Network. International Annual Report. 2018. Available online: https://environmentalpaper.org/tools-and-resources/reports/ (accessed on 29 July 2020).
- Schutyser, W.; Renders, T.; van den Bosch, S.; Koelewijn, S.F.; Beckham, G.T.; Sels, B.F. Chemicals from lignin: An interplay of lignocellulose fractionation, depolymerisation, and upgrading. Chem. Soc. Rev. 2018, 47, 852–908. [Google Scholar] [CrossRef] [PubMed]
- Werpy, T.; Petersen, G. Top Value Added Chemicals from Biomass: Vol.1—Results of Screening for Potential Candidates from Sugars and Synthesis Gas; Report No. NREL/TP-510–35523; U.S. Department of Energy: Oak Ridge, TN, USA, 2004.
- Bozell, J.J.; Petersen, G.R. Technology development for the production of biobased products from biorefinery carbohydrates-the US Department of Energy’s “Top 10” revisited. Green Chem. 2010, 12, 539–554. [Google Scholar] [CrossRef]
- Zhang, D.; Dumont, M.-J. Advances in polymer precursors and bio-based polymers synthesized from 5-hydroxymethylfurfural. J. Polym. Sci. Pol. Chem. 2017, 55, 1478–1492. [Google Scholar] [CrossRef]
- Esposito, D.; Antonietti, M. Redefining biorefinery: The search for unconventional building blocks for materials. Chem. Soc. Rev. 2015, 44, 5821–5835. [Google Scholar] [CrossRef]
- Román-Leshkov, Y.; Barrett, C.J.; Liu, Z.Y.; Dumesic, J.A. Production of dimethylfuran for liquid fuels from biomass-derived carbohydrates. Nature 2007, 447, 982–985. [Google Scholar] [CrossRef] [PubMed]
- Climent, M.J.; Corma, A.; Iborra, S. Conversion of biomass platform molecules into fuel additives and liquid hydrocarbon fuels. Green Chem. 2014, 16, 516–547. [Google Scholar] [CrossRef]
- Braun, M.; Antonietti, M. A continuous flow process for the production of 2, 5-dimethylfuran from fructose using (non-noble metal based) heterogeneous catalysis. Green Chem. 2017, 19, 3813–3819. [Google Scholar] [CrossRef]
- van Putten, R.J.; van der Waal, J.C.; de Jong, E.; Rasrendra, C.B.; Heeres, H.J.; de Vries, J.G. Hydroxymethylfurfural, a versatile platform chemical made from renewable resources. Chem. Rev. 2013, 113, 1499–1597. [Google Scholar] [CrossRef] [PubMed]
- Chen, S.; Wojcieszak, R.; Dumeignil, F.; Marceau, E.; Royer, S. How Catalysts and Experimental Conditions Determine the Selective Hydroconversion of Furfural and 5-Hydroxymethylfurfural. Chem. Rev. 2018, 118, 11023–11117. [Google Scholar] [CrossRef]
- Zhong, S.; Daniel, R.; Xu, H.; Zhang, J.; Turner, D.; Wyszynski, M.L.; Richards, P. Combustion and Emissions of 2,5-Dimethylfuran in a Direct-Injection Spark-Ignition Engine. Energy Fuels 2010, 24, 2891–2899. [Google Scholar] [CrossRef]
- Teixeira, I.F.; Lo, B.T.; Kostetskyy, P.; Stamatakis, M.; Ye, L.; Tang, C.C.; Mpourmpakis, G.; Tsang, S.C. From Biomass-Derived Furans to Aromatics with Ethanol over Zeolite. Angew. Chem. Int. Ed. 2016, 55, 13061–13066. [Google Scholar] [CrossRef]
- Mendoza-Mesa, J.; Brandi, F.; Shekova, I.; Antonietti, M.; Al-Naji, M. p-xylene from 2,5-dimethylfuran and acrylic acid using zeolite in continuous flow system. Green Chem. 2020. under review. [Google Scholar]
- Luo, J.; Arroyo-Ramírez, L.; Wei, J.; Yun, H.; Murray, C.B.; Gorte, R.J. Comparison of HMF hydrodeoxygenation over different metal catalysts in a continuous flow reactor. Appl. Catal. A Gen. 2015, 508, 86–93. [Google Scholar] [CrossRef]
- Yang, P.; Xia, Q.; Liu, X.; Wang, Y. High-yield production of 2,5-dimethylfuran from 5-hydroxymethylfurfural over carbon supported Ni–Co bimetallic catalyst. J. Energy Chem. 2016, 25, 1015–1020. [Google Scholar] [CrossRef]
- Han, W.; Tang, M.; Li, J.; Li, X.; Wang, J.; Zhou, L.; Yang, Y.; Wang, Y.; Ge, H. Selective hydrogenolysis of 5-hydroxymethylfurfural to 2, 5-dimethylfuran catalyzed by ordered mesoporous alumina supported nickel-molybdenum sulfide catalysts. Appl. Catal. B Environ. 2020, 268, 118748. [Google Scholar] [CrossRef]
- Goyal, R.; Sarkar, B.; Bag, A.; Siddiqui, N.; Dumbre, D.; Lucas, N.; Bhargava, S.K.; Bordoloi, A. Studies of synergy between metal–support interfaces and selective hydrogenation of HMF to DMF in water. J. Catal. 2016, 340, 248–260. [Google Scholar] [CrossRef]
- Gérardy, R.; Morodo, R.; Estager, J.; Luis, P.; Debecker, D.P.; Monbaliu, J.-C.M. Sustaining the Transition from a Petrobased to a Biobased Chemical Industry with Flow Chemistry. Top. Curr. Chem. 2018, 377, 1. [Google Scholar]
- Gérardy, R.; Emmanuel, N.; Toupy, T.; Kassin, V.-E.; Tshibalonza, N.N.; Schmitz, M.; Monbaliu, J.-C.M. Continuous Flow Organic Chemistry: Successes and Pitfalls at the Interface with Current Societal Challenges. Eur. J. Org. Chem. 2018, 2018, 2301–2351. [Google Scholar]
- Gomollón-Bel, F. Ten Chemical Innovations That Will Change Our World_ IUPAC identifies emerging technologies in Chemistry with potential to make our planet more sustainable. Chem. Int. 2019, 41, 12–17. [Google Scholar] [CrossRef]
- Brandi, F.; Bäumel, M.; Molinari, V.; Shekova, I.; Lauermann, I.; Heil, T.; Antonietti, M.; Al-Naji, M. Nickel on nitrogen-doped carbon pellets for continuous-flow hydrogenation of biomass-derived compounds in water. Green Chem. 2020, 22, 2755–2766. [Google Scholar] [CrossRef]
- Bäumel, M. Upgrading of Lignocellulose-Derived Sugars to Value-Added Chemicals via Heterogeneously Catalyzed Continuous-Flow Processes. Ph.D. Thesis, Technische Universität Berlin, Berlin, Germany, 1 October 2019. [Google Scholar]
- Luo, J.; Yu, J.; Gorte, R.J.; Mahmoud, E.; Vlachos, D.G.; Smith, M.A. The effect of oxide acidity on HMF etherification. Catal. Sci. Technol. 2014, 4, 3074–3081. [Google Scholar] [CrossRef]
- Lanzafame, P.; Papanikolaou, G.; Perathoner, S.; Centi, G.; Migliori, M.; Catizzone, E.; Aloise, A.; Giordano, G. Direct versus acetalization routes in the reaction network of catalytic HMF etherification. Catal. Sci. Technol. 2018, 8, 1304–1313. [Google Scholar] [CrossRef]
- Raveendra, G.; Rajasekhar, A.; Srinivas, M.; Prasad, P.S.S.; Lingaiah, N. Selective etherification of hydroxymethylfurfural to biofuel additives over Cs containing silicotungstic acid catalysts. Appl. Catal. A Gen. 2016, 520, 105–113. [Google Scholar] [CrossRef]




| Catalyst | C/wt.% | N/wt.% | C/N Ratio | Ni/wt.% | ABET/m2 g−1 |
|---|---|---|---|---|---|
| NDC | 75 | 3.7 | 22 | - | 755 |
| 35Ni/NDC | 55 | 2.8 | 20 | 34.7 | 578 |
© 2020 by the authors. Licensee MDPI, Basel, Switzerland. This article is an open access article distributed under the terms and conditions of the Creative Commons Attribution (CC BY) license (http://creativecommons.org/licenses/by/4.0/).
Share and Cite
Brandi, F.; Bäumel, M.; Shekova, I.; Molinari, V.; Al-Naji, M. 5-Hydroxymethylfurfural Hydrodeoxygenation to 2,5-Dimethylfuran in Continuous-Flow System over Ni on Nitrogen-Doped Carbon. Sustain. Chem. 2020, 1, 106-115. https://doi.org/10.3390/suschem1020009
Brandi F, Bäumel M, Shekova I, Molinari V, Al-Naji M. 5-Hydroxymethylfurfural Hydrodeoxygenation to 2,5-Dimethylfuran in Continuous-Flow System over Ni on Nitrogen-Doped Carbon. Sustainable Chemistry. 2020; 1(2):106-115. https://doi.org/10.3390/suschem1020009
Chicago/Turabian StyleBrandi, Francesco, Marius Bäumel, Irina Shekova, Valerio Molinari, and Majd Al-Naji. 2020. "5-Hydroxymethylfurfural Hydrodeoxygenation to 2,5-Dimethylfuran in Continuous-Flow System over Ni on Nitrogen-Doped Carbon" Sustainable Chemistry 1, no. 2: 106-115. https://doi.org/10.3390/suschem1020009
APA StyleBrandi, F., Bäumel, M., Shekova, I., Molinari, V., & Al-Naji, M. (2020). 5-Hydroxymethylfurfural Hydrodeoxygenation to 2,5-Dimethylfuran in Continuous-Flow System over Ni on Nitrogen-Doped Carbon. Sustainable Chemistry, 1(2), 106-115. https://doi.org/10.3390/suschem1020009

