Abstract
Thieno[3,2-b]thiophene and isomeric thieno[2,3-b]thiophene represent fused, bicyclic and electron rich heterocycles. These small planar organic compounds belong to the remarkable family of annulated building blocks for various organic materials. The first part of this review focuses on the synthesis of the primary unsubstituted thienothiophene scaffolds. All synthetic pathways available in the literature, dating from the 19th century, are summarized. The second part is devoted to the applications of the thienothiophene-derived materials across (opto)electronics. Organic light emitting diodes, organic solar cells, organic field-effect transistors and nonlinear optics were identified as the most successful application areas of both thienothiophenes. The fundamental structure-property relationships were evaluated for each particular group of derivatives.
1. Introduction
Nitrogen, oxygen and sulfur represent the traditional triad of elements incorporated within the molecular structure of organic compounds, while only sulphur is capable to accommodate electrons in d atomic orbitals. Due to this electronic feature, sulfur possesses unique binding possibilities and can be integrated into a π-conjugated system. These are typically found in organic push–pull chromophores [1,2,3] and active substances of various (opto)electronic and photonic devices [4,5,6]. The simplest five-membered sulphur-based heteroaromatic compound, known since 19th century [7], is thiophene. It is found in many functional materials (e.g., poly-3-hexylthiophene or poly(3,4-ethylenedioxythiophene) (PEDOT) [8]). Thiophene derivatives are often used as semiconducting [9], light-harvesting [10] or electroluminescent [11] substances. Electronic communication and intramolecular charge transfer (ICT) across molecules built from thiophene units, mostly depend on their connectivity and structural arrangement. A large dihedral angle and non-planar arrangement are general obstacles hindering the efficient ICT. On the contrary, thienothiophenes (TT), formed by two annulated thiophene rings, represent fully the planar system, whose embedding into a molecular architecture can significantly improve/alter the fundamental properties of organic, π-conjugated materials. Principally, there are four TT isomers differing in mutual orientation of both cycles (Figure 1) [12]. Thieno[3,2-b]thiophene 1 and thieno[2,3-b]thiophene 2 are the most stable derivatives, as compared to thieno[3,4-b]thiophene 3 and the very unstable thieno[3,4-c]thiophene 4. Thus, this review focuses on the synthetic procedures leading to 1 and 2 and their utilization as (opto)electronic materials.
Figure 1.
Molecular structure of four possible TT isomers 1–4.
Thieno[3,2-b]thiophene 1 or its structural analogue thieno[2,3-b]thiophene 2, can serve as an auxiliary electron-donor unit [13] or π-linker mediating the ICT between the donor and acceptor [14]. The latter can be considered as a suitable alternative to commonly used π-linkers (e.g., 1,4-phenylene or 2,5-thienylene [15]) (Figure 2).
Figure 2.
π-Linker examples commonly used in push–pull molecules.
The main limitation of thienothiophenes is instability of the unsubstituted isomers 3 and 4 preventing their facile preparation. Moreover, a successful synthetic method towards TTs 1 and 2 depends mostly on the attained overall yield, the number of reaction steps and the availability of the used starting materials. The method should be also operationally easy and should proceed via stable intermediates. Methods 1–14, listed below and their comparison, summarized in Table 1, review the current synthetic state-of-the-art towards 1 and 2.
Based on the aforementioned structural features and consequent properties, TT derivatives found wide applications across material sciences. TTs were applied as an active emissive layer of organic light emitting diodes (OLEDs) [16]. The colour of the emitted light in the OLED fundamentally depends on the level of the highest/lowest (un)occupied molecular orbitals (HOMO/LUMO) of the used organic emitter. Hence, the colour can be easily adjusted by the structural variation of the organic chromophore, (e.g., by embedding TT moiety). The opposite physical principle to OLEDs is found in organic solar cells (OSCs) converting light energy into the electricity. For instance, thienothiophene derivatives were used in bulk heterojunction solar cells (BHJ) [17]. The dye sensitized solar cell (DSSC) represents another type of OSC, where TTs were also investigated [18]. Here, TT derivatives, bearing anchoring groups are used as a dye harvesting the light and transferring the electrons to a n-type semiconductor, typically TiO2. Currently the most exploited organic solar cells are the perovskite solar cell (PSC), containing lead, alkylammonium and halide ions. In this type of solar cell, TTs were used as hole transporting material (HTM) [19]. With the exception of transporting electron-holes, the HTM organic layer also forms an efficient barrier to the undesired recombination of electrons and holes. Another electronic device applied (e.g., in flexible displays or electronic tags) is the organic field-effect transistor (OFET). These devices can also be operated by TT-derived molecules, owing to their semiconducting properties [20]. TTs can be used as n-, p- or ambipolar organic semiconductors [20,21,22]. An individual chapter will be devoted to TT derivatives in the D-π-A arrangement (D/A = electron donor/acceptor, π = conjugated system), especially for nonlinear optics (NLO) [23], where the push–pull molecule with the ICT constitutes a dipole. Due to the nonlinear dependence of the polarization and electric field strength, a number of second- and third-order NLO phenomena can be observed using laser beams. Second/third harmonic generations (SHG/THG) or the two photon absorption are typical NLO processes utilized across organic electronics. First of all, we will focus on the preparation of both scaffolds.
2. Synthesis
2.1. Synthesis of Thieno[3,2-b]hiophene 1
The current literature reports six principal synthetic routes towards thieno[3,2-b]thiophene 1, which were sorted into Methods 1–6, as discussed in the following text.
2.1.1. Method 1
The first synthetic approach outlined in Scheme 1, consists of a four-step reaction sequence entitled Method 1 [24,25,26,27,28]. 3-bromothiophene 5 was selectively lithiated at position 2 using LDA and the formed lithium species was trapped by the reaction with N-formylpiperidine [24,25,28] or N,N-dimethylformamide (DMF) [26], affording aldehyde 6. It further underwent a cyclization with ethyl thioglycolate, in the presence of potassium carbonate as a base. Both C=C and C-S bonds in 7 were established within this step. Using lithium or sodium hydroxide, ester 7 was hydrolysed to carboxylic acid 8, which underwent a final decarboxylation, accomplished either by Cu/quinoline [25] or Cu2O/N-methyl-2-pyrrolidone (NMP) [28]. The overall yield of this reaction sequence is about 50%.
Scheme 1.
Four-step Method 1.
2.1.2. Method 2
This method also starts from 3-bromothiophene 5 and involves three main reaction steps (Scheme 2) [29,30,31]. The lithiation of 5 and subsequent reaction with elementary sulphur afforded in-situ thiolate intermediate, which further substituted halogen atom in either potassium chloroacetate [29,30] or potassium bromoacetate [31] to give carboxylic acid 9. The subsequent cyclization can be performed in two ways. The first one involves acid-catalysed (H2SO4) cyclization [29,30], while Leriche et al. [31] prepared the corresponding acyl chloride first, which underwent the subsequent intramolecular Friedel–Crafts acylation. The formed ketone 10 was reduced to the intermediate alcohol 11, either by NaBH4 [29,31] or LiAlH4 [30]. Alcohol 11 forms 1 by the subsequent acid work up. This reaction sequence affords 1 in the 36% overall yield.
Scheme 2.
Synthesis of 1 according to Method 2.
2.1.3. Method 3
TT 1 can be also prepared by a two-step synthesis via acetal 13, as a key precursor (Scheme 3). It can be prepared either from 3-bromothiophene 5 or thiophene-3-thiol 14 [32,33]. The lithiation of 5 provided intermediate 3-lithiumthiophene, which reacted with disulfide 12 [33]. Alternatively, thiolate generated by deprotonation of the starting thiophene-3-thiol 14, substitutes bromine in 2,2-diethoxyethylbromide [32]. The final cyclization of 13 to 1 was assisted either by poly(4-styrene)sulphonic acid (PSSA) or phosphorous oxide [32,33]. The overall yields were 12% [32] and 67% [33], respectively.
Scheme 3.
Preparation of 1 via acetal 13—Method 3.
2.1.4. Method 4
A comprehensive eight-step synthetic sequence towards TT 1 has been reported by Schroth et al. [34] (Scheme 4). The starting 3-bromothiophene 5 was converted to sulphide 15 via lithiation and the reaction with dibenzyldisulphide. The further synthetic steps involved the preparation of alkyne 18, either via the Vilsmeier–Haack formylation (15–16), the Corey–Fuchs dibromoolefination (16–17) and treatment with n-BuLi or the bromination with N-bromosuccinimide (NBS), affording 19 with the subsequent Sonogashira cross-coupling (19–20) and the final deprotection of the formed acetylene with sodium hydroxide. The next joint step is an addition of benzylthiol and the replacement of two benzyl groups in 21, by the acetyl groups by lithium 1-(N,N-dimethylamino)naphtalenide (LDMAN) and acetyl chloride. Thioester 22 underwent an alkaline hydrolysis and oxidation affording bisulphide intermediate 23, which rearranged to 1 under the irradiation with daylight. The overall yield of Method 4 is 2% for pathway, using the Vilsmeier–Haack formylation. Considering the pathway containing the Sonogashira reaction, the overall yield toward the final intermediate 23, is 6%. The yield of the last photochemical reaction step is given in the literature.
Scheme 4.
Synthesis of thieno[3,2-b]thiophene 1 via Method 4.
2.1.5. Method 5
3-Bromothiophene-2-carbaldehyde 6 was used in a three-step synthetic pathway (Scheme 5) [35]. The bromine atom in 6 was substituted with the aid of sodium tert-butylthiolate to aldehyde 24, which underwent the Seyferth–Gilbert homologization, using dimethyl-1-diazo-2-oxo-phenylethylphosphonate. In the final step, the terminal alkyne 25 was cyclized to target 1 under the catalysis of gold(I) chloride with an overall yield of 48%.
Scheme 5.
Method 5, starting from 3-bromothiophene-2-carbaldehyde.
2.1.6. Method 6
The last of the six synthetic pathways towards TT 1 utilizes a selective Sonogashira cross-coupling of 3-bromo-2-iodothiophene 26 and trimethylsilyl(TMS)acetylene (Scheme 6) [36]. The TMS-terminated alkyne 27 further underwent reduction with di(iso-butyl)aluminium hydride (DIBAL) and bromination with NBS. The resulting dibromo derivative 28 was lithiated to 29, which subsequently reacted with bis(phenylsulphonyl)sulphide. The final TMS-group removal by tetrabutylammonium fluoride (TBAF) afforded 1. The yields of the particular reaction steps are not given in the literature.
Scheme 6.
Selective Sonogashira cross-coupling in the synthesis of 1 (Method 6).
2.2. Synthesis of Thieno[2,3-b]thiophene 2
Methods 7–14 represent the currently available synthetic pathways to thieno[2,3-b]thiophene 2.
2.2.1. Method 7
1-Methoxy-1-en-3-yne 31 was utilized in Method 7 (Scheme 7) [37,38,39,40]. Its TMS-protection, lithiation (33) and methylation with iodomethane afforded diyne 34. These transformations can be also performed as a one-pot reaction [39]. The final step(s) involved three in-situ potassium intermediates 35–37. The first allene 35 is generated by treating 34 with the superbase LiC-KOR. Further reaction with carbon disulfide afforded 36, which provided diyne-bis(thiolate) 37, by adding LiC-KOR again. The cyclization of diyne-bis(thiolate) 37 in the presence of hexamethylphosphoric acid triamide (HMPA) yielded the target TT 2 in a 40% overall yield.
Scheme 7.
Preparation of 2 via the cyclization of diyne-bis(thiolate)—Method 7.
2.2.2. Method 8
Similarly to the key intermediate of Method 7—diyne-bis(thiolate) 37, Method 8 utilizes dicyano-bis(thiolate) 38 (Scheme 8) [41], which was prepared from malononitrile and carbon disulphide. Its reaction with two ethyl-bromoacetates provided the tetrasubstituted TT derivative 39. The amino groups at positions 3 and 4 were removed by diazotization (40) and the reaction with hypophosphorous acid towards molecule 41. The esters were hydrolysed and the corresponding dicarboxylic acid 42 underwent the final decarboxylation to the unsubstituted thieno[2,3-b]thiophene 2 in a 30% overall yield.
Scheme 8.
Preparation of 2 via the cyclization of dicyano-bis(thiolate)—Method 8.
2.2.3. Method 9
Gas phase one-step synthesis starting from allyl(thiophen-2-yl)sulphide 43 is shown in Scheme 9 [42]. The sulphide 43 was thermally cleaved, providing the radical 44, which subsequently reacted with acetylene. In the last step, the formed (thiophen-2-yl)vinylsulphide radical 45 cyclized to thieno[2,3-b]thiophene 2, as a major product (25% yield) at 460 °C.
Scheme 9.
Gas phase reaction of allyl(thiophen-2-yl)sulphide to TT 2—Method 9.
2.2.4. Method 10
One of the oldest synthetic attempts towards TT 2, is depicted in Scheme 10 [43,44,45,46]. Among other side products, a gas phase condensation of acetylene with various mixtures of sulphane, hydrogen or elementary sulphur at 600 °C afforded 2 with an unspecified yield. Hence, the synthetic utilization of this procedure is rather low.
Scheme 10.
Gas phase cyclization of acetylene to thieno[2,3-b]thiophene 2—Method 10.
2.2.5. Method 11
Another older procedure reported the preparation of thieno[2,3-b]thiophene 2 from aconitic acid 46a [47] or the structurally related citric acid 46b (Method 11, Scheme 11) [48,49,50]. Both acids can be cyclized to 2 in the presence of elementary sulphur and phosphorous sulphides, such as P2S3 or P4S3. However, the yields of this procedure were not given.
Scheme 11.
Cyclization of aconitic and citric acids to 2—Method 11.
2.2.6. Method 12
Method 12 towards 2, is a similar reaction pathway to Method 6 (see Scheme 6 and Scheme 12) used for the construction of 1 [36]. Both methods differ in the halide substitution of the starting thiophene 47 vs. 26. Starting from 2-bromo-3-iodothiophene 47 and involving the Sonogashira reaction, reduction, bromination, lithiation, cyclization and the TMS-group removal, TT derivative 2 can be prepared in an 18% overall yield (Scheme 12).
Scheme 12.
Sonogashira reaction in preparation of 2—Method 12.
2.2.7. Method 13
This method, utilizing acetal 53, is analogous to Method 3 working with acetal 13 (see Scheme 3 and Scheme 13) [32,51]. The starting 2-sulphanylthiophene 52 replaced the bromine atom in 1,1-dimethoxyethylbromide as S-nucleophile in the presence of potassium carbonate [51] or sodium ethanolate [32]. The formed acetal 53 was cyclized to 2, using phosphorous oxide [32] or polyphosphoric acid (PPA) [51]. The overall yield of this reaction sequence is 7%.
Scheme 13.
Cyclization of acetal 53—Method 13.
2.2.8. Method 14
Thiophene-3-carbaldehyde 54 has been utilized as a suitable starting material within our synthetic approach to 2 (Scheme 14) [28]. The aldehyde was firstly converted to acetal 55, which was lithiated, reacted with elementary sulphur and the produced S-nucleophile reacted with methyl-bromoacetate to intermediate 56. The deprotection of formyl group (57) allowed the cyclization to the thienothiophene scaffold in the presence of 1,8-diazabicyclo[5.4.0]undec-7-ene (DBU). The resulting ester 58 was hydrolysed to carboxylic acid 59, which underwent decarboxylation to target thieno[2,3-b]thiophene 2. This procedure provides 2 in 13% overall yield.
Scheme 14.
Method 14, starting from thiophene-3-carbaldehyde.
All six listed synthetic methods towards TT 1, start from the 3-monosubstituted or 2,3-disubstituted thiophene heterocycle, while the second ring is created during the synthesis. The sulphur atom is mostly incorporated through the reactions based on the nucleophilic aromatic substitution mechanism, with the exception of Method 6, where sulphur is inserted within the cyclization step. The prepared intermediates are cyclized via addition-elimination (Method 1–3) or by the triple bond reduction (Method 4 and 5). The achieved overall yields and the number of reaction steps are summarized in Table 1. Considering the number of involved steps and the overall yield, Method 3 (2/67%) seems to be the best synthetic route. However, the used reagents are rather unavailable and expensive, which makes Method 3 economically less feasible, similarly to Method 5 (3/48%). The four-step Method 1, with the 50% overall yield, commercially available reagents and feasible chemical transformation, is probably the most rational synthetic approach towards TT 1.
Table 1.
The summary of the reviewed synthetic methods.
Methods 7–14 towards TT 2 are very different in the used starting compounds, often with a simple molecular structure (e.g., malononitrile (Method 8), carbon disulphide (Method 7 and 8) or acetylene (Method 10)). Some synthetic routes (Method 9 and 12–14) use substituted thiophenes analogously to TT 1. Except carbon disulphide, sulphur is incorporated from simple substances, such as sulphane, various sulphides or elementary sulphur. At the first sight, the highest overall yield (40%) was found for the four-step Method 7. However, the commercial availability of the starting compound 31 makes it less useful. One-step syntheses (Method 9–11) seem to be tempting, but the gas phase reactions (Method 9 and 10) at high temperatures (460 or 600 °C, respectively) and obtained complex mixtures are rather unfit for a gram-scale preparation of TT 2. Furthermore, there are no yields given for Methods 10 and 11. Methods 12 and 13 work with expensive reagents and provide a very low yield of 2. Our developed strategy (Method 14) operates with easy steps, uses only commercially available and inexpensive reagents, and TT 2 can be isolated in a 13% overall yield after six steps.
3. Applications of TTs in (Opto)Electronics
The following chapters will illustrate the application potential of the TT derivatives across the organic electronics. The particular examples were sorted according to the device/phenomena used: OLED, OSC, OFET and NLO.
3.1. Organic Light Emitting Diodes (OLEDs)
The emitting layer of OLEDs can be built-up on TT derivatives, Figure 3 shows two selected examples 60 and 61 with thieno[3,2-b]thiophene incorporated into a polymeric backbone [16]. Both derivatives differ in the pentyl substitution of the thienothiophene scaffold.
Figure 3.
TT units in emitting polymers for OLEDs.
Table 2 lists the HOMO/LUMO levels, their differences, positions of the absorption/emission maxima and the device current efficiency of the prepared devices. Despite the fact that the fundamental electronic parameters are similar, the pentyl substitution in 61, assuring a better solubility, shifted the emission maxima hypsochromically, and proved to be detrimental to the recorded current efficiency values.
Table 2.
The optoelectronic properties of polymers 60 and 61 bearing the TT scaffold.
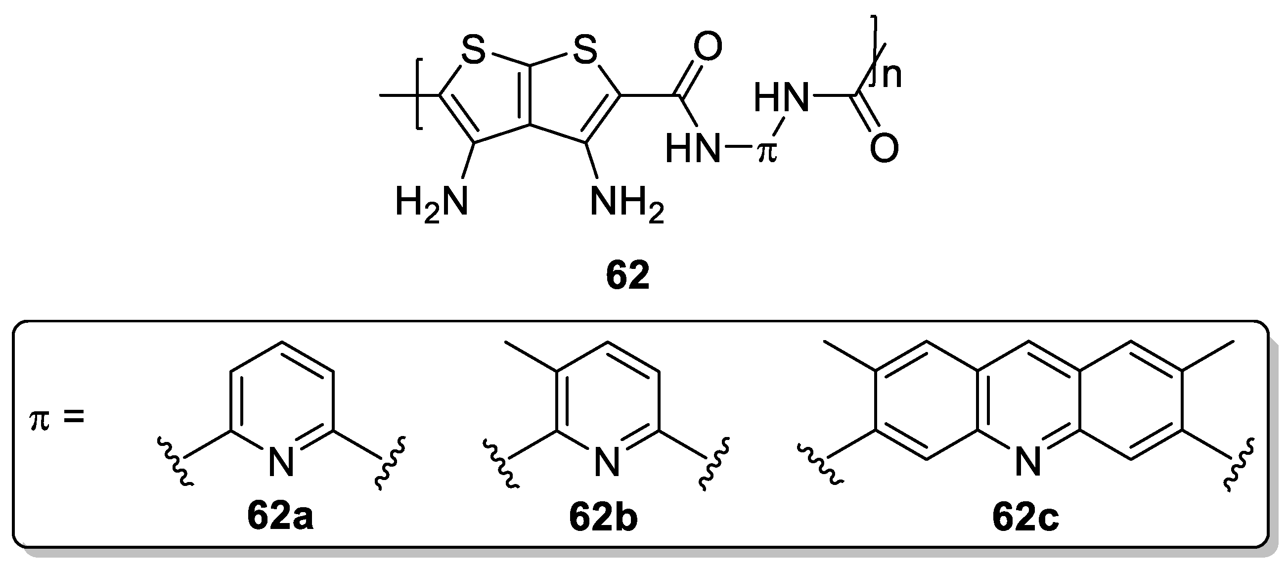
Thieno[2,3-b]thiophene 2 was used as a part of the polyamide polymers 62a–c that were utilized as a hole injection layer in an OLED (Figure 4) [52]. The measured emission maxima and brightness values for the fabricated OLED samples are listed in Table 3. As can be seen, the extension of the chain by the acridine moiety brings the slightly red-shifted emission and the lowered brightness, as compared to the parent pyridine.
Figure 4.
Examples of the basic structural units of polymers 62a–c, containing thieno[2,3-b]thiophene applied in OLEDs.
Table 3.
Emissive properties and brightness of the OLEDs containing polymers 62a–c.
A series of substituted thieno[3,2-b]thiophene derivatives 63–67 was developed as OLED emitters, by Isci et al. (Figure 5) [53]. A common feature of all derivatives is the 4-cyanophenyl substituent at position 3, while the additional fluorescent π-systems, such as triphenylamine (TPA) or the tetraphenylethylene (TPE) moieties were appended. When judging the fundamental parameters in Table 4, the derivative 63, bearing one triphenylamine moiety, showed the highest brightness and current efficiency.
Figure 5.
A library of structurally varied fluorophores, based on thieno[3,2-b]thiophene.
Table 4.
The optoelectronic properties of TTs 63–67 applied in OLEDs.
3.2. Organic Solar Cells (OSCs)
3.2.1. Bulk Heterojunction Solar Cells (BHJs)
Electron rich thieno[3,2-b]thiophene derivatives 68 [17] and 69 [54] (Figure 6) may be also utilized as electron-donor materials in BHJs. The monomeric 68 possesses an A-π-D-π-A arrangement with the TT 1 central core, equipped with additional thienyl linkers and terminal acceptors, at positions 2 and 5. TT 1 has also been used as an alternating structural motif of the polymeric 69. As can be seen from Table 5, the hole mobility and fill factors (FF) of both derivatives are almost identical but the BHJ constructed with 68 showed a higher power conversion efficiency (PCE 7.91 vs. 5.21%). Structurally similar to 69, TT 2 can be also combined with the diketopyrrolopyrrole units to gain the D/A alternating polymer 70 (Figure 7) [55]. The BHJ bearing 70, as an active layer, reached the PCE of 2.9% (Table 5).
Figure 6.
Examples of thieno[3,2-b]thiophene derivatives applied in BHJ solar cells.
Table 5.
The optoelectronic properties of derivatives 68–72 applied in BHJs.
Figure 7.
Polymeric thieno[2,3-b]thiophene combined with diketopyrrolopyrrole.
Thieno[3,2-b]thiophene TT 1 has been used as a π-linker in the push–pull chromophores interconnecting the tetracyanoquinodimethane (TCNQ) acceptor and the diphenylamino donor, as shown in Figure 8 [56]. The two chromophores 71 and 72 differ slightly in the appended peripheral thiophene. This structural feature has only a negligible effect on their performance in BHJs, as can be judged from the PCE and FF values (Table 5). The push–pull arrangement of 71 and 72 brings the pronounced absorption with the absorption maxima exceeding 800 nm.
Figure 8.
Thieno[3,2-b]thiophene as a π-linker in the push–pull chromophores.
3.2.2. Dye Sensitized Solar Cells (DSSCs)
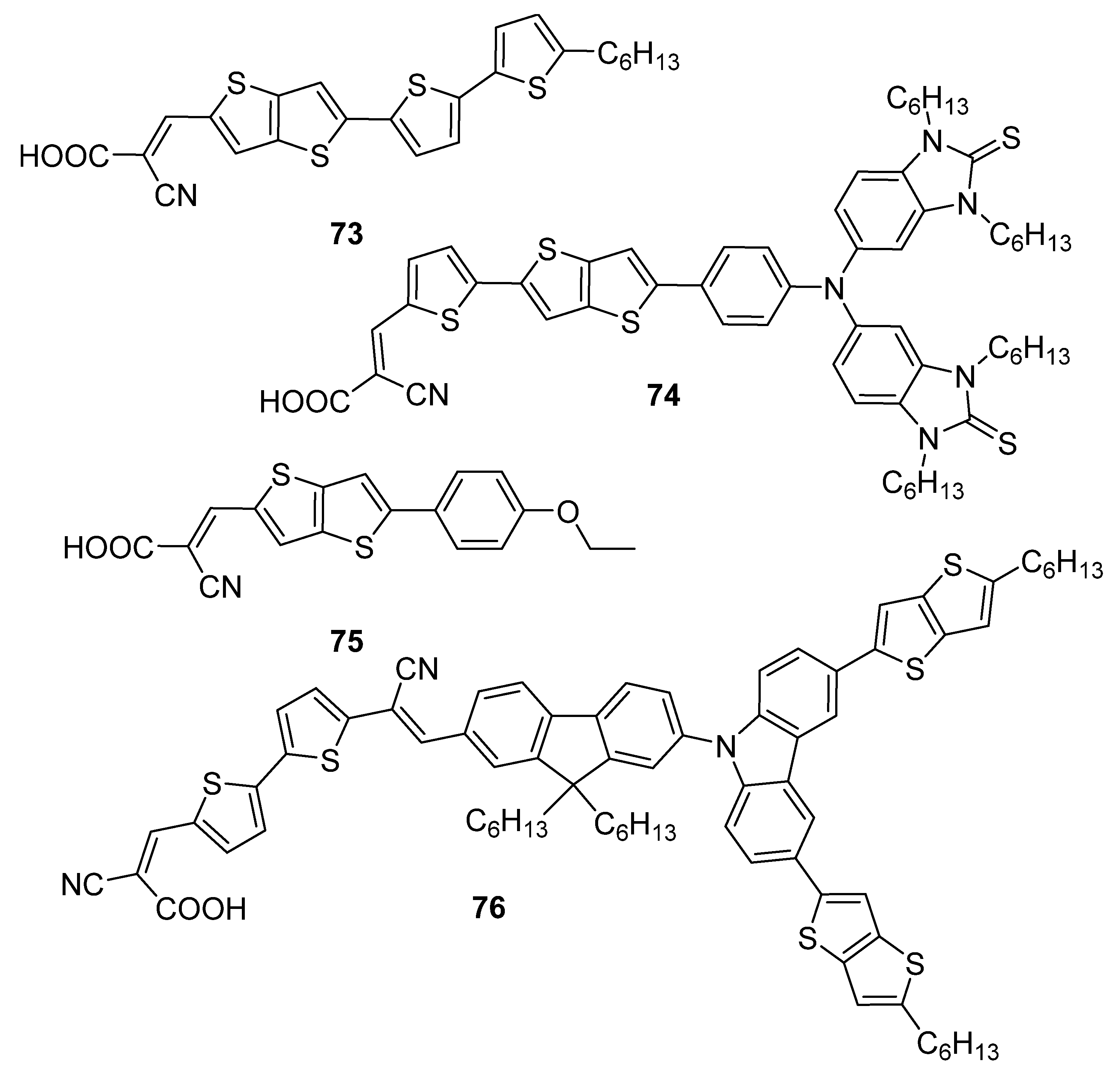
Four examples of organic sensitizers 73–76 containing thieno[3,2-b]thiophene scaffold, are shown in Figure 9, while their fundamental properties are summarized in Table 6. In contrast to the previous TT derivatives, all dyes 73–76 intended for DSSCs possess a linear D-π-A arrangement with a cyanoacrylic acid fragment acting as an electron acceptor and anchoring group. When comparing the structurally related small dyes 73 [18] and 75 [57], that differ in the peripheral donor (hexylbithiophene vs. ethoxyphenyl), their performance in DSSC is quite similar (PCE is 2.49 vs. 2.21, Table 6). The extension of the π-system and involving the amino or carbazole donors as in dyes 74 [58] and 76 [59], bring slightly higher PCE values of 7.37% and 6.50%, respectively. Whereas 74 utilized TT 1 as a central core between the acceptor and donor moieties, derivative 76 bears two thieno[3,2-b]thiophene units inserted as auxiliary donors supporting the carbazole moiety.
Figure 9.
Push–pull thieno[3,2-b]thiophene derivatives 73–76 for DSSCs.
Table 6.
Fundamental properties of dyes 73–76.
3.2.3. Perovskite Solar Cells (PSCs)
Figure 10 shows thieno[3,2-b]thiophene derivatives 77–80 utilized as a hole transporting material in PSCs. Their optoelectronic and photovoltaic properties are listed in Table 7. While 77 [60] represents a small molecule, derivatives 78 [19], 79 [19] and 80 [61] possess TT units embedded into a polymeric chain. As can be seen, the derivative 79 featuring the thienothiophene and diketopyrrolopyrrole structural units, significantly outperformed the other HTMs in the hole mobility value (1.11 cm2V−1s−1). However, the highest PCE (15.80%) was recorded for 80, with the most enlarged π-system bearing four embedded/fused TT units.
Figure 10.
Hole-transporting TT derivatives for the Perovskite solar cells.
Table 7.
The optoelectronic properties overview of derivatives 77–81, applied in PSCs as HTM.
TT 2 can be also utilized in materials for Perovskite solar cells. For instance, the symmetrical compound 81 (Figure 11), bearing the thieno[2,3-b]thiophene central scaffold with four peripheral 4-[bis(4-methoxyphenyl)amino]phenyl substituents, has been used as HTM [62]. The latter moiety is a typical structural feature of Spiro-OMeTAD—the most common HTM used in PSCs [63]. As compared to the aforementioned TT 1 derivatives 77–80 (Table 7), the PCE and FF values of 81 (18.78% and 76.2%) are significantly higher.
Figure 11.
HTM 81 with the central TT 2 unit.
3.3. Organic Field-Effect Transistors (OFETs)
The semiconducting properties of the TT derivatives can be utilized in OFETs. For instance, the thieno[3,2-b]thiophene derivatives 82 [64] and 83 [20] (Figure 12) are typical examples of n type organic semiconductors with almost identical absorption, electron mobility and a HOMO–LUMO gap but different HOMO/LUMO levels (Table 8). Polymeric 84 [21] and 86 [65] are representative p type semiconducting materials with red-shifted absorption and a quite different hole mobility (28 vs. 3.5 × 10−1 cm2V−1s−1). In addition, the derivative 85 [22] possesses an ambipolar semiconductivity with a prevailing electron mobility. The centrosymmetric derivative 87 with the thieno[3,2-b]thiophene central unit, diphenylamino donors and trifluorophenyl acceptors has been reported as a semiconductor with a notable photostability and charge mobility [66].
Figure 12.
Thieno[3,2-b]thiophene-derived semiconductors 82–87.
Table 8.
Electronic and optical properties of semiconductors 82–87.
Thieno[2,3-b]thiophene derivatives 70 [55] and 88 [67], used in OFETs, are shown in Figure 13. In both cases, the bicyclic TT scaffold was utilized as a part of the π-conjugated polymeric backbone featuring the p type semiconductivity. Derivative 88 was deposited along the silane self-assembled monolayers, while a combination with octadecyltrichlorosilane brought the highest hole mobility (Table 9).
Figure 13.
Thieno[2,3-b]thiophene semiconducting derivatives 70 and 88.
Table 9.
The optoelectronic properties overview of derivatives 70 and 88 applied in OFETs.
3.4. Nonlinear Optics (NLO)
In principle, the heterocyclic system of TTs with a polarizable cloud of π-electrons can be used as a NLO medium. For instance, the switchable second-order NLO properties were reported for the thieno[3,2-b]thiophene derivative 89 (Figure 14) doped by graphene quantum dots [68]. A significant polarization of the electron cloud of 89 occurred when exposed to the electric field with the subsequent electron transfer to the graphene quantum dots. The push–,pull derivative 90 (Figure 14) bearing the TT moiety in a quinoid arrangement, was exploited for the xerogel structure study [69]. Micrographs of this derivative were studied by SHG microscopy.
Figure 14.
Push–pull TT derivatives 89–96 with NLO properties.
Push–pull derivatives 91–94 (Figure 14), bearing thieno[3,2-b]thiophene as a π-linker between the diphenylpyran donor and thiobarbituric acid and the tricyanofuran acceptors [70], were studied as second order NLOphores by the electric field induced second harmonic generation (EFISH). The achieved μβ and the zero-frequency μβ0 values are listed in Table 10. Extension and planarization of the π-system by an additional olefinic linker and the variation of the acceptor have been used to tune the optical nonlinearity with the highest second-order NLO response recorded for 94. The TT moiety was also utilized in the construction of small organic push–pull chromophores 95–96 [71]. Considering their truncated π-system, the achieved NLO response is appreciable (Table 10).
Table 10.
The (non)linear optic and electronic properties overview of derivatives 91–96.
Blenkle et al. [23] compared the effect of the chalcogen atom on absorption, dipole moment μ and the first hyperpolarizability β values of the thieno[3,2-b]thiophene derivatives 97a–b and 98a–d (Figure 15). The optical nonlinearity of these small push–pull molecules was experimentally recorded by EFISH (Table 11). Methylthio-derivatives 97a and 98b (X = S) were revealed to bring the highest second-order NLO response. Tricyanovinyl proved to be a significantly stronger electron acceptor, as compared to the original formyl group (98 vs. 97).
Figure 15.
Chalcogen effect in the thieno[3,2-b]thiophene push–pull derivatives 97 and 98.
Table 11.
The (non)linear optical properties of derivatives 97a–b and 98a–d.
Nonlinear properties of the thieno[2,3-b]thiophene derived compounds were investigated by Mashraqui et al. Two series of TT derivatives 99a–d and 100a–f (Figure 16), bearing the (hetero)aromatic azo or electron-withdrawing substituent at the position 2, were prepared [13]. The Hyper–Rayleigh scattering (HRS) was used to determine their first hyperpolarizabilities (Table 12). As can be seen, the variation of the peripheral substituent tunes’ both linear and nonlinear optical properties, are within the range of 368–442 nm and 4–17 × 10−30 esu. Whereas pyridinium chromophore 100f showed the most bathochromically shifted absorption maxima, TTazophenylencarboxylic acid 99c possesses the largest second-order NLO response. In addition, the same authors have also prepared the cyclophane derivative 101 [72] with an average nonlinearity.
Figure 16.
Thieno[2,3-b]thiophene derivatives 99a–d, 100a–f and 101 with NLO properties.
Table 12.
The (non)linear optic properties of derivatives 99a–d, 100a–f and 101.
4. Conclusions
Two most stable isomers from the family of bicyclic fused thiophene derivatives, namely thieno[3,2-b]thiophene 1 and thieno[2,3-b]thiophene 2, were reviewed. Due to their planar spatial arrangement and electron rich character caused by two sulphur heteroatoms, these small molecules represent very interesting building blocks for the construction of the π-conjugated organic materials. They can be incorporated either as a standalone or auxiliary electron-donor or as a π-linker through the 2-/5-(di)substitution. Anyway, TTs enable the efficient intramolecular charge-transfer, polarization and intermolecular interactions. A substitution of TT units with nonpolar alkyl chains significantly improves their solubility in organic solvents, while appending the anchoring moiety, typically cyanoacrylic acid, allows their sufficient contact with other layers, such as TiO2. TTs 1 and 2 can be found in the structure of small molecules, as well as in macromolecules.
The first part of the review focuses on the synthetic approaches towards TT 1 and 2, available in the current literature. Six synthetic pathways (Method 1–6) were identified for the preparation of thieno[3,2-b]thiophene 1, while thieno[2,3-b]thiophene 2 can be synthesized via eight methods (Method 7–14). The starting compounds utilized in these syntheses include the variously substituted thiophene, malononitrile, enyne or acetylene. It should be noted that some aforementioned synthetic approaches have disputable laboratory uses and are shown rather to complete the overall and historical view. Based on our own experience [19], TT 1 and 2 can be conveniently prepared using the Methods 1 and 14 and are also commercially available nowadays.
The second part is devoted to the perspective applications of TT derivatives across organic electronics. In general, the heteroatom-doped π-conjugated materials currently receive attention from both academic research and commercial interests. Devices, such as OLEDs, OFETs or several types of OSCs, were driven by TT derivatives. The most successful applications of TT derivatives in OLEDs include emitting and hole injection layers. Due to their light harvesting and electron-donating abilities, TT-derived compounds were exploited in BHJs and DSSCs, while their electron-hole transporting abilities were utilized in PSCs. Thienothiophene-based materials are also known for their semiconducting properties. Hence, various OFETs were constructed with TT derivatives having n or p type semiconducting properties. The TT’s electron donating and charge-transfer properties were utilized in nonlinear optics, SHG in particular. TT derivatives in the push–pull arrangement were mostly used in this area.
Based on the aforementioned findings, both thieno[3,2-b]thiophene 1 and thieno[2,3-b]thiophene 2 can serve as easy-to-prepare small organic building blocks allowing significant property tuning of many organic materials.
Funding
The work has been supported by the European Regional Development Fund-Project “Organic redox couple based batteries for energetics of traditional and renewable resources (ORGBAT)”, No. CZ.02.1.01/0.0/0.0/16_025/0007445, mediated by the Ministry of Education, Youth and Sports of the Czech Republic.
Conflicts of Interest
The authors declare no conflict of interest.
References
- Kulhánek, J.; Klikar, M.; Pytela, O.; Almonasy, N.; Tydlitát, J.; Bureš, F. Quadrupolar fluorophores with tetrafluorobenzene central electron acceptor. J. Fluor. Chem. 2021, 243, 109735. [Google Scholar] [CrossRef]
- Raposo, M.M.M.; Herbivo, C.; Hugues, V.; Clermont, G.; Castro, M.C.R.; Comel, A.; Blanchard-Desce, M. Synthesis, Fluorescence, and Two-Photon Absorption Properties of Push–Pull 5-Arylthieno [3,2-b]thiophene Derivatives. Eur. J. Org. Chem. 2016, 2016, 5263–5273. [Google Scholar] [CrossRef]
- Novotná, E.; Kityk, I.V.; Pytela, O.; Bureš, F.; Ludwig, M.; Klikar, M.; Ozga, K.; Jedryka, J. ThDione: A Powerful Electron-Withdrawing Moiety for Push–Pull Molecules. Chempluschem 2020, 85, 1549–1558. [Google Scholar] [CrossRef]
- Sun, Y.; Peng, Y.; Zhao, C.; Zhang, J.; Ghadari, R.; Hu, L.; Kong, F. The strategy for high-efficiency hole conductors by engineering short-range intramolecular interactions. Dyes Pigments 2022, 197, 109889. [Google Scholar] [CrossRef]
- Torricelli, F.; Alessandri, I.; Macchia, E.; Vassalini, I.; Maddaloni, M.; Torsi, L. Green Materials and Technologies for Sustainable Organic Transistors. Adv. Mater. Technol. 2022, 7, 2100445. [Google Scholar] [CrossRef]
- D’Orazio-Colman, A.; Son, D.H.; Binti Nasrun, R.F.; Kim, J.H. Novel conjugated polymers based on cyclopenta[c]thiophene-4,6(5H)-dione for efficient polymer solar cells. J. Power Sources 2022, 542, 231737. [Google Scholar] [CrossRef]
- Meyer, V. Zur Kenntniss der Thiophen- und Pyrrolgruppe. Ber. Dtsch. Chem. Ges. 1883, 16, 2968–2975. [Google Scholar] [CrossRef]
- Perepichka, I.F.; Perepichka, D.F. PEDOT—Properties and technical relevance. In Handbook of Thiophene-Based Materials: Applications in Organic Electronics and Photonics, 1st ed.; John Wiley & Sons, Inc.: Chichester, UK, 2009; pp. 549–576. ISBN 9780470745533. [Google Scholar]
- Perepichka, I.F.; Perepichka, D.F. Electroactive oligothiophenes and polythiophenes for organic field effect transistors. In Handbook of Thiophene-Based Materials: Applications in Organic Electronics and Photonics, 1st ed.; John Wiley & Sons, Inc.: Chichester, UK, 2009; pp. 595–646. ISBN 9780470745533. [Google Scholar]
- Perepichka, I.F.; Perepichka, D.F. Photovoltaics Based on Thiophene Polymers: A Short Overview. In Handbook of Thiophene-Based Materials: Applications in Organic Electronics and Photonics, 1st ed.; John Wiley & Sons, Inc.: Chichester, UK, 2009; pp. 673–693. ISBN 9780470745533. [Google Scholar]
- Perepichka, I.F.; Perepichka, D.F. Thiophene-based materials for electroluminescent applications. In Handbook of Thiophene-Based Materials: Applications in Organic Electronics and Photonics, 1st ed.; John Wiley & Sons, Inc.: Chichester, UK, 2009; pp. 695–756. ISBN 9780470745533. [Google Scholar]
- Perepichka, I.F.; Perepichka, D.F. Thienothiophenes. In Handbook of Thiophene-Based Materials: Applications in Organic Electronics and Photonics, 1st ed.; John Wiley & Sons, Inc.: Chichester, UK, 2009; pp. 219–233. ISBN 9780470745533. [Google Scholar]
- Mashraqui, S.H.; Ghadigaonkar, S.; Ashraf, M.; Sri Ranjini, A.; Ghosh, S.; Das, P.K. Optically transparent and thermally stable nonlinear optic chromophores featuring a thieno [2,3-b]thiophene donor. Tetrahedron 2007, 63, 10011–10017. [Google Scholar] [CrossRef]
- Zhang, A.; Xiao, H.; Cong, S.; Zhang, M.; Zhang, H.; Bo, S.; Wang, Q.; Zhen, Z.; Liu, X. A systematic study of the structure–property relationship of a series of nonlinear optical (NLO) julolidinyl-based chromophores with a thieno [3,2-b]thiophene moiety. J. Mater. Chem. C 2015, 3, 370–381. [Google Scholar] [CrossRef]
- Kulhánek, J.; Bureš, F.; Opršal, J.; Kuznik, W.; Mikysek, T.; Růžička, A. 1,4-Phenylene and 2,5-thienylene π-linkers in charge-transfer chromophores. Asian J. Org. Chem. 2013, 2, 422–431. [Google Scholar] [CrossRef]
- Tang, W.; Lin, T.; Ke, L.; Chen, Z.-K. Synthesis, Photophysics, Theoretical Modeling, and Electroluminescence of Novel 2,7-Carbazole-Based Conjugated Polymers with Sterically Hindered Structures. J. Polym. Sci. Part A Polym. Chem. 2008, 46, 7725–7738. [Google Scholar] [CrossRef]
- Zhang, Q.; Wang, Y.; Kan, B.; Wan, X.; Liu, F.; Ni, W.; Feng, H.; Russell, T.P.; Chen, Y. A solution-processed high performance organic solar cell using a small molecule with the thieno [3,2-b]thiophene central unit. Chem. Commun. 2015, 51, 15268–15271. [Google Scholar] [CrossRef] [PubMed]
- Fernandes, S.S.M.; Castro, M.C.R.; Mesquita, I.; Andrade, L.; Mendes, A.; Raposo, M.M.M. Synthesis and characterization of novel thieno [3,2-b]thiophene based metal-free organic dyes with different heteroaromatic donor moieties as sensitizers for dye-sensitized solar cells. Dyes Pigments 2017, 136, 46–53. [Google Scholar] [CrossRef]
- Peng, S.H.; Huang, T.W.; Gollavelli, G.; Hsu, C.S. Thiophene and diketopyrrolopyrrole based conjugated polymers as efficient alternatives to spiro-OMeTAD in perovskite solar cells as hole transporting layers. J. Mater. Chem. C 2017, 5, 5193–5198. [Google Scholar] [CrossRef]
- Shu, Y.; Mikosch, A.; Winzenberg, K.N.; Kemppinen, P.; Easton, C.D.; Bilic, A.; Forsyth, C.M.; Dunn, C.J.; Singh, T.B.; Collis, G.E. N -Alkyl functionalized barbituric and thiobarbituric acid bithiophene derivatives for vacuum deposited n-channel OFETs. J. Mater. Chem. C 2014, 2, 3895–3899. [Google Scholar] [CrossRef]
- Fei, Z.; Pattanasattayavong, P.; Han, Y.; Schroeder, B.C.; Yan, F.; Kline, R.J.; Anthopoulos, T.D.; Heeney, M. Influence of side-chain regiochemistry on the transistor performance of high-mobility, all-donor polymers. J. Am. Chem. Soc. 2014, 136, 15154–15157. [Google Scholar] [CrossRef]
- Mu, S.; Oniwa, K.; Jin, T.; Asao, N.; Yamashita, M.; Takaishi, S. A highly emissive distyrylthieno [3,2-b]thiophene based red luminescent organic single crystal: Aggregation induced emission, optical waveguide edge emission, and balanced ambipolar carrier transport. Org. Electron. 2016, 34, 23–27. [Google Scholar] [CrossRef]
- Blenkle, M.; Boldt, P.; Bräuchle, C.; Grahn, W.; Ledoux, I.; Nerenz, H.; Stadler, S.; Wichern, J.; Zyss, J. Chalcogens as electron donors for selected nonlinear optic phores. J. Chem. Soc. Perkin Trans. 1996, 2, 1377–1384. [Google Scholar] [CrossRef]
- Ahmed, M.O.; Pisula, W.; Mhaisalkar, S.G. Synthesis and characterization of new thieno [3,2-b]thiophene derivatives. Molecules 2012, 17, 12163–12171. [Google Scholar] [CrossRef]
- Fuller, L.S.; Iddon, B.; Smith, K.A. Thienothiophenes Part 2 reactions of thieno [3,2-b]thiophene and its polybromo derivatives. J. Chem. Soc. Perkin Trans. 1997, 1, 3465–3470. [Google Scholar] [CrossRef]
- Kawabata, K.; Takeguchi, M.; Goto, H. Optical activity of heteroaromatic conjugated polymer films prepared by asymmetric electrochemical polymerization in cholesteric liquid crystals: Structural function for chiral induction. Macromolecules 2013, 46, 2078–2091. [Google Scholar] [CrossRef]
- Xue, Y.; Xue, Z.; Zhang, W.; Zhang, W.; Chen, S.; Lin, K.; Xu, J. Enhanced electrochromic performances of Polythieno [3,2-b]thiophene with multicolor conversion via embedding EDOT segment. Polymer 2018, 159, 150–156. [Google Scholar] [CrossRef]
- Podlesný, J.; Pytela, O.; Klikar, M.; Jelínková, V.; Kityk, I.V.; Ozga, K.; Jedryka, J.; Rudysh, M.; Bureš, F. Small isomeric push-pull chromophores based on thienothiophenes with tunable optical (non)linearities. Org. Biomol. Chem. 2019, 17, 3623–3634. [Google Scholar] [CrossRef] [PubMed]
- Archer, W.J.; Taylor, R. Electrophilic Aromatic Substitution. Part 31. I Partial Rate Factors for Detritiation of Thieno [2,3-b]thiophen and Thieno [3,2-b]thiophen: Weak Hydrogen Bonding to Sulphur in Trifluoroacetic Acid. J. Chem. Soc. Perkin Trans. 1982, 2, 295–299. [Google Scholar] [CrossRef]
- Challenger, F.; Holmes, J.L. The Orientation of Substitution in the Isomeric Thiophthens. The Synthesis of Solid Thiophthen [Thiopheno(3′:2′-2:3)thiophen]. J. Chem. Soc. 1953, 1837–1842. [Google Scholar] [CrossRef]
- Leriche, P.; Raimundo, J.-M.; Turbiez, M.; Monroche, V.; Allain, M.; Sauvage, F.-X.; Roncali, J.; Frère, P.; Skabara, P.J. Linearly extended tetrathiafulvalene analogues with fused thiophene units as π-conjugated spacers. J. Mater. Chem. 2003, 13, 1324–1332. [Google Scholar] [CrossRef]
- Ghaisas, V.V.; Tilak, B.D. Thiophenes and Thiapyrans. Proc.-Indian Acad. Sci. Sect. A 1954, 39, 14–19. [Google Scholar] [CrossRef]
- Henssler, J.T.; Matzger, A.J. Facile and Scalable Synthesis of the Fused-Ring Heterocycles Thieno [3,2-b]thiophene and Thieno [3,2-b]furan. Org. Lett. 2009, 11, 3144–3147. [Google Scholar] [CrossRef]
- Schroth, W.; Hintzsche, E.; Jordan, H.; Jende, T.; Spitzner, R.; Thondorf, I. 1,2-Dithiins and precursors, XVII: Synthesis and properties of thieno anellated 1,2-dithiins, structural influence on colour. Tetrahedron 1997, 53, 7509–7528. [Google Scholar] [CrossRef]
- Yamamoto, T.; Katsuta, H.; Toyota, K.; Iwamoto, T.; Morita, N. Preparation of 4,7-Dibromobenzo[b]thiophene as a Versatile Building Block and Synthetic Application to a Bis(ethynylthienyl)oligoarene System. Bull. Chem. Soc. Jpn. 2012, 85, 613–623. [Google Scholar] [CrossRef]
- Yasuike, S.; Kurita, J.; Tsuchiya, T. Syntheses of Novel Group 15 and 16 Thieno [2,3-b]-, Thieno [3,4-b]-, and Thieno [3,2-b]-heteroles. Heterocycles 1997, 45, 1891–1894. [Google Scholar] [CrossRef]
- de Jong, R.L.P.; Brandsma, L. A one-pot procedure for thieno [2,3-b]thiophene and some of its derivatives using derivatives of 1,3-pentadiyne and carbon disulfide as building units. Synth. Commun. 1991, 21, 145–149. [Google Scholar] [CrossRef]
- de Jong, R.L.P.; Brandsma, L. Synthesis of condensed bicyclic thiophene derivatives from diyne systems. J. Chem. Soc. Chem. Commun. 1983, 1056–1057. [Google Scholar] [CrossRef]
- Otsubo, T.; Kono, Y.; Hozo, N.; Miyamoto, H.; Aso, Y.; Ogura, F.; Tanaka, T.; Sawada, M. Syntheses, Structures, and Properties of 2,3,6,7-Tetrathiabenzo [1,3-cd:4,6-c′d′]dipentalene and Its Methyl, Ethyl, Methylthio, and Ethylthio Derivatives: Novel Fused Polynuclear Heteroarenes. Bull. Chem. Soc. Jpn. 1993, 66, 2033–2041. [Google Scholar] [CrossRef]
- Zweifel, G.; Rajagopalan, S. (Z)-1-Methoxybut-1-en-3-yne. A versatile synthon for 1,4-bis(trimethylsilyl)-1,3-butadiyne as well as for nucleophilic aldehyde and butadiyne equivalents. J. Am. Chem. Soc. 1985, 107, 700–701. [Google Scholar] [CrossRef]
- Comel, A.; Kirsch, G. Efficient One Pot Preparation of Variously Substituted Thieno [2,3-b]thiophene. J. Heterocycl. Chem. 2001, 38, 1167–1171. [Google Scholar] [CrossRef]
- Korchevin, N.A.; Sukhomazova, É.N.; Russavskaya, N.V.; Turchaninova, L.P.; Sigalov, M.V.; Klyba, L.V.; Deryagina, É.N.; Voronkov, M.G. Thermal transformations of allyl 2-thienyl sulfide and selenide. Chem. Heterocycl. Compd. 1991, 27, 1049–1052. [Google Scholar] [CrossRef]
- Capelle, G. Bull. Soc. Chim. Fr. 1908, 4, 151. Available online: https://www.reaxys.com/#/results/citations/0/RX014__571082895178774403/UlgwMTQ9QyNIMDI0PVMjSDAyMz1S/list/b4627b9e-e366-49be-8638-996a3c372a45/1/desc/CIT.PREPY/// (accessed on 25 October 2022).
- Meyer, R.; Wesche, H. Pyrogene Acetylen-Kondensationen. IV. Ber. Dtsch. Chem. Ges. 1917, 50, 422–441. [Google Scholar] [CrossRef]
- Meyer, R.; Meyer, W. Pyrogene Acetylen-Kondensationen. V. Ber. Dtsch. Chem. Ges. 1918, 51, 1571–1587. [Google Scholar] [CrossRef]
- Peel, J.B.; Robinson, P.L. CCLXIX.—The reaction between acetylene and sulphur at temperatures up to 650°. J. Chem. Soc. 1928, 2068–2070. [Google Scholar] [CrossRef]
- Hanna, D.C.; Smith, E.F. Observations on Derivatives of Aconitic Acid. J. Am. Chem. Soc. 1899, 21, 381–383. [Google Scholar] [CrossRef]
- Biedermann, A.; Jacobson, P. Ueber eine dem Naphtalin entsprechende Verbindung der Thiophenreihe. Ber. Dtsch. Chem. Ges. 1886, 19, 2444–2447. [Google Scholar] [CrossRef]
- Challenger, F.; Harrison, J.B. Sulphur compounds of technical interest. The isomeric thiophthens. J. Inst. Pet. Technol. 1935, 21, 135–147. [Google Scholar]
- Oster, H. Ueber einige neue Indophenine. Ber. Dtsch. Chem. Ges. 1904, 37, 3348–3352. [Google Scholar] [CrossRef]
- Heeny, M.; McCulloch, I.; Bailey, C. Mono-, Oligo- and Polythieno(2,3-b)thiophenes. Patent EP1510535A1, 30 July 2004. Available online: https://worldwide.espacenet.com/patent/search/family/034400456/publication/EP1510535A1?q=EP04018079A (accessed on 25 October 2022).
- Rodlovskaya, E.N.; Vasnev, V.A.; Naumkin, A.V.; Vashchenko, A.A.; Goriachiy, D.O. The development of hybrid materials that combine polyamides with thienothiophene units and inorganic objects. High Perform. Polym. 2017, 29, 704–707. [Google Scholar] [CrossRef]
- Isci, R.; Rahimi Varzeghani, A.; Kaya, K.; Sütay, B.; Tekin, E.; Ozturk, T. Triphenylamine/Tetraphenylethylene Substituted 4-Thieno [3,2-b]thiophen-3-ylbenzonitriles: Synthesis, Photophysical-Electronic Properties, and Applications. ACS Sustain. Chem. Eng. 2022, 10, 1605–1615. [Google Scholar] [CrossRef]
- Tamilavan, V.; Kim, S.; Sung, J.; Lee, D.Y.; Cho, S.; Jin, Y.; Jeong, J.; Park, S.H.; Hyun, M.H. Enhanced photovoltaic performances of bis(pyrrolo [3,4-c]pyrrole-1,3-dione)-based wide band gap polymer via the incorporation of an appropriate spacer unit between pyrrolo [3,4-c]pyrrole-1,3-dione units. Org. Electron. 2017, 42, 34–41. [Google Scholar] [CrossRef]
- Lee, H.S.; Lee, J.S.; Jung, A.R.; Cha, W.; Kim, H.; Son, H.J.; Cho, J.H.; Kim, B.S. Processing temperature control of a diketopyrrolopyrrole-alt-thieno [2,3-b]thiophene polymer for high-mobility thin-film transistors and polymer solar cells with high open-circuit voltages. Polymer 2016, 105, 79–87. [Google Scholar] [CrossRef]
- Abbasriyaludeen, A.R.; Chitra, K.; Ramasamy, S.; Murugan, P.; Chandrasekar, P. Molecular engineering of twisted dipolar chromophores for efficiency boosted BHJ solar cells. J. Mater. Chem. C 2021, 9, 4562–4575. [Google Scholar] [CrossRef]
- Fernandes, S.S.M.; Castro, M.C.R.; Ivanou, D.; Mendes, A.; Raposo, M.M.M. Push-Pull Heterocyclic Dyes Based on Pyrrole and Thiophene: Synthesis and Evaluation of Their Optical, Redox and Photovoltaic Properties. Coatings 2022, 12, 34. [Google Scholar] [CrossRef]
- Zhu, S.; An, Z.; Chen, X.; Chen, P.; Liu, Q. Cyclic thiourea functionalized dyes with binary π-linkers: Influence of different π-conjugation segments on the performance of dye-sensitized solar cells. Dyes Pigments 2015, 116, 146–154. [Google Scholar] [CrossRef]
- Massin, J.; Ducasse, L.; Abbas, M.; Hirsch, L.; Toupance, T.; Olivier, C. Molecular engineering of carbazole-fluorene sensitizers for high open-circuit voltage DSSCs: Synthesis and performance comparison with iodine and cobalt electrolytes. Dyes Pigments 2015, 118, 76–87. [Google Scholar] [CrossRef]
- Paek, S.; Zimmermann, I.; Gao, P.; Gratia, P.; Rakstys, K.; Grancini, G.; Nazeeruddin, M.K.; Malik, A.R.; Samia, A.K.; Khalid, A.A.; et al. Donor-π-donor type hole transporting materials: Marked π-bridge effects on optoelectronic properties, solid-state structure, and perovskite solar cell efficiency. Chem. Sci. 2016, 7, 6068–6075. [Google Scholar] [CrossRef] [PubMed]
- Cao, J.; Wang, L.; You, G.; Li, L.; Yao, L.; Zhou, Z.; Yang, E.; Cai, W.; Ling, Q.; Zhen, H. Dopant-free, hole-transporting polymers containing benzotriazole acceptor unit for perovskite solar cells. Dyes Pigments 2022, 200, 110170. [Google Scholar] [CrossRef]
- Yang, X.; Xi, J.; Sun, Y.; Zhang, Y.; Zhou, G.; Wong, W.Y. A dopant-free twisted organic small-molecule hole transport material for inverted planar perovskite solar cells with enhanced efficiency and operational stability. Nano Energy 2019, 64, 103946. [Google Scholar] [CrossRef]
- Noh, J.H.; Jeon, N.J.; Choi, Y.C.; Nazeeruddin, M.K.; Grätzel, M.; Seok, S. Il Nanostructured TiO2/CH3NH3PbI3 heterojunction solar cells employing spiro-OMeTAD/Co-complex as hole-transporting material. J. Mater. Chem. A 2013, 1, 11842–11847. [Google Scholar] [CrossRef]
- Durso, M.; Gentili, D.; Bettini, C.; Zanelli, A.; Cavallini, M.; De Angelis, F.; Grazia Lobello, M.; Biondo, V.; Muccini, M.; Capelli, R.; et al. π-Core tailoring for new high performance thieno(bis)imide based n-type molecular semiconductors. Chem. Commun. 2013, 49, 4298–4300. [Google Scholar] [CrossRef]
- Yue, J.; Sun, S.; Liang, J.; Zhong, W.; Lan, L.; Ying, L.; Huang, F.; Yang, W.; Cao, Y. Effects of pyridyl group orientations on the optoelectronic properties of regio-isomeric diketopyrrolopyrrole based π-conjugated polymers. J. Mater. Chem. C 2016, 4, 2470–2479. [Google Scholar] [CrossRef]
- Zhang, H.; Hu, Y.; Chen, X.; Yu, L.; Huang, Y.; Wang, Z.; Wang, S.; Lou, Y.; Ma, X.; Sun, Y.; et al. A Centrosymmetric Organic Semiconductor with Donor–Acceptor Interaction for Highly Photostable Organic Transistors. Adv. Funct. Mater. 2022, 32, 2111705. [Google Scholar] [CrossRef]
- Rawcliffe, R.; Shkunov, M.; Heeney, M.; Tierney, S.; McCulloch, I.; Campbell, A. Organic field-effect transistors of poly(2,5-bis(3-dodecylthiophen-2-yl)thieno [2,3-b]thiophene) deposited on five different silane self-assembled monolayers. Chem. Commun. 2008, 871–873. [Google Scholar] [CrossRef] [PubMed]
- Wang, X.; Li, Y.; Song, P.; Ma, F.; Yang, Y. Second-Order Nonlinear Optical Switch Manipulation of Photosensitive Layer by an External Electric Field Coupled with Graphene Quantum Dots. J. Phys. Chem. A 2019, 123, 7401–7407. [Google Scholar] [CrossRef] [PubMed]
- Marco, A.B.; Gindre, D.; Iliopoulos, K.; Franco, S.; Andreu, R.; Canevet, D.; Sallé, M. (Super)gelators derived from push-pull chromophores: Synthesis, gelling properties and second harmonic generation. Org. Biomol. Chem. 2018, 16, 2470–2478. [Google Scholar] [CrossRef] [PubMed]
- Marco, A.B.; Andreu, R.; Franco, S.; Garín, J.; Orduna, J.; Villacampa, B.; Alicante, R. Efficient second-order nonlinear optical chromophores based on dithienothiophene and thienothiophene bridges. Tetrahedron 2013, 69, 3919–3926. [Google Scholar] [CrossRef]
- Jen, A.K.-Y.; Rao, V.P.; Drost, K.J.; Cai, Y.; Mininni, R.M.; Kenney, J.T.; Binkley, E.S.; Dalton, L.R. The Development of Highly Active, Thermally Stable Chromophores and Polymers for Electrooptic Applications. Proc. SPIE-Int. Soc. Opt. Eng. 1994, 2285, 49–57. [Google Scholar] [CrossRef]
- Mashraqui, S.H.; Sangvikar, Y.S.; Meetsma, A. Synthesis and structures of thieno [2,3-b]thiophene incorporated [3.3]dithiacyclophanes. Enhanced first hyperpolarizability in an unsymmetrically polarized cyclophane. Tetrahedron Lett. 2006, 47, 5599–5602. [Google Scholar] [CrossRef]
Publisher’s Note: MDPI stays neutral with regard to jurisdictional claims in published maps and institutional affiliations. |
© 2022 by the authors. Licensee MDPI, Basel, Switzerland. This article is an open access article distributed under the terms and conditions of the Creative Commons Attribution (CC BY) license (https://creativecommons.org/licenses/by/4.0/).





























