Abstract
A series of fourteen O-ethyl-N-butylphenylphosphonamidates with benzyl ether substituents at the ortho position was prepared and fully characterised. Upon treatment with n-butyllithium in THF at RT, they underwent cyclisation in eight cases to give the novel 2,3-dihydrobenzo[d][1,3]oxaphospholes in moderate to low yield as a single diastereomer, for which the relative configuration was determined by X-ray diffraction in one case.
1. Introduction
The [1,2]-Wittig rearrangement of aryl benzyl ethers 1 to give diarylmethanols 2 (Scheme 1) provides a potentially versatile indirect method for C–C bond formation, but, whilst the reaction has been known for a long time [1,2], it has not been used much recently [3]; this is most likely due to the strongly basic conditions required, which make it incompatible with many of the common functional groups. In recent studies, we reported the use of various activating groups on the aryl ring to facilitate the Wittig rearrangement under milder conditions. The first activating group for this purpose to be discovered was the 4,4-dimethyl-2-oxazoline [4], but when this was in the ortho position to the benzyloxy group, as shown in 3, there was also significant competition from direct cyclisation to give benzofuran products 4, a feature also observed in benzyloxythienyloxazolines [5].
Scheme 1.
General strategy for indirect C–C bond formation via ether formation and Wittig rearrangement and previously reported examples [4,6].
More recently, we discovered the N-butylcarboxamide CONHBu as a more efficient and general activating group, allowing the Wittig rearrangement of ortho-, meta-, or para-oriented benzylic ethers 5 to afford diarylmethanols 6 [6]. A limited degree of success in using a chiral secondary amide group to bring about asymmetric Wittig rearrangement was also described [7]. As far as we are aware, there is only a single report of an enantioselective [1,2]-Wittig rearrangement, and this uses an external chiral bis(oxazoline) ligand [8].
In an earlier paper, we described the synthesis of aryl benzyl ethers bearing the phosphonamidate group EtO-P(=O)-NHBu on the aryl ring, either para- (7) or meta- (9) to a benzylic ether, and their successful Wittig rearrangement to afford the corresponding phosphonamidate-functionalised diarylmethanols 8 and 10, respectively (Scheme 2) [9]. In this paper, we describe the synthesis of a series of the isomeric aryl benzyl ethers 11 bearing an ortho-phosphonamidate group and their reaction with butyllithium, which leads not to Wittig rearrangement but rather to cyclisation, giving 2,3-dihydrobenzo[d][1,3]oxaphospholes 12. Recently, compounds of this type have been of considerable interest as chiral ligands for catalytic asymmetric synthesis, but all the previous synthetic methods involved cyclisation with the formation of the C(2)–O bond [10,11,12,13] as opposed to the method described here where the C(2)–P bond is formed.
Scheme 2.
Base treatment of isomeric benzyloxyphenylphosphonamidates.
2. Materials and Methods
2.1. General Experimental Details
NMR spectra were recorded at 25 °C on solutions in CDCl3, unless otherwise stated, using Bruker instruments (Bruker, Billerica, MA, USA), and the chemical shifts are given in ppm to high frequency from Me4Si. IR spectra were recorded using the ATR technique on a Shimadzu IRAffinity 1S instrument. The ionisation method used for high-resolution mass spectra is noted in each case. Column chromatography was carried out using a silica gel of 40–63 μm particle size, and preparative TLC was carried out using 1.0 mm layers of Merck alumina 60G containing 0.5% Woelm fluorescent green indicator on glass plates. Melting points were recorded on a Gallenkamp 50W melting point apparatus or a Reichert hot-stage microscope (Reichert, Vienna, Austria).
Unless otherwise stated, all the reagents and solvents were obtained from standard suppliers and were used as received. Anhydrous nickel(II) chloride was prepared by placing the commercially available hexahydrate in a Schlenk tube under vacuum and heating with a heat-gun until no further loss of mass was observed. The final material was a fine primrose-yellow powder. Dry THF was prepared by the addition of sodium wire, and dry acetone was the commercially available analytical reagent grade.
2.2. Synthesis and Rearrangement of Ethyl P-(4-Benzyloxyphenyl)-N-butylphosphonamidate 16
2.2.1. 1-(Benzyloxy)-2-bromobenzene 13
To a stirred solution of 2-bromophenol (4.36 g, 25.2 mmol) in MeCN (60 mL) at rt was added K2CO3 (4.74 g, 34.3 mmol) and benzyl bromide (3.0 mL, 4.32 g, 25.2 mmol), and the mixture was stirred at rt overnight. The reaction was diluted with H2O (75 mL), the layers separated, and the aqueous layer extracted with EtOAc (3 × 75 mL). The combined organic layers were dried over MgSO4 and concentrated to give 13 (6.35 g, 96%) as a pale-yellow oil which was used without further purification; 1H NMR (400 MHz): 7.55 (1H, dd, J = 7.8, 1.6 Hz, ArH), 7.50–7.44 (2H, m, ArH), 7.42–7.34 (2H, m, ArH), 7.34–7.27 (1H, m, ArH), 7.22 (1H, ddd, J = 8.2, 7.4, 1.6 Hz, ArH), 6.92 (1H, dd, J = 8.2, 1.4 Hz, ArH), 6.83 (1H, ddd, J = 7.8, 7.4, 1.4 Hz, ArH) and 5.14 (2H, s, OCH2); 13C NMR (100 MHz) 154.9 (C-O), 136.5 (C), 133.4 (CH), 128.5 (2CH), 128.3 (CH), 127.9 (CH), 126.9 (2CH), 122.1 (CH), 113.8 (CH), 112.4 (C-Br) and 70.7 (OCH2). The 1H and 13C spectral data were in accordance with those previously reported [14] (Supplementary Materials).
2.2.2. Diethyl (2-Benzyloxyphenyl)phosphonate 14
Following a modified literature procedure [15], 1-(benzyloxy)-2-bromobenzene 13 (3.77 g, 14.2 mmol) and anhydrous NiCl2 (0.92 g, 7.1 mmol) were placed in a flask set up for distillation, and a dropping funnel containing triethyl phosphite (3.0 mL, 17.2 mmol) was connected to the still head. The mixture was heated at 150 °C while the phosphite was added dropwise until the mixture was dark red. When the initial dark red colour changed to blue, more phosphite was added until the red colour returned. This was repeated until all the phosphite was added; the mixture was then heated for a further 30 min and cooled to rt. The mixture was taken up in CH2Cl2 (50 mL), which was washed with dil. HCl (25 mL), dried, and evaporated. Purification via flash column chromatography (gradient elution hexane/EtOAc 9:1 to 100% ethyl acetate), followed by the removal of triethyl phosphate by Kugelrohr distillation, gave 8 (2.88 g, 63%) as a pale-yellow oil; νmax/cm−1 1593, 1477, 1443, 1279, 1242, 1020, 959, 756, 733, 696, 573, 536, and 507; 1H NMR (400 MHz): 7.87 (1H, ddd, J = 14.9, 7.4, 1.8 Hz, ArH), 7.55–7.50 (2H, m, ArH), 7.47 (1H, dddd, J = 8.3, 7.4, 1.8, 0.9 Hz, ArH), 7.41–7.35 (2H, m, ArH), 7.33–7.28 (1H, m, ArH), 7.05–6.96 (2H, m, ArH), 5.19 (2H, s, OCH2Ph), 4.18–4.05 (4H, m, 2 OCH2CH3) and 1.28 (6H, t, J = 7.1 Hz, 2 OCH2CH3); 13C NMR (100 MHz): 160.1 (d, J = 2.7 Hz, C-O), 136.4 (C), 135.1 (d, J = 7.2 Hz, CH), 134.2 (d, J = 2.1 Hz, CH), 128.4 (2CH), 127.7 (CH), 126.9 (2CH), 120.5 (d, J = 14.6 Hz, CH), 117.0 (d, J = 187 Hz, ArC-P), 112.3 (d, J = 9.3 Hz, Ar CH), 70.0 (OCH2Ph), 62.0 (d, J = 5.6 Hz, 2 OCH2CH3) and 16.2 (d, J = 6.5 Hz, 2 OCH2CH3); 31P NMR (162 MHz): +17.1; HRMS (ESI+): found 343.1058. C17H21NaO4P (M + Na) requires 343.1075.
2.2.3. Ethyl (2-Benzyloxyphenyl)phosphonochloridate 15
A solution of diethyl (2-benzyloxyphenyl)phosphonate 14 (1.00 g, 3.1 mmol) in dry toluene (15 mL) was stirred at 0 °C while PCl5 (1.30 g, 6.2 mmol) was added. The mixture was then stirred at rt for 30 min, filtered, and evaporated to give 15 (0.99 g, ~100%) as a yellow oil which was used without further purification; 1H NMR (400 MHz): 7.94 (1H, ddd, J = 16.9, 7.7, 1.8 Hz, ArH), 7.55 (1H, tdd, J = 8.4, 1.8, 1.0 Hz, ArH), 7.54–7.46 (2H, m, ArH), 7.41–7.36 (2H, m, ArH), 7.35–7.32 (1H, m, ArH), 7.09–6.99 (2H, m, ArH), 5.22 (2H, s, OCH2Ph), 4.42–4.26 (2H, m, OCH2CH3) and 1.35 (3 H, td, J = 7.0, 0.5 Hz, OCH2CH3); 13C NMR (125 MHz): 159.8 (4ry, d, J = 2.9 Hz, ArC-O), 136.0 (C), 135.6 (d, J = 2.0 Hz, CH), 134.2 (d, J = 8.6 Hz, CH), 128.5 (2CH), 128.0 (CH), 127.0 (2CH), 120.5 (d, J = 16.4 Hz, CH), 118.5 (d, J = 179.5 Hz, C-P), 112.7 (d, J = 9.8 Hz, CH), 70.5 (OCH2Ph), 63.7 (d, J = 7.7 Hz, OCH2CH3) and 15.8 (d, J = 7.7 Hz, OCH2CH3); 31P NMR (162 MHz): +26.5.
2.2.4. Ethyl P-(2-Benzyloxyphenyl)-N-butylphosphonamidate 16
Following a literature procedure [16], a solution of n-butylamine (0.67 mL, 0.50 g, 6.8 mmol) in Et2O (25 mL) was stirred at 0 °C while a solution of ethyl (2-benzyloxyphenyl)phosphonochloridate 15 (1.00 g, 3.2 mmol) in Et2O (25 mL) was added dropwise. The mixture was allowed to warm to rt and was stirred for 18 h. Water (50 mL) was added, and the layers were separated. The aqueous layer was extracted with Et2O (2 × 25 mL), and the combined organic layers were dried and evaporated. Purification by column chromatography (SiO2, EtOAc/hexane 1:1) gave 16 (480 mg, 43%) as a slightly yellow oil; νmax/cm−1 2957, 2930, 2872, 1591, 1440, 1277, 1229, 1086, 1032, 951, 756, 735, 696, 571, and 534; 1H NMR (400 MHz): 7.93 (1H, ddd, J = 14.2, 7.4, 1.8 Hz, ArH), 7.48–7.43 (3H, m, ArH), 7.42–7.32 (3H, m, ArH), 7.04 (1H, tdd, J = 7.4, 2.9, 0.9 Hz, ArH), 6.99 (1H, ddd, J = 8.4, 6.2, 0.9 Hz, ArH), 5.14 (2H, s, OCH2Ph), 4.09–3.89 (2H, m, OCH2CH3), 2.97–2.87 (3H, m, NHCH2), 1.34–1.27 (2H, m, NHCH2CH2), 1.26 (3H, t, J = 7.1 Hz, OCH2CH3), 1.21–1.09 (2H, m, NHCH2CH2CH2) and 0.79 (3H, t, J = 7.3 Hz, NHCH2CH2CH2CH3); 13C NMR (125 MHz): 159.0 (d, J = 2.8 Hz, ArC-O), 136.1 (C), 134.4 (d, J = 6.4 Hz, CH), 133.3 (d, J = 1.6 Hz, Ar CH), 128.6 (2CH), 128.2 (CH), 127.3 (2CH), 120.8 (d, J = 13.5 Hz, CH), 119.8 (d, J = 167.0 Hz, ArC-P), 111.7 (d, J = 8.5 Hz, CH), 70.3 (OCH2Ph), 60.2 (d, J = 5.7 Hz, OCH2CH3) 40.3 (NHCH2), 34.0 (d, J = 6.1 Hz, NHCH2CH2), 19.6 (NHCH2CH2CH2), 16.3 (d, J = 6.9 Hz, OCH2CH3) and 13.6 (NHCH2CH2CH2CH3); 31P NMR (162 MHz): +21.3; HRMS (ESI+): found 370.1529. C19H26NNaO3P (M + Na) requires 370.1548.
2.2.5. 3-Butylamino-2-phenyl-2H-benzo[d][1,3]oxaphosphole 3-Oxide 17
A solution of ethyl P-(2-benzyloxyphenyl)-N-butylphosphonamidate 16 (69.5 mg, 0.2 mmol) in dry THF (2 mL) was stirred at rt under N2 while n-butyllithium (0.37 mL, 0.66 mmol) was added by syringe. After 20 min, the mixture was added to saturated aqueous ammonium chloride (2 mL), and the mixture was extracted with Et2O (3 × 2 mL). Drying and evaporation of the combined extracts gave, after purification via preparative TLC, (EtOAc/hexane 1:1) 17 (24.5 mg, 41%) as a pale-yellow oil; νmax/cm−13184, 2957, 2930, 2872, 1599, 1578, 1449, 1204, 1155, 1126, 1094, 988, 916, 827, 756, 729, 696, and 515; 1H NMR (400 MHz): 7.66–7.52 (2H, m, ArH), 7.42–7.38 (4H, m, ArH), 7.37–7.32 (1H, m, ArH), 7.15–7.07 (2H, m, ArH), 5.57 (1H, d, J = 9.9 Hz, CHP), 2.49–2.37 (1H, m, NHCHH), 2.30–2.21 (1H, m, NHCHH), 1.04–0.94 (4H, m, NHCH2CH2CH2) and 0.70 (3H, t, J = 6.9 Hz, NHCH2CH2CH2CH3); 1H{31P} NMR (400 MHz): 5.57 (1H, s); 13C NMR (100 MHz): 164.6 (d, J = 24.0 Hz, ArC-O), 135.5 (d, J = 1.7 Hz, CH), 134.7 (d, J = 3.4 Hz, C), 129.0 (d, J = 5.5 Hz, CH), 128.8 (d, J = 2.0 Hz, 2CH), 128.0 (d, J = 2.5 Hz, CH), 124.9 (d, J = 3.9 Hz, 2CH), 122.4 (d, J = 10.1 Hz, CH), 114.3 (d, J = 6.6 Hz, CH), 113.9 (d, J = 122.8 Hz, ArC-P), 79.7 (d, J = 87.4 Hz, CHP), 40.2 (d, J = 1.2 Hz, NHCH2), 33.7 (d, J = 5.4 Hz, NHCH2CH2), 19.4 (NHCH2CH2CH2) and 13.5 (NHCH2CH2CH2CH3); 31P NMR (162 MHz): +44.6; HRMS (ESI+): found 302.1295. C17H22NOP (M + H) requires 302.1310.
2.3. Synthesis of Substituted 2-Bromophenyl Benzyl Ethers 18
2.3.1. 2-Bromophenyl 2-Methylbenzyl Ether 18a
To a stirred solution of 2-bromophenol (2.9 mL, 4.33 g, 25.0 mmol) and K2CO3 (4.70 g, 34.0 mmol) in MeCN (60 mL) at rt, 2-methylbenzyl bromide (3.4 mL, 4.63 g, 25.0 mmol) was added, and the solution was stirred for 18 h. The reaction mixture was poured into H2O and extracted with EtOAc (2 × 50 mL), and the combined organic fractions were dried over MgSO4 and concentrated to afford, after recrystallisation from hexane, 18a (3.92 g, 57%) as colourless crystals, mp 42–44 °C; νmax/cm−1 3063, 3032, 2972, 2913, 2855, 1585, 1479, 1439, 1275, 1246, 1049, 1028, 737, and 665; 1H NMR (300 MHz): 7.56 (1H, dd, J = 7.9, 1.6 Hz, ArH), 7.53–7.45 (1H, m, ArH), 7.32–7.16 (4 H, m, ArH), 6.98 (1H, dd, J = 8.3, 1.3 Hz, ArH), 6.85 (1 H, td, J = 7.5, 1.2 Hz, ArH), 5.11 (2H, s, OCH2) and 2.40 (3H, s, ArCH3); 13C NMR (75 MHz): 155.1 (C), 136.3 (C), 134.3 (C), 133.5 (CH), 130.3 (CH), 128.4 (CH), 128.2 (2CH), 126.0 (CH), 122.1 (CH), 113.7 (CH), 112.5 (C), 69.4 (CH2) and 19.0 (CH3).
2.3.2. 2-Bromophenyl 4-Methylbenzyl Ether 18b
A solution of sodium iodide (5.34 g, 35.6 mmol) in dry acetone (25 mL) was stirred while 4-methylbenzyl chloride (5.00 g, 35.6 mmol) was added dropwise, and the mixture was stirred for 30 min. The mixture was added to H2O (50 mL) and extracted with Et2O (2 × 50 mL). Drying and evaporation of the extracts gave 4-methylbenzyl iodide 6.52 g, 79%) as a pale-yellow liquid.
To a stirred solution of 2-bromophenol (3.3 mL, 4.87 g, 28.0 mmol) and K2CO3 (7.16 g, 52.0 mmol) in MeCN (90 mL) at rt, 4-methylbenzyl iodide (6.52 g, 28.0 mmol) was added, and the solution was stirred for 18 h. The reaction mixture was poured into H2O and extracted with EtOAc (2 × 50 mL), and the combined organic fractions were dried over MgSO4 and concentrated to afford, after column chromatography (SiO2, hexane/EtOAc 9:1), 18b (6.30 g, 81%) as colourless crystals, mp 54–56 °C; νmax/cm−1 1479, 1454, 1441, 1292, 1285, 1275, 1246, 1213, 1180, 1158, 1055, 1028, 1020, 983, 949, 922, 808, 742, and 664; 1H NMR (300 MHz): 7.55 (1H, dd, J = 7.8, 1.8 Hz, ArH), 7.36 (2H, d, J = 8.1 Hz, ArH), 7.26–7.19 (3 H, m, ArH), 6.93 (1H, dd, J = 8.1, 1.5 Hz, ArH), 6.83 (1H, td, J = 8.1, 7.5, 1.5 Hz, ArH), 5.12 (2H, s, OCH2) and 2.36 (3H, s, CH3); 13C NMR (125 MHz): 155.0 (ArC-O), 137.6 (C), 133.5 (C), 133.4 (CH), 129.2 (2CH), 128.3 (CH), 127.1 (2CH), 122.0 (CH), 113.9 (CH), 112.5 (C-Br), 70.7 (OCH2) and 21.2 (CH3); HRMS (ESI+): found 299.0042. C14H1379BrNaO (M + Na) requires 299.0047.
2.3.3. 2-Bromophenyl 4-tert-Butylbenzyl Ether 18c
The same procedure as in 2.3.1 using 2-bromophenol (5.79 g, 33 mmol), K2CO3 (7.20 g, 52 mmol), and 4-tert-butylbenzyl bromide [17] (7.63 g, 33 mmol) gave 18c (6.20 g, 55%) as a brown oil; νmax/cm−1 2963, 1477, 1462, 1443, 1634, 1294, 1277, 1246, 1233, 1109, 1051, 1030, 1015, 837, 818, 745, 691, 656, and 638; 1H NMR (300 MHz): 7.75 (1H, dd J = 8.1, 1.5 Hz, ArH), 7.41 (4H, s, ArH), 7.23 (1H, m, ArH), 6.95 (1H, dd J = 8.4, 1.2 Hz, ArH), 6.83 (1H, ddd J = 8.1, 7.8, 1.5 Hz, ArH), 5.11 (2H, s, OCH2) and 1.32 (9H, m, 3 CH3); 13C NMR (125 MHz): 155.1 (ArC-O), 150.9 (C), 133.5 (C), 133.4 (CH), 128.4 (CH), 126.8 (2CH), 125.5 (2CH), 122.0 (CH), 113.8 (CH), 112.5 (C-Br), 70.6 (CH2O), 34.5 (CMe3) and 31.3 (3CH3); HRMS (ESI+) found 341.0512. C17H19BrNaO (M + Na) requires 341.0517.
2.3.4. 2-Bromophenyl 2-Methoxybenzyl Ether 18d
The same procedure as in 2.3.1 using 2-bromophenol (6.08 g, 35 mmol), K2CO3 (6.64 g, 48 mmol), and 2-methoxybenzyl bromide (6.64 g, 35 mmol) gave 18d (9.10 g, 81%) as a yellow oil; νmax/cm−1 1510, 1310, 1270, 1080, 1060, and 760; 1H NMR (300 MHz): 7.60 (1H, m, ArH), 7.55 (1H, dd J = 8.0, 1.2 Hz, ArH), 7.28 (1H, m, ArH), 7.21 (1H, m, ArH), 7.01–6.95 (2H, m, ArH), 6.87 (1H, m, ArH), 6.82 (1H, ddd J = 8.1, 7.8, 1.5 Hz, ArH), 5.19 (2H, s, OCH2) and 3.86 (3H, s, OCH3); 13C NMR (75 MHz): 156.3 (ArC-O), 155.1 (ArC-O), 133.3 (CH), 128.6 (CH), 128.4 (CH), 127.8 (CH), 124.9 (C), 121.8 (CH), 120.7 (CH), 113.7 (CH), 112.3 (C-Br), 109.9 (CH), 65.8 (OCH2) and 55.3 (OCH3); HRMS (ESI+) found 314.9990. C14H13BrNaO2 (M + Na) requires 314.9997.
2.3.5. 2-Bromophenyl 3-Methoxybenzyl Ether 18e
The same procedure as in 2.3.1 using 2-bromophenol (5.99 g, 34.6 mmol), K2CO3 (6.50 g, 47 mmol), and 3-methoxybenzyl bromide (6.98 g, 34.6 mmol) gave 18e (5.42 g, 54%) as a yellow oil; νmax/cm−1 3063, 3001, 2938, 2835, 1585, 1477, 1277, 1244, 1049, 1023, and 743; 1H NMR (300 MHz): 7.53 (1H, dd, J = 7.9, 1.5 Hz, ArH), 7.32–7.14 (2H, m, ArH), 7.09–6.96 (2H, m, ArH), 6.92–6.74 (3H, m, ArH), 5.09 (2H, s, OCH2) and 3.78 (3H, s, OCH3); 13C NMR (75 MHz): 159.7 (C), 154.8 (C), 138.1 (C), 133.3 (CH), 129.5 (CH), 128.3 (CH), 122.1 (CH), 118.9 (CH), 113.7 (CH), 113.4 (CH), 112.3 (C-Br), 112.2 (CH), 70.4 (CH2) and 55.1 (CH3); HRMS (ESI+) found 314.9989. C14H1379BrNaO2 (M + Na) requires 314.9997.
2.3.6. 2-Bromophenyl 4-Methoxybenzyl Ether 18f
The same procedure as in 2.3.1 using 2-bromophenol (6.28 g, 36.3 mmol), K2CO3 (6.82 g, 49.3 mmol), and 4-methoxybenzyl bromide (7.29 g, 36.3 mmol) gave 18f (4.41 g, 81%) as red crystals, mp 84–87 °C; νmax/cm−1 2999, 2909, 2835, 2361, 1607, 1584, 1510, 1474, 1240, 1171, 1028, 826, 808, and 750; 1H NMR (300 MHz): 7.54 (1H, dd, J = 7.9, 1.6 Hz, ArH), 7.38 (2H, d, J = 9.0 Hz, ArH), 7.26–7.16 (1H, m, ArH), 6.96–6.86 (3H, m, ArH), 6.82 (1H, td, J = 7.7, 1.4 Hz, ArH), 5.07 (2H, s, OCH2) and 3.80 (3H, s, OCH3); 13C NMR (75 MHz): 159.4 (C), 155.1 (C), 133.4 (CH), 128.7 (2CH), 128.5 (C), 128.3 (CH), 122.1 (CH), 114.1 (CH), 113.9 (2CH), 112.6 (C-Br), 70.7 (CH2) and 55.2 (CH3); HRMS (ESI–) found 291.0023. C14H1279BrO2 (M–H) requires 291.0021.
2.3.7. 2-Bromophenyl 2-Fluorobenzyl Ether 18g
The same procedure as in 2.3.2 using 2-bromophenol (3.58 g, 21 mmol), K2CO3 (3.90 g, 28 mmol), and 2-fluorobenzyl iodide (4.89 g, 21 mmol) gave 18g (4.83 g, 83%) as a yellow oil; νmax/cm−1 1585, 1493, 1476, 1456, 1443, 1285, 1273, 1246, 1231, 1053, 1030, 1007, 839, 743, and 665; 1H NMR (300 MHz): 7.64 (1H, m, ArH), 7.56 (1H, dd J = 8.1, 1.8 Hz, ArH), 7.35–7.16 (3H, m, ArH), 7.08 (1H, m, ArH), 6.97 (1H, dd J = 8.1, 1.5 Hz, ArH), 6.86 (1H, td J = 8.1, 1.5 Hz, ArH) and 5.22 (2H, s, OCH2); 13C NMR (100 MHz): 160.0 (d, J = 244.8 Hz, ArC-F), 154.7 (ArC-O), 133.4 (CH), 129.5 (d, J = 8.1 Hz, CH), 129.2 (d, J = 4.2 Hz, CH), 128.5 (CH), 124.3 (d, J = 3.5 Hz, CH), 123.7 (d, J = 13.7 Hz, C), 123.3 (CH), 115.1 (d, J = 20.7 Hz, CH), 113.7 (CH), 112.5 (C-Br) and 64.4 (d, J = 15.0 Hz, OCH2); 19F NMR (376 MHz): –118.9; HRMS (ESI+) found 302.9788. C13H10BrFNaO (M + Na) requires 302.9797.
2.3.8. 2-Bromophenyl 4-Fluorobenzyl Ether 18h
The same procedure as in 2.3.2 using 2-bromophenol (4.36 g, 25 mmol), K2CO3 (4.74 g, 34 mmol), and 4-fluorobenzyl iodide (5.95 g, 25 mmol) gave 18h (6.67 g, 95%) as a yellow oil; νmax/cm−1 1603, 1585, 1572, 1508, 1477, 1464, 1443, 1377, 1294, 1277, 1246, 1223, 1157, 1126, 1053, 1030, 1013, 978, 937, 860, 818, 745, 664, and 600; 1H NMR (300 MHz): 7.65 (1H, dd, J = 7.8, 1.8 Hz, ArH), 7.45 (2H, m, ArH), 7.23 (1H, m, ArH), 7.07 (2H, tt, J = 8.7, 2.1 Hz, ArH), 6.92 (1H, dd J = 8.1, 1.2 Hz, ArH), 6.85 (1H, td J = 7.8, 1.5 Hz, ArH) and 5.10 (2H, s, OCH2); 13C NMR (75 MHz): 162.4 (d, J = 246.4 Hz, ArC-F), 154.8 (ArC-O), 133.5 (CH), 132.2 (d, J = 3.2 Hz, C), 128.8 (d, J = 8.0 Hz, CH), 128.4 (CH), 122.3 (2CH), 115.5 (d, J = 21.6 Hz, 2CH), 113.9 (CH), 112.5 (C-Br) and 70.2 (OCH2); 19F NMR (376 MHz): –114.2; HRMS (ESI+) found 205.0602. C13H10NaO (M + Na − F − Br) requires 205.0629.
2.3.9. 2-Bromophenyl 2-Naphthylmethyl Ether 18l
The same procedure as in 2.3.1 using 2-bromophenol (4.33 g, 25.0 mmol), K2CO3 (4.70 g, 34.0 mmol), and 2-(bromomethyl)naphthalene (5.53 g, 25.0 mmol) gave, after recrystallisation from hexane, 18l (5.05 g, 65%) as light brown crystals, mp 75–77 °C; νmax/cm−1 3067, 3055, 2930, 2878, 1572, 1479, 1442, 1279, 1230, 1030, 1004, 814, and 737; 1H NMR (300 MHz): 7.98–7.75 (4H, m, ArH), 7.66–7.40 (4H, m, ArH), 7.24–7.13 (1H, m, ArH), 6.98 (1H, dd, J = 8.2, 1.3 Hz, ArH), 6.85 (1H, td, J 7.7, 1.4 Hz, ArH) and 5.32 (2 H, s, OCH2); 13C NMR (75 MHz):155.0 (C), 134.0 (C), 133.4 (CH), 133.2 (C), 133.0 (C), 128.4 (2CH), 128.0 (CH), 127.7 (CH), 126.2 (CH), 126.1 (CH), 126.0 (CH), 124.8 (CH), 122.2 (CH), 114.0 (CH), 112.5 (C-Br) and 70.9 (CH2); HRMS (ESI+) found 335.0039. C17H1379BrNaO (M + Na) requires 335.0047.
2.4. Synthesis of Substituted Diethyl 2-Benzyloxyphenylphosphonates 19
2.4.1. Diethyl 2-(4-Methylbenzyloxy)phenylphosphonate 19b
Using the method of Section 2.2.2 with 2-bromophenyl 4-methylbenzyl ether 18b (1.00 g, 3.6 mmol), NiCl2 (0.05 g, 0.36 mmol), and triethyl phosphite (0.72 g, 4.33 mmol) gave, after column chromatography (SiO2, hexane/EtOAc 1:1) and removal of triethyl phosphate by Kugelrohr distillation, 19b (0.17 g, 13%) as a colourless oil; 1H NMR (300 MHz): 7.86 (1H ddd, J = 15, 7.5, 1.8 Hz, ArH), 7.49 (1H, m, ArH), 7.40 (2H, d, J = 7.2 Hz, ArH), 7.18 (2H, d, J = 7.2 Hz, ArH), 7.07–6.93 (2H, m, ArH), 5.15 (2H, s, ArOCH2), 4.22–4.02 (4H, m, 2 OCH2CH3), 2.36 (3H, s, Ar-CH3) and 1.28 (6H, t, J = 6.9 Hz, 2 OCH2CH3); 13C NMR (125 MHz): 160.3 (ArC-O), 137.5 (C), 135.2 (d, J = 7.1 Hz, CH), 134.2 (CH), 133.4 (C), 129.1 (2CH), 127.1 (2CH), 120.5 (d, J = 14.6 Hz, CH), 116.9 (d, J = 187 Hz, ArC-P), 112.4 (d, J = 9 Hz, CH), 70.1 (OCH2Ar), 62.1 (d, J = 5.5 Hz, 2 OCH2CH3), 21.2 (ArCH3) and 16.3 (d, J = 6.4 Hz, 2 OCH2CH3); 31P NMR (162 MHz): +17.2; HRMS (ESI+) found 357.1219. C18H23NaO4P (M + Na) requires 357.1232.
2.4.2. Diethyl 2-(2-Methoxybenzyloxy)phenylphosphonate 19d
Using the method of Section 2.2.2 with 2-bromophenyl 2-methoxybenzyl ether 18d (4.00 g, 13.6 mmol), NiCl2 (0.18 g, 1.36 mmol) and triethyl phosphite (2.80 mL, 2.72 g, 16.4 mmol) gave, after removal of triethyl phosphate by Kugelrohr distillation, 19d (2.58 g, 54%) as a yellow oil; νmax/cm−1 3069, 2938, 2907, 2835, 1589, 1477, 1242, 1026, and 746.; 1H NMR (300 MHz): 7.64–7.47 (2H, m, ArH), 7.32–7.18 (2H, m, ArH), 7.05–6.95 (2H, m, ArH), 6.92–6.78 (2H, m, ArH), 5.19 (2 H, s, ArOCH2), 4.18–4.05 (4H, m, 2 OCH2CH3), 3.86 (3 H, s, OCH3) and 1.34 (6H, t, 2 OCH2CH3); 31P NMR (121 MHz): +17.4; HRMS (ESI+) found 373.1175. C18H23NaO5P (M + Na) requires 373.1181.
2.4.3. Diethyl 2-(3-Methoxybenzyloxy)phenylphosphonate 19e
Using the method of Section 2.2.2 with 2-bromophenyl 3-methoxybenzyl ether 18e (5.16 g, 17.6 mmol), NiCl2 (0.23 g, 1.76 mmol) and triethyl phosphite (3.6 mL, 3.51 g, 21.1 mmol) gave, after column chromatography (SiO2, hexane/EtOAc 1:1) and removal of triethyl phosphate by Kugelrohr distillation, 19e (3.17 g, 51%) as a colourless oil; 1H NMR (300 MHz): 7.87 (1H, ddd, J = 14.9, 7.5, 1.8 Hz, ArH), 7.52–7.43 (1H, m, ArH), 7.30–7.25 (1H, m, ArH), 7.16–7.14 (1H, m, ArH), 7.11–6.91 (3H, m, ArH), 6.82 (1H, dd, J = 8.2, 2.2 Hz, ArH), 5.17 (2H, s, ArOCH2), 4.21–4.05 (4H, m, 2 OCH2CH3), 3.83 (3H, s, OCH3) and 1.29 (6H, t, J = 7.1 Hz, 2 OCH2CH3); 13C NMR (75 MHz): 160.1 (ArC-O), 159.8 (ArC-O), 138.1 (C), 135.3 (d, J = 7.2 Hz, CH), 134.2 (d, J = 1.6 Hz, CH), 129.4 (CH), 120.6 (d, J = 14.6 Hz, CH), 118.9 (CH), 118.3 (d, J = 122.1 Hz, C-P), 113.4 (CH), 112.4 (CH), 112.3 (CH), 69.9 (ArOCH2), 62.1 (d, J = 5.5 Hz, 2 OCH2CH3), 55.3 (OCH3) and 16.3 (d, J = 6.6 Hz, 2 OCH2CH3); 31P NMR (202 MHz): +17.1; HRMS (ESI+) found 357.1219. C18H23NaO4P (M + Na) requires 357.1232.
2.5. Conversion of a Substituted Diethyl 2-Benzyloxyphenylphosphonate into the Phosphonamidate
2.5.1. Ethyl 2-(3-Methoxybenzyloxy)phenylphosphonochloridate 20
Using the method of Section 2.2.3 with diethyl 2-(3-methoxybenzyloxy)phenylphosphonate 19e (2.93 g, 8.36 mmol) and PCl5 (3.48 g, 16.7 mmol) in dry toluene (30 mL) gave 20 (2.85 g, 100%) as a yellow oil; 31P NMR (121 MHz): +26.4. This was used without purification for the following stage.
2.5.2. Ethyl N-Butyl-P-(2-(3-methoxybenzyloxy)phenyl)phosphonamidate 21e
Using the method of Section 2.2.4 with ethyl 2-(3-methoxybenzyloxy)phenylphosphonochloridate 20 (2.85 g, 8.4 mmol) and n-butylamine (2.1 mL, 1.56 g, 21.4 mmol) in Et2O (30 mL) gave, after purification by column chromatography (SiO2, hexane/EtOAc 1:1), 21e (1.77 g, 54%) as a yellow oil; 1H NMR (300 MHz): 7.97–7.85 (1H, m, ArH), 7.55–7.42 (1H, m, ArH), 7.35–7.25 (2H, m, ArH), 7.10–6.93 (3H, m, ArH), 6.90–6.80 (1H, m, ArH), 5.25–5.10 (2H, m, ArOCH2), 4.20–3.90 (2H, m, P-OCH2), 3.82 (3H, s, OCH3), 3.05–2.85 (3H, m, NHCH2), 1.40–1.11 (7H, m, NHCH2(CH2)2CH3 and OCH2CH3), 0.96–0.68 (3H, t, NCH2CH2CH2CH3); 31P NMR (121 MHz): +21.2; HRMS (ESI+) found 400.1648. C20H28NaNO4P (M + Na) requires 400.1654.
2.6. Formation and O-Benzylation of Ethyl N-Butyl-P-(2-hydroxyphenyl)phosphonamidate
2.6.1. Ethyl N-Butyl-P-(2-hydroxyphenyl)phosphonamidate 22
Using a literature procedure [18], a solution of ethyl P-(2-benzyloxyphenyl)-N-butylphosphonamidate 16 (2.20 g, 6.3 mmol) in MeOH (40 mL) and 5% Pd/C (0.34 g) was stirred under a hydrogen atmosphere at rt for 2 h. The reaction mixture was filtered and concentrated to afford 22 (1.57 g. 96%); 1H NMR (300 MHz): 10.77 (1H, br s, OH), 7.45–7.28 (2H, m, ArH), 6.98–6.85 (2H, m, ArH), 4.10–3.85 (2H, m, OCH2CH3), 3.00–2.78 (3H, m, NHCH2), 1.50–1.20 (4 H, m, NHCH2(CH2)2CH3), 1.28 (3H, t, J = 7.1 Hz, OCH2CH3) and 0.87 (3H, t, J = 7.3 Hz, NH(CH2)3CH3); 13C NMR (75 MHz): 162.2 (d, J = 6.5 Hz, ArCOH), 134.4 (d, J = 2.1 Hz, CH), 131.4 (d, J = 7.1 Hz, CH), 119.2 (d, J = 13.2 Hz, CH), 117.5 (d, J = 10.9 Hz, CH), 111.1 (d, J = 162.8 Hz, ArC-P), 61.6 (d, J = 4.5 Hz, OCH2CH3), 40.2 (NHCH2), 33.8 (d, J = 6.1 Hz, NHCH2CH2), 19.6 (NHCH2CH2CH2), 16.2 (d, J = 6.7 Hz, OCH2CH3) and 13.6 (NHCH2CH2CH2CH3); 31P NMR (121 MHz): +28.2; HRMS (ESI+): found 280.1073. C12H20NaNO3P (M + Na) requires 280.1078.
2.6.2. Ethyl N-Butyl-P-(2-(2-methylbenzyloxy)phenyl)phosphonamidate 21a
To a stirred solution of ethyl N-butyl-P-(2-hydroxyphenyl)phosphonamidate 16 (0.25 g, 0.97 mmol) and K2CO3 (0.40 g, 2.92 mmol) in DMF (10 mL) at rt, 2-methylbenzyl bromide (0.13 mL, 0.18 g, 0.97 mmol) was added, and the solution was stirred for 18 h. The reaction mixture was poured into H2O (40 mL) and extracted with CH2Cl2 (20 mL) and EtOAc (3 × 20 mL). The combined organic fractions were washed with H2O (6 × 50 mL), dried over MgSO4, and concentrated to afford, after purification via column chromatography (SiO2, EtOAc/hexane 1:1), 21a (0.20 g, 57%) as a yellow oil; 1H NMR (300 MHz): 7.94 (1H, ddd, J = 14.3, 7.5, 1.8 Hz, ArH), 7.54–7.39 (2H, m, ArH), 7.33–7.20 (3H, m, ArH), 7.14–6.94 (2H, m, ArH), 5.14 and 5.08 (2H, AB pattern, J = 11.1 Hz, OCH2), 4.05–3.85 (2H, m, OCH2CH3), 3.00–2.80 (3H, m, NHCH2), 2.41 (3H, s, ArCH3), 1.28–1.05 (4H, m, NHCH2(CH2)2CH3), 1.22 (3H, t, J = 7.0 Hz, OCH2CH3) and 0.78 (3 H, t, J = 7.2 Hz, NHCH2(CH2)2CH3); 13C NMR (75 MHz): 159.2 (d, J = 2.8 Hz, ArCO), 136.4 (C), 134.5 (d, J = 6.5 Hz, CH), 134.0 (C), 133.4 (CH), 130.4 (CH), 128.5 (CH), 128.4 (CH), 126.1 (CH), 120.8 (d, J = 13.5 Hz, CH), 119.8 (d, J = 166.8 Hz, ArC-P), 111.5 (d, J = 8.6 Hz, CH), 68.7 (ArOCH2), 60.2 (d, J = 5.8 Hz, OCH2CH3), 40.2 (NHCH2), 34.0 (d, J = 6.2 Hz, NHCH2CH2), 19.6 (NHCH2CH2CH2), 18.8 (ArCH3), 16.3 (d, J = 6.9 Hz, OCH2CH3) and 13.6 (NHCH2CH2CH2CH3); 31P NMR (121 MHz): +21.3; HRMS (ESI+): found 384.1699. C20H28NaNO3P (M + Na) requires 384.1705.
2.6.3. Ethyl N-Butyl-P-(2-(4-methylbenzyloxy)phenyl)phosphonamidate 21b
To a stirred solution of NaI (0.16 g, 1.07 mmol) in acetone (1.5 mL), 4-methylbenzyl chloride (0.14 mL, 0.15 g, 1.07 mmol) was added, and the solution was stirred at rt until no further precipitation was observed. The solution was filtered and concentrated to afford 4-methylbenzyl iodide, which was used without further purification.
The 4-methylbenzyl iodide (1.07 mmol) was added to a stirred solution of ethyl N-butyl-P-(2-hydroxyphenyl)phosphonamidate 22 (0.25 g, 0.97 mmol) and K2CO3 (0.40 g, 2.92 mmol) in DMF (10 mL), and the mixture was stirred for 18 h at rt. The reaction mixture was poured into H2O (40 mL) and extracted with CH2Cl2 (20 mL) and EtOAc (3 × 20 mL). The combined organic fractions were washed with H2O (6 × 50 mL), dried over MgSO4, and concentrated to afford the product 20 (0.21 g, 60%) as an orange oil; 1H NMR (400 MHz): 7.93 (1H, ddd, J = 14.3, 7.5, 1.8 Hz, ArH), 7.50–7.42 (1H, m, ArH), 7.35 (2H, d, J = 8.0 Hz, ArH), 7.21 (2H, d, J = 8.0 Hz, ArH), 7.16–7.00 (1H, m, ArH), 7.00–6.95 (1H, m, ArH), 5.09 (2H, s, ArOCH2), 4.05–3.90 (2H, m, OCH2CH3), 3.01–2.82 (3H, m, NHCH2), 2.38 (3H, s, ArCH3), 1.34–1.21 (4H, m, NHCH2(CH2)2CH3), 1.25 (3H, t, J = 7.2 Hz, OCH2CH3) and 0.79 (3H, t, J = 7.2 Hz, NHCH2(CH2)2CH3); 13C NMR (100 MHz): 159.2 (d, J = 2.8 Hz, ArCO), 138.1 (C), 134.5 (d, J = 6.5 Hz, CH), 133.3 (CH), 133.2 (C), 129.4 (2CH), 127.5 (2CH), 120.8 (d, J = 13.1 Hz, CH), 120.0 (d, J = 170.2 Hz, ArC-P), 111.8 (d, J = 8.6 Hz, CH), 70.4 (ArOCH2), 60.3 (d, J = 5.7 Hz, OCH2CH3), 40.3 (NHCH2), 34.1 (d, J = 6.2 Hz, NHCH2CH2), 21.2 (ArCH3), 19.7 (NHCH2CH2CH2), 16.4 (d, J = 6.8 Hz, OCH2CH3) and 13.7 (NHCH2CH2CH2CH3); 31P NMR (121 MHz): +21.3.
2.6.4. Ethyl N-Butyl-P-(2-(4-tert-butylbenzyloxy)phenyl)phosphonamidate 21c
Using the method of Section 2.6.2 with ethyl N-butyl-P-(2-hydroxyphenyl)phosphonamidate 22 (0.60 g, 2.5 mmol), 4-tert-butylbenzyl bromide [17] (0.56 g, 2.5 mmol) and K2CO3 (1.04 g, 7.5 mmol) in DMF (4 mL) gave, after purification by column chromatography (SiO2, hexane/EtOAc 1:1), 21c (0.33 g, 33%) as a pale-yellow oil; νmax/cm–1 2959, 2930, 2870, 2423, 1591, 1475, 1443, 1165, 1018, 955, 762, and 550; 1H NMR (400 MHz): 7.96–7.90 (1H, m, ArH), 7.48–7.42 (1H, m, ArH), 7.43 and 7.39 (2H, AB pattern, J = 8.5 Hz, ArH), 7.06–6.98 (2H, m, ArH), 5.10 (2H, s, OCH2Ar), 4.08–3.93 (2H, m, OCH2CH3), 2.95–2.86 (3H, m, NHCH2), 1.34 (9H, s, C(CH3)3), 1.32–1.20 (2H, m, NHCH2CH2), 1.25 (3H, t, J = 7.2 Hz, OCH2CH3), 1.16 (2H, sextet, J = 7.2 Hz, NHCH2CH2CH2) and 0.79 (3H, t, J = 7.2 Hz, NHCH2CH2CH2CH3); 13C NMR (100 MHz): 159.2 (d, J = 2.9 Hz, ArC-O), 151.4 (C), 134.5 (d, J = 6.3 Hz, ArCH), 133.4 (d, J = 1.6 Hz, ArCH), 133.2 (C), 127.3 (2CH), 125.6 (2CH), 120.8 (d, J = 13.6 Hz, ArCH), 119.8 (d, J = 165.5 Hz, ArC-P), 111.8 (d, J = 8.6 Hz, ArCH), 70.3 (OCH2Ar), 60.3 (d, J = 5.7 Hz, OCH2CH3), 40.3 (NHCH2), 34.6 (CMe3), 34.1 (d, J = 6.4 Hz, NHCH2CH2), 31.3 (C(CH3)3), 19.6 (NHCH2CH2CH2), 16.3 (d, J = 6.6 Hz, OCH2CH3) and 13.7 (NHCH2CH2CH2CH3); 31P NMR (162 MHz): +21.3; HRMS (ESI+): found 404.2336. C23H35NO3P (M + H) requires 404.2355.
2.6.5. Ethyl N-Butyl-P-(2-(2-methoxybenzyloxy)phenyl)phosphonamidate 21d
Using the method of Section 2.6.2 with ethyl N-butyl-P-(2-hydroxyphenyl)phosphonamidate 22 (0.60 g, 2.5 mmol), 2-methoxybenzyl bromide (0.50 g, 2.5 mmol), and K2CO3 (1.04 g, 7.5 mmol) in DMF (4 mL) gave, after purification by column chromatography (SiO2, hexane/EtOAc 1:1), 21d (0.24 g, 28%) as a pale-yellow oil; νmax/cm–1 2957, 2932, 1591, 1441, 1240, 1028, 953, 752, and 571; 1H NMR (400 MHz): 7.93 (1H, ddd, J = 14.4, 7.6, 2.0 Hz, ArH), 7.51–7.29 (3H, m, ArH), 7.06–6.92 (4H, m, ArH), 5.21 and 5.15 (2H, AB pattern, J = 12.0 Hz, ArOCH2), 4.06–3.90 (2H, m, OCH2CH3), 3.87 (3H, s, OCH3), 3.15–3.05 (1H, br m, NH), 3.01–2.90 (2H, m, NHCH2), 1.36–1.29 (2H, m, NHCH2CH2), 1.23–1.16 (2H, m, NHCH2CH2CH2), 1.21 (3H, t, J = 7.2 Hz, OCH2CH3) and 0.80 (3H, t, J = 7.2 Hz, NHCH2CH2CH2CH3); 13C NMR (100 MHz): 159.2 (d, J = 2.9 Hz, ArC-O), 156.8 (C), 134.3 (d, J = 6.5 Hz, CH), 133.3 (d, J = 2.1 Hz, CH), 129.3 (CH), 128.8 (CH), 124.4 (C), 120.6 (CH), 120.5 (d, J = 11.2 Hz, CH), 119.6 (d, J = 162.9 Hz, ArC-P), 111.6 (d, J = 8.6 Hz, CH), 110.3 (CH), 65.5 (OCH2Ar), 60.2 (d, J = 5.6 Hz, OCH2CH3), 55.3 (OCH3), 40.3 (NHCH2), 34.2 (d, J = 6.8 Hz, NHCH2CH2), 19.6 (NHCH2CH2CH2), 16.2 (d, J = 6.8 Hz, OCH2CH3) and 13.6 (NHCH2CH2CH2CH3); 31P NMR (162 MHz): +21.5; HRMS (ESI+): found 400.1637. C20H28NaNO4P (M + Na) requires 400.1654.
2.6.6. Ethyl N-Butyl-P-(2-(4-methoxybenzyloxy)phenyl)phosphonamidate 21f
Using the method of Section 2.6.2 with ethyl N-butyl-P-(2-hydroxyphenyl)phosphonamidate 22 (0.60 g, 2.5 mmol), 4-methoxybenzyl bromide (0.50 g, 2.5 mmol), and K2CO3 (1.04 g, 7.5 mmol) in DMF (4 mL) gave, after purification by column chromatography (SiO2, hexane/EtOAc 1:1), 21f (0.38 g, 44%) as a pale-yellow oil; νmax/cm–1 2957, 2932, 2872, 1591, 1514, 1236, 1030, 951, 820, 756, and 567; 1H NMR (400 MHz): 7.92 (1H, ddd, J = 14.0, 7.2, 1.6 Hz, ArH), 7.48–7.43 (1H, m, ArH), 7.39 (2H, d, J = 8.4 Hz, ArCH), 7.06–6.97 (2H, m, ArH), 6.93 (2H, d, J = 8.4 Hz, ArCH), 5.06 (2H, s, ArOCH2), 4.06–3.90 (2H, m, OCH2CH3), 3.83 (3H, s, OCH3), 2.95–2.85 (3H, m, NHCH2), 1.34–1.20 (2H, m, NHCH2CH2), 1.25 (3H, t, J = 7.2 Hz, OCH2CH3), 1.20–1.10 (2H, m, NHCH2CH2CH2) and 0.79 (3H, t, J = 7.2 Hz, NHCH2CH2CH2CH3); 13C NMR (100 MHz): 159.6 (C), 159.2 (d, J = 2.9 Hz, ArC-O), 134.4 (d, J = 6.2 Hz, CH), 133.4 (d, J = 2.0 Hz, CH), 129.2 (2CH), 128.2 (C), 120.8 (d, J = 13.2 Hz, CH), 119.7 (d, J = 166.1 Hz, ArC-P), 114.0 (2CH), 111.8 (d, J = 8.5 Hz, CH), 70.2 (OCH2Ar), 60.3 (d, J = 5.7 Hz, OCH2CH3), 55.3 (OCH3), 40.3 (NHCH2), 34.0 (d, J = 6.4 Hz, NHCH2CH2), 19.6 (NHCH2CH2CH2), 16.3 (d, J = 6.8 Hz, OCH2CH3) and 13.6 (NHCH2CH2CH2CH3); 31P NMR (162 MHz): +21.3; HRMS (ESI+): found 400.1631. C20H28NaNO4P (M + Na) requires 400.1654.
2.6.7. Ethyl N-Butyl-P-(2-(2-fluorobenzyloxy)phenyl)phosphonamidate 21g
Using the method of Section 2.6.3 with ethyl N-butyl-P-(2-hydroxyphenyl)phosphonamidate 22 (0.64 g, 2.5 mmol), 2-fluorobenzyl iodide (0.59 g, 2.5 mmol), and K2CO3 (1.04 g, 7.5 mmol) in DMF (4 mL) gave, after purification by column chromatography (SiO2, hexane/EtOAc 1:1), 21g (0.16 g, 19%) as a pale-yellow oil; νmax/cm–1 2949, 2932, 2370, 1620, 1491, 1231, 1105, 1036, 1007, 945, 833, 559 and 509; 1H NMR (400 MHz): 7.93 (1H, ddd, J = 14.4, 7.6, 1.6 Hz, ArH), 7.57 (1H, td, J = 5.8, 1.7 Hz, ArH), 7.50–7.45 (1H, m, ArH), 7.38–7.33 (1H, m, ArH), 7.19 (1H, td, J = 7.6, 1.2 Hz, ArH), 7.14–7.09 (1H, m, ArH), 7.06 (1H, tdd, J = 7.4, 2.8, 0.9 Hz, ArH), 7.04–7.01 (1H, m, ArH), 5.23 and 5.19 (2H, AB pattern, J = 12.0 Hz, ArOCH2), 4.06–3.90 (2H, m, OCH2CH3), 3.01–2.85 (3H, m, NHCH2), 1.36–1.29 (2H, m, NHCH2CH2), 1.23–1.14 (2H, m, NHCH2CH2CH2), 1.23 (3H, t, J = 7.2 Hz, OCH2CH3) and 0.81 (3H, t, J = 7.2 Hz, NHCH2CH2CH2CH3); 13C NMR (100 MHz): 160.5 (d, J = 245.7 Hz, ArC-F), 158.9 (d, J = 2.9 Hz, ArC-O), 134.6 (d, J = 6.1 Hz, CH), 133.4 (d, J = 2.1 Hz, CH), 130.2 (d, J = 8.0 Hz, CH), 129.9 (d, J = 3.8 Hz, CH), 124.4 (d, J = 3.6 Hz, CH), 123.4 (d, J = 14.2 Hz, C), 121.0 (d, J = 13.2 Hz, CH), 119.9 (d, J = 165.9 Hz, ArC-P), 115.5 (d, J = 21.0 Hz, CH), 111.6 (d, J = 8.5 Hz, CH), 64.2 (d, J = 4.3 Hz, OCH2Ar), 60.3 (d, J = 5.6 Hz, OCH2CH3), 40.4 (NHCH2), 34.1 (d, J = 6.1 Hz, NHCH2CH2), 19.7 (NHCH2CH2CH2), 16.3 (d, J = 6.7 Hz, OCH2CH3) and 13.6 (NHCH2CH2CH2CH3); 19F NMR (376 MHz): –118.5; 31P NMR (162 MHz): +21.0; HRMS (ESI+): found 388.1437. C19H25FNaNO3P (M + Na) requires 388.1454.
2.6.8. Ethyl N-Butyl-P-(2-(4-fluorobenzyloxy)phenyl)phosphonamidate 21h
Using the method of Section 2.6.3 with ethyl N-butyl-P-(2-hydroxyphenyl)phosphonamidate 22 (0.64 g, 2.5 mmol), 4-fluorobenzyl iodide (0.59 g, 2.5 mmol), and K2CO3 (1.04 g, 7.5 mmol) in DMF (4 mL) gave, after purification by column chromatography (SiO2, hexane/EtOAc 1:1), 21h (0.22 g, 26%) as a pale-yellow oil; νmax/cm–1 2959, 2930, 2872, 1603, 1512, 1443, 1223, 1157, 1030, 951, 756 and 563; 1H NMR (400 MHz): 7.92 (1H, ddd, J = 14.4, 7.6, 2.0 Hz, ArH), 7.48–7.44 (3H, m, ArH), 7.10 (2H, t, J = 8.8, Hz, ArH), 7.09–7.04 (1H, m, ArH), 6.97 (1H, dd, J = 8.0, 6.0 Hz, ArH), 5.10 (2H, s, ArOCH2), 4.07–3.94 (2H, m, OCH2CH3), 3.00–2.75 (3H, m, NHCH2), 1.33–1.23 (2H, m, NHCH2CH2), 1.26 (3H, t, J = 7.2 Hz, OCH2CH3), 1.22–1.12 (2H, m, NHCH2CH2CH2) and 0.80 (3H, t, J = 7.2 Hz, NHCH2CH2CH2CH3); 13C NMR (100 MHz): 162.6 (d, J = 245.4 Hz, ArC-F), 159.0 (d, J = 2.9 Hz, ArC-O), 134.4 (d, J = 6.5 Hz, CH), 133.4 (d, J = 2.1 Hz, CH), 132.0 (d, J = 3.5 Hz, C), 129.3 (d, J = 8.1 Hz, 2CH), 121.0 (d, J = 13.4 Hz, CH), 119.9 (d, J = 167.0 Hz, ArC-P), 115.6 (d, J = 21.3 Hz, 2CH), 111.8 (d, J = 8.4 Hz, CH), 69.7 (OCH2Ar), 60.2 (d, J = 5.7 Hz, OCH2CH3), 40.3 (NHCH2), 34.0 (d, J = 5.9 Hz, NHCH2CH2), 19.6 (NHCH2CH2CH2), 16.4 (d, J = 6.9 Hz, OCH2CH3) and 13.6 (NHCH2CH2CH2CH3); 19F NMR (376 MHz): –113.6; 31P NMR (162 MHz): +21.0; HRMS (ESI+): found 388.1436. C19H25FNaNO3P (M + Na) requires 388.1454.
2.6.9. Ethyl N-Butyl-P-(2-(4-chlorobenzyloxy)phenyl)phosphonamidate 21i
Using the method of Section 2.6.2 with ethyl N-butyl-P-(2-hydroxyphenyl)phosphonamidate 22 (0.60 g, 2.5 mmol), 4-chlorobenzyl bromide (0.40 g, 2.5 mmol), and K2CO3 (1.04 g, 7.5 mmol) in DMF (4 mL) gave, after purification by column chromatography (SiO2, hexane/EtOAc 1:1), 21i (0.67 g, 70%) as colourless crystals, mp 75–77 °C; νmax/cm–1 2957, 2932, 2872, 1591, 1443, 1221, 1092, 1030, 955, 760, and 563; 1H NMR (400 MHz): 7.92 (1H, ddd, J = 14.4, 7.6, 2.0 Hz, ArH), 7.48–7.40 (1H, m, ArH), 7.43 and 7.38 (4H, A2B2 pattern, J = 8.8 Hz, ArCH), 7.06 (1H, tdd, J = 7.6, 2.8, 0.8 Hz, ArCH), 6.98–6.94 (1H, m, ArH), 5.11 (2H, s, ArOCH2), 4.08–3.94 (2H, m, OCH2CH3), 2.96–2.78 (3H, m, NHCH2), 1.34–1.20 (2H, m, NHCH2CH2), 1.28 (3H, t, J = 7.2 Hz, OCH2CH3), 1.20–1.10 (2H, m, NHCH2CH2CH2) and 0.80 (3H, t, J = 7.2 Hz, NHCH2CH2CH2CH3); 13C NMR (100 MHz): 158.9 (d, J = 2.9 Hz, ArC-O), 134.7 (C), 134.5 (d, J = 6.4 Hz, CH), 134.1 (C), 133.4 (d, J = 2.0 Hz, CH), 128.9 (2CH), 128.7 (2CH), 121.1 (d, J = 13.6 Hz, CH), 119.9 (d, J = 166.6 Hz, ArC-P), 111.8 (d, J = 8.6 Hz, CH), 69.6 (OCH2Ar), 60.2 (d, J = 5.6 Hz, OCH2CH3), 40.4 (NHCH2), 34.1 (d, J = 6.2 Hz, NHCH2CH2), 19.6 (NHCH2CH2CH2), 16.4 (d, J = 6.9 Hz, OCH2CH3) and 13.6 (NHCH2CH2CH2CH3); 31P NMR (162 MHz): +20.9; HRMS (ESI+): found 404.1138. C19H25ClNaNO3P (M + Na) requires 404.1158.
2.6.10. Ethyl P-(2-(4-Bromobenzyloxy)phenyl)-N-butylphosphonamidate 21j
Using the method of Section 2.6.2 with ethyl N-butyl-P-(2-hydroxyphenyl)phosphonamidate 22 (0.60 g, 2.5 mmol), 4-methoxybenzyl bromide (0.62 g, 2.5 mmol), and K2CO3 (1.04 g, 7.5 mmol) in DMF (4 mL) gave 21j (0.86 g, 81%) as colourless crystals, mp 80–82 °C; νmax/cm–1 3177, 2953, 2928, 1591,1474, 1445, 1219,1030, 943, 760, 692, and 557; 1H NMR (400 MHz): 7.92 (1H, ddd, J = 14.0, 7.6, 1.6 Hz, ArH), 7.54 (2H, d, J = 8.4 Hz, ArCH), 7.49–7.43 (1H, m, ArH), 7.37 (2H, d, J = 8.4 Hz, ArCH), 7.06 (1H, tdd, J = 7.6, 2.8, 0.8 Hz, ArCH), 6.98–6.93 (1H, m, ArH), 5.10 (2H, s, ArOCH2), 4.10–3.95 (2H, m, OCH2CH3), 2.95–2.80 (3H, m, NHCH2), 1.34–1.28 (2H, m, NHCH2CH2), 1.28 (3H, t, J = 7.2 Hz, OCH2CH3), 1.22–1.12 (2H, m, NHCH2CH2CH2) and 0.80 (3H, t, J = 7.2 Hz, NHCH2CH2CH2CH3); 13C NMR (100 MHz): 158.9 (d, J = 2.8 Hz, ArC-O), 135.3 (C), 134.5 (d, J = 6.3 Hz, CH), 133.4 (d, J = 1.8 Hz, CH), 131.9 (2CH), 129.0 (2CH), 122.2 (C-Br), 121.1 (d, J = 13.2 Hz, CH), 120.1 (d, J = 166.0 Hz, ArC-P), 111.8 (d, J = 8.6 Hz, CH), 69.7 (OCH2Ar), 60.3 (d, J = 5.5 Hz, OCH2CH3), 40.4 (NHCH2), 34.1 (d, J = 6.3 Hz, NHCH2CH2), 19.7 (NHCH2CH2CH2), 16.4 (d, J = 7.0 Hz, OCH2CH3) and 13.7 (NHCH2CH2CH2CH3); 31P NMR (162 MHz): +20.9; HRMS (ESI+): found 426.0814. C19H2679BrNO3P (M + H) requires 426.0834.
2.6.11. Ethyl N-Butyl-P-(2-(1-naphthylmethoxy)phenyl)phosphonamidate 21k
Using the method of Section 2.6.2 with ethyl N-butyl-P-(2-hydroxyphenyl)phosphonamidate 22 (0.60 g, 2.5 mmol), 1-bromomethylnaphthalene (0.55 g, 2.5 mmol), and K2CO3 (1.04 g, 7.5 mmol) in DMF (4 mL) gave 21k (0.81 g, 82%) as a pale-yellow oil; νmax/cm–1 3393, 2957, 2930, 2870, 1591, 1472, 1441, 1227, 1084, 1032, 997, 951, 758, and 542; 1H NMR (400 MHz): 8.13–8.03 (1H, m, ArH), 7.95 (1H, ddd, J = 14.4, 7.6, 2.0 Hz, ArH), 7.94–7.78 (2H, m, ArH), 7.63–7.41 (5H, m, ArH), 7.15 (1H, dd, J = 8.0, 6.0 Hz, ArCH), 7.08 (1H, tdd, J = 7.6, 3.2, 0.8 Hz, ArCH), 5.57 and 5.51 (2H, AB pattern, J = 11.0 Hz, ArOCH2), 3.85–3.75 (2H, m, OCH2CH3), 2.82–2.64 (3H, m, NHCH2), 1.10–1.00 (2H, m, NHCH2CH2), 1.08 (3H, t, J = 7.2 Hz, OCH2CH3), 1.00–0.90 (2H, m, NHCH2CH2CH2) and 0.69 (3H, t, J = 7.2 Hz, NHCH2CH2CH2CH3); 13C NMR (100 MHz): 159.1 (d, J = 2.9 Hz, ArC-O), 134.6 (d, J = 6.5 Hz, CH), 133.8 (C), 133.4 (d, J = 2.1 Hz, CH), 131.5 (C), 131.3 (C), 129.4 (CH), 128.8 (CH), 126.9 (CH), 126.7 (CH), 126.0 (CH), 125.3 (CH), 123.3 (CH), 120.9 (d, J = 13.2 Hz, CH), 120.0 (d, J = 168.0 Hz, ArC-P), 111.4 (d, J = 8.3 Hz, CH), 68.8 (OCH2Ar), 60.1 (d, J = 5.8 Hz, OCH2CH3), 40.2 (NHCH2), 33.9 (d, J = 5.9 Hz, NHCH2CH2), 19.5 (NHCH2CH2CH2), 16.2 (d, J = 6.9 Hz, OCH2CH3) and 13.6 (NHCH2CH2CH2CH3); 31P NMR (162 MHz): +20.9; HRMS (ESI+): found 420.1688. C23H28NaNO3P (M + Na) requires 420.1705.
2.6.12. Ethyl N-Butyl-P-(2-(2-naphthylmethoxy)phenyl)phosphonamidate 21l
Using the method of Section 2.6.2 with ethyl N-butyl-P-(2-hydroxyphenyl)phosphonamidate 22 (0.60 g, 2.5 mmol), 2-bromomethylnaphthalene (0.55 g, 2.5 mmol), and K2CO3 (1.04 g, 7.5 mmol) in DMF (4 mL) gave 21l (0.81 g, 82%) as a pale-yellow oil; νmax/cm–1 2957, 2930, 2870, 1591, 1441, 1227, 1086, 1030, 951, 813, 756, 565, and 475; 1H NMR (400 MHz): 7.96 (1H, ddd, J = 15.2, 7.2, 1.6 Hz, ArH), 7.93–7.72 (4H, m, ArH), 7.60–7.44 (4H, m, ArH), 7.08–7.01 (2H, m, ArCH), 5.31 and 5.29 (2H, AB pattern, J = 11.4 Hz, ArOCH2), 4.10–3.93 (2H, m, OCH2CH3), 3.00–2.82 (3H, m, NHCH2), 1.30–1.20 (2H, m, NHCH2CH2), 1.28 (3H, t, J = 7.2 Hz, OCH2CH3), 1.12–1.02 (2H, m, NHCH2CH2CH2) and 0.71 (3H, t, J = 7.2 Hz, NHCH2CH2CH2CH3); 13C NMR (100 MHz): 159.1 (d, J = 2.9 Hz, ArC-O), 134.6 (d, J = 6.5 Hz, CH), 133.8 (C), 133.4 (d, J = 2.1 Hz, CH), 131.5 (C), 131.3 (C), 129.4 (CH), 128.9 (CH), 126.9 (CH), 126.7 (CH), 126.0 (CH), 125.3 (CH), 123.3 (CH), 120.9 (d, J = 13.3 Hz, CH), 120.0 (d, J = 165.7 Hz, ArC-P), 111.4 (d, J = 8.5 Hz, CH), 68.8 (OCH2Ar), 60.1 (d, J = 5.8 Hz, OCH2CH3), 40.2 (NHCH2), 33.9 (d, J = 5.9 Hz, NHCH2CH2), 19.5 (NHCH2CH2CH2), 16.2 (d, J = 6.9 Hz, OCH2CH3) and 13.6 (NHCH2CH2CH2CH3); 31P NMR (162 MHz): +21.2; HRMS (ESI+): found 420.1686. C23H28NaNO3P (M + Na) requires 420.1705.
2.6.13. Ethyl N-Butyl-P-(2-(2-thienylmethoxy)phenyl)phosphonamidate 21m
Using the method of Section 2.6.2 with ethyl N-butyl-P-(2-hydroxyphenyl)phosphonamidate 22 (0.60 g, 2.5 mmol), 2-bromomethylthiophene (0.44 g, 2.5 mmol), and K2CO3 (1.04 g, 7.5 mmol) in DMF (4 mL) gave 21m (0.88 g, >95%) as a dark-orange oil; νmax/cm–1 3401, 2957, 2930, 2872, 1591, 1441, 1232, 1032, 953, 700, 577, and 540; 1H NMR (400 MHz): 7.94 (1H, ddd, J = 14.0, 7.2, 1.6 Hz, ArH), 7.50–7.45 (1H, m, ArH), 7.36 (1H, dd, J = 4.8, 1.2 Hz, ArCH), 7.14 (1H, dd, J = 3.6, 1.2 Hz, ArCH), 7.07 (1H, tdd, J = 7.6, 3.2, 0.6, ArH), 7.04–6.99 (2H, m, ArCH), 5.31 and 5.28 (2H, AB pattern, J = 11.8 Hz, ArOCH2), 4.07–3.90 (2H, m, OCH2CH3), 3.00–2.85 (3H, m, NHCH2), 1.35–1.25 (2H, m, NHCH2CH2), 1.24 (3H, t, J = 7.2 Hz, OCH2CH3), 1.25–1.15 (2H, m, NHCH2CH2CH2) and 0.81 (3H, t, J = 7.2 Hz, NHCH2CH2CH2CH3); 13C NMR (100 MHz): 158.6 (d, J = 2.9 Hz, ArC-O), 138.2 (C), 134.6 (d, J = 6.4 Hz, CH), 133.3 (d, J = 2.1 Hz, CH), 127.1 (CH), 126.9 (CH), 126.5 (CH), 121.2 (d, J = 13.2 Hz, CH), 120.2 (d, J = 165.4 Hz, ArC-P), 111.7 (d, J = 8.6 Hz, CH), 65.3 (OCH2Ar), 60.3 (d, J = 5.8 Hz, OCH2CH3), 40.4 (NHCH2), 34.1 (d, J = 6.0 Hz, NHCH2CH2), 19.7 (NHCH2CH2CH2), 16.3 (d, J = 7.0 Hz, OCH2CH3) and 13.7 (NHCH2CH2CH2CH3); 31P NMR (162 MHz): +20.8; HRMS (ESI+): found 376.1097. C17H24NaNO3PS (M + Na) requires 376.1112.
2.7. Base Treatment of Substituted Ethyl P-(2-Benzyloxyphenyl)-N-butylphosphonamidates
2.7.1. 3-Butylamino-2-(4-tert-butylphenyl)-2H-benzo[d][1,3]oxaphosphole 3-Oxide 23c
Using the method of Section 2.2.5 with ethyl N-butyl-P-(2-(4-tert-butylbenzyloxy)phenyl)phosphonamidate 21c (100 mg, 0.25 mmol) and n-butyllithium (0.33 mL, 0.83 mmol) in THF (2 mL) at rt for 20 min gave, after purification via preparative TLC (hexane/EtOAc 1:3), 23c (9.5 mg, 11%) as a pale-yellow oil; 1H NMR (400 MHz): 7.64–7.53 (2H, m, ArH), 7.42–7.40 (2H, m, ArH), 7.36–7.30 (2H, m, ArH), 7.15–7.07 (2H, m, ArH), 5.54 (1H, d, J = 10.0 Hz, CHP), 2.46–2.40 (1H, m, NHCHH), 2.32–2.27 (1H, m, NHCHH), 2.16–2.10 (1H, br m, NH), 1.32 (9H, s, C(CH3)3), 1.01–0.85 (4H, m, NHCH2CH2CH2) and 0.69 (3H, t, J = 7.2 Hz, NHCH2CH2CH2CH3); 13C NMR (176 MHz): 164.6 (d, J = 23.9 Hz, ArC-O), 151.1 (d, J = 2.5 Hz, C), 135.4 (d, J = 1.7 Hz, CH), 131.5 (C), 129.0 (d, J = 5.1 Hz, CH), 125.6 (2CH), 124.7 (2CH), 122.3 (d, J = 10.2 Hz, CH), 114.3 (d, J = 7.0 Hz, CH), 114.0 (d, J = 122.0 Hz, ArC-P), 79.7 (d, J = 87.8 Hz, CHP), 40.2 (NHCH2), 34.5 (C(CH3)3), 33.5 (d, J = 5.4 Hz, NHCH2CH2), 31.2 (C(CH)3)3), 19.4 (NHCH2CH2CH2) and 13.4 (NHCH2CH2CH2CH3); 31P NMR (162 MHz): +44.6; HRMS (ESI+): found 380.1746. C21H28NaNO2P (M + Na) requires 380.1755.
2.7.2. 3-Butylamino-2-(2-methoxyphenyl)-2H-benzo[d][1,3]oxaphosphole 3-Oxide 23d
Using the method of Section 2.2.5 with ethyl N-butyl-P-(2-(2-methoxybenzyloxy)phenyl)phosphonamidate 21d (100 mg, 0.26 mmol) and n-butyllithium (0.34 mL, 0.86 mmol) in THF (5 mL) at rt for 20 min gave, after purification via preparative TLC (hexane/EtOAc 1:3), 23d (3.1 mg, 4%) as colourless crystals; 1H NMR (400 MHz): 7.61–7.51 (2H, m, ArH), 7.32–7.22 (2H, m, ArH), 7.14–7.05 (2H, m, ArH), 6.97–6.92 (2H, m, ArH), 5.82 (1H, d, J = 12.4 Hz, CHP), 3.90 (3H, s, OMe), 2.41–2.35 (1H, m, NHCH2), 2.15–2.08 (1H, br m, NH), 1.08–0.98 (4H, m, NHCH2CH2CH2) and 0.72 (3H, t, J = 6.8 Hz, NHCH2CH2CH2CH3); 31P NMR (162 MHz): +45.6; HRMS (ESI+): found 354.1217. C18H22NaNO3P (M + Na) requires 354.1235.
2.7.3. 3-Butylamino-2-(3-methoxyphenyl)-2H-benzo[d][1,3]oxaphosphole 3-Oxide 23e
Using the method of Section 2.2.5 with ethyl N-butyl-P-(2-(3-methoxybenzyloxy)phenyl)phosphonamidate 21e (100 mg, 0.26 mmol) and n-butyllithium (0.34 mL, 0.86 mmol) in THF (5 mL) at rt for 20 min gave, after purification via preparative TLC (hexane/EtOAc 1:3), 23c (6.7 mg, 8%) as a pale-yellow oil; 1H NMR (400 MHz): 7.64–7.51 (2H, m, ArH), 7.31 (1H, t, J = 8.0 Hz, ArH), 7.15–7.10 (2H, m, ArH), 7.00–6.85 (3H, m, ArH), 5.54 (1H, d, J = 10.4 Hz, CHP), 3.82 (3H, s, OMe), 2.53–2.47 (1H, m, NHCHH), 2.35–2.28 (1H, m, NHCHH), 2.15–2.10 (1H, br m, NH), 1.05–0.98 (4H, m, NHCH2CH2CH2) and 0.72 (3H, t, J = 6.8 Hz, NHCH2CH2CH2CH3); 31P NMR (162 MHz): +44.5; HRMS (ESI+): found 354.1221. C18H22NaNO3P (M + Na) requires 354.1235.
2.7.4. 3-Butylamino-2-(2-fluorophenyl)-2H-benzo[d][1,3]oxaphosphole 3-Oxide 23g
Using the method of Section 2.2.5 with ethyl N-butyl-P-(2-(2-fluorobenzyloxy)phenyl)phosphonamidate 21g (100 mg, 0.27 mmol) and n-butyllithium (0.36 mL, 0.89 mmol) in THF (5 mL) at rt for 20 min gave, after purification via preparative TLC (hexane/EtOAc 1:3), 23c (6.9 mg, 8%) as a pale-yellow oil; 1H NMR (400 MHz): 7.65–7.52 (2H, m, ArH), 7.35–7.26 (2H, m, ArH), 7.18–7.09 (4H, m, ArH), 5.74 (1H, d, J = 11.6 Hz, CHP), 2.52–2.39 (2H, m, NHCH2), 2.28–2.20 (1H, br m, NH), 1.10–1.00 (4H, m, NHCH2CH2CH2) and 0.72 (3H, t, J = 6.8 Hz, NHCH2CH2CH2CH3); 19F NMR (376 MHz): –114.3; 31P NMR (162 MHz): +44.6; HRMS (ESI+): found 342.1019. C17H19FNaNO2P (M + Na) requires 342.1035.
2.7.5. 3-Butylamino-2-(4-fluorophenyl)-2H-benzo[d][1,3]oxaphosphole 3-Oxide 23h
Using the method of Section 2.2.5 with ethyl N-butyl-P-(2-(4-fluorobenzyloxy)phenyl)phosphonamidate 21h (100 mg, 0.27 mmol) and n-butyllithium (0.36 mL, 0.89 mmol) in THF (5 mL) at rt for 20 min gave, after purification via preparative TLC (hexane/EtOAc 1:3), 23c (7.0 mg, 8%) as a pale-yellow oil; 1H NMR (400 MHz): 7.66–7.54 (2H, m, ArH), 7.41–7.36 (2H, m, ArH), 7.16–7.08 (4H, m, ArH), 5.53 (1H, d, J = 9.6 Hz, CHP), 2.50–2.42 (1H, m, NHCHH), 2.31–2.22 (1H, m, NHCHH), 2.20–2.10 (1H, br m, NH), 1.08–0.98 (4H, m, NHCH2CH2CH2) and 0.72 (3H, t, J = 7.0 Hz, NHCH2CH2CH2CH3); 13C NMR (100 MHz): 135.6 (d, J = 1.8 Hz, CH), 129.1 (d, J = 5.5 Hz, CH), 126.7 (dd, J = 8.2, 4.0 Hz, 2CH), 122.6 (d, J = 10.1 Hz, CH), 115.8 (dd, J = 21.7, 2.2 Hz, 2CH), 114.3 (d, J = 6.5 Hz, CH), 79.3 (d, J = 87.9 Hz, CHP), 40.2 (NHCH2), 33.8 (d, J = 5.2 Hz, NHCH2CH2), 19.4 (NHCH2CH2CH2) and 13.5 (NHCH2CH2CH2CH3) [only non-quaternary signals observed due to small amount of material]; 19F NMR (376 MHz): –113.9; 31P NMR (162 MHz): +44.1; HRMS (ESI+): found 342.1018. C17H19FNaNO2P (M + Na) requires 342.1035.
2.7.6. 3-Butylamino-2-(1-naphthyl)-2H-benzo[d][1,3]oxaphosphole 3-Oxide 23k
Using the method of Section 2.2.5 with ethyl N-butyl-P-(2-(1-naphthylmethoxy)phenyl)phosphonamidate 21k (100 mg, 0.25 mmol) and n-butyllithium (0.33 mL, 0.83 mmol) in THF (2 mL) at rt for 20 min gave, after purification via preparative TLC (hexane/EtOAc 1:3), 23c (6.6 mg, 7%) as a pale-yellow oil; 31P NMR (162 MHz): +45.6; HRMS (ESI+): found 352.1456. C21H23NO2P (M + H) requires 352.1456.
2.7.7. 3-Butylamino-2-(2-naphthyl)-2H-benzo[d][1,3]oxaphosphole 3-Oxide 23l
Using the method of Section 2.2.5 with ethyl N-butyl-P-(2-(2-naphthylmethoxy)phenyl)phosphonamidate 21l (100 mg, 0.25 mmol) and n-butyllithium (0.33 mL, 0.83 mmol) in THF (2 mL) at rt for 20 min gave, after purification via preparative TLC (hexane/EtOAc 1:3), 23l (8.1 mg, 9%) as a pale-yellow oil; 1H NMR (400 MHz): 7.90–7.80 (4H, m, ArH), 7.68–7.46 (5H, m, ArH), 7.19–7.10 (2H, m, ArH), 5.73 (1H, d, J = 10.0 Hz, CHP), 2.46–2.37 (1H, m, NHCHH), 2.28–2.19 (1H, m, NHCHH), 2.18–2.08 (1H, br m, NH), 0.90–0.80 (4H, m, NHCH2CH2CH2) and 0.50 (3H, t, J = 7.0 Hz, NHCH2CH2CH2CH3); 13C NMR (176 MHz): 164.6 (d, J = 23.7 Hz, ArC-O), 135.6 (d, J = 1.2 Hz, CH), 133.3 (d, J = 2.0 Hz, C), 132.10 (C), 132.07 (C), 129.1 (d, J = 5.6 Hz, CH), 128.6 (d, J = 1.9 Hz, CH), 127.82 (CH), 127.80 (CH), 126.6 (CH), 126.2 (CH), 123.7 (d, J = 5.1 Hz, CH), 122.8 (d, J = 2.9 Hz, CH), 122.5 (d, J = 10.2 Hz, CH), 114.4 (d, J = 6.5 Hz, CH), 114.1 (d, J = 121.9 Hz, ArC-P), 80.0 (d, J = 86.7 Hz, CHP), 40.3 (NHCH2), 33.7 (d, J = 5.2 Hz, NHCH2CH2), 19.3 (NHCH2CH2CH2) and 13.3 (NHCH2CH2CH2CH3); 31P NMR (162 MHz): +44.5; HRMS (ESI+): found 374.1271. C21H22NaNO2P (M + Na) requires 374.1286.
2.8. X-ray Structure Determination of 23d
The X-ray diffraction data for compound 23d were collected at 173 K using a Rigaku MM-007HF High Brilliance RA generator/confocal optics with an XtaLAB P200 diffractometer [Cu Kα radiation (λ = 1.54187 Å), Tokyo, Japan]. The data were collected and processed (including correction for Lorentz, polarisation, and absorption) using CrysAlisPro [19]. The structures were solved by dual-space methods (SHELXT) [20] and refined by full-matrix least squares against F2 (SHELXL-2019/3) [21]. Non-hydrogen atoms were refined anisotropically, and hydrogen atoms were refined using a riding model, except for the hydrogen atoms on N3 and N23 which were located using the difference Fourier map and refined isotropically, subject to a distance restraint. All the calculations were performed using the Olex2 interface [22].
Crystal data for C18H22NO3P: M = 331.33 g mol−1, colourless prism, crystal dimensions 0.06 × 0.06 × 0.04 mm, monoclinic, space group P21/c (No. 14), a = 11.01041(14), b = 16.9371(2), c = 18.6444(2) Å, β = 100.5651(12)°, V = 3417.95(7) Å3, Z = 8, Dcalc = 1.288 g cm−3, T = 173 K, R1 = 0.0409 wR2 = 0.1143 for 6052 reflections with I > 2σ(I) and 494 variables, Rint 0.0451, and goodness of fit on F2 1.076. The data were deposited at the Cambridge Crystallographic Data Centre as CCDC 2299148. The data can be obtained free of charge from the Cambridge Crystallographic Data Centre via http://www.ccdc.cam.ac.uk/getstructures (accessed on 16 October 2023).
3. Results and Discussion
Starting from 2-bromophenol, the known benzyl ether 13 was prepared in excellent yield (Scheme 3). To prepare 14 the phosphonate functionality was installed by the nickel-catalysed Michaelis–Arbuzov-type reaction, with triethyl phosphite introduced by Tavs [15]. We found that to obtain a good yield of product 14, it was essential to use anhydrous nickel(II) chloride. The diethyl phosphonate 14 was treated with phosphorus pentachloride in toluene to afford 15, which reacted directly with two equivalents of butylamine, giving phosphonamidate 16. As previously observed in the para and meta series [9], the reaction sequence was accompanied by distinctive changes in the 31P NMR shift: from +17.1 ppm for 14 to +26.5 ppm for 15 to +21.3 ppm for 16. Compound 16 showed an interesting and highly informative pattern of phosphorus couplings in the 13C NMR spectrum (Figure 1), with coupling observed to all carbons of the phosphorus-bearing benzene ring and both carbons of the O-ethyl group, but only to C-2 of the N-butyl group.
Scheme 3.
Stepwise synthesis and cyclisation of compound 16.
Figure 1.
Magnitude of JP–C (Hz) for carbon atoms in compounds 16 and 17.
When a solution of compound 16 in dry THF was treated with 3.3 equiv. of n-butyllithium at RT, there was a rapid reaction to afford, after aqueous work-up and chromatographic purification, a new product identified as the 1,3-benzoxaphosphole 17. The 31P NMR shift had moved dramatically from +21.3 to +44.6 ppm and both the 1H and the 13C NMR spectra showed the absence of the OEt group. Most significantly, the signals for the benzylic CH2 group of 16 had been replaced in the proton NMR spectrum by a 1H doublet at 5.57 ppm (2JH–P 9.9 Hz), which collapsed to a singlet upon 31P decoupling, and a corresponding carbon signal at 79.7 ppm (1JC–P 87.4 Hz), which was consistent with P–CH(Ph)–O. The pattern of phosphorus coupling throughout the structure (Figure 1) showed interesting differences from that of 16, with a drop in the value at ArC–P from J = 167.0 to 122.8 Hz and a corresponding increase in the value at the oxygen-bearing benzene ring position from 2.8 to 24.0 Hz. It was also clear from the spectra that the product had been formed as a single diastereomer with complete control of the relative configuration of the two adjacent newly formed stereocentres. It was not possible to determine which isomer had been formed at this stage since the material was obtained as an oil. This aspect is addressed below for a crystalline analogue.
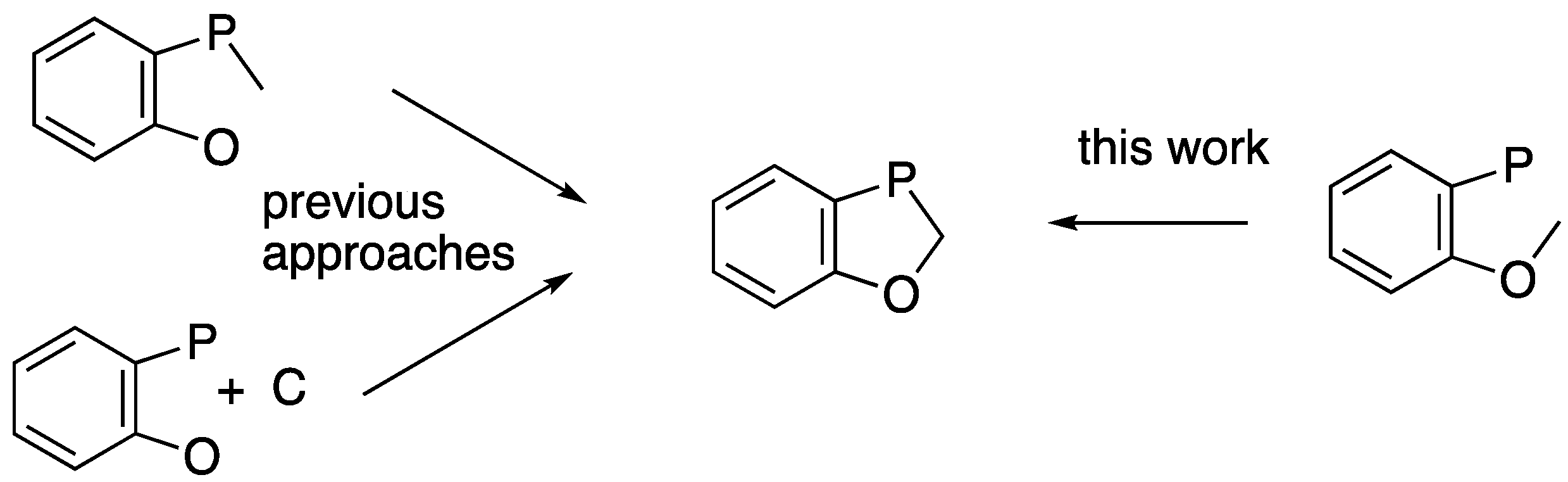
As far as we are aware, this method, in which there is cyclisation with formation of the C(2)–P bond, represents a new synthetic approach to the dihydrobenzo[d][1,3]oxaphosphole ring system. As noted in a recent review [23], previous approaches involved either cyclisation with the formation of the C(2)–O bond [10,11,12,13] or the introduction of a C-1 unit to an ortho-hydroxyarylphosphine (Figure 2).
Figure 2.
Synthetic approaches to the dihydrobenzo[d][1,3]oxaphosphole ring system.
We now wished to explore the scope of the process for substituted benzyl groups and prepared a range of ethers 18 from 2-bromophenol (Scheme 4). Where the relevant benzylic bromide was available, this was used directly, but the benzylic chlorides were first activated towards substitution by Finkelstein conversion into the corresponding benzyl iodide (examples b, g and h). It should be noted that the isomeric fluorobenzyl iodides are severely lachrymatory and care is required in handling them. The resulting products 18, all previously unknown, gave the expected spectroscopic and analytical data.
Scheme 4.
Preparation of substituted benzyl 2-bromophenyl ethers 18.
When we attempted to introduce the diethyl phosphonate group in these substituted examples using the previously described nickel catalysed reaction with triethyl phosphite, it quickly became apparent that the reaction was unreliable. In some cases, it worked well and gave the products in reasonable yield, but in most cases, it failed. Three new phosphonates were obtained by this method (Scheme 5) and gave analytical and spectroscopic data that were consistent with 14.
Scheme 5.
Direct synthesis of substituted diethyl 2-benzyloxyphenylphosphonates.
As compound 19e was available in the greatest quantity, it was subjected to reaction with phosphorus pentachloride to give the phosphonochloridate 20, followed by treatment with n-butylamine to give the first substituted phosphonamidate 21e in satisfactory overall yield (Scheme 6).
Scheme 6.
Stepwise synthesis of phosphonamidate 21e.
However, it was clear that this approach to accessing a wider range of substituted phosphonamidates was unsatisfactory. Instead, we were able to remove the O-benzyl group from 16 in excellent yield using catalytic hydrogenation to give the hydroxyphenylphosphonamidate 22. This was then O-alkylated to give a range of derivatives, 21a–d and f–m, in varying yields (Scheme 7).
Scheme 7.
Synthesis of substituted phenylphosphonamidates by alkylation of 22.
All the phosphonamidates in this paper show 31P signals in the narrow range of δP +20.8–21.5, and the expected phosphorus coupling is observed in the 13C NMR spectra for all the signals of the phosphorus-bearing benzene ring and both carbons of OEt but, interestingly, only C–2 of NHBu. The magnitude of the values was consistent with that shown for 16 in Figure 1. In the substituted examples, the benzylic CH2 protons were magnetically non-equivalent only in the more sterically hindered examples, leading to the observation of an AB pattern in the 1H NMR spectra for 21a, d, g, k, l, and m.
When compounds 21a–m were subjected to treatment with butyllithium under the same conditions as for 16, a varying pattern of reactivity was observed. In each case, a complex mixture of products was obtained, but by using preparative TLC, the cyclised products 23 could be obtained in seven cases (Scheme 8). The final isolated yields were low in all cases, but the spectroscopic data were in good agreement with those already established for 17. The main competing reaction seemed to be O-debenzylation to regenerate compound 22, which was observed in all cases. The reaction was complete within 20 min, and leaving it for longer resulted in reduced yields of 23. The failure of the cyclisation for 21i and 21j was not surprising as the lithium–halogen exchange was expected to occur. Significantly, each benzophosphole product was obtained as a single diastereomer with consistent values of 2JH–P 9.6–12.4 Hz for the 2-CH signal observed at 5.53–5.82 ppm in the 1H NMR spectra and 1JC–P 86.7–87.9 Hz for the corresponding 2-C signal observed at 79.3–80.0 ppm in the 13C NMR spectra. The two N–CH2 protons were also magnetically non-equivalent in each case, leading to two separate multiplets in the 1H NMR spectrum in each case.
Scheme 8.
Base-induced cyclisation to give substituted benzophosphole products 23.
In the case of the ortho-methoxyphenyl compound 23d, crystals suitable for X-ray diffraction were obtained, and the resulting structure (Figure 3) showed two independent but closely similar molecules linked in an R22(8) [24] dimer by N–H···O=P hydrogen bonding. Not unexpectedly, there was significant disorder within the flexible N-butyl groups.
Figure 3.
The two independent molecules in the crystal structure of 23d showing the numbering system used, probability ellipsoids at the 50% level, and hydrogen bonding.
The structure clearly shows a cis arrangement of the 2-CH and P=O groups with the 2-aryl group cis to the NHBu, as depicted in Scheme 8. Based on the consistency of the NMR data, we assume all the cyclic products 17 and 23 obtained have this relative configuration. The hydrogen bonding parameters (Table 1) fall within normal ranges.
Table 1.
Hydrogen bonding parameters for 23d (Å, °).
A mechanistic explanation for the high stereoselectivity of the ring closure process is complicated by the fact that such substitutions at phosphorus are well known to involve a trigonal bipyramidal intermediate with the associated possibility of pseudo-rotation. Despite this complication, such substitutions usually proceed with net inversion of the configuration at P. With this in mind, we suggest that the ring closure of carbanion 24 in preference to the isomer 24’ is favoured on steric grounds, with the aryl group preferring to be cis to OEt rather than N(Li)Bu. Loss of ethoxide from the resulting intermediate 25 is then expected to afford the product with the observed relative configuration (Scheme 9).
Scheme 9.
Proposed mechanism to explain stereospecific ring closure.
In conclusion, when the phosphonamidate group EtO-P(=O)-NHBu, which is effective in promoting the Wittig rearrangement of meta- or para-disposed aryl benzyl ethers, is placed in the ortho-position, a quite different process is observed upon treatment with butyllithium, resulting in cyclisation with the loss of ethanol to give access to the novel 2-aryl-3-butylamino-2H-benzo[d][1,3]oxaphosphole 3-oxides in moderate to low yield. These are all formed as a single diastereomer, which was shown to have the cis arrangement of aryl and NH-butyl groups by an X-ray structure determination in one case.
Supplementary Materials
The following supporting information can be downloaded at: https://www.mdpi.com/article/10.3390/org5010002/s1, Figures S1–S103: 1H, 13C, 31P and 19F NMR spectra of all new compounds.
Author Contributions
K.A.M., R.A.I., F.G.J. and A.J.B.N. carried out the experimental work and analysed the data; D.B.C. and A.P.M. collected the X-ray diffraction data and solved the structure; R.A.A. designed the experiments and wrote the paper. All authors have read and agreed to the published version of the manuscript.
Funding
We thank EPSRC (UK) and CRITICAT Centre for Doctoral Training for a studentship to R.A.I. (Grant EP/L016419/1).
Data Availability Statement
The research data underpinning this publication can be accessed at https://doi.org/10.17630/d69e06d9-b2f1-4a61-9650-34068e4aa221.
Conflicts of Interest
The authors declare no conflicts of interest.
References
- Schorigin, P. Über die Carbinol-Umlagerung von Benzyläthern. Ber. Dtsch. Chem. Ges. 1924, 57, 1634–1637. [Google Scholar] [CrossRef]
- Wittig, G.; Löhmann, L. Über die kationotrope Isomerisation gewisser Benzyläther bei Einwirkung von Phenyl-lithium. Liebigs Ann. Chem. 1942, 550, 260–268. [Google Scholar] [CrossRef]
- Wang, F.; Wang, J.; Zhang, Y.; Yang, J. The [1,2]- and [1,4]-Wittig rearrangement. Tetrahedron 2020, 76, 130857. [Google Scholar] [CrossRef]
- Aitken, R.A.; Harper, A.D.; Slawin, A.M.Z. Base-induced cyclisation of ortho-substituted 2-phenyloxazolines to give 3-aminobenzofurans and related heterocycles. Synlett 2017, 28, 1738–1742. [Google Scholar] [CrossRef]
- Aitken, R.A.; Harper, A.D.; Slawin, A.M.Z. Rationalisation of patterns of competing reactivity by X-ray structure determination: Reaction of isomeric (benzyloxythienyl)oxazolines with a base. Molecules 2021, 26, 7690. [Google Scholar] [CrossRef]
- Aitken, R.A.; Harper, A.D.; Inwood, R.A.; Slawin, A.M.Z. Access to diarylmethanols by Wittig rearrangement of ortho-, meta- and para-benzyloxy-N-butylbenzamides. J. Org. Chem. 2022, 87, 4692–4701. [Google Scholar] [CrossRef]
- Aitken, R.A.; Harper, A.D.; Inwood, R.A. Further studies on the [1,2]-Wittig rearrangement of 2-(2-benzyloxy)aryloxazolines. Molecules 2022, 27, 3186. [Google Scholar] [CrossRef]
- Tomooka, K.; Yamamoto, K.; Nakai, T. Enantioselective [1,2]-Wittig rearrangement using an external chiral ligand. Angew. Chem. Int. Ed. 1999, 38, 3741–3743. [Google Scholar] [CrossRef]
- Aitken, R.A.; Inwood, R.A. Synthesis and Wittig rearrangement of 3- and 4-benzyloxyphenylphosphonamidates. Organics 2023, 4, 59–69. [Google Scholar] [CrossRef]
- Tang, W.; Qu, B.; Capacci, A.G.; Rodriguez, S.; Wei, X.; Haddad, N.; Narayanan, B.; Ma, S.; Grinberg, N.; Yee, N.K.; et al. Novel, tunable, and efficient chiral bisdihydrobenzoxaphosphole ligands for asymmetric hydrogenation. Org. Lett. 2010, 12, 176–179. [Google Scholar] [CrossRef]
- Li, G.; Wang, X.; Zhang, Y.; Tan, Z.; DeCroos, P.; Lorenz, J.C.; Wei, X.; Grinberg, N.; Yee, N.K.; Senanayake, C.H. Synthesis of P-chiral dihydrobenzoxaphosphole core for BI ligands in asymmetric transformations. J. Org. Chem. 2017, 82, 5456–5460. [Google Scholar] [CrossRef] [PubMed]
- Rast, S.; Mohar, B.; Stephan, M. Efficient asymmetric synthesis of 1-phenylphosphindane, derivatives, and 2- or 3-oxa analogues: Mission accomplished. Org. Lett. 2014, 16, 2688–2691. [Google Scholar] [CrossRef] [PubMed]
- Li, S.-G.; Han, Z.S.; Viereck, P.; Lee, H.; Kurouski, D.; Senanayake, C.H.; Tsantrizos, Y.S. Metal-free cycloetherification by in situ generated P-stereogenic α-diazanium intermediates: A convergent synthesis of enantiomerically pure dihydrobenzoxaphospholes. Org. Lett. 2017, 19, 894–897. [Google Scholar] [CrossRef] [PubMed]
- Nutaitis, C.F. The first total synthesis of the natural product angoluvarin. Tetrahedron Lett. 2010, 51, 5497–5499. [Google Scholar] [CrossRef]
- Tavs, P. Reaktion von Arylhalogeniden mit Triarylphosphiten und Benzolphosphönigsäuredialkylestern zu aromatischen Phosphonsäureestern und Phosphinsäureestern unter Nickelsalzkatalyse. Chem. Ber. 1970, 103, 2428–2436. [Google Scholar] [CrossRef]
- Duddeck, H.; Lecht, R. Synthesis and NMR spectroscopic investigation of phenylphosphoryl derivatives. Phosphorus Sulfur Relat. Elem. 1987, 29, 169–178. [Google Scholar] [CrossRef]
- Suarez, D.; Laval, G.; Tu, S.-M.; Jiang, D.; Robinson, C.L.; Scott, R.; Golding, B.T. Benzylic brominations with N-bromosuccinimide in (trifluoromethyl)benzene. Synthesis 2009, 1807–1810. [Google Scholar] [CrossRef]
- Firooznia, F.; Lin, T.-A.; So, S.-S.; Wang, B.; Yun, H.Y. Preparation of Naphthylacetic Acids as Agonists or Partial Agonists at the CRTH2 Receptor. PCT International Application. WO 2010055006 A1, 20 May 2010. [Google Scholar]
- CrysAlisPro, v1.171.42.94a. Rigaku Oxford Diffraction. Rigaku Corporation: Tokyo, Japan, 2023.
- Sheldrick, G.M. SHELXT—Integrated space-group and crystal structure determination. Acta Crystallogr. Sect. A Found. Adv. 2015, 71, 3–8. [Google Scholar] [CrossRef] [PubMed]
- Sheldrick, G.M. Crystal structure refinement with SHELXL. Acta Crystallogr. Sect. C Struct. Chem. 2015, 71, 3–8. [Google Scholar] [CrossRef] [PubMed]
- Dolomanov, O.V.; Bourhis, L.J.; Gildea, R.J.; Howard, J.A.K.; Puschmann, H. OLEX2: A complete structure solution, refinement and analysis program. J. Appl. Crystallogr. 2009, 42, 339–341. [Google Scholar] [CrossRef]
- Aitken, R.A.; Sonecha, D.K. Five-membered rings with two nonadjacent heteroatoms with at least one phosphorus, arsenic or antimony. In Comprehensive Heterocyclic Chemistry IV; Black, D.S., Cossy, J., Stevens, C.V., Eds.; Elsevier: Oxford, UK, 2022; Volume 4, pp. 1061–1078. [Google Scholar] [CrossRef]
- Etter, M.C.; MacDonald, J.C.; Bernstein, J. Graph-Set Analysis of Hydrogen-Bond Patterns in Organic Crystals. Acta Crystallogr. Sect. B 1990, 46, 256–262. [Google Scholar] [CrossRef] [PubMed]
Disclaimer/Publisher’s Note: The statements, opinions and data contained in all publications are solely those of the individual author(s) and contributor(s) and not of MDPI and/or the editor(s). MDPI and/or the editor(s) disclaim responsibility for any injury to people or property resulting from any ideas, methods, instructions or products referred to in the content. |
© 2024 by the authors. Licensee MDPI, Basel, Switzerland. This article is an open access article distributed under the terms and conditions of the Creative Commons Attribution (CC BY) license (https://creativecommons.org/licenses/by/4.0/).











