Luminescence of the Conjugate Bases of [2-(2-Hydroxyphenyl)phenyl]phosphinic Acid and Single-Crystal X-Ray Structure Determination of Sodium [2-(2-Hydroxyphenyl)phenyl]phosphinate
Abstract
1. Introduction
2. Experimental Section
2.1. Materials and Methods
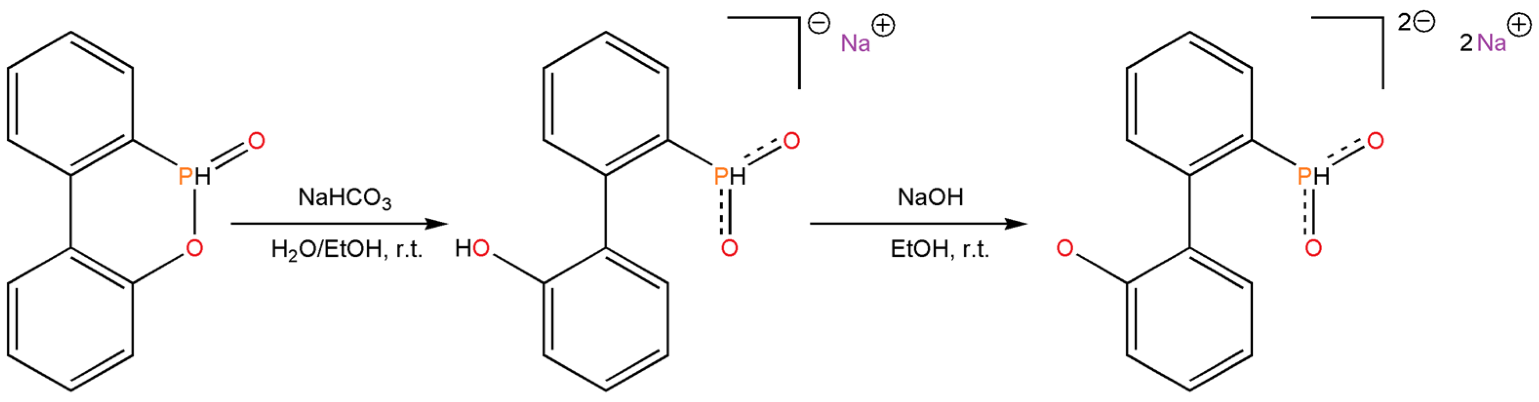
2.2. Synthesis of Na[OH-Ph-Ph-PHO2]
2.3. Synthesis of Na2[O-Ph-Ph-PHO2]
2.4. Preparation of Doped Cellulose Samples
2.5. Characterizations
2.6. Crystal Structure Determination
2.7. Absorption and Emission Measurements
2.8. DFT Calculations
3. Results
3.1. Synthesis and Characterization of Na[OH-Ph-Ph-PHO2] and Na2[O-Ph-Ph-PHO2]
3.2. Luminescence, Doped Cellulose and DFT Calculations
4. Conclusions
Supplementary Materials
Author Contributions
Funding
Data Availability Statement
Acknowledgments
Conflicts of Interest
References
- Saito, T. Cyclic Organophosphorus Compounds and Process for Making Same. US3702878A, 14 November 1972. [Google Scholar]
- Pack, S. A Review of Non-halogen Flame Retardants in Epoxy-Based Composites and Nanocomposites: Flame Retardancy and Rheological Properties. In Flame Retardants; Visakh, P.M., Arao, Y., Eds.; Springer: Berlin/Heidelberg, Germany, 2015; pp. 115–130. [Google Scholar]
- Rakotomalala, M.; Wagner, S.; Döring, M. Recent Developments in Halogen Free Flame Retardants for Epoxy Resins for Electrical and Electronic Applications. Materials 2010, 3, 4300–4327. [Google Scholar] [CrossRef] [PubMed]
- Waaijers, S.L.; Hartmaan, J.; Soeter, A.M.; Helmus, R. Toxicity of new generation flame retardants to Daphnia magna. Sci. Total Environ. 2013, 463–464, 1042–1048. [Google Scholar] [CrossRef] [PubMed]
- Hirsch, C.; Striegl, B.; Mathes, S.; Adlhart, C.; Edelmann, M.; Bono, E.; Gaan, S.; Salmeia, K.A.; Hoelting, L.; Krebs, A.; et al. Multiparameter toxicity assessment of novel DOPO-derived organophosphorus flame retardants. Arch. Toxicol. 2017, 91, 407–425. [Google Scholar] [CrossRef]
- White, K.M.; Angell, Y.L.; Angell, S.E.; Mack, A.G. Dopo-Derived Flame Retardant and Epoxy Resin Composition. WO2010135393A1, 25 November 2010. [Google Scholar]
- Kishimoto, D.; Umeki, Y. High Melting Point Flame Retardant Crystal and Method for Manufacturing the Same, Epoxy Resin Composition Containing the Flame Retardant, and Prepreg and Flame Retardant Laminate Using the Composition. US20130053473A1, 21 June 2016. [Google Scholar]
- Dittrich, U.; Just, B.; Döring, M.; Ciesielski, M. Process for the Preparation of 9,10-dihydro-9-oxa-10-organylphosphaphenanthrene-10-oxide and Derivatives of the Same Substituted on the Phenyl Groups. US20050038279A1, 8 January 2008. [Google Scholar]
- Stelzig, T.; Bommer, L.; Gaan, S.; Buczko, A. DOPO-Based Hybrid Flame Retardants. US20170081590A1, 11 September 2018. [Google Scholar]
- Gaan, S.; Neisius, M.; Mercoli, P.; Liang, S.; Mispreuve, H.; Näscher, R. Novel Phosphonamidates-Synthesis and Flame Retardant Application. WO2013020696A2, 14 February 2013. [Google Scholar]
- Stawinski, J.; Kraszewski, A. How to Get the Most Out of Two Phosphorus Chemistries. Studies on H-Phosphonates. Acc. Chem. Res. 2002, 35, 952–960. [Google Scholar] [CrossRef] [PubMed]
- Montchamp, J.-L. Phosphinate Chemistry in the 21st Century: A Viable Alternative to the Use of Phosphorus Trichloride in Organophosphorus Synthesis. Acc. Chem. Res. 2014, 47, 77–87. [Google Scholar] [CrossRef]
- Salmeia, K.A.; Gaan, S. An overview of some recent advances in DOPO-derivatives: Chemistry and flame retardant applications. Polym. Degrad. Stab. 2015, 113, 119–134. [Google Scholar] [CrossRef]
- Artner, J.; Ciesielski, M.; Walter, O.; Döring, M.; Perez, R.M.; Sandler, J.K.W.; Altstädt, V.; Schartel, B. A Novel DOPO-Based Diamine as Hardener and Flame Retardant for Epoxy Resin Systems. Macromol. Mater. Eng. 2008, 293, 503–514. [Google Scholar] [CrossRef]
- Shree Meenakshi, K.; Pradeep Jaya Sudhan, E.; Ananda Kumar, S.; Umapathy, M.J. Development and characterization of novel DOPO based phosphorus tetraglycidyl epoxy nanocomposites for aerospace applications. Prog. Org. Coat. 2011, 72, 402–409. [Google Scholar] [CrossRef]
- Lin, C.H.; Huang, C.M.; Wang, M.W.; Dai, S.A.; Chang, H.C.; Juang, T.Y. Synthesis of a Phosphinated Acetoxybenzoic Acid and Its Application in Enhancing Tg and Flame Retardancy of Poly(ethylene terephthalate). J. Polym. Sci. Pol. Chem. 2014, 52, 424–434. [Google Scholar] [CrossRef]
- Lin, Y.; Jiang, S.; Gui, Z.; Li, G.; Shi, X.; Chen, G.; Peng, X. Synthesis of a novel highly effective flame retardant containing multivalent phosphorus and its application in unsaturated polyester resins. RSC Adv. 2016, 6, 86632–86639. [Google Scholar] [CrossRef]
- Wang, H.; Wang, S.; Du, X.; Wang, H.; Cheng, X.; Du, Z. Synthesis of a novel flame retardant based on DOPO derivatives and its application in waterborne polyurethane. RSC Adv. 2019, 9, 7411–7419. [Google Scholar] [CrossRef] [PubMed]
- Chen, Y.K.; Lu, Q.X.; Zhong, G.; Zhang, H.G.; Chen, M.F.; Liu, C.P. DOPO-based curing flame retardant of epoxy composite material for char formation and intumescent flame retardance. J. Appl. Polym. Sci. 2021, 138, 49918. [Google Scholar] [CrossRef]
- Wang, C.-S.; Shieh, J.-Y. Synthesis and properties of epoxy resins containing 2-(6-oxid-6H-dibenz<c,e><1,2>oxaphosphorin-6-yl)1,4-benzenediol. Polymer 1998, 39, 5819–5826. [Google Scholar] [CrossRef]
- Bai, Z.; Song, L.; Hu, Y.; Yuen, R.K.K. Preparation, flame retardancy, and thermal degradation of unsaturated polyester resin modified with a novel phosphorus containing acrylate. Ind. Eng. Chem. Res. 2013, 52, 12855–12864. [Google Scholar] [CrossRef]
- Liu, P.; Liu, M.; Gao, C.; Wang, F.; Ding, Y.; Wen, B.; Zhang, S.; Yang, M. Preparation, characterization and properties of a halogen-free phosphorous flame-retarded poly(butylene terephthalate) composite based on a DOPO derivative. J. Appl. Polym. Sci. 2013, 130, 1301–1307. [Google Scholar] [CrossRef]
- Zhang, C.; Liu, S.M.; Zhao, J.Q.; Huang, J.Y. Synthesis and properties of a modified unsaturated polyester resin with phosphorus-containing pendant groups. Polym. Bull. 2013, 70, 1097–1111. [Google Scholar] [CrossRef]
- Artner, J.; Ciesielski, M.; Ahlmann, M.; Walter, O.; Döring, M.; Perez, R.M.; Altstädt, V.; Sandler, J.K.W.; Schartel, B. A Novel and Effective Synthetic Approach to 9,10-Dihydro-9-oxa-10-phosphaphenanthrene-10-oxide (DOPO) Derivatives. Phosphorus Sulfur 2007, 182, 2131–2148. [Google Scholar] [CrossRef]
- Koenig, A.; Kroke, E. Flame retardancy working mechanism of methyl-DOPO and MPPP in flexible polyurethane foam. Fire Mater. 2012, 36, 1–15. [Google Scholar] [CrossRef]
- Wagner, S.; Rakotomalala, M.; Bykov, Y.; Walter, O.; Döring, M. Synthesis of new organophosphorus compounds using the Atherton–Todd reaction as a versatile tool. Heteroatom. Chem. 2012, 23, 216–222. [Google Scholar] [CrossRef]
- Buczko, A.; Stelzig, T.; Bommer, L.; Rentsch, D.; Heneczkowski, M.; Gaan, S. Bridged DOPO derivatives as flame retardants for PA6. Polym. Degrad. Stabil. 2014, 107, 158–165. [Google Scholar] [CrossRef]
- Le Corre, S.S.; Berchel, M.; Couthon-Gourvès, H.; Haelters, J.P.; Jaffrès, P.-A. Atherton–Todd reaction: Mechanism, scope and applications. Beilstein J. Org. Chem. 2014, 10, 1166–1196. [Google Scholar] [CrossRef] [PubMed]
- Jian, R.; Wang, P.; Duan, W.; Wang, J.; Zheng, X.; Weng, J. Synthesis of a Novel P/N/S-Containing Flame Retardant and Its Application in Epoxy Resin: Thermal Property, Flame Retardance, and Pyrolysis Behavior. Ind. Eng. Chem. Res. 2016, 55, 11520–11527. [Google Scholar] [CrossRef]
- Zhang, Y.; Yu, B.; Wang, B.; Meow Liew, K.; Song, L.; Wang, C.; Hu, Y. Highly Effective P–P Synergy of a Novel DOPO-Based Flame Retardant for Epoxy Resin. Ind. Eng. Chem. Res. 2017, 56, 1245–1255. [Google Scholar] [CrossRef]
- Neisius, N.M.; Lutz, M.; Rentsch, D.; Hemberger, P.; Gaan, S. Synthesis of DOPO-Based Phosphonamidates and their Thermal Properties. Ind. Eng. Chem. Res. 2014, 53, 2889–2896. [Google Scholar] [CrossRef]
- Vasiljević, J.; Čolović, M.; Čelan Korošin, N.; Šobak, M.; Štirn, Ž.; Jerman, I. Effect of Different Flame-Retardant Bridged DOPO Derivatives on Properties of in Situ Produced Fiber-Forming Polyamide 6. Polymers 2020, 12, 657. [Google Scholar] [CrossRef]
- Salmeia, K.A.; Baumgartner, G.; Jovic, M.; Gössi, A.; Riedl, W.; Zich, T.; Gaan, S. Industrial Upscaling of DOPO-Based Phosphonamidates and Phosphonates Derivatives Using Cl2 Gas as a Chlorinating Agent. Org. Process Res. Dev. 2018, 22, 1570–1577. [Google Scholar] [CrossRef]
- Salmeia, K.A.; Flaig, F.; Rentsch, D.; Gaan, S. One-Pot Synthesis of P(O)-N Containing Compounds Using N-Chlorosuccinimide and Their Influence in Thermal Decomposition of PU Foams. Polymers 2018, 10, 740. [Google Scholar] [CrossRef]
- Salmeia, K.A.; Gooneie, A.; Simonetti, P.; Nazir, R.; Kaiser, J.-P.; Rippl, A.; Hirsch, C.; Lehner, S.; Rupper, P.; Hufenus, R.; et al. Comprehensive study on flame retardant polyesters from phosphorus additives. Polym. Degrad. Stabil. 2018, 155, 22–34. [Google Scholar] [CrossRef]
- Li, Q.-Y.; Swaroop, T.R.; Hou, C.; Wang, Z.-Q.; Pan, Y.-M.; Tang, H.-T. Electrochemical Dehydrogenative Coupling of Alcohols with Hydrogen Phosphoryl Compounds: A Green Protocol for P−O Bond Formation. Adv. Synth. Catal. 2019, 361, 1761–1765. [Google Scholar] [CrossRef]
- Xiong, B.; Wang, G.; Zhou, C.; Liu, Y.; Li, J.; Zhang, P.; Tang, K. DCC-assisted direct esterification of phosphinic and phosphoric acids with O-nucleophiles. Phosphorus Sulfur 2018, 193, 239–244. [Google Scholar] [CrossRef]
- Lee, W.-L.; Liu, L.-C.; Chen, C.-M.; Lin, J.-S. Syntheses and flame retarding properties of DOPO polymers, melamine polymers, and DOPO-melamine copolymers. Polym. Adv. Technol. 2014, 25, 36–40. [Google Scholar] [CrossRef]
- Agostinis, L.; Ghincolov, S.; Bortoluzzi, M. Preparation Process of P(=O)-Heteroatom Derivatives of Dibenzooxaphosphacycles. WO2023094526A1, 01 June 2023. [Google Scholar]
- Bortoluzzi, M.; Agostinis, L.; Ghincolov, S.; Ferraro, V.; Marra, G.; Castro, J. Straightforward synthesis of 9,10-dihydro-9-oxa-10-phosphaphenanthrene-10-oxide derivatives containing P–N bonds. Chem. Pap. 2023, 77, 7999–8006. [Google Scholar] [CrossRef]
- Marra, G.; Bortoluzzi, M.; Agostinis, L. One-Pot Synthesis of Phosphoramidates from dibenzo[1,3,2]dioxaphosphepine-6-oxide. Chem. Proc. 2023, 14, 18. [Google Scholar] [CrossRef]
- Bortoluzzi, M.; Ghincolov, S.; Agostinis, L. Alternative Synthesis of Phosphonate Derivatives of 9,10-Dihydro-9-oxa-10-phosphaphenanthrene-10-oxide. Chem. Proc. 2023, 14, 19. [Google Scholar] [CrossRef]
- Ferraro, V.; Castro, J.; Agostinis, L.; Bortoluzzi, M. Dual-emitting Mn(II) and Zn(II) halide complexes with 9,10-dihydro-9-oxa-10-phosphaphenanthrene-10-oxide as ligand. Inorg. Chim. Acta 2023, 545, 121285. [Google Scholar] [CrossRef]
- Lai, H.; Tan, X.; Liu, X.; Xiong, P.; LI, X. Method for Synthesizing 9, 10-dihydro-9-oxygen-10-phosphaphenanthrene-10-oxide. CN105949242A, 30 October 2018. [Google Scholar]
- Yao, Z.; Wang, F.; Cheng, K. DOPO and Its Intermediate Preparation Method. CN107556343A, 21 August 2020. [Google Scholar]
- Zhang, C.; Wu, Y.; Li, F.; Wang, Y.; Wang, J. Preparation Method of 9, 10-Dihydro-9-oxa-10-phosphaphenanthrene-10-oxide. CN118373852A, 23 July 2024. [Google Scholar]
- Doering, M.; Lindner, B.; Kaplan, A. Method for the Production of Dibenz[c,e][1,2]-oxaphosphorin Derivatives, Amino-dibenz[c,e][1,2]-oxaphosphorin and also Use Thereof. US2010069657A1, 05 July 2011. [Google Scholar]
- Buysch, H.-J.; Glock, V.; Griehsel, B.; Komoschinski, J. Process for Preparing 6-oxo-(6H)-dibenz-[c,e][1,2]-oxaphosphorins (ODOPs). US5650530A, 22 February 1997. [Google Scholar]
- Yamada, Y.; Yasuda, H.; Saito, T. A Novel synthesis of 6-hydroxyalkyl- and 6-hydroxy-aralkyl-6H-dibenz[c,e][1,2]oxaphosphorin 6-Oxides. J. Heterocycl. Chem. 1990, 27, 845–850. [Google Scholar] [CrossRef]
- Hauck, S.; Leuschner, E.M. Metal Complexes, Manufacturing Method Thereof, Flame-Retardant Polymer Composition Comprising the Same and Their Use. WO2021048154A1, 18 March 2021. [Google Scholar]
- Goedderz, D.; Schäfer, T.; Klitsch, J.; Weber, L.; Weber, B.; Fuhr, O.; Buntkowsky, G.; Schönberger, F.; Döring, M. Coordination Compounds of 9,10-Dihydro-9-oxa-10-phosphaphenanthrene-10-Oxide (DOPO) Ligands: Extremely High Thermostability and Ligand Oxidation in the Solid State. Eur. J. Inorg. Chem. 2020, 2020, 2444–2456. [Google Scholar] [CrossRef]
- Borys, A.M. An Illustrated Guide to Schlenk Line Techniques. Organometallics 2023, 42, 182–196. [Google Scholar] [CrossRef]
- Elgrishi, N.; Rountree, K.J.; McCarthy, B.D.; Rountree, E.S.; Eisenhart, T.T.; Dempsey, J.L. A Practical Beginner’s Guide to Cyclic Voltammetry. J. Chem. Ed. 2018, 95, 197–206. [Google Scholar] [CrossRef]
- Bruker AXS Inc. APEX4 v.2022.1-1, SAINT v.8.40B, XPREP v.2014/2, SADABS-2016/2; Bruker AXS Inc.: Madison, WI, USA, 2022. [Google Scholar]
- McArdle, P. Oscail, a program package for small-molecule single-crystal crystallography with crystal morphology prediction and molecular modelling. J. Appl. Crystallogr. 2017, 50, 320–326. [Google Scholar] [CrossRef]
- Sheldrick, G.M. SHELXT—Integrated space-group and crystal-structure determination. Acta Crystallogr. 2015, A71, 3–8. [Google Scholar] [CrossRef]
- Sheldrick, G.M. Crystal structure refinement with SHELXL. Acta Crystallogr. 2015, C71, 3–8. [Google Scholar] [CrossRef]
- Spek, A.L. checkCIF validation ALERTS: What they mean and how to respond. Acta Crystallogr. 2020, E76, 1–11. [Google Scholar] [CrossRef] [PubMed]
- Melhuish, W.H. Quantum efficiencies of fluorescence of organic substances: Effect of solvent and concentration of the fluorescent solute. J. Phys. Chem. 1961, 65, 229–235. [Google Scholar] [CrossRef]
- Staroverov, V.N.; Scuseria, E.; Tao, J.; Perdew, J.P. Comparative assessment of a new nonempirical density functional: Molecules and hydrogen-bonded complexes. J. Chem. Phys. 2003, 119, 12129–12137. [Google Scholar] [CrossRef]
- Weigend, F.; Ahlrichs, R. Balanced basis sets of split valence, triple zeta valence and quadruple zeta valence quality for H to Rn: Design and assessment of accuracy. Phys. Chem. Chem. Phys. 2005, 7, 3297–3305. [Google Scholar] [CrossRef] [PubMed]
- Cossi, M.; Rega, N.; Scalmani, G.; Barone, V. Energies, structures, and electronic properties of molecules in solution with the C-PCM solvation model. J. Comput. Chem. 2003, 24, 669–681. [Google Scholar] [CrossRef]
- Cramer, C.J. Essentials of Computational Chemistry, 2nd ed.; Wiley: Chichester, UK, 2004. [Google Scholar]
- de Souza, B.; Farias, G.; Neese, F.; Izsák, R. Predicting Phosphorescence Rates of Light Organic Molecules Using Time-Dependent Density Functional Theory and the Path Integral Approach to Dynamics. J. Chem. Theory Comput. 2019, 15, 1896–1904. [Google Scholar] [CrossRef]
- Neese, F. The ORCA program system. WIREs Comput. Mol. Sci. 2012, 2, 73–78. [Google Scholar] [CrossRef]
- Neese, F. Software update: The ORCA program system-Version 5.0. WIREs Comput. Mol. Sci. 2022, 12, e1606. [Google Scholar] [CrossRef]
- Perdew, J.P.; Ruzsinszky, A.; Csonka, G.I.; Vydrov, O.A.; Scuseria, G.E.; Constantin, L.A.; Zhou, X.; Burke, K. Restoring the Density-Gradient Expansion for Exchange in Solids and Surfaces. Phys. Rev. Lett. 2008, 100, 136406. [Google Scholar] [CrossRef] [PubMed]
- Milman, V.; Winkler, B.; White, J.A.; Pickard, C.J.; Payne, M.C.; Akhmatskaya, E.V.; Nobes, R.H. Electronic structure, properties, and phase stability of inorganic crystals: A pseudopotential plane-wave study. Int. J. Quantum Chem. 2000, 77, 895–910. [Google Scholar] [CrossRef]
- Tkatchenko, A.; Scheffler, M. Accurate Molecular Van Der Waals Interactions from Ground-State Electron Density and Free-Atom Reference Data. Phys. Rev. Lett. 2009, 102, 073005. [Google Scholar] [CrossRef] [PubMed]
- Nishiyama, Y.; Langan, P.; Chanzy, H. Crystal Structure and Hydrogen-Bonding System in Cellulose Iβ from Synchrotron X-ray and Neutron Fiber Diffraction. J. Am. Chem. Soc. 2002, 124, 9074–9082. [Google Scholar] [CrossRef]
- Clark, S.J.; Segall, M.D.; Pickard, C.J.; Hasnip, P.J.; Probert, M.I.J.; Refson, K.; Payne, M.C. First principles methods using CASTEP. Z. Krist. 2005, 220, 567–570. [Google Scholar] [CrossRef]
- Rutter, M.J. C2x: A tool for visualisation and input preparation for Castep and other electronic structure codes. Comput. Phys. Commun. 2018, 225, 174–179. [Google Scholar] [CrossRef]
- Álvarez, S.; Llunell, M. Continuous symmetry measures of penta-coordinate molecules: Berry and non-Berry distortions of the trigonal bipyramid. J. Chem. Soc. Dalton Trans. 2000, 3288–3303. [Google Scholar] [CrossRef]
- Álvarez, S.; Alemany, P.; Casanova, D.; Cirera, J.; Llunell, M.; Avnir, D. Shape maps and polyhedral interconversion paths in transition metal chemistry. Coord. Chem. Rev. 2005, 249, 1693–1708. [Google Scholar] [CrossRef]
- Addison, A.W.; Rao, T.N.; Reedijk, J.; van Rijn, J.; Verschoor, G.C. Synthesis, structure, and spectroscopic properties of copper(II) compounds containing nitrogen–sulphur donor ligands; the crystal and molecular structure of aqua[1,7-bis(N-methylbenzimidazol-2′-yl)-2,6-dithiaheptane]copper(II) perchlorate. J. Chem. Soc. Dalton Trans. 1984, 1349–1356. [Google Scholar] [CrossRef]
- Blackman, A.G.; Schenk, E.B.; Jelley, R.E.; Krensked, E.H.; Gahan, L.R. Five-coordinate transition metal complexes and the value of τ5: Observations and caveats. Dalton Trans. 2020, 49, 14798–14806. [Google Scholar] [CrossRef]
- Shi, H.; Liu, H.; Ni, Y.; Yuan, Z.; Zou, X.; Zhou, Y. Review: Use of optical brightening agents (OBAs) in the production of paper containing high-yield pulps. BioResources 2012, 7, 2582–2591. [Google Scholar] [CrossRef]
- Murray, S.G. Dyes and fluorescent whitening agents for paper. In Paper Chemistry; Roberts, J.C., Ed.; Springer: Dordrecht, Germany, 1996; pp. 161–193. [Google Scholar] [CrossRef]







| Na-O(2) | 2.2771(10) | Na-Na iii | 3.4641(10) | Na-O(3) | 2.3354(11) | P(1)-O(1) | 1.5058(10) |
| Na-O(1 ii) | 2.3337(11) | P(1)-O(2) | 1.5069(9) | Na-Na i | 3.1239(10) | P(1)-C(1) | 1.8097(13) |
| Na-O(2 ii) | 2.6618(11) | Na-O(2 i) | 2.2891(10) | ||||
| O(2)-Na-O(2 i) | 85.84(4) | O(2)-Na-O(2 ii) | 150.09(3) | O(2)-Na-O(3) | 116.92(4) | O(2 i)-Na-O(2 ii) | 91.53(3) |
| O(2 i)-Na-O(1 ii) | 126.33(4) | O(1 ii)-Na-O(2 ii) | 60.04(3) | O(1 ii)-Na-O(3) | 112.64(4) | O(3)-Na-O(2 ii) | 91.58(4) |
| O(2 i)-Na-O(3) | 112.60(4) | O(2)-Na-O(1 ii) | 98.16(4) | ||||
| O(1)-P(1)-O(2) | 113.21(6) | P(1)-O(2)-Na i | 142.89(6) | O(1)-P(1)-C(1) | 109.17(6) | Na-O(2)-Na i | 86.33(4) |
| O(2)-P(1)-C(1) | 109.10(6) | P(1)-O(2)-Na iv | 85.18(4) | O(1)-P(1)-Na | 135.92(4) | Na-O(2)-Na iv | 120.60(4) |
| P(1)-O(1)-Na iv | 97.92(5) | Na i-O(2)-Na iv | 88.47(3) | P(1)-O(2)-Na | 127.88(5) | C(12)-O(3)-Na | 102.38(7) |
Disclaimer/Publisher’s Note: The statements, opinions and data contained in all publications are solely those of the individual author(s) and contributor(s) and not of MDPI and/or the editor(s). MDPI and/or the editor(s) disclaim responsibility for any injury to people or property resulting from any ideas, methods, instructions or products referred to in the content. |
© 2025 by the authors. Licensee MDPI, Basel, Switzerland. This article is an open access article distributed under the terms and conditions of the Creative Commons Attribution (CC BY) license (https://creativecommons.org/licenses/by/4.0/).
Share and Cite
Gagliardi, V.; Castro, J.; Beghetto, V.; Expósito, M.; Bortoluzzi, M. Luminescence of the Conjugate Bases of [2-(2-Hydroxyphenyl)phenyl]phosphinic Acid and Single-Crystal X-Ray Structure Determination of Sodium [2-(2-Hydroxyphenyl)phenyl]phosphinate. Organics 2025, 6, 10. https://doi.org/10.3390/org6010010
Gagliardi V, Castro J, Beghetto V, Expósito M, Bortoluzzi M. Luminescence of the Conjugate Bases of [2-(2-Hydroxyphenyl)phenyl]phosphinic Acid and Single-Crystal X-Ray Structure Determination of Sodium [2-(2-Hydroxyphenyl)phenyl]phosphinate. Organics. 2025; 6(1):10. https://doi.org/10.3390/org6010010
Chicago/Turabian StyleGagliardi, Valeria, Jesús Castro, Valentina Beghetto, María Expósito, and Marco Bortoluzzi. 2025. "Luminescence of the Conjugate Bases of [2-(2-Hydroxyphenyl)phenyl]phosphinic Acid and Single-Crystal X-Ray Structure Determination of Sodium [2-(2-Hydroxyphenyl)phenyl]phosphinate" Organics 6, no. 1: 10. https://doi.org/10.3390/org6010010
APA StyleGagliardi, V., Castro, J., Beghetto, V., Expósito, M., & Bortoluzzi, M. (2025). Luminescence of the Conjugate Bases of [2-(2-Hydroxyphenyl)phenyl]phosphinic Acid and Single-Crystal X-Ray Structure Determination of Sodium [2-(2-Hydroxyphenyl)phenyl]phosphinate. Organics, 6(1), 10. https://doi.org/10.3390/org6010010

