Abstract
Public bads prevention problems, such as climate change, require people to cooperate above a certain threshold, which is ambiguous and varies in many situations. In that case, people conjecture and share some information about the threshold. However, little is known about how sharing such information affects people to cooperate. We experimentally examine how people’s cooperative choices are influenced by ambiguity and sharing information about the conjectures in public bads prevention, hypothesizing that sharing the information does not necessarily contribute to cooperation. We conduct the laboratory experiments with 400 subjects under five treatments, each of which differs in ambiguity as well as in presence or absence of sharing the information. We find that (i) the percentages of cooperative choices are nonmonotonic, decreasing and then increasing over ambiguity levels and (ii) sharing the information tends to uniformly discourage cooperation, and the negative impact becomes prominent as the ambiguity levels rise. The result demonstrates an adverse effect between sharing information and threshold ambiguity on cooperation, being in sharp contrast with the literature. Overall, this study suggests that how or what information is shared among people should be carefully reconsidered for resolving any public bads problem involving threshold ambiguity, as everybody is able to easily publicize their conjectures during an era of digital democracy. Additionally, providing unified public information or fostering agreement could help improve cooperation and enhance collective efforts in public bads prevention.
1. Introduction
Public bads prevention is an essential collective action for the sustainability of our planet and wellbeing of both current and future generations in addressing global challenges, such as climate change [1,2]. Public bads prevention problems are frequently characterized by the existence of thresholds which are ambiguous and vary in many situations, and the associated irreversible damage is claimed to get accrued when the states or degrees of cooperation become below certain thresholds [3,4]. Many researchers have attempted to address the problems by considering how some mechanisms or institutions, such as communications and collective decision rules, enhance people’s cooperation in public bads prevention. However, the problem remains complex, mainly due to the existence of ambiguous thresholds [5,6,7,8]. In an era of information democracy through the spread of digital platforms all over the world, it is known that people can openly conjecture about the threshold and publicize the conjectures without taking any responsibility when ambiguity gets involved [9,10,11]. Given this state of affairs, this research experimentally studies people’s cooperative behaviors in public bads prevention as they share some information of individual conjectures towards ambiguous thresholds. In the context of public bads prevention, several research problems remain unresolved. First, how do varying levels of threshold ambiguity influence cooperative behaviors in public bads prevention? Second, to what extent does sharing information about conjecture towards threshold affect cooperation? Third, what mechanisms can reduce the potential adverse effects of sharing the information on cooperation in ambiguous settings? These questions are crucial as they address the impact of threshold ambiguity, sharing the information on cooperation in public bads prevention efforts.
Literature investigates how threshold ambiguity and uncertainty impact individual cooperation and collective consequences [12,13,14,15,16]. Mcbride [12] develops a theoretical model and examines the effect of threshold uncertainty on people’s contributions to a public good. The prediction implies that the relationship between the degree of threshold uncertainty and equilibrium contributions is nonmonotonic. At the same time, the model also demonstrates that equilibrium contributions will be high under increased uncertainty for a large class of threshold probability distributions, if the public good’s value is sufficiently high. These predictions are empirically examined by laboratory experiments in [13,14]. In particular, Kotani et al. [14] demonstrate that an intermediate level of threshold uncertainty induces people to cooperate most in both public goods provision and bads prevention. These results imply that threshold uncertainty increases people’s cooperative behaviors in some cases. On the contrary, there are some studies that have analyzed how threshold ambiguity can affect people in public goods provision and bads prevention. Kishishita and Ozaki [16] develop a theoretical model to derive how people behave under threshold ambiguity in public goods provision, establishing that people reduce cooperation by ambiguity. Dannenberg et al. [15] conduct laboratory experiments of public goods games with threshold ambiguity, finding that the threshold ambiguity tends to decrease cooperation. Although the previous studies reveal that the presence of threshold ambiguity can decrease individual cooperation, they do not fully explore how people’s cooperative behaviors change with the different levels of threshold ambiguity in public goods and public bads settings.
Communications and information are claimed to be key factors for motivating people to provide (prevent) public goods (bads) under some thresholds [5,6,7,8,17,18,19,20,21]. Agastya et al. [17] examine how nonbinding communications affect joint project investments in a voluntary contribution game, demonstrating that announcements about the total contribution increase a probability of the project completion. Palfrey et al. [6] investigate the effects of communications in a threshold public goods game with Bayesian mechanism design, showing that unrestricted text chats raise subjects’ contributions through better coordination and agreement among them. Costa and Moreira [18] explore the impacts of cheap talk on public good provision in a laboratory experiment, showing that its overall impacts on contribution are limited, especially when subjects are obliged to truthfully report their choices. Kenkel [7] seeks to reveal the effectiveness of cheap talk in a two-player collective action problem, documenting that it depends on specific situations of public goods provision (bads prevention). Chen et al. [19] investigate the effects of disclosing donation lists as binding information, presenting that partial disclosure of the list fosters donations. Marini et al. [8] examine the roles of nonbinding communications on public goods provision under ambiguity, finding that unrestricted text chat enhances people’s contributions to public goods by mitigating the negative effect of ambiguity. Barron and Nurminen [21] evaluate “norm-nudges” by labeling some contributions above one level as “good”, and show that bringing such a norm enhances the contribution. However, Lampert [20] highlights the potential adverse effects of sharing social information, showing that in a dynamic game model, individuals may take advantage of their neighbors’ efforts, reducing the effectiveness of collective environmental projects. These previous studies highlight how various forms of communication and information, such as cheap talk and disclosure, positively influence people’s cooperation. However, its effectiveness is reported to vary depending on the scenarios and contexts.
The existing literature focuses on studying the impacts of various forms of information, such as commitments, contributions, intentions and gains in public goods provision and bads prevention. The information is generally established to enhance people’s cooperation, even when it comes in the form of cheap talks or beyond [5,6,7,8,17,18]. However, in reality, there are many incidents or reports in public bads prevention where people’s cooperation may be hampered by sharing information, especially when some threshold ambiguity is involved. Nowadays, it is so common that people conjecture and share information about ambiguous thresholds for public bads problems, such as climate change, knowing that the catastrophes are irreversible once their cooperation is not enough [22,23]. Such conjectures are known to get easily publicized and shared among people via digital platforms, being expected to impact individual cooperation even though they are in the form of costless and nonbinding cheap talks [6,7,18]. Despite its importance, little is known about how threshold ambiguity and sharing of such information affect people’s cooperation. We experimentally examine how people’s cooperative choices are influenced by ambiguity and sharing information about the conjectures in public bads prevention, hypothesizing that sharing the information does not necessarily contribute to cooperation. We conduct the laboratory experiments with 400 subjects under five treatments, each of which differs in ambiguity as well as in the presence or absence of sharing the information.
2. Experimental Design and Procedures
The experiments were carried out at the computerized laboratory of Kochi University of Technology in Japan, encompassing 20 sessions. Each session includes a participant pool of 15 to 30 subjects, totaling 400 volunteer undergraduate students from diverse fields, such as engineering, economics, management and others. The subjects are sufficiently homogeneous among the five treatments, with similar age ranges and a balanced male-to-female ratio, ensuring consistency across the experimental groups. Each subject participates in only one session and receives an average cumulative payoff of 3000 JPY (≈20USD). Every session takes approximately 1.5 h and consists of three parts. The 1st part is a “social value orientation” (SVO) game based on the triple dominance measure proposed by [24,25]. The 2nd part is an “ambiguity responses” game suggested by [26], and the 3rd part is a “public bads prevention” game. In the public bads prevention game, five treatments are prepared and implemented, being designed to understand people’s behaviors for preventing public bads with sharing information about ambiguous thresholds. Four sessions are conducted for each treatment and the basic procedures in each session follow some previous literature, such as [8,13,14].
Social value orientation (SVO) game assesses people’s noncognitive social-value characteristics, such as individualistic, cooperative, or competitive orientations, to understand their social behaviors [27,28]. This game uses the 9-item triple dominance measure developed by [24,25] to investigate how such characteristics influence making cooperative choices. In the game, subjects are randomly paired, ensuring anonymity and nine choice situations are provided. Each situation offers three options A, B and C, with different point distributions for the subject and her partner. An example of the three options is as follows: option A is “You get 500 and your partner gets 100”, option B is “You get 500 and your partner gets 500”, option C is “You get 550 and your partner gets 300”. The game asks each subject to choose one among the three options based on her preference. Every option per situation corresponds to one of the social value orientations. In the above example, option A corresponds to the competitive orientation that maximizes the gap between the point of the subject and her partner (), option B corresponds to the cooperative orientation that maximizes the joint outcome () and option C corresponds to the individualistic orientation that maximizes the subject’s outcome (550) and shows no interest in the partner’s outcome. Each subject is classified as cooperative, individualistic or competitive if she consistently chooses six options that correspond to one orientation from nine situations. Otherwise, the subject is labeled as “unidentified”. The 9-item triple dominance measure is important for evaluating the impact of ambiguity and shared information on cooperation by controlling individual orientations, but it has limitations. It classifies individuals into broad categories, which may oversimplify social preferences, and assumes these preferences remain stable, even though they can change in real-world contexts [29]. In the SVO game, each subject’s payoff is the summation of the points associated with the options the subject and her partner chose for herself in nine situations. On average, a subject earns 5000 points, being equivalent to approximately 500 JPY by applying an exchange rate of 0.10 JPY per point.
The ambiguity responses game, adopted from [26], is employed to explore how individual differences in managing ambiguity influence cooperative choices. It classifies subjects as ambiguity neutral or averse, potentially impacting decision making under ambiguity [30,31]. This game draws on Halevy’s experimental design to test the relationship between individual ambiguous attitudes and their behaviors toward compound objective lotteries. It highlights a tight link between ambiguity neutrality and the ability to reduce compound lotteries. In this game, each subject is asked to predict whether a ball drawn from a box is red or black and to submit an offer to sell for the prediction right that ranges from 0 JPY to 200 JPY. Four boxes are prepared with ten balls. The composition of balls in Box 1 consists of 5 red and 5 black balls. The composition of balls in Box 2 consists of 10 balls with an unknown mix of red and black balls. The composition of balls in Box 3 (Box 4) is determined by the card that is randomly chosen from eleven cards (two cards) by a computer numbering from 0 to 10 (0 or 10). The card number (the remaining out of 10) becomes the number of red (black) balls in the boxes. For each of the Boxes, every subject predicts the color and submits an offer to sell for the prediction right. After predicting the color and submitting an offer to sell for each box, a price between 0 JPY and 200 JPY is randomly generated by a computer. The prediction right will be sold if the computer generated price is equal to or higher than the subject’s submitted offer to sell. In this case, the subject receives the amount of their offer as part of their payoff. Otherwise, it shall be unsold, and the subject gets 200 JPY (0 JPY) when her color prediction is correct (wrong). In fact, each of the four boxes is designed to have an equal 50% chance for a subject to correctly predict the color. However, it is not revealed to subjects. Given this state of affairs, if a subject submits the same offer to sell for the prediction right of the boxes 1, 3 and 4, it suggests her ambiguity neutral disposition. Conversely, any variation in her offers across these boxes indicates ambiguity aversion [26]. While effective for classifying ambiguity attitudes, this game has limitations. It uses predefined scenarios that may oversimplify real-world ambiguity, and its controlled setting with implicit probabilities (50% chance) may not reflect the incomplete or conflicting information of real-world situations. In this game, subjects earn 500 JPY on average.
The public bads prevention game comprises 10 rounds, and a subject decides whether to cooperate (choose “Blue”) or not (choose “Yellow”) for making public bads prevention in each round. Five treatments are prepared (Table 1), and in Base, a subject is assigned to a group of five members and makes the decision, while the group members are reshuffled in each round to maintain their anonymity as well as to minimize their strategic behaviors [14,32,33]. The choice between “Blue” and “Yellow” made by each subject per round determines their payoff, which is a summation of the individual and group payoffs. The individual payoff associated with the “Blue” and “Yellow” choices are 0 points and 60 points, respectively. The group payoff depends on both the number of “Yellow” choices per group in each round and the threshold of public bads prevention. In Base, the threshold is set to be 2, following the experimental setup in literature (see, e.g., [13,14]). If the number of “Yellow” choices per group is equal to or below 2, the public bads prevention is successful, and accordingly, each member in that group receives 185 points as her group payoff. Otherwise, it is not successful and each member receives 0 points. After each round, every subject observes the number of Yellow choices in her group, a consequence of the public bads prevention, her points as her individual and group payoffs in each round and cumulative points on her computer screen. The exact process repeats for 10 rounds where all subjects do not know how many rounds the game continues. The final payoff for each subject in this game is 2000 JPY on average, ranging between 1000 JPY and 3500 JPY after converting her cumulative points over 10 rounds to cash at a rate of 1.30 JPY per point.
Table 1.
Five treatments (the abbreviations) in the public bads prevention game.
Four treatments are concerned with ambiguous thresholds, introducing two different levels of “ambiguity (Amb)” and “wide ambiguity (WAmb)”. They are different from one another only by the threshold ranges of and (Table 1). In Amb and WAmb treatments, subjects are asked to choose between “Blue” and “Yellow” in each round without knowing the threshold in advance. Subjects understand that a threshold will be selected from the corresponding range after their choices, but the selection algorithms and probability distributions remain undisclosed. In the Amb and WAmb treatments, thresholds are selected using threshold-generating algorithms from the corresponding range with an expected value of 2, while the details of these algorithms are not revealed to the subjects. Instead, we inform subjects of the selected threshold, say, X, as follows: X will affect subjects’ group payoffs in each round per session. For instance, if X is selected to be 3 in one round and three subjects or less in one group, choose “Yellow”, each member receives 185 points as the group payoffs. Otherwise, they receive 0 points. The rest of the procedures are the same as the ones in Base. Two additional treatments are prepared, adding an element of “sharing information” for each level of ambiguous thresholds, i.e., “ambiguity with sharing info (Amb_info)” and “wide ambiguity with sharing info (WAmb_info)” treatments. Specifically, each subject is asked to conjecture about the threshold level out of the range that she thinks most likely to be realized in each round as well as to share her conjectures with everybody in the same round before her choice. All subjects’ conjectures in each round are announced and displayed on a common screen at the laboratory, while everybody knows that individual anonymity is ensured. After sharing information about individual conjectures, the same procedures as in Amb and WAmb follow, that is, each subject chooses between “Blue” and “Yellow”, one threshold level X is selected, the group payoff shall be decided according to the number of “Yellow” choices in a group and X in one round.
A subject registers for and participates in only one session. Subjects in a session are assigned to one treatment, and therefore, our experiments are considered to employ a between-subject design. Arriving at the laboratory, they are guided to sit at computers that are linked within a network for exchanging information about their choices and payoffs with the admin PC via Z-tree software, version 5.1.16 [34]. They receive written instructions and consent forms for an overview of experimental procedures in the treatment, being asked to sign the forms once they agree to participate. After we observe each subject’s consent, the experimenter provides oral instructions to all subjects in that session with neutral terminologies, confirming that they understand each procedure without any bias. First, the subjects engage in an SVO game for approximately 15 min, making choices that reflect their SVOs. Second, 15 min are dedicated to the ambiguity responses game, and subjects make some decisions under ambiguity. Finally, the public bads prevention game is conducted, taking time between 35 and 45 min, depending on treatments. The session ends by paying an experimental reward to each subject in the session, and it takes approximately 5 to 10 min. As mentioned, subjects earn 500 JPY from the SVO game, 500 JPY from the ambiguity responses game, 2000 JPY from the public bads prevention game and 3000 JPY in total on average. A flow chart of the experimental procedures for a session is summarized in Figure 1. In the figure, the shaded steps in the Amb and Amb_info differ from those in the Base. The procedures for the WAmb and WAmb_info are similar to Amb and Amb_info, except for the threshold range.
Figure 1.
A flow chart of experimental procedures for a subject to participate in one session (for Base, Amb, and Amb_info treatments).
3. Experimental Results
Table 2 presents the summary statistics of experimental results for cooperative choices, the number of subjects and observations across treatments. It can be confirmed that 400 subjects are employed, each of which provides 10 observations, and thus, 4000 observations are generated in total. Overall, the number of cooperative choices is identified to be 1402 by pooling all the observations across treatments, meaning that the overall percentage of the choices is . We see that the percentages of cooperative choices appear to differ across treatments ( in Base, in Amb, in Amb_info, in WAmb and in WAmb_info), implying some possibility that ambiguity and sharing information influence cooperative choices made by subjects. To statistically check the possible influence, a contingency table is created for the percentages of subjects’ choices per treatment, taking cooperative and noncooperative ones to be in rows as well as five treatments to be in columns. The Pearson test is conducted to examine the associations between cooperative choices and treatments with the null hypothesis that the frequency distributions of cooperative choices do not differ across all treatments. The result rejects the null hypothesis at 1% (), demonstrating the existence of associations between the frequencies of cooperative choices and treatments. Overall, Table 2 and the Pearson test corroborate some dependence of cooperative choices on ambiguity and sharing information under the treatments in a coherent manner.
Table 2.
Summary statistics of experimental results for cooperative choices, the number of subjects, and observations across treatments.
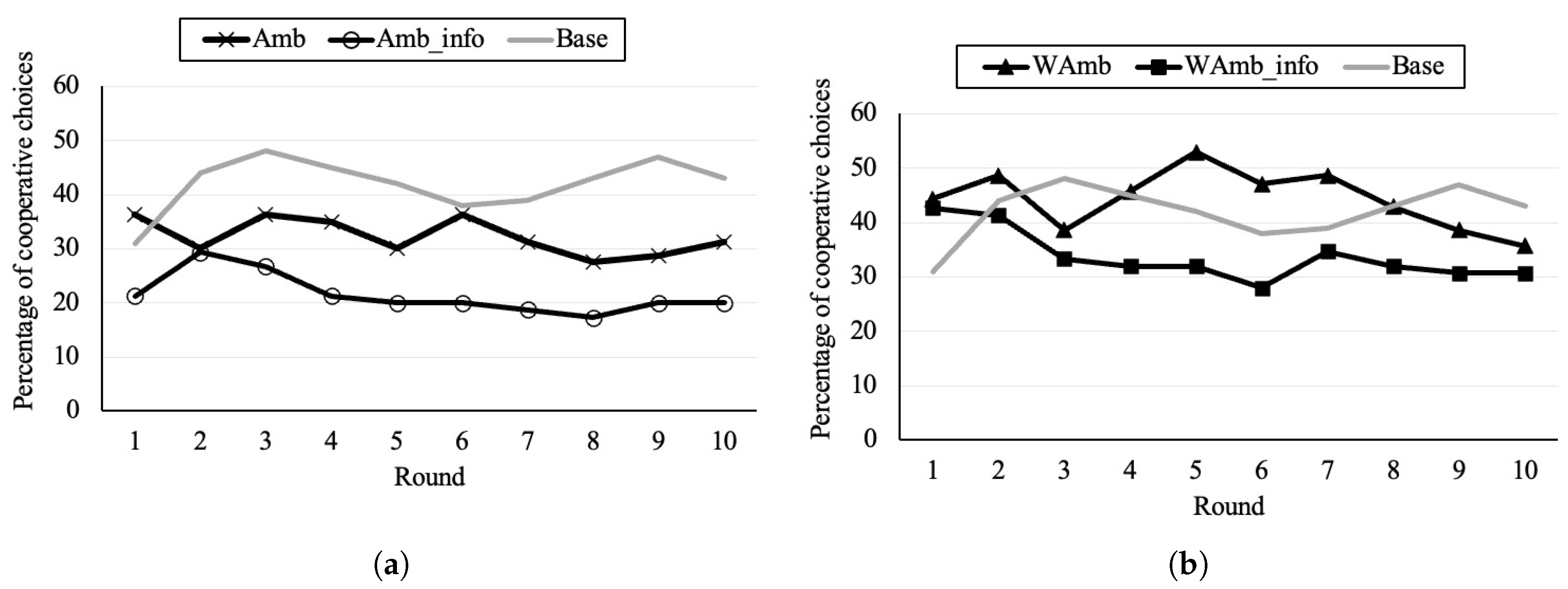
Figure 2 displays percentages of cooperative choices over 10 rounds under different treatments. In Figure 2a, the cooperative choices under Amb, ranging from to , consistently remain lower than Base, ranging from to . In Figure 2b, cooperative choices under WAmb range from to , which is similar to or slightly higher than Base. Additionally, sharing the information, as shown in both Figure 2a,b, leads to a consistent decrease in cooperation. Specifically, the ranges under Amb_info and WAmb_info are to and to , respectively, being lower than the corresponding ones under the treatments without sharing information (Amb and WAmb) over the rounds. The tendency suggests that sharing information about subjects’ conjectures to thresholds may negatively influence cooperative choices in the presence of ambiguity. Overall, the impact of ambiguity on cooperative choices is nonmonotonic as cooperation decreases under Amb and increases under WAmb in comparison to Base, and sharing the information consistently diminishes cooperative choices in each ambiguity level.
Figure 2.
Percentages of cooperative choices over 10 rounds across treatments in comparison to Base: (a) Ambiguity and sharing info; (b) Wide ambiguity and sharing info.
Figure 3 illustrates percentages of successful public bads prevention across treatments. Recall that the threshold is fixed at 2 in Base, while a threshold in each round is selected according to the threshold-generating algorithms with the expected value of 2 in Amb and WAmb. Therefore, the percentages of successful public bads prevention should become close with one another among treatments as long as the sample size is large and subjects make choices in a similar fashion. However, the percentages are identified to be different from each other (see Figure 3). In Base, 36.50% of groups successfully prevent public bads, and the percentage reduces to 26.87% under Amb and further to 9.33% under Amb_info. In contrast, the percentage rises to 47.14% under WAmb and falls to 34.00% under WAmb_info. The corresponding p-values indicate that the successful prevention rates are significantly different under Amb, Amb_info, and WAmb compared to the Base. However, the difference between WAmb_info and Base is not statistically significant (p = 0.279). Furthermore, the success rates significantly decrease under Amb_info and WAmb_info compared to Amb and WAmb, respectively. These changes across treatments indicate that both the introduction of ambiguity and sharing the information influence successful public bads prevention, and notably, sharing information reduces the successful prevention by approximately 17.50% and 13.00% as compared to Amb and WAmb, respectively.
Figure 3.
Percentages of successful public bads prevention across treatments.
Table 3 presents the percentages of cooperative choices by subjects’ characteristics of SVOs and ambiguity responses among treatments. It reveals that cooperative subjects consistently make more cooperative choices than individualistic subjects overall in all treatments. The cooperation rates of such cooperative subjects in Base, Amb, Amb_info, WAmb and WAmb_info are 21.20%, 25.50%, 19.30%, 15.10% and 22.40%, which are higher than individualistic subjects, respectively. Ambiguity responses do not indicate a clear pattern of cooperative choices, while sharing information consistently reduces cooperative choices compared to the corresponding treatments without it, regardless of the subjects’ characteristics of SVOs and ambiguity responses. Cooperative and individualistic subjects do not make cooperative choices under Amb_info as compared to Amb, and a similar trend is confirmed between WAmb_info and WAmb. Ambiguity neutral and averse subjects also show a reduction in cooperative choices under Amb_info and WAmb_info as compared to Amb and WAmb, respectively. In summary, Table 3 illustrates that cooperative subjects consistently exhibit higher cooperation than individualistic subjects and sharing information reduces cooperation regardless of subjects’ SVOs and ambiguity responses.
Table 3.
Percentages of cooperative choices by SVO and ambiguity responses.
Table 4 presents the estimation results associated with the marginal effects of independent variables on the probability for a subject to make a cooperative choice via probit and random-effects probit regressions. The dependent variable is a binary choice made by each subject, taking on 1 if the subject makes a cooperative choice (Blue choice), otherwise 0 (base group is Yellow choice). Models 1 and 3 include treatment dummy variables of Amb, Amb_info, WAmb and WAmb_info as independent ones where a base group is the baseline treatment, i.e., “Base”. Models 2 and 4 additionally include rounds from 1 to 10, SVOs and ambiguity responses as independent variables (see the notes of Table 4 for the definition of each independent variable). These models are estimated for robustness check. We have also tried to include some interaction terms of independent variables, confirming that the primary results do not change. Thus, we decide not to include the results. Since each subject provides 10 observations over 10 rounds in our experiments, the data possess a panel-data structure where a cross-sectional unit is a subject and a time unit is a round. Therefore, a random-effects probit regression is employed, accounting for some time-invariant factors, such as SVOs and ambiguity responses, as well as some time-variant factors, such as rounds, on top of treatment dummy variables [35].
Table 4.
Marginal effects of the independent variables on the probability for a subject to make a cooperative choice (Blue choice).
The regression results in Table 4 indicate that Amb and Amb_info are consistently significant at 1 to levels in all models with a negative sign. Subjects under Amb and Amb_info tend to reduce cooperation by 7.60 to points and 14.50 to points as compared to Base in all models, respectively. It implies that cooperative choices decline in the presence of threshold ambiguity, corroborating the findings from previous studies [15,16]. In addition, the magnitudes of estimated coefficients reveal that cooperative choices tend to further decrease when sharing the information. Table 4 also presents that WAmb is significant at level only in model 2 with a positive sign, and WAmb_info is significant at 1 to levels in models 1, 2 and 3 with a negative sign. Cooperative choices under WAmb increases by points in model 2 or do not necessarily decline as compared to Base, and the choices under WAmb_info decrease by 4.10 to points in models 1, 2 and 3. The results present that cooperation does not necessarily decrease under wide ambiguity, being supported by [36,37], whereas it again tends to decline by sharing the information. Overall, the findings illustrate some nonmonotonic responses of cooperative choices to ambiguity, that is, cooperation decreases and then increases as the ambiguity levels widen, and sharing the information has a negative impact on cooperation regardless of the levels. Later, we will closely examine the magnitudes of impacts by sharing the information under Amb and WAmb, respectively, through the subsample analyses presented in Table 5.
Table 5.
Marginal effects of subsample analyses in probit and random-effects probit models.
Round and SVOs are statistically significant at 1 to levels in models 2 and 4 (Table 4). Regarding the round, subjects tend to reduce cooperation by points as a round progresses, indicating a gradual decline in cooperation over time. The result aligns with previous studies in public goods provision (bads prevention) (see, e.g., [38,39,40]). Regarding the SVO dummies, cooperative subjects are more likely to make cooperative choices than individualistic ones by points and points in models 2 and 4, respectively. The finding is supported by some literature under various strategic settings, such as public goods game in [41], labor market and ultimatum games in [42] and prisoner’s dilemma and coordination games in [43]. An ambiguity neutral subject is anticipated to make more cooperative decisions than an ambiguity averse subject [44]. However, we find no significant relationship between the ambiguity response variable and the probability of a subject making a cooperative decision. Overall, the results reveal a decrease in cooperation over rounds and an increase in cooperation by cooperative subjects compared to individualistic ones, being in line with previous research.
We finally conduct the subsample analyses by utilizing data from Amb and Amb_info as well as from WAmb with WAmb_info, separately, and each subsample analysis considers that the base group and the treatment dummy are Amb (WAmb) and Amb_info (WAmb_info), respectively. Table 5 illustrate the impact of sharing the information on cooperative choices by comparing Amb with Amb_info (Table 5a) as well as WAmb with WAmb_info (Table 5b). Table 5a presents that Amb_info is statistically significant at 1 to levels in models 1, 2 and 3, demonstrating that subjects under Amb_info tend to reduce cooperation by 6.00 to points in models 1, 2 and 3 compared to those under Amb. Likewise, Table 5b presents that WAmb_info is significant at 1 to levels in all models with a negative sign, showing that subjects under WAmb_info tend to reduce cooperation by 9.90 to points in all models compared to those under WAmb. In summary, these results associated with subsample analyses confirm that cooperation decreases when sharing the information for each level of ambiguity, and it appears that the adverse effect is strong as the ambiguity levels widen (see the magnitudes of estimated coefficients under Amb_info and WAmb_info). Thus, sharing the information under ambiguity can be interpreted to influence people not to cooperate, worsening the situation with the levels.
Results from Figure 2 and Figure 3 as well as Table 4 and Table 5 demonstrate the impacts of threshold ambiguity and sharing information about the conjectures towards thresholds on cooperation. Figure 2 and Figure 3 and Table 4 show that cooperative choices under Amb are lower than those under Base, while the same tendencies are not observed under WAmb. The result implies a nonmonotonic response of cooperation to ambiguity levels. At the same time, we also observe that sharing the information tends to reduce cooperation for each of the ambiguity levels (see Figure 2 and Figure 3 and Table 4). The subsample analyses in Table 5 empirically corroborate such significant reductions of cooperation under Amb_info and WAmb_info as compared to Amb and WAmb, respectively. It is interpreted that impacts of sharing the information on cooperation are consistently negative, and the magnitude under wide ambiguity is more evident than that under ambiguity. Overall, these findings answer our research question, “how people’s cooperative choices are influenced by ambiguity and sharing information about the conjectures in public bads prevention?” as well as our hypothesis, “sharing the information does not necessarily contribute to cooperation”. Cooperative choices nonmonotonically respond to ambiguity levels, i.e., cooperation decreases under Amb and increases under WAmb. Sharing the information reduces cooperation under ambiguity and the adverse impact intensifies as the level rises.
4. Discussion
The nonmonotonic responses of cooperation to ambiguity in our experiments are considered to be in contrast with theoretical predictions by Kishishita and Ozaki, i.e., wide ambiguity decreases cooperation [16]. The discrepancy may arise because the theory is built under the assumption that people decide to cooperate by maximizing their expected utility with Choquet, which is integral to a common probability capacity across subjects. However, these assumptions may not align with the observations, as people tend to have different orientations and probability weights over thresholds under ambiguity. Instead, the minimax regret principle can be applied to explain the result, suggesting that people tend to behave to minimize the possible maximum regret or the possible worst regret under ambiguity. In our experiments, wide ambiguity treatment corresponds to thresholds of . In this case, each subject may consider the most regretful outcome to be the following situation: when the threshold is realized to be 4, nobody takes a cooperative choice. The most regret comes from the fact that public prevention is made by having one subject’s cooperative choice, i.e., each subject is pivotal. Therefore, the failure shall be considered the most regretful outcome by subjects, and we argue that subjects cooperate to avoid it under wide ambiguity, being consistent with the “minimax regret” principle [45,46,47].
Our second result, i.e., sharing information reduces cooperation, can be explained through some theory related to strategic uncertainty for collective decisions [48]. While some theory claims that sharing information generally reduces uncertainty [49,50], Cornand and Heinemann [51] argue that strategic uncertainty may amplified when subjects publicly share personal information. In our experiments, subjects conjecture about ambiguous thresholds and share these conjectures publicly as personal information. Therefore, sharing the conjectures can be interpreted to increase the strategic uncertainty under ambiguity, complicating the decisions. Specifically, each subject considers that everybody strategically reveals a conjecture for maximizing their payoff and recognizes that everyone else considers it in the same way in our experiments, creating a recursive process of guessing between oneself and others. Such a process can be considered to increase strategic uncertainty as well as to reduce cooperative choices as subjects question the credibility and intentions of the conjectures. Such situations reflect the ongoing challenges posed by digital democracy where sharing information is easy to do and effortless, but the ease of information dissemination can expose problems of credibility and intentions [52].
In the contemporary world, transformation into a digitally connected society is rapidly progressing [53,54]. This transformation is leading us into what is commonly referred to as an era of digital democracy where sharing any information is easy to do through devices [55,56]. In such environments, people can anonymously share any type of information across various platforms without accountability and responsibility. While such sharing contributes to information dissemination and communications among people on a positive side, it presents some new challenges as a negative side. Some studies argue that sharing unverified and irresponsible information impedes the overall welfare of people in societies [22,57]. As some global challenge involving threshold ambiguity, such as climate change, intensifies, it is claimed that the degree of ambiguity will widen and sharing information worsens the situations [20,58,59]. For example, some people may believe that climate change is a natural cyclical phenomenon that will self-correct, while others may argue for the urgent need to reduce CO2 emissions to alleviate the crisis [60,61,62,63]. Various intermediate opinions may arise and disseminate. In this context, our study is considered the first to document that allowing people to anonymously and freely share information about ambiguous thresholds without accountability and responsibility worsens the situations in public bads prevention. Given this state of affairs, it shall be recommended to reconsider and implement some rules and guidelines under platforms along with consensus among people in relation to anonymity, accountability and responsibility for sharing some information regarding the ambiguity when everybody can easily publicize their conjectures during an era of digital democracy under the rapid development of information technologies. Furthermore, our results reveal that cooperation declines after sharing the information under ambiguous conditions compared to the Base. This suggests that providing unified public information or fostering agreement could reduce strategic uncertainty and improve cooperation in public bads prevention.
5. Conclusions
Public bads prevention problems, such as climate change, require people to cooperate above a certain threshold, which is ambiguous and varies in many situations. In that case, people conjecture and share some information about the threshold. This research examines how people’s cooperative choices are influenced by ambiguity and sharing information about the conjectures towards threshold in public bads prevention, hypothesizing that sharing the information does not necessarily contribute to cooperation. We conduct a laboratory experiment with 400 subjects under five treatments, each of which differs in ambiguity as well as in the presence or absence of sharing the information. Firstly, the percentages of cooperative choices are nonmonotonic, decreasing and then increasing over ambiguity levels, which aligns with some existing literature. McBride [12,13] demonstrates that contributions in discrete public goods games can exhibit a nonmonotonic relationship with threshold uncertainty, particularly when the public good’s value is high or when individuals perceive their actions as pivotal. Kotani et al. [14] identify a nonmonotonic response in cooperation under threshold uncertainty in a provision point mechanism (PPM), where cooperation increases at intermediate and declines at higher levels of uncertainty. Kotani et al. [14] assume that the probability distribution of the threshold is known, allowing subjects to determine their expectations about the threshold. The absence of this information under ambiguity in our setup may explain the differences in findings. Secondly, we find that sharing information uniformly discourages cooperation, especially as ambiguity levels rise. This result highlights an adverse interaction between sharing information and threshold ambiguity in cooperation, which contrasts with the existing literature. This contrasts with prior studies, which generally report that sharing information, such as commitments, contributions, and intentions, enhances cooperation in public goods provision and bads prevention [5,6,7,8,17,18]. Our study, however, focuses on sharing individual conjectures about ambiguous thresholds, which likely amplifies strategic uncertainty and reveals diverse preferences, hindering collective action. Overall, this study suggests that how or what information is shared among people should be carefully reconsidered, as cooperation declines after sharing the information under ambiguity. The findings also highlight the need for unified public information or fostering agreement to reduce strategic uncertainty in resolving public bads problems during an era of digital democracy where everybody can easily publicize their conjectures.
This study has some limitations and opens future avenues for research. This research is limited to sharing the information about the conjectures towards an ambiguous threshold by announcing and displaying them on a common screen. Investigating other possibilities for sharing information, such as open discussions or text chats, will provide deep insights into how different methods of sharing the information influence cooperation. Additionally, the study does not explore the details of how sharing information influences individual decision making processes. Future research could examine some detailed mechanisms behind an adverse effect on cooperation, considering psychological aspects and social networks. Lastly, this study does not consider some possible institutions and policy interventions to mitigate the negative effects of sharing the information. Future research should be able to explore specific institutions or policies that reduce the impacts or promote cooperation in the presence of ambiguous thresholds. Despite these limitations, we believe that the study contributes to understanding cooperative behaviors in public bads prevention under ambiguous thresholds and the impact of sharing information about people’s conjectures towards the thresholds. It is also considered some groundwork for further research on the role of information in people’s cooperation when the world is evolving to be volatile, uncertain, complex and ambiguous, i.e., VUCA, over time [64,65,66].
Supplementary Materials
The following supporting information can be downloaded at: https://www.mdpi.com/article/10.3390/world6010007/s1, The S1 file contains Experimental instructions for the ambiguity with sharing info treatment (in .pdf), and the S2 file contains all the necessary data to replicate the statistical and regression results presented in this paper (in .xlsx).
Author Contributions
Conceptualization, I.M.T., K.T. and K.K.; methodology, I.M.T., K.T. and K.K.; software, I.M.T., K.T. and K.K.; validation, I.M.T., K.T. and K.K.; formal analysis, I.M.T., K.T. and K.K.; investigation, I.M.T., K.T. and K.K.; resources, I.M.T., K.T. and K.K.; data curation, I.M.T. and K.T.; writing—original draft preparation, I.M.T. and K.K.; writing—review and editing, I.M.T., K.T. and K.K.; visualization, I.M.T., K.T. and K.K.; supervision, K.K.; project administration, I.M.T., K.T. and K.K.; funding acquisition, K.K. and K.T. All authors have read and agreed to the published version of the manuscript.
Funding
This research was supported by the Japan Society for the Promotion of Science: Grant-in-Aid for Scientific Research (B) [19H01485] (https://kaken.nii.ac.jp/en/grant/KAKENHI-PROJECT-19H01485/, accessed on 25 December 2024), Fostering Joint International Research (B) [22KK0020] (https://kaken.nii.ac.jp/en/grant/KAKENHI-PROJECT-22KK0020/, accessed on 25 December 2024) of KK, Grant-in-Aid for Challenging Research (Exploratory) [20K20765] (https://kaken.nii.ac.jp/en/grant/KAKENHI-PROJECT-20K20765/, accessed on 25 December 2024) of KT, and personal research fund from Japan Science and Technology Agency [SP21-041-01] of IMT.
Institutional Review Board Statement
This study was conducted in accordance with the Declaration of Helsinki and approved by the Institutional Review Board (or Ethics Committee) of Kochi University of Technology (Approval Numbers: 38-C2 and 248).
Informed Consent Statement
Informed consent was obtained from all subjects involved in the study.
Data Availability Statement
All relevant data are within the manuscript and its Supporting Supplementary File (S2).
Acknowledgments
We would like to thank the anonymous five reviewers, Yutaka Kobayashi, Ryohei Hayashi, Moinul Islam, Khatun Mst Asma, Rahman Md. Mostafizur, Husniddin Sharofiddinov, Yuki Nasu and Tomohiro Sunagawa for their helpful comments, advice, and support.
Conflicts of Interest
The authors declare no conflicts of interest.
References
- Mora, C.; Spirandelli, D.; Franklin, E.; Lynham, J.; Kantar, M.; Miles, W.; Smith, C.; Freel, K.; Moy, J.; Louis, L.; et al. Broad threat to humanity from cumulative climate hazards intensified by greenhouse gas emissions. Nat. Clim. Change 2018, 8, 1062–1071. [Google Scholar] [CrossRef]
- Lavonen, J. Climate education: A grand challenge. J. Balt. Sci. Educ. 2022, 21, 176–178. [Google Scholar] [CrossRef]
- Lenton, T.; Held, H.; Kriegler, E.; Hall, J.; Lucht, W.; Rahmstorf, S.; Schellnhuber, H. Tipping elements in the Earth’s climate system. Proc. Natl. Acad. Sci. USA 2008, 105, 1786–1793. [Google Scholar] [CrossRef]
- Barrett, S.; Dannenberg, A. Climate negotiations under scientific uncertainty. Proc. Natl. Acad. Sci. USA 2012, 109, 17372–17376. [Google Scholar] [CrossRef] [PubMed]
- Tavoni, A.; Dannenberg, A.; Kallis, G.; Löschel, A. Inequality, communication, and the avoidance of disastrous climate change in a public goods game. Proc. Natl. Acad. Sci. USA 2011, 108, 11825–11829. [Google Scholar] [CrossRef]
- Palfrey, T.; Rosenthal, H.; Roy, N. How cheap talk enhances efficiency in threshold public goods games. Games Econ. Behav. 2017, 101, 234–259. [Google Scholar] [CrossRef]
- Kenkel, B. The efficacy of cheap talk in collective action problems. J. Theor. Politics 2019, 31, 370–402. [Google Scholar] [CrossRef]
- Marini, M.; García-Gallego, A.; Corazzini, L. Communication in a threshold public goods game under ambiguity. Appl. Econ. 2020, 52, 5821–5842. [Google Scholar] [CrossRef]
- Sunstein, C. Democracy and the Internet; Cambridge University Press: Cambridge, UK, 2008; Chapter 5; pp. 93–110. [Google Scholar]
- Stalder, F. The Digital Condition; John Wiley & Sons: Hoboken, NJ, USA, 2018. [Google Scholar]
- Ahmad, T.; Ahmed, S.; Ali, S.; Khan, R. Beginning with exploring the way for rumor free social networks. J. Stat. Manag. Syst. 2020, 23, 231–238. [Google Scholar] [CrossRef]
- McBride, M. Discrete public goods under threshold uncertainty. J. Public Econ. 2006, 90, 1181–1199. [Google Scholar] [CrossRef]
- McBride, M. Threshold uncertainty in discrete public good games: An experimental study. Econ. Gov. 2010, 11, 77–99. [Google Scholar] [CrossRef]
- Kotani, K.; Tanaka, K.; Managi, S. Cooperative choice and its framing effect under threshold uncertainty in a provision point mechanism. Econ. Gov. 2014, 15, 329–353. [Google Scholar] [CrossRef][Green Version]
- Dannenberg, A.; Löschel, A.; Paolacci, G.; Reif, C.; Tavoni, A. On the provision of public goods with probabilistic and ambiguous thresholds. Environ. Resour. Econ. 2015, 61, 365–383. [Google Scholar] [CrossRef]
- Kishishita, D.; Ozaki, H. Public goods game with ambiguous threshold. Econ. Lett. 2020, 191, 109165. [Google Scholar] [CrossRef]
- Agastya, M.; Menezes, F.; Sengupta, K. Cheap talk, efficiency and egalitarian cost sharing in joint projects. Games Econ. Behav. 2007, 60, 1–19. [Google Scholar] [CrossRef]
- Costa, F.; Moreira, H. On the Limits of Cheap Talk for Public Good Provision. Available online: https://ssrn.com/abstract=2029331 (accessed on 18 June 2024).
- Chen, Q.; Chen, T.; Wang, Y. Cleverly handling the donation information can promote cooperation in public goods game. Appl. Math. Comput. 2019, 346, 363–373. [Google Scholar] [CrossRef]
- Lampert, A. Information sharing may impede the success of environmental projects. J. Environ. Manag. 2020, 270, 110946. [Google Scholar] [CrossRef] [PubMed]
- Barron, K.; Nurminen, T. Nudging cooperation in public goods provision. J. Behav. Exp. Econ. 2020, 88, 101542. [Google Scholar] [CrossRef]
- Kennedy, J. Digital Media, Sharing and Everyday Life; Routledge: Brighton, UK, 2019. [Google Scholar]
- Cann, T.; Weaver, I.; Williams, H. Ideological biases in social sharing of online information about climate change. PLoS ONE 2021, 16, e0250656. [Google Scholar] [CrossRef] [PubMed]
- Van Lange, P.; De Bruin, E.; Otten, W.; Joireman, J. Development of prosocial, individualistic, and competitive orientations: Theory and preliminary evidence. J. Personal. Soc. Psychol. 1997, 73, 733–746. [Google Scholar] [CrossRef]
- Van Lange, P.; Bekkers, R.; Chirumbolo, A.; Leone, L. Are conservatives less likely to be prosocial than liberals? From games to ideology, political preferences and voting. Eur. J. Personal. 2012, 26, 461–473. [Google Scholar] [CrossRef]
- Halevy, Y. Ellsberg revisited: An experimental study. Econometrica 2007, 75, 503–536. [Google Scholar] [CrossRef]
- Borghans, L.; Duckworth, A.; Heckman, J.; Ter Weel, B. The economics and psychology of personality traits. J. Hum. Resour. 2008, 43, 972–1059. [Google Scholar]
- Fitzenberger, B.; Mena, G.; Nimczik, J.; Sunde, U. Personality traits across the life cycle: Disentangling age, period and cohort effects. Econ. J. 2022, 132, 2141–2172. [Google Scholar] [CrossRef]
- Murphy, R.O.; Ackermann, K.A. Social value orientation: Theoretical and measurement issues in the study of social preferences. Personal. Soc. Psychol. Rev. 2014, 18, 13–41. [Google Scholar] [CrossRef]
- Levati, M.; Napel, S.; Soraperra, I. Collective choices under ambiguity. Group Decis. Negot. 2016, 26, 133–149. [Google Scholar] [CrossRef][Green Version]
- Vinogradov, D.; Makhlouf, Y. Signaling probabilities in ambiguity: Who reacts to vague news? Theory Decis. 2021, 90, 371–404. [Google Scholar] [CrossRef]
- Sonnemans, J.; Schram, A.; Offerman, T. Public good provision and public bad prevention: The effect of framing. J. Econ. Behav. Organ. 1998, 34, 143–161. [Google Scholar] [CrossRef]
- Park, E. Warm-glow versus cold-prickle: A further experimental study of framing effects on free-riding. J. Econ. Behav. Organ. 2000, 43, 405–421. [Google Scholar] [CrossRef]
- Fischbacher, U. z-Tree: Zurich toolbox for ready-made economic experiments. Exp. Econ. 2007, 10, 171–178. [Google Scholar] [CrossRef]
- Wooldridge, J. Econometric Analysis of Cross Section and Panel Data; MIT Press: Cambridge, MA, USA, 2010. [Google Scholar]
- Rocha, J.; Schill, C.; Saavedra-Díaz, L.; Moreno, R.; Maldonado, J. Cooperation in the face of thresholds, risk, and uncertainty: Experimental evidence in fisher communities from Colombia. PLoS ONE 2020, 15, e0242363. [Google Scholar] [CrossRef] [PubMed]
- De Jaegher, K. High thresholds encouraging the evolution of cooperation in threshold public-good games. Sci. Rep. 2020, 10, 5863. [Google Scholar] [CrossRef] [PubMed]
- Keser, C.; Van Winden, F. Conditional cooperation and voluntary contributions to public goods. Scand. J. Econ. 2000, 102, 23–39. [Google Scholar] [CrossRef]
- Fischbacher, U.; Gächter, S. Social preferences, beliefs, and the dynamics of free riding in public goods experiments. Am. Econ. Rev. 2010, 100, 541–556. [Google Scholar] [CrossRef]
- Andreozzi, L.; Ploner, M.; Saral, A. The stability of conditional cooperation: Beliefs alone cannot explain the decline of cooperation in social dilemmas. Sci. Rep. 2020, 10, 13610. [Google Scholar] [CrossRef] [PubMed]
- De Cremer, D.; Van Lange, P. Why prosocials exhibit greater cooperation than proselfs: The roles of social responsibility and reciprocity. Eur. J. Personal. 2001, 15, S5–S18. [Google Scholar] [CrossRef]
- Gintis, H.; Bowles, S.; Boyd, R.; Fehr, E. Explaining altruistic behavior in humans. Evol. Hum. Behav. 2003, 24, 153–172. [Google Scholar] [CrossRef]
- Emonds, G.; Declerck, C.; Boone, C.; Seurinck, R.; Achten, R. Establishing cooperation in a mixed-motive social dilemma. An fMRI study investigating the role of social value orientation and dispositional trust. Soc. Neurosci. 2014, 9, 10–22. [Google Scholar] [CrossRef] [PubMed]
- Kellner, C.; Le Quement, M.; Riener, G. Reacting to ambiguous messages: An experimental analysis. Games Econ. Behav. 2022, 136, 360–378. [Google Scholar] [CrossRef]
- Savage, L. The theory of statistical decision. J. Am. Stat. Assoc. 1951, 46, 55–67. [Google Scholar] [CrossRef]
- Zeelenberg, M. Anticipated regret, expected feedback and behavioral decision making. J. Behav. Decis. Mak. 1999, 12, 93–106. [Google Scholar] [CrossRef]
- Luce, R.; Raiffa, H. Games and Decisions: Introduction and Critical Survey; Courier Corporation: North Chelmsford, MA, USA, 2012. [Google Scholar]
- Heinemann, F.; Nagel, R.; Ockenfels, P. Measuring strategic uncertainty in coordination games. Rev. Econ. Stud. 2009, 76, 181–221. [Google Scholar] [CrossRef]
- Datta, P.; Christopher, M. Information sharing and coordination mechanisms for managing uncertainty in supply chains: A simulation study. Int. J. Prod. Res. 2011, 49, 765–803. [Google Scholar] [CrossRef]
- Wellmann, J. Information theory for correlation analysis and estimation of uncertainty reduction in maps and models. Entropy 2013, 15, 1464–1485. [Google Scholar] [CrossRef]
- Cornand, C.; Heinemann, F. Measuring agents’ reaction to private and public information in games with strategic complementarities. Exp. Econ. 2014, 17, 61–77. [Google Scholar] [CrossRef]
- Schirch, L. Digital information, conflict and democracy. In Social Media Impacts on Conflict and Democracy; Routledge: Brighton, UK, 2021; pp. 21–42. [Google Scholar]
- Rometty, G. Digital today, cognitive tomorrow. MIT Sloan Manag. Rev. 2016, 58, 28. [Google Scholar]
- Ranjith, P.; Varma, A.; Ashwini, J. Connected societies through digital transformation. In Emerging Challenges, Solutions, and Best Practices for Digital Enterprise Transformation; IGI Global: Hershey, PA, USA, 2021; pp. 199–220. [Google Scholar]
- Helbing, D.; Pournaras, E. Society: Build digital democracy. Nature 2015, 527, 33–34. [Google Scholar] [CrossRef]
- Turner, G. The media and democracy in the digital era: Is this what we had in mind? Media Int. Aust. 2018, 168, 3–14. [Google Scholar] [CrossRef]
- Mario, P.; Daria, M. The new paradigm of participatory communication as a result of participatory culture of digital media. Media Cult. Public Relat. 2016, 7, 143–149. [Google Scholar]
- Petr, M.; Boerboom, L.; Ray, D.; Veen, A. New climate change information modifies frames and decisions of decision makers: An exploratory study in forest planning. Reg. Environ. Change 2016, 16, 1161–1170. [Google Scholar] [CrossRef]
- Koundouri, P.; Pittis, N.; Samartzis, P.; Englezos, N.; Papandreou, A. Alternative types of ambiguity and their effects on climate change regulation. Open Res. Eur. 2022, 2, 9. [Google Scholar] [CrossRef] [PubMed]
- Freeman, M. Debate: Why is everyone except me wrong about climate change policy? Public Money Manag. 2018, 38, 328–330. [Google Scholar] [CrossRef]
- Gray, B.; Gill, D.; Friedman, J. Analogies and natural cycles in climate change skepticism. Hum. Organ. 2019, 78, 181–191. [Google Scholar] [CrossRef]
- Hoogendoorn, G.; Sütterlin, B.; Siegrist, M. The climate change beliefs fallacy: The influence of climate change beliefs on the perceived consequences of climate change. J. Risk Res. 2020, 23, 1577–1589. [Google Scholar] [CrossRef]
- Hornsey, M.; Fielding, K. Understanding (and reducing) inaction on climate change. Soc. Issues Policy Rev. 2020, 14, 3–35. [Google Scholar] [CrossRef]
- Nandram, S.; Bindlish, P. Managing VUCA Through Integrative Self-Management; Springer: Berlin/Heidelberg, Germany, 2017. [Google Scholar]
- Sinha, D.; Sinha, S. Managing in a VUCA world: Possibilities and pitfalls. J. Technol. Manag. Grow. Econ. 2020, 11, 17–21. [Google Scholar] [CrossRef]
- Ran, M.; Li, M.; Zhao, Y. Long-range mobility and cooperation evolution under condition of different information amounts. Chaos Solitons Fractals 2023, 173, 113759. [Google Scholar] [CrossRef]
Disclaimer/Publisher’s Note: The statements, opinions and data contained in all publications are solely those of the individual author(s) and contributor(s) and not of MDPI and/or the editor(s). MDPI and/or the editor(s) disclaim responsibility for any injury to people or property resulting from any ideas, methods, instructions or products referred to in the content. |
© 2025 by the authors. Licensee MDPI, Basel, Switzerland. This article is an open access article distributed under the terms and conditions of the Creative Commons Attribution (CC BY) license (https://creativecommons.org/licenses/by/4.0/).


