World Modeling for Autonomous Wheel Loaders
Abstract
1. Introduction
2. Related Work
3. Methodology
4. Wheel Loader World Models
4.1. Preface and Nomenclature
4.2. Global and Local Pile State
| Algorithm 1: Long-horizon prediction using world models |
![]() |
4.3. Local Pile Characteristics
4.4. Performance Predictor Model
4.5. Pile State Predictor Model
4.5.1. Post-Processing
4.6. Low-Dimensional Pile State Prediction Using Cellular Automata
4.7. Delimitations
5. Simulator and Loading Controller
5.1. Simulator
5.2. Loading Controller
6. Data Collection and Model Training
6.1. Loading Outcome
6.2. Data Collection
6.3. Local Heightmap Settings
6.4. Model Training
6.4.1. Performance Predictor Model
6.4.2. Pile State Predictor Models
7. Results
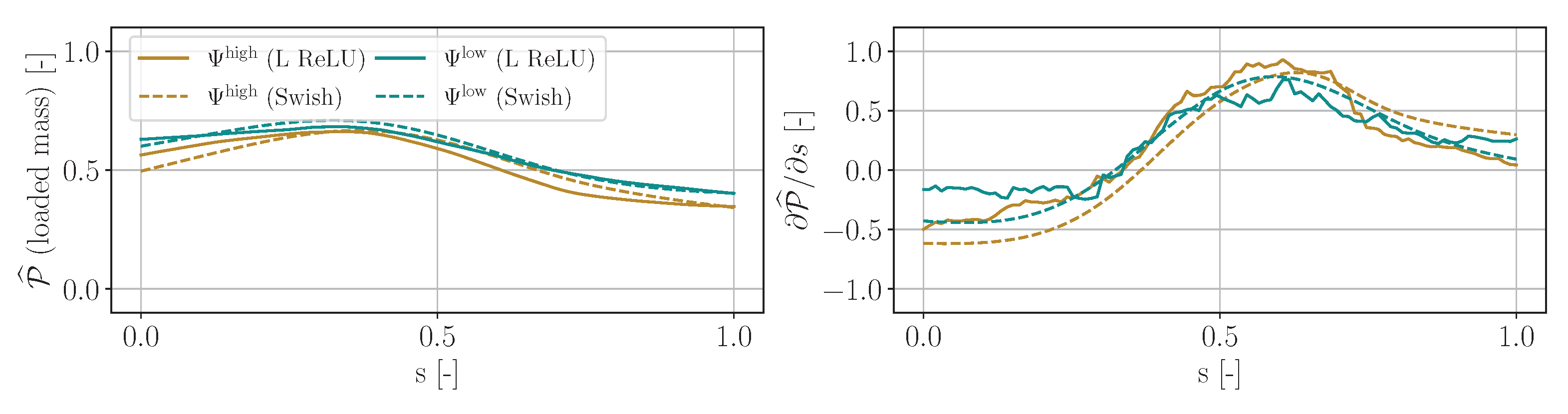
7.1. Performance Predictor Model
7.2. Pile State Predictor Model
7.3. Sequential Loading Predictions
7.4. Diggability Map
8. Discussion
8.1. Feasibility
8.2. Applications
8.3. Implications and Future Research
9. Conclusions
Supplementary Materials
Author Contributions
Funding
Institutional Review Board Statement
Informed Consent Statement
Data Availability Statement
Acknowledgments
Conflicts of Interest
Appendix A. Overview of the Dataset


Appendix B. Model Performance Dependency on Hyperparameters

Appendix C. Model Differentiability

References
- Dadhich, S.; Sandin, F.; Bodin, U.; Andersson, U.; Martinsson, T. Adaptation of a wheel loader automatic bucket filling neural network using reinforcement learning. In Proceedings of the 2020 International Joint Conference on Neural Networks (IJCNN), Glasgow, UK, 19–24 July 2020; pp. 1–9. [Google Scholar] [CrossRef]
- Azulay, O.; Shapiro, A. Wheel Loader Scooping Controller Using Deep Reinforcement Learning. IEEE Access 2021, 9, 24145–24154. [Google Scholar] [CrossRef]
- Fernando, H.; Marshall, J. What lies beneath: Material classification for autonomous excavators using proprioceptive force sensing and machine learning. Autom. Constr. 2020, 119, 103374. [Google Scholar] [CrossRef]
- Backman, S.; Lindmark, D.; Bodin, K.; Servin, M.; Mörk, J.; Löfgren, H. Continuous Control of an Underground Loader Using Deep Reinforcement Learning. Machines 2021, 9, 216. [Google Scholar] [CrossRef]
- Eriksson, D.; Ghabcheloo, R. Comparison of machine learning methods for automatic bucket filling: An imitation learning approach. Autom. Constr. 2023, 150, 104843. [Google Scholar] [CrossRef]
- Halbach, E.; Kämäräinen, J.; Ghabcheloo, R. Neural Network Pile Loading Controller Trained by Demonstration. In Proceedings of the 2019 International Conference on Robotics and Automation (ICRA), Montreal, QC, Canada, 20–24 May 2019; pp. 980–986. [Google Scholar] [CrossRef]
- Borngrund, C.; Sandin, F.; Bodin, U. Deep-learning-based vision for earth-moving automation. Autom. Constr. 2022, 133, 104013. [Google Scholar] [CrossRef]
- Singh, S.; Simmons, R. Task Planning For Robotic Excavation. In Proceedings of the IEEE/RSJ International Conference on Intelligent Robots and Systems, Raleigh, NC, USA, 7–10 July 1992; Volume 2, pp. 1284–1291. [Google Scholar] [CrossRef]
- Hemami, A.; Hassani, F. An Overview of Autonomous Loading of Bulk Material. In Proceedings of the 26th ISARC, Austin, TX, USA, 24–27 June 2009; pp. 405–411. [Google Scholar] [CrossRef]
- Filla, R.; Frank, B. Towards finding the optimal bucket filling strategy through simulation. In Proceedings of the 15th Scandinavian International Conference on Fluid Power, Linköping, Sweden, 7–9 June 2017; Number 144. pp. 402–417. [Google Scholar] [CrossRef]
- Aoshima, K.; Servin, M.; Wadbro, E. Simulation-Based Optimization of High-Performance Wheel Loading. In Proceedings of the 38th International Symposium on Automation and Robotics in Construction (ISARC), Dubai, United Arab Emirates, 2–4 November 2021. [Google Scholar] [CrossRef]
- Sotiropoulos, F.E.; Asada, H.H. Dynamic Modeling of Bucket-Soil Interactions Using Koopman-DFL Lifting Linearization for Model Predictive Contouring Control of Autonomous Excavators. IEEE Robot. Autom. Lett. 2022, 7, 151–158. [Google Scholar] [CrossRef]
- Sotiropoulos, F.E.; Asada, H.H. Autonomous Excavation of Rocks Using a Gaussian Process Model and Unscented Kalman Filter. IEEE Robot. Autom. Lett. 2020, 5, 2491–2497. [Google Scholar] [CrossRef]
- Saku, Y.; Aizawa, M.; Ooi, T.; Ishigami, G. Spatio-temporal prediction of soil deformation in bucket excavation using machine learning. Adv. Robot. 2021, 35, 1404–1417. [Google Scholar] [CrossRef]
- Wagner, W.J.; Driggs-Campbell, K.; Soylemezoglu, A. Model Learning and Predictive Control for Autonomous Obstacle Reduction via Bulldozing. In Proceedings of the 2022 IEEE/RSJ International Conference on Intelligent Robots and Systems (IROS), Kyoto, Japan, 23–27 October 2022; pp. 6531–6538. [Google Scholar] [CrossRef]
- Lindmark, D.M.; Servin, M. Computational exploration of robotic rock loading. Robot. Auton. Syst. 2018, 106, 117–129. [Google Scholar] [CrossRef]
- Wang, S.; Yu, S.; Hou, L.; Wu, B.; Wu, Y. Prediction of Bucket Fill Factor of Loader Based on Three-Dimensional Information of Material Surface. Electronics 2022, 11, 2841. [Google Scholar] [CrossRef]
- Dadhich, S.; Bodin, U.; Andersson, U. Key challenges in automation of earth-moving machines. Autom. Constr. 2016, 68, 212–222. [Google Scholar] [CrossRef]
- Aoshima, K.; Servin, M. Examining the simulation-to-reality gap of a wheel loader digging in deformable terrain. arXiv 2023, arXiv:2310.05765. [Google Scholar]
- Servin, M.; Berglund, T.; Nystedt, S. A multiscale model of terrain dynamics for real-time earthmoving simulation. Adv. Model. Simul. Eng. Sci. 2021, 8, 11. [Google Scholar] [CrossRef]
- Dobson, A.; Marshall, J.; Larsson, J. Admittance Control for Robotic Loading: Design and Experiments with a 1-Tonne Loader and a 14-Tonne Load-Haul-Dump Machine. J. Field Robot. 2017, 34, 123–150. [Google Scholar] [CrossRef]
- Singh, S.P.; Narendrula, R. Factors affecting the productivity of loaders in surface mines. Int. J. Min. Reclam. Environ. 2006, 20, 20–32. [Google Scholar] [CrossRef]
- Singh, S.; Cannon, H. Multi-resolution planning for earthmoving. In Proceedings of the 1998 IEEE International Conference on Robotics and Automation (Cat. No.98CH36146), Leuven, Belgium, 20 May 1998; Volume 1, pp. 121–126. [Google Scholar] [CrossRef]
- Magnusson, M.; Almqvist, H. Consistent Pile-shape quantification for autonomous wheel loaders. In Proceedings of the 2011 IEEE/RSJ International Conference on Intelligent Robots and Systems, San Francisco, CA, USA, 25–30 September 2011; pp. 4078–4083. [Google Scholar] [CrossRef]
- Kuchur, N. Landscape Generator (Github Repository). 2021. Available online: https://github.com/nikitakuchur/landscape-generator (accessed on 1 June 2021).
- Kingma, D.P.; Welling, M. An introduction to variational autoencoders. Found. Trends® Mach. Learn. 2019, 12, 307–392. [Google Scholar] [CrossRef]
- Pla-Castells, M.; García, I.; Martínez, R.J. Approximation of continuous media models for granular systems using cellular automata. In Cellular Automata, Proceedings of the 6th International Conference on Cellular Automata for Research and Industry, Amsterdam, The Netherlands, 25–28 October 2004; Springer: Berlin/Heidelberg, Germany, 2004; pp. 230–237. [Google Scholar] [CrossRef]
- Komatsu Ltd. WA320-7; Komatsu Ltd.: Tokyo, Japan, 2017. [Google Scholar]
- Algoryx Simulations. AGX Dynamics; Algoryx Simulations: Umeå, Sweden, 2023. [Google Scholar]
- Perlin, K. An Image Synthesizer. Acm Siggraph Comput. Graph. 1985, 19, 287–296. [Google Scholar] [CrossRef]
- Ramachandran, P.; Zoph, B.; Le, Q.V. Searching for Activation Functions. arXiv 2017, arXiv:1710.05941. [Google Scholar] [CrossRef]
- Magnusson, M.; Kucner, T.; Lilienthal, A.J. Quantitative evaluation of coarse-to-fine loading strategies for material rehandling. In Proceedings of the 2015 IEEE International Conference on Automation Science and Engineering (CASE), Gothenburg, Sweden, 24–28 August 2015; pp. 450–455. [Google Scholar] [CrossRef]
- Chen, G.; Wang, Y.; Li, X.; Bi, Q.; Li, X. Shovel Point Optimization for Unmanned Loader Based on Pile Reconstruction. Computer-Aided Civil and Infrastructure Engineering, n/a. Available online: https://onlinelibrary.wiley.com/doi/pdf/10.1111/mice.13190 (accessed on 1 January 2022). [CrossRef]
















| L ReLU | Swish | L ReLU | Swish | |
|---|---|---|---|---|
| mass MRE [%] | 7.77 | 7.58 | ||
| time MRE [%] | 5.66 | 5.41 | ||
| work MRE [%] | 8.51 | 8.47 | ||
| training time [s] | 1.9 | 1.92 | ||
| inference time [ms] | 1.13 | 1.27 | ||
| p-p | MAE [m3] | MRE [%] | Inference Time [ms] |
|---|---|---|---|
| on | 0.75 | 3.04 | 4.51 |
| off | 0.84 | 3.41 | 4.48 |
| Load Mass [tonne] | Loading Time [s] | Work [MJ] | Pile Volume [m3] | |||||||||
|---|---|---|---|---|---|---|---|---|---|---|---|---|
| N | GT | Ψhigh | Ψlow | GT | Ψhigh | Ψlow | GT | Ψhigh | Ψlow | GT | Φ | cell.aut. |
| 5 | 14.7 | 15.7 | 16.1 | 55.8 | 53.2 | 54.5 | 2.0 | 2.0 | 2.0 | 768.6 | 765.9 | 767.7 |
| 10 | 28.2 | 31.5 | 31.3 | 106.1 | 101.0 | 101.9 | 4.1 | 3.9 | 3.8 | 760.7 | 755.9 | 758.8 |
| 15 | 40.8 | 45.3 | 47.0 | 161.1 | 155.4 | 154.5 | 6.5 | 6.1 | 6.0 | 753.3 | 745.6 | 749.7 |
| 20 | 56.8 | 62.0 | 64.4 | 218.0 | 210.8 | 208.1 | 8.9 | 8.5 | 8.3 | 744.0 | 728.7 | 739.5 |
| 25 | 71.0 | 75.4 | 80.6 | 273.7 | 265.7 | 260.2 | 11.1 | 10.6 | 10.4 | 735.7 | 714.7 | 730.1 |
| 30 | 86.1 | 90.5 | 96.6 | 327.3 | 318.7 | 308.9 | 13.2 | 12.8 | 12.4 | 726.9 | 700.1 | 720.7 |
| 35 | 101.4 | 106.3 | 114.3 | 389.4 | 385.1 | 369.9 | 15.7 | 15.3 | 14.6 | 718.0 | 679.1 | 710.4 |
| 40 | 116.0 | 118.6 | 130.9 | 443.0 | 441.9 | 418.8 | 17.9 | 17.4 | 16.6 | 709.5 | 664.2 | 700.6 |
Disclaimer/Publisher’s Note: The statements, opinions and data contained in all publications are solely those of the individual author(s) and contributor(s) and not of MDPI and/or the editor(s). MDPI and/or the editor(s) disclaim responsibility for any injury to people or property resulting from any ideas, methods, instructions or products referred to in the content. |
© 2024 by the authors. Licensee MDPI, Basel, Switzerland. This article is an open access article distributed under the terms and conditions of the Creative Commons Attribution (CC BY) license (https://creativecommons.org/licenses/by/4.0/).
Share and Cite
Aoshima, K.; Fälldin, A.; Wadbro, E.; Servin, M. World Modeling for Autonomous Wheel Loaders. Automation 2024, 5, 259-281. https://doi.org/10.3390/automation5030016
Aoshima K, Fälldin A, Wadbro E, Servin M. World Modeling for Autonomous Wheel Loaders. Automation. 2024; 5(3):259-281. https://doi.org/10.3390/automation5030016
Chicago/Turabian StyleAoshima, Koji, Arvid Fälldin, Eddie Wadbro, and Martin Servin. 2024. "World Modeling for Autonomous Wheel Loaders" Automation 5, no. 3: 259-281. https://doi.org/10.3390/automation5030016
APA StyleAoshima, K., Fälldin, A., Wadbro, E., & Servin, M. (2024). World Modeling for Autonomous Wheel Loaders. Automation, 5(3), 259-281. https://doi.org/10.3390/automation5030016


