Abstract
Alkali-based CO2 sorbents were prepared from a novel material (i.e., Laminaria hyperborea). The use of this feedstock, naturally containing alkali metals, enabled a simple, green and low-cost route to be pursued. In particular, raw macroalgae was pyrolyzed at 800 °C. The resulting biochar was activated with either CO2 or KOH. KOH–activated carbon (AC) had the largest surface area and attained the highest CO2 uptake at 35 °C and 1 bar. In contrast, despite much lower porosity, the seaweed-derived char and its CO2-activated counterpart outweighed the CO2 sorption performance of KOH–AC and commercial carbon under simulated post-combustion conditions (53 °C and 0.15 bar). This was ascribed to the greater basicity of char and CO2–AC due to the presence of alkali metal-based functionalities (i.e., MgO) within their structure. These were responsible for a sorption of CO2 at lower partial pressure and higher temperature. In particular, the CO2–AC exhibited fast sorption kinetics, facile regeneration and good durability over 10 working cycles. Results presented in the current article will be of help for enhancing the design of sustainable alkali metal-containing CO2 captors.
Keywords:
alkali metals; carbon; CO2 sorption; green sorbents; Laminaria hyperborea; post-combustion 1. Introduction
Today the greenhouse effect is a well-known issue, which is a continuous matter of discussion in the scientific community. CO2 is widely recognized as one of the most relevant greenhouse gases (GHGs). At present, its emissions are mainly due to the use of unrenewable energy sources (fossil fuels) such as coal, employed in stationary power plants for electricity generation, and oil, the derivatives of which are used for motor transport [1]. Due to the progressive increase in the CO2 level affecting the atmosphere, the global surface temperature has already increased by 0.8 °C in the 20th Century, and is expected to rise further by 1.4–5.8 °C during the 21st Century [2].
Several carbon capture technologies have been proposed in recent years. At present, the post-combustion route, with specific regard to chemical absorption onto amines, still represents the most ready-to-use approach in the industrial context [3]. This is because post-combustion technology can easily be retrofitted into existing plants. Nevertheless, the use of amine-based solvents poses various disadvantages [4,5]. These include the energy penalty due to the excessive amount of heat required for solvent regeneration, the corrosion affecting the reactor and the amine degradation over more working cycles. For all of these reasons, this technology has not yet been implemented on an industrial scale.
Therefore, the research community has directed its attention towards alternative post-combustion technologies for CO2 capture. Adsorption onto solid materials is a focus of this research. Carbons are one of the most efficient types of sorbents among those available on the market (e.g., zeolites, metal organic frameworks (MOFs), etc.) [6]. Nonetheless, the CO2 sorption performance of virgin activated carbons is adversely affected by higher temperature [7] and lower gas partial pressure [8], which are representative of post-combustion conditions. In fact, in a typical coal-fired power plant, CO2 capture treatment would normally be conducted after flue gas desulfurization (FGD). At this stage, the gas stream is usually at ca. 50 °C and features low carbon dioxide concentrations (10–14%) [9]. Under these conditions, the effect of basicity becomes more important in ensuring a selective sorption of CO2, as the effectiveness of the physisorption mechanism is dramatically reduced. Accordingly, successful attempts at increasing the selectivity of the parent activated carbons under post-combustion conditions were achieved by using carbons as a substrate for amine impregnation [10,11]. However, amine-functionalization inevitably implies an extra step for the preparation of the CO2 chemisorbents, thus involving a longer and costly production process. Furthermore, amino groups tend to leach from the solid support during cyclic regeneration, thereby reducing their capture potential over time [12] and implying the release of compounds that are harmful to the environment. As an alternative to the use of amine-doped solid materials, alkali metal-containing sorbents [13,14,15,16] could be applied for post-combustion capture of CO2. On the other hand, methods for the preparation of alkali metal-based sorbents reported in the literature are not environmentally friendly, as chemicals are required. In addition to this, manufacturing techniques are complex and expensive due to the application of several energy intensive treatments. A series of studies on the use of seaweed for CO2-activated carbon production has been recently published. Ding and Yangxian [17] generated seaweed (Sargassum and Enteromorpha) porous biochars using a single step KOH activation. Both textural properties and surface chemistry (oxygen-containing functional groups) of sorbents were investigated. However, the study did not infer which factor predominantly affected CO2 adsorption. Sargassum horneri-based activated carbons were synthesized by Zeng et al. [18]. Although the high nitrogen content (3.56 wt.%) measured for the algae-derived activated carbons was reported to favor CO2 adsorption, CO2 capture potential was primarily ascribed to the presence of abundant narrow micropores. The same conclusion was reported by Balamar et al. [19], who fabricated CO2 sorbents by applying KOH activation directly on raw seaweed (Sargassum fusiforme). In all the above-mentioned works, the intrinsic alkalinity of the precursor seaweed and its effect on its performance as a CO2-absorber were not considered.
Hence, in view of the points aforementioned, the present work aimed to do the following:
- prepare green CO2 sorbents starting from a novel and widely available feedstock, i.e., Laminaria hyperborea, whose intrinsic high alkalinity should allow the study of this property on CO2 absorption;
- identify the best (low-cost and environmentally sound process, i.e., no chemical addition) activation route to produce reusable CO2 sorbents with high alkalinity.
2. Materials and Methods
2.1. Activated Carbon Preparation
Laminaria hyperborea was collected from Clachan Sound, West Scotland, in the summer season (July). Raw material, defined as LH_S, was water washed in distilled water, air-dried and ground prior to further treatment. Around 5 g of raw seaweed was pyrolyzed under N2 (flow rate of 100 mL·min−1) at 800 °C for 1 h in a horizontal tube furnace at a heating rate of ca. 25 °C·min−1. Char, denoted as LH_S800, was then subjected to two different thermochemical process routes (see Figure 1). The first process route, i.e., CO2 activation, was performed by heating the char up to 700 °C according to a heating rate of 10 °C·min−1. The char was then isothermally held for 30 min. CO2 (flow rate of 0.6 L·min−1) flowed throughout the heating treatment. The second treatment, i.e., KOH activation, entailed mixing char and KOH pellets (Sigma Aldrich, P1767) in a mortar in a 1:4 ratio. Then the char/KOH dry mixture was heated up to 750 °C under N2 (flow rate of 100 mL·min−1) at a heating rate of 5 °C·min−1. Activation temperature was held for 1 h. Following heat-treatment, carbon was sequentially washed with distilled water and 1 M HCl (VWR International, 20252.420) in order to remove any residual potassium-based compounds. CO2 and KOH activation conditions were those that maximized the Brunauer–Emmett–Teller (BET) surface area of the final carbons. CO2 and KOH-activated chars are referred as LH_S800PA and LH_S800CA, respectively.
Figure 1.
Schematic of experimental routes for the production of Laminaria hyperborea–derived activated carbons.
Yields obtained for LH_800, LH_S800PA and LH_S800CA are given in Table S3, Supplementary Materials.
Commercial carbon (designated as AR) was supplied by Chemviron Carbon. Magnesium oxide (cat no. CHE2450) was purchased from Scientific Laboratory Supplies (SLS) Ltd. (Nottingham, UK).
Details of materials produced and used in this study are given in Table 1.
Table 1.
Details about materials produced.
2.2. Activated Carbon Characterization
Measurement of N2 adsorption isotherms was performed on a Quantachrome Autosorb 1C gas sorption analyzer. A relative pressure (P/P0) ranging between approximately 10–3 and 0.99 was considered. Surface areas were calculated by applying the Brunauer–Emmett–Teller (BET) model [20] to the N2 adsorption data over the P/P0 range recommended by ISO-FDIS 9277:2010 [21]. Gurvitsch’s rule (P/P0 = 0.99) [22] was applied for the estimation of total pore volume. Micropore volumes were determined by using the Dubinin–Radushkevich (DR) model (P/P0 < 0.02) [23], whereas mesoporous volumes were obtained from integration of the Barrett–Joyner–Halenda (BJH) distribution (2 < pore diameter (d) < 50 nm). Ultimate analyses were carried out with the use of an elemental analyzer (Flash EA2000), while proximate analyses were performed by using either the British Standards Institution (BSI) procedure [24,25,26] or thermogravimetric analysis (TGA). The morphology of materials was examined with the aid of an EVO MA15 scanning electron microscope (SEM), which was operated with a working distance of 8 to 9 mm and an accelerating voltage of 20 kV using the in-lens detector. In order to make the sample conductive and avoid electric charge effect, the specimens were gold coated using an Emscope SC500 specimen vacuum gold coater and stored in a desiccator prior to analysis. A semi-quantitative analysis of sample inorganic components was conducted using energy-dispersive X-ray (EDX) spectroscopy system software integrated with a scanning electron microscope. X-ray diffraction (XRD) patterns were recorded using a Bruker D8 powder diffractometer system operating with a Cu Kα radiation source. The X-ray patterns were acquired by means of the DIFFRACPlus software and recorded in the 2θ range of 10–80°, with a step width of 0.033 and a time per step of 1 s. In order to identify the main crystalline phases for each sample, XRD patterns were matched to an X-ray diffraction pattern library using the software package Highscore (Panalytic, UK). Basic surface functionalities of materials were measured through Boehm titrations, using the method reported elsewhere [27]. In particular, one gram of each activated carbon was mixed with 50 mL of 0.05 M solutions of either sodium hydroxide (NaOH) or hydrochloric acid (HCl) in vials, which were sealed and shaken for 24 h. Solutions were previously standardized following the procedure suggested by Oickle et al. [28]. The content of the vials was filtered, and 5 mL of each filtrate was pipetted into a beaker. The excess of base or acid was then titrated with either HCl or NaOH, respectively. The amounts of basic and acidic surface groups were determined according to the relationships reported by Goertzen et al. [29] for direct titrations and given in the following equations:
where, basic and acidic are the mmol of basic and acidic surface groups, respectively, per unit mass of carbon (mcarbon), [HCl] and [NaOH] are the concentration values of the standardized solutions, VHClmix and VNaOHmix are the volumes of the standardized solutions mixed with the carbon, VNaOHcons and VHClcons are the volumes of the standardized solutions consumed during titration and DF is a dilution factor equal to 10.
Results were interpreted according to the assumption that NaOH neutralizes all acidic groups (carboxylic, phenolic and lactonic groups) and HCl reacts with all basic groups.
2.3. CO2 Sorption Measurements
CO2 sorption capacities were measured on a Mettler Toledo thermogravimetric analyzer (TGA)/differential scanning calorimeter (DSC) [30]. Samples were initially degassed in N2 (50 mL·min−1) at 120 °C for 30 min. Materials were then cooled down to ca. 35 or 53 °C under N2 prior to measuring CO2 uptake. Gas atmosphere was then changed to pure CO2 or 15% v/v CO2 in N2 (total 50 mL·min−1), and temperature was held for 30 min in order to measure adsorption at a total pressure of 1 bar. Next, temperature was increased up to 100 °C at 5 °C·min−1 to start desorbing CO2. Regeneration was then completed by switching the atmosphere back to N2 and further increasing temperature up to 120 °C. The latter temperature was held for 15 min. Flow rate was kept constant throughout the experiment. In addition, the recyclability of the best performing sample was tested over ten adsorption/desorption cycles. The same program was used, but in this case regeneration was accomplished in just a single step by heating the sample (at 5 °C·min−1) to 120 °C under 15% CO2. The atmosphere during desorption was kept the same as adsorption in order to simulate a rapid temperature swing adsorption (RTSA) as a regeneration strategy, where partial pressure is not changed.
3. Results and Discussion
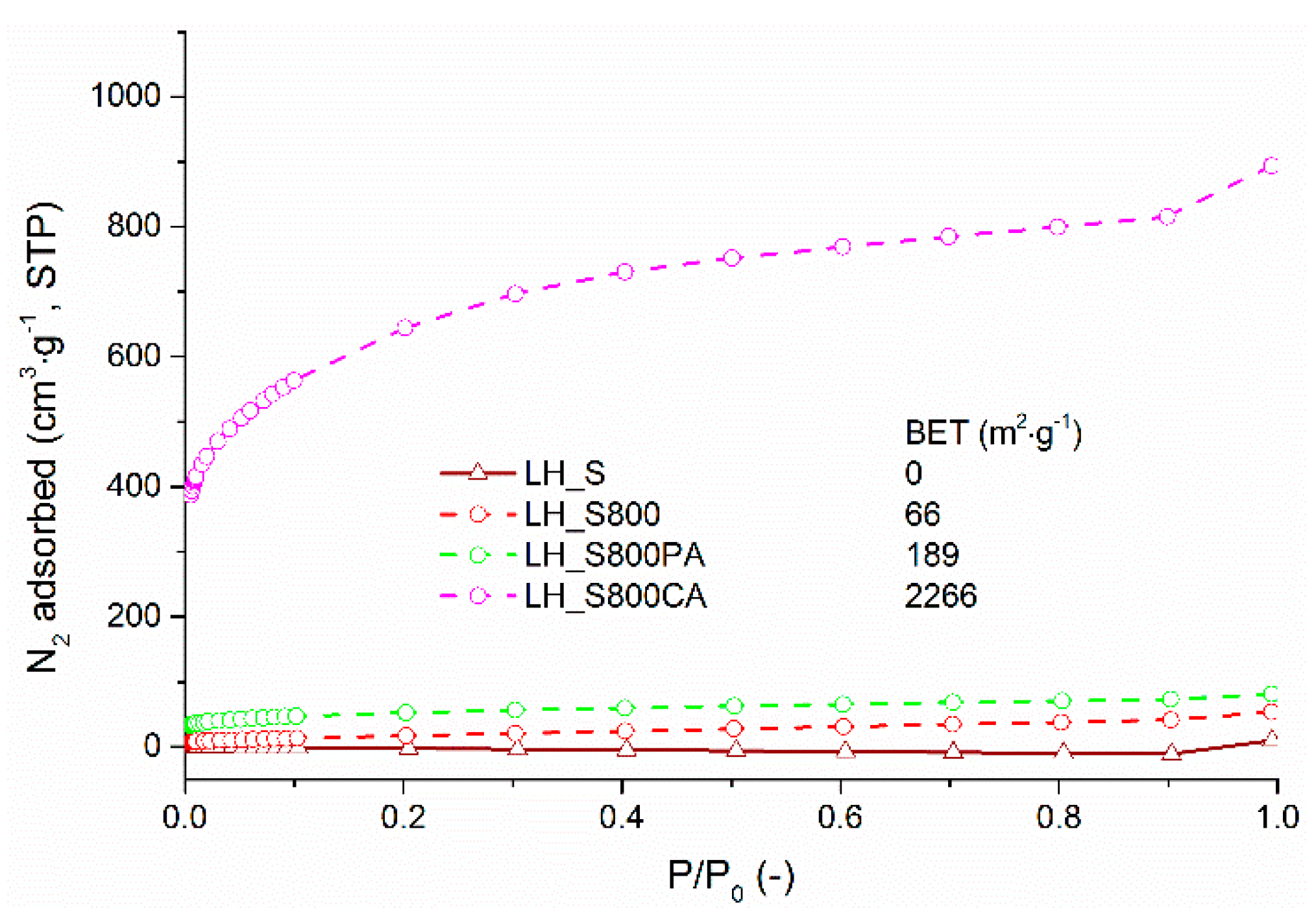
Figure 2 and Table 2 reveal the absence of a porous structure for raw Laminaria hyperborea. A negligible surface area (<1 m2·g−1) was already reported for raw macroalgae waste (algal meal) by Ferrera-Lorenzo et al. [31]. The pyrolytical treatment caused the development of a rudimentary porous structure, which was slightly enhanced after CO2 activation. In contrast, KOH-activated carbon presented outstanding textural properties. The significant porosity development exhibited by KOH-treated char was attributed to the combined effect of the KOH activation mechanism (pore creation) and HCl washing (pore unblocking, i.e., removal of KOH activation residues filling the pores).
Figure 2.
N2 adsorption isotherms at 77 K for all samples.
Table 2.
Textural parameters for all samples.
Figure 3a depicts the morphology of raw Laminaria hyperborea. This was typical of a plant tissue structure [32]. Carbonization and CO2 activation processes did not significantly change the initial morphology of macroalgae (see Figure 3b,c). This agrees with the limited increase of porosity measured by gas sorption for LH_S800 and LH_S800PA (see Figure 2). SEM images at 5000x showed particles lying on the carbon substrate of LH_S800 and LH_S800PA. These particles were found to be inorganic based on the EDX chemical compositions corresponding to the SEM micrographs (see Figure 4). The fact that no inorganic particles were observed for LH_S800CA (see Figure 3d) is in agreement with the poorer inorganic fractions detected by EDX analysis for this sample (see Figure 4). As a result, an increase of the carbon abundance was measured for KOH-activated carbon. As already mentioned, the decrease in mineral matter was caused by HCl rinsing of KOH–AC, which promoted the development of porosity. Nonetheless, only macropores could be observed from Figure 3d as the scale did not allow for identification of smaller pores.

Figure 3.
SEM images at 5000× magnification for (a) LH_S, (b) LH_S800, (c) LH_S800PA and (d) LH_S800CA.
Figure 4.
EDX chemical compositions corresponding to the SEM micrographs shown in Figure 3 for all samples.
Alkaline fractions were measured by AAS, ICP-OES and ICP-MS for all the samples, which are given in Table 3. The amount of alkali species present within raw Laminaria, pyrolyzed Laminaria and CO2-activated carbon followed the sequence K>Na>Ca>Mg. This was consistent with ICP-MS results previously reported by Ross et al. [33]. After pyrolysis, the concentration of all alkali metals significantly increased. This was due to the devolatilization that occurred during pyrolytical treatment and was in agreement with proximate findings (see Table 4). Alkali metal concentration did not noticeably change following physical activation. On the other hand, chemical treatment, with particular regard to HCl rinsing, caused a dramatic decrease of all alkali species, especially for K and Na.
Table 3.
Alkali metal concentration measured by atomic absorption spectroscopy (AAS), inductively coupled plasma optical emission spectrometry (ICP-OES), and inductively coupled plasma mass spectrometry (ICP-MS) for raw Laminaria (LH_S), pyrolyzed Laminaria (LH_S800), CO2-activated char (LH_S800PA) and KOH-activated (LH_S800CA) char.
Table 4.
Elemental and proximate analyses for all samples.
As depicted in Figure 5a,b, XRD patterns measured for raw macroalgae (LH_S) and its pyrolyzed derivative (LH_S800) displayed the presence of a series of sharp and intense peaks. Most of the sharp peaks found for virgin Laminaria matched the standard pattern of potassium chloride (00-004-0587), which can be considered as the main crystalline phase for this sample. All peaks related to this phase were also detected in the XRD pattern of seaweed char. This was in line with the high content of K given in Table 3 for raw and pyrolyzed Laminaria. Most of the remaining peaks identified for LH_S were associated with sodium chloride (01-080-3939). All these peaks were also found in the pattern of pyrolyzed Laminaria, yet a slight shift toward lower angles was noticed. This might have been due to a distortion of the lattice parameter of the crystals.
Figure 5.
XRD patterns for (a) raw macroalgae (LH_S), (b) pyrolyzed macroalgae (LH_S800) and CO2-activated counterpart (LH_S800PA) and (c) KOH-activated counterpart (LH_S800CA).
Crystalline phases detected in this study for virgin and carbonized seaweed agreed with results previously reported in the literature. In particular, Wang et al. [34] identified the presence of alkali chlorides within seaweed-based ash. In addition, sylvite (KCl) was detected on seaweed ash by Yaman et al. [35], while halite (NaCl) matched the pattern of oarweed-based chars obtained after pyrolysis at 500 °C [36]. Furthermore, reflections corresponding to halite were also found for raw seaweed (i.e., Undaria pinnatifida) by Song et al. [37]. The same phase was retained after pyrolysis at 1000 °C.
Interestingly, as observed in Figure 5b, additional signals were measured for pyrolyzed seaweed. This suggested the formation of new phases after pyrolysis treatment. In particular, reflections observed at ca. 43, 62 and 78° 2θ were assigned to magnesium oxide. This compound was also identified by Song et al. [37] after pyrolysis of seaweed (i.e., Undaria pinnatifida) at 1000 °C. According to the authors, magnesium ions may react with oxygen-containing species such as H2O to form MgO during pyrolysis at high temperature. In addition to this, as suggested by Ross et al. [33], most of the inorganic fractions contained in raw seaweed tend to decompose to their oxides when pyrolyzed at 750–800 °C. Accordingly, it might also be the case that crystalline MgO arose from the pyrolytic breakdown of amorphous Mg alginates present within the raw brown algae [35]. Some residual peaks with low intensity measured at ca. 21 and 34° 2θ were ascribed to unknown impurities (see asterisks in Figure 5b). These reflections might be attributed to trace alkali metals or alkali-based alginates whose detection is prevented by overlapping with phases that are more dominant. Figure 5b also showed that all peaks identified within pyrolyzed Laminaria were observed for its CO2-activated counterpart. This result confirms that inorganic phases were largely retained after CO2 treatment. By contrast, as seen by Figure 5c, no peaks associated with alkali chlorides and magnesium oxides were found for LH_S800CA. This can be attributed to the dissolution of crystallites after acid washing, which is corroborated by EDX (see Figure 4), AAS/ICP-OES/ICP-MS (see Table 3) and proximate (see Table 4) results. However, a series of low intensity peaks were measured for LH_S800CA. Most of these were best fitted by the standard pattern of aluminum oxide (04-013-1687) and aluminum hydroxide (04-014-1754). Oxidized forms of Al seemed to be the only inorganic phases that were not fully dissolved by HCl washing. In addition to that, weak peaks related to other unknown impurities (see asterisks in Figure 5c) were observed at ca. 29 and 42° 2θ. These might be ascribed to trace alkali metals. Nevertheless, LH_S800CA’s pattern also showed two broad peaks at around 25 (002) and 43° 2θ (100). These highlighted a more amorphous structure of the sample, typical of activated carbon [38]. Moreover, LH_S800CA’s pattern suggested that after KOH activation, a decrease in long-range graphenic ordering in the carbon nanostructure (amorphization) occurred. The disordering mechanism induced by KOH activation in the nanostructure of pitch-derived carbonaceous materials was discussed by Król et al. [39]. This seems to have contributed to the generation of micropores in LHS_800CA, as also suggested in Table 2. However, the limited CO2 capture potential measured for the KOH-activated material might suggest that the LHS_800CA nanostructure lacks narrow nanopores (diameter < 0.7 nm), which are those favoring CO2 adsorption under post-combustion conditions [18,19].
A large number of basic groups (up to ca. 2.2 mmol·g−1) was measured for pyrolyzed seaweed by Boehm titration. The significant concentration of basic functionalities could be associated with the high level of alkali metals present within the macroalgae char. Basic functionalities appeared to be entirely retained after CO2 activation, whereas much lower basicity was found for the KOH activated char (see Figure S2, Supplementary Materials). Once again, this result is in line with EDX and proximate findings, and was due to the demineralization of the KOH-activated carbon following HCl rinsing.
When measuring CO2 uptake at 35 °C and 1 bar (see Figure S3, Supplementary Materials), seaweed char and CO2-activated counterpart exhibited slower kinetics and lower uptakes than those achieved by the KOH-activated sample. This suggests that surface area (and then physisorption) is a predominant feature of CO2 capture process at low temperature and high partial pressure of CO2.
The post-combustion capture performance of pyrolyzed Laminaria and its activated derivatives were compared, as seen in Figure 6. A commercial carbon (AR) and pure magnesium oxide (MgO) were included for comparison purposes. At lower partial pressure (0.15 bar) of CO2 and higher temperature (53 °C), LH_S800CA and AR exhibited the fastest sorption kinetics. In spite of this, both KOH-activated and commercial carbon attained much lower sorption capacity than those measured for seaweed char and its CO2-activated counterpart. In addition, the CO2 sorption capacities recorded for LH_S800CA and AR were not steady but appeared to decrease over the equilibration time. The sorption behavior exhibited by LH_S800CA and AR was typical of physisorbents whose CO2 capture mechanism only relies on weak bonds and becomes less effective at high temperature. Therefore, despite feed gas and adsorption temperature being kept constant throughout the adsorption process, the capacity loss measured for LH_S800CA and AR with increasing time could be reasonably attributed to the prolonged exposure of the materials at a relatively high temperature (53 °C), which appeared to have favored desorption of weakly bonded CO2. Furthermore, LH_S800CA and AR are highly porous carbons, which are known to strongly retain water vapor within their pores. Considering that the materials were subjected to a mild drying (120 °C under N2), it is likely the so dried sorbents still contained a significant amount of residual moisture, which might have hindered the CO2 physisorption mechanism onto their pores. Importantly, despite the very low surface area available, LH_S800 and LH_S800PA significantly outweighed the sorption performance of the KOH-activated carbon, capturing nearly twice as much CO2 as that adsorbed by LH_S800CA after 30 min. The remarkable difference in surface area between the samples (see Figure 2) seems to suggest that textural properties did not play a key role (relative to alkali-based chemisorption) in the sorption potential exhibited by macroalgae char and its CO2-activated derivative under typical post-combustion conditions (0.15 bar CO2 and 53 °C temperature). In fact, as mentioned above, unlike for LH_S800CA, which was demineralized (i.e., HCl washing), a relatively high concentration of alkali metals was found for LH_S800, which was largely retained after CO2 activation. HCl washing was not applied post CO2-activation to preserve all alkali-based compounds within the LHS_800CA structure. If CO2-activated carbons would have been washed with HCl, only physisorption would have occurred, thus reducing the efficiency of the material at absorbing CO2, which might have ended up being lower than that exhibited by LHS_800CA. The inherent alkalinity of seaweed-char and its CO2-activated product agreed with the higher number of basic groups measured for these samples compared to that of LH_S800CA (see Figure S2, Supplementary Materials). Note that the amount of basic groups measured for LH_S800PA was ca. 2.2 mmol·g−1, whereas the CO2 sorption capacity of the sample was only ca. 0.25 mmol·g−1. Assuming that each mol of basic group captured one mol of CO2, the discrepancy between the amount of basic groups and the CO2 sorption capacity appears to indicate that not all the basic functionalities present on the sorbent were effective for CO2 sorption. This suggests that the type of alkali metal-containing groups significantly affects the CO2 capture process on macroalgae-derived sorbents.
Figure 6.
CO2 adsorption kinetic at 53 °C and 0.15 bar (total pressure of 1 bar) measured for pyrolyzed macroalgae (LH_S800), CO2-activated counterpart (LH_S800PA), KOH-activated counterpart (LH_S800CA), commercial carbon (AR) and magnesium oxide (MgO).
However, it seems that the effect of inorganic species on the sorption potential of LH_S800 and LH_S800PA becomes more influential at lower partial pressure, when a higher selectivity is vital. In particular, magnesium oxide, which was identified by XRD analyses onto the structure of pyrolyzed and CO2-activated macroalgae (see Figure 5), may have been responsible for the (chemi)sorption of CO2 under post-combustion conditions. As indicated by Figure 6, this assumption was corroborated by the CO2 sorption kinetic measured for magnesium oxide under simulated post-combustion conditions, which appeared to mirror those observed for CO2-activated Laminaria char (LH_S800PA). However, Figure 6 also shows that MgO exhibited lower CO2 uptakes (4.6 mg CO2·g−1, i.e., ca. 0.105 mmol CO2·g−1) than that attained by LH_S800PA. Considering that adsorption conditions were common to all samples, the greater CO2 sorption potential exhibited by the CO2-activated Laminaria char might be ascribed to the higher physisorption contribution (larger surface area, see Figure 2) that occurred on the macroalgae-based carbon in comparison to that of pure magnesium oxide, whose CO2 capture capacity was mostly due to chemisorption. Accordingly, LH_S800PA’s capture potential seems to be the result of a synergetic effect of physisorption and chemisorption processes. By contrast, although the macroalgae-based char (LH_S800) attained nearly as much CO2 uptake as that achieved by LH_S800PA, the former exhibited a much slower uptake rate than the latter. This may be attributed to the less developed porous network featured by this sample (see Figure 2 and Table 2). This caused a reduced mobility of CO2 through the pore channels of the material, and therefore a delay in accessing both the carbon pores (i.e., physisorption sites) and the MgO particles (i.e., chemisorption sites) present within the porous network of the material. Therefore, it seems that the more developed porous network exhibited by LH_S800PA not only ensured a higher physisorption effect, but might have also facilitated the access of CO2 to the chemisorption sites (i.e., MgO crystals).
However, it is speculated that the CO2 sorption performance of LH_S800 and LH_S800PA might also be due to the presence of an additional CO2 chemisorption mechanism. Specifically, it might be that the heat-treatment of pristine macroalgae, containing a significant proportion of Na and K (see Table 3), led to the formation of potassium and/or sodium carbonate. As given by [8,13,14], Na and K-based carbonates can absorb CO2 under moist conditions, giving rise to alkali metal bicarbonates. Therefore, assuming that some water molecules remained trapped within the structure of the materials after initial degassing at 120 °C for 30 min, this would explain the higher sorption capacity exhibited by Laminaria-derived sorbents in comparison to magnesium oxide.
Nevertheless, the highest sorption capacity exhibited by MgO-containing materials synthesized in this work (10.7 mg CO2·g−1 for LH_S800PA, see Figure 6) was lower than the capture capacity (63 mg CO2·g−1) achieved by a MgO-containing mesoporous carbon under similar conditions (Tads = 50 °C, PCO2 = 0.15 bar) [15]. In spite of this, the synthesis of alkali metal-containing sorbents presented in this study was more sustainable and cheaper compared to that reported in the work of Bhagiyalakshmi et al. [15], as seaweed treatment was less energy demanding than the methodology applied by these authors. In addition to this, the fabrication process reported in this work did not involve any chemical addition (i.e., impregnation of alkali-containing compounds) and entailed the use of a widely available feedstock. Moreover, the best performing sorbent prepared in this work (LH_S800PA) was fully regenerated at lower temperature (100 °C, see Figure 7) than that applied by [15] (200 °C), which would imply a lower cost associated with RTSA cyclic operations. Interestingly, the regeneration temperature of MgO-containing carbon materials fabricated in this work was noticeably lower than that usually reported for pure MgO (450–500 °C) [15,40]. Bhagiyalakshmi et al. [15], who synthesized a magnesium oxide-containing carbon, explained this behavior through the weaker interaction between CO2 and the MgO particles not embedded within the framework of the carbon-based sorbent. On the other hand, the facile regeneration exhibited by LH_S800PA appears to suggest that Na and K-based carbonates may be also contributing in the CO2 capture process. In fact, the corresponding Na and K bicarbonates, possibly formed after CO2 adsorption step, are less stable and can be easily regenerated at low temperature (100–200 °C).
Figure 7.
Regeneration (RTSA, 53–100 °C) for pyrolyzed macroalgae (LH_S800), CO2-activated counterpart (LH_S800PA), KOH-activated counterpart (LH_S800CA) and magnesium oxide (MgO).
The easier regeneration (no CO2 left at ca. 80 °C) exhibited by LH_S800CA in Figure 7 seems to indicate a weak (physi)sorption of CO2 onto this sample. In contrast, LH_S800 and pure magnesium oxide appeared to be more difficult to regenerate, as indicated by the slower release of CO2 with increasing time and the residual CO2 retained within these samples at the end of the desorption step.
Hence, based on results earlier presented, a cyclic test under post-combustion conditions was performed for LH_S800PA only, as this was the most promising sample in terms of sorption potential, kinetics and regeneration capacity. In addition, in order to ensure full regeneration of the sorbent, it was decided to extend the temperature swing up to 120 °C when performing RTSA cycling as a regeneration strategy (see Figure 8a).
Figure 8.
(a) Recyclability and (b) sorption capacity over ten RTSA cycles for LH_S800PA.
As depicted by Figure 8a, a relatively fast CO2 uptake rate was observed for LH_S800PA, which was consistent with the sorption behavior displayed by this sample in Figure 6. Nonetheless, this sorbent appeared not to reach its maximum capacity at the end of the equilibration time, thereby indicating the potential of attaining even higher sorption capacity over a longer adsorption stage. Desorption of CO2 was efficiently accomplished after increasing the temperature up to 120 °C. On the other hand, according to results displayed in Figure 7, this material could be regenerated at even lower temperature, thus reducing the cost of the regeneration step.
However, as shown in Figure 8b, a noticeable capacity loss (ca. 20%) occurred between cycle 1 and cycle 2. The decay of sorption capacity was presumably due to the incomplete reconversion of magnesium carbonate into MgO (e.g., formation of intermediates such as Mg(OH)2), thus leading to a decrease of chemisorption potential. Yet, as highlighted by Figure 8b, the sorbent’s capacity stabilized after the first cycle, thus indicating good durability over time. Note that the apparent decrease of the plateau illustrated in Figure 8a was due to a continuous baseline drift downwards.
4. Conclusions
The current work showed that Laminaria hyperborea processing led to a more sustainable, less costly and easier fabrication of alkali-based CO2 sorbents compared to procedures previously reported in the literature, as no chemical addition (e.g., impregnation of alkali-containing species) was required. This was achieved by exploiting the advantageous chemistry of the widely available macroalgae, intrinsically containing high concentration of alkali metals within its structure.
Pyrolysis of raw material led to the formation of a char rich in ash (up to 59.3%) but with low carbon purity. Very large surface area (up to 2266 m2·g−1) was obtained after KOH activation of char, which implied the highest CO2 uptake (up to nearly 60 mg CO2·g−1) at 35 °C and 1 bar. Interestingly, despite the undeveloped porous structure, pyrolyzed Laminaria (LH_S800) and its CO2-activated counterpart (LH_S800PA) exhibited a far greater sorption potential than that measured for the KOH-activated sample (LH_S800CA) and a commercial carbon (AR) under simulated post-combustion conditions (53 °C and 0.15 bar). This result was ascribed to the chemisorption contribution given by the alkali metal-based species present within the structure of macroalgae-derived char and CO2-activated derivative. The inherent alkalinity nature of the LH_S800 and LH_S800PA was corroborated by the higher number of basic surface functionalities measured through Boehm titrations compared to those found onto the surface of LH_S800CA. This was associated with the removal of mineral matter that occurred after KOH treatment (i.e., KOH activation followed by HCl washing) of macroalgae char.
Observations revealed that alkalinity-based chemisorption was dominant at higher temperatures and lower CO2 partial pressures, while surface-based physisorption was dominant at lower temperatures and higher CO2 partial pressures. In particular, magnesium oxide was identified by XRD within the structure of seaweed char and its CO2-activated counterpart. MgO crystals appeared to play a key role in the sorption of CO2 at lower partial pressure and higher temperature. This was suggested by the similar sorption kinetics observed for pure magnesium oxide and LH_S800PA during the post-combustion test. However, CO2 sorption capacity measured for CO2-activated Laminaria char was higher than that observed for magnesium oxide. This was ascribed to a synergistic effect of physisorption (more developed porous network) and chemisorption contributions occurring onto LH_S800PA. On the other hand, it is also ventured that Na and K-based carbonates, possibly present within the structure of the Laminaria-derived sorbent, might have also contributed to the capture of CO2.
Although LH_S800 and LH_S800PA attained similar uptakes at saturation, the CO2 sorption performance was optimized after CO2 activation. In fact, LH_S800PA not only retained the same alkali metal-containing basic functionalities (i.e., magnesium oxide) originally present onto the char, but also had a more developed porous network. This seemed to have promoted the physisorption of CO2 onto the carbon pores as well as the migration of CO2 toward the chemisorption sites (MgO crystals), thereby implying an increase of the sorption speed. Moreover, the CO2-activated carbon manifested a good durability and a more facile regeneration compared to the macroalgae char, which was accomplished at very low temperature (100 °C). Desorption temperature was much lower than that normally applied for similar alkali-based sorbents, thereby indicating promising and less expensive recyclability of this material.
The highest CO2 sorption capacity (ca. 0.25 mmol·g−1) measured for the best performing material synthesized in this work (LH_S800PA) is lower than that (ca. 1.25 mmol·g−1 [41]) of the state of the art technology (30% MEA solution). Nevertheless, the CO2 capture capacity of this class of sorbents may be potentially optimized by tuning the material properties (i.e., porosity, amount of alkali metal-based effective functionalities for CO2 sorption). Furthermore, the presence of moisture in the post-combustion flue gas (not considered in this study) is believed to catalyze the reaction of Na/K carbonates (possibly present within the structure of LH_S800PA) with CO2 to form the corresponding bicarbonates. Accordingly, this would improve both the CO2 adsorption and desorption (regeneration) performance of the macroalgae-based sorbent. Therefore, future work should be carried out to systematically assess the influence of water vapor on the CO2 sorption mechanism of the seaweed-based activated carbons. In addition to this, the application of seaweed-derived solid CO2 sorbents is more eco-friendly than absorption onto liquid amines, and the facile regeneration exhibited by macroalgae-based materials could potentially imply a lower energy penalty to the power plant than that caused by the regeneration of 30% MEA solution.
Supplementary Materials
The following are available online at https://www.mdpi.com/2673-4079/1/1/3/s1: Table S1: Details about inorganic elements detected by EDX analyses for all samples, Table S2: CO2 uptakes at a total pressure of 1 bar, Table S3: Yields obtained for LH_800, LH_S800PA and LH_S800CA, Figure S1: Alkali metal concentration measured by atomic absorption spectroscopy (AAS), inductively coupled plasma optical emission spectrometry (ICP-OES) and inductively coupled plasma mass spectrometry (ICP-MS) for raw Laminaria (LH_S), pyrolyzed Laminaria (LH_S800), CO2-activated char (LH_S800PA) and KOH-activated (LH_S800CA) char, Figure S2: Basic functionalities measured by Boehm’s titration for pyrolyzed macroalgae (LH_S800), CO2-activated counterpart (LH_S800PA) and KOH-activated counterpart (LH_S800CA), Figure S3: CO2 adsorption kinetic at 35 °C and 1 bar (total pressure of 1 bar) for pyrolyzed macroalgae (LH_S800), CO2-activated counterpart (LH_S800PA) and KOH-activated counterpart (LH_S800CA).
Author Contributions
Conceptualization, A.S., A.W., A.R. and R.B.; methodology, A.S. and A.W.; software, N/A; validation, N/A.; formal analysis, A.S.; investigation, A.S.; resources, A.W., A.R. and R.B.; data curation, A.S., A.W., A.R. and R.B.; writing—original draft preparation, A.S. and A.W.; writing—review and editing, A.S., A.W. and A.R.; visualization, A.S. and A.W.; supervision, A.S., A.W., A.R. and R.B.; project administration, A.S. and A.W.; funding acquisition, N/A. All authors have read and agreed to the published version of the manuscript.
Funding
This research received no external funding.
Acknowledgments
This work was carried out thank to the financial support from the University of Leeds in the form of a University Research Scholarship. A.S. is also grateful to Robert Simpson, Adrian Cunliffe, Mohammed Javed and Stuart Micklethwaite for technical assistance.
Conflicts of Interest
The authors declare no conflict of interest.
References
- Quadrelli:, R.; Peterson, S. The energy–climate challenge: Recent trends in CO2 emissions from fuel combustion. Energy Policy 2007, 35, 5938–5952. [Google Scholar] [CrossRef]
- Dhillon, R.S.S.; von Wuehlisch, G. Mitigation of global warming through renewable biomass. Biomass Bioenergy 2013, 48, 75–89. [Google Scholar] [CrossRef]
- Rao, A.B.; Rubin, E.S. A Technical, Economic, and Environmental Assessment of Amine-Based CO2 Capture Technology for Power Plant Greenhouse Gas Control. Environ. Sci. Technol. 2002, 36, 4467–4475. [Google Scholar] [CrossRef] [PubMed]
- Plaza, M.G.; García, F.; Pis Rubiera, J.J.; Pevida, C. Post-combustion CO2 capture with a commercial activated carbon: Comparison of different regeneration strategies. Chem. Eng. J. 2010, 163, 41–47. [Google Scholar] [CrossRef]
- Yang, H.; Xu, Z.; Fan, M.; Gupta, R.; Slimane, R.B.; Bland, A.E.; Wright, I. Progress in carbon dioxide separation and capture: A review. J. Environ. Sci. 2008, 20, 14–27. [Google Scholar] [CrossRef]
- Spigarelli, B.; Kawatra, S.K. Opportunities and challenges in carbon dioxide capture. J. CO2 Utilizat. 2013, 1, 69–87. [Google Scholar] [CrossRef]
- Do, D.D.; Wang, K. A new model for the description of adsorption kinetics in heterogeneous activated carbon. Carbon 1998, 36, 1539–1554. [Google Scholar] [CrossRef]
- Samanta, A.; Zhao, A.; Shimizu, G.K.; Sarkar, P.; Gupta, R. Post-Combustion CO2 Capture Using Solid Sorbents: A Review. Ind. Eng. Chem. Res. 2012, 51, 1438–1463. [Google Scholar] [CrossRef]
- Merkel, T.C.; Lin, H.; Wei, X.; Baker, R. Power plant post-combustion carbon dioxide capture: An opportunity for membranes. J. Membr. Sci. 2010, 359, 126–139. [Google Scholar] [CrossRef]
- Wang, J.; Chen, H.; Zhou, H.; Liu, X.; Qiao, W.; Long, D.; Ling, L. Carbon dioxide capture using polyethylenimine-loaded mesoporous carbons. J. Environ. Sci. 2013, 25, 124–132. [Google Scholar] [CrossRef]
- Gibson, J.A.; Gromov, A.V.; Brandani, S.; Campbell, E.E. The effect of pore structure on the CO2 adsorption efficiency of polyamine impregnated porous carbons. Microporous Mesoporous Mater. 2015, 208, 129–139. [Google Scholar] [CrossRef]
- Sayari, A.; Belmabkhout, Y. Stabilization of Amine-Containing CO2 Adsorbents: Dramatic Effect of Water Vapor. J. Am. Chem. Soc. 2010, 132, 6312–6314. [Google Scholar] [CrossRef] [PubMed]
- Zhao, C.; Chen, X.; Anthony, E.J.; Jiang, X.; Duan, L.; Wu, Y.; Dong, W.; Zhao, C. Capturing CO2 in flue gas from fossil fuel-fired power plants using dry regenerable alkali metal-based sorbent. Prog. Energy Combust. Sci. 2013, 39, 515–534. [Google Scholar] [CrossRef]
- Lee, J.B.; Ryu, C.K.; Baek, J.I.; Lee, J.H.; Eom, T.H.; Kim, S.H. Sodium-Based Dry Regenerable Sorbent for Carbon Dioxide Capture from Power Plant Flue Gas. Ind. Eng. Chem. Res. 2008, 47, 4465–4472. [Google Scholar] [CrossRef]
- Bhagiyalakshmi, M.; Hemalatha, P.; Ganesh, M.; Mei, P.M.; Jang, H.T. A direct synthesis of mesoporous carbon supported MgO sorbent for CO2 capture. Fuel 2011, 90, 1662–1667. [Google Scholar] [CrossRef]
- Lee, S.C.; Chae, H.J.; Lee, S.J.; Choi, B.Y.; Yi, C.K.; Lee, J.B.; Ryu, C.K.; Kim, J.C. Development of Regenerable MgO-Based Sorbent Promoted with K2CO3 for CO2 Capture at Low Temperatures. Environ. Sci. Technol. 2008, 42, 2736–2741. [Google Scholar] [CrossRef]
- Ding, S.; Liu, Y. Adsorption of CO2 from flue gas by novel seaweed-based KOH-activated porous biochars. Fuel 2020, 260, 116382. [Google Scholar] [CrossRef]
- Zeng, G.; Lou, S.; Ying, H.; Wu, X.; Dou, X.; Ai, N.; Wang, J. Preparation of microporous carbon from Sargassum horneri by hydrothermal carbonization and KOH activation for CO2 capture. J. Chem. 2018, 2018, 4319149. [Google Scholar] [CrossRef]
- Balahmar, N.; Al-Jumialy, A.S.; Mokaya, R. Biomass to porous carbon in one step: Directly activated biomass for high performance CO2 storage. J. Mater. Chem. A 2017, 5, 12330–12339. [Google Scholar] [CrossRef]
- Brunauer, S.; Emmett, H.; Teller, E. Adsorption of Gases in Multimolecular Layers. J. Am. Chem. Soc. 1938, 60, 309–319. [Google Scholar] [CrossRef]
- International Organization for Standardization. Technical Committee ISO/TC 24. Particle characterization including sieving, Subcommittee SC 4, Particle characterization. In Determination of the Specific Surface Area of Solids by Gas Adsorption: BET Method; ISO: Geneva, Switzerland, 2010; p. 24. [Google Scholar]
- Plaza, M.G.; Pevida, C.; Arias, B.; Casal, M.D.; Martín, C.F.; Fermoso, J.; Rubiera, F.; Pis, J.J. Different Approaches for the Development of Low-Cost CO2 Adsorbents. J. Environ. Eng. 2009, 135, 426–432. [Google Scholar] [CrossRef]
- Dubinin, M.M.; Radushkevich, L.V. Equation of the characteristic curve of activated charcoal. Chem. Zentr. 1947, 1, 875–890. [Google Scholar]
- EN, BS. 14775: 2009. Solid Biofuels–Determination of Ash Content; British Standards Institution: London, UK, 2009. [Google Scholar]
- EN, BS. 15148. Solid biofuels. Determination of the Content of Volatile Matter; British Standards Institute: London, UK, 2009. [Google Scholar]
- ISO, BSEN. 18134-3. Solid Biofuels—Determination in Moisture Content—Oven Dry Method—Part 3: Moisture in General Analysis Sample; British Standards Institution: Bonn, Germany, 2015; pp. 1–14. [Google Scholar]
- Bagreev, A.; Menendez, J.A.; Dukhno, I.; Tarasenko, Y.; Bandosz, T.J. Bituminous coal-based activated carbons modified with nitrogen as adsorbents of hydrogen sulfide. Carbon 2004, 42, 469–476. [Google Scholar] [CrossRef]
- Oickle, A.M.; Goertzen, S.L.; Hopper, K.R.; Abdalla, Y.O.; Andreas, H.A. Standardization of the Boehm titration: Part II. Method of agitation, effect of filtering and dilute titrant. Carbon 2010, 48, 3313–3322. [Google Scholar] [CrossRef]
- Goertzen, S.L.; Thériault, K.D.; Oickle, A.M.; Tarasuk, A.C.; Andreas, H.A. Standardization of the Boehm titration. Part, I. CO2 expulsion and endpoint determination. Carbon 2010, 48, 1252–1261. [Google Scholar] [CrossRef]
- Plaza, M.; Pevida, C.; Arias, B.; Fermoso, J.; Arenillas, A.; Rubiera, F.; Pis, J. Application of thermogravimetric analysis to the evaluation of aminated solid sorbents for CO2 capture. J. Therm. Anal. Calorim. 2008, 92, 601–606. [Google Scholar] [CrossRef]
- Ferrera-Lorenzo, N.; Fuente, E.; Suárez-Ruiz, I.; Ruiz, B. KOH activated carbon from conventional and microwave heating system of a macroalgae waste from the Agar–Agar industry. Fuel Process. Technol. 2014, 121, 25–31. [Google Scholar] [CrossRef]
- Ferrera-Lorenzo, N.; Fuente, E.; Suárez-Ruiz, I.; Ruiz, B. Sustainable activated carbons of macroalgae waste from the Agar–Agar industry. Prospects as adsorbent for gas storage at high pressures. Chem. Eng. J. 2014, 250, 128–136. [Google Scholar] [CrossRef]
- Ross, A.B.; Hall, C.; Anastasakis, K.; Westwood, A.; Jones, J.M.; Crewe, R.J. Influence of cation on the pyrolysis and oxidation of alginates. J. Anal. Appl. Pyrolysis 2011, 91, 344–351. [Google Scholar] [CrossRef]
- Wang, S.; Jiang, X.M.; Wang, N.; Yu, L.J.; Li, Z.; He, P.M. Fusing characteristic analysis on seaweed biomass ash. Zhongguo Dianji Gongcheng Xuebao/Proc. Chin. Soc. Electr. Eng. 2008, 28, 96–101. [Google Scholar]
- Haykiri-Acma, H.; Yaman, S.; Kucukbayrak, S. Production of biobriquettes from carbonized brown seaweed. Fuel Process. Technol. 2013, 106, 33–40. [Google Scholar] [CrossRef]
- Stratford, J.P.; Hutchings, T.R.; de Leij, F.A. Intrinsic activation: The relationship between biomass inorganic content and porosity formation during pyrolysis. Bioresour. Technol. 2014, 159, 104–111. [Google Scholar] [CrossRef] [PubMed]
- Song, M.Y.; Park, H.Y.; Yang, D.S.; Bhattacharjya, D.; Yu, J.S. Seaweed-Derived Heteroatom-Doped Highly Porous Carbon as an Electrocatalyst for the Oxygen Reduction Reaction. ChemSusChem 2014, 7, 1755–1763. [Google Scholar] [CrossRef] [PubMed]
- Omri, A.; Benzina, M.; Ammar, N. Preparation, modification and industrial application of activated carbon from almond shell. J. Ind. Eng. Chem. 2013, 19, 2092–2099. [Google Scholar] [CrossRef]
- Król, M.; Gryglewicz, G.; Machnikowski, J. KOH activation of pitch-derived carbonaceous materials—Effect of carbonization degree. Fuel Process. Technol. 2011, 92, 158–165. [Google Scholar] [CrossRef]
- Wang, S.; Yan, S.; Ma, X.; Gong, J. Recent advances in capture of carbon dioxide using alkali-metal-based oxides. Energy Environ. Sci. 2011, 4, 3805–3819. [Google Scholar] [CrossRef]
- Qi, G.; Fu, L.; Giannelis, E.P. Sponges with covalently tethered amines for high-efficiency carbon capture. Nat. Commun. 2014, 5, 1–7. [Google Scholar] [CrossRef]
© 2020 by the authors. Licensee MDPI, Basel, Switzerland. This article is an open access article distributed under the terms and conditions of the Creative Commons Attribution (CC BY) license (http://creativecommons.org/licenses/by/4.0/).








