Exploring the Potential of Wi-Fi in Industrial Environments: A Comparative Performance Analysis of IEEE 802.11 Standards
Abstract
1. Introduction
2. Related Work
2.1. IEEE 802.11n (Wi-Fi 4)
2.2. IEEE 802.11ac (Wi-Fi 5)
2.3. IEEE 802.11ax (Wi-Fi 6 / Wi-Fi 6E)
2.4. IEEE 802.11be (Wi-Fi 7)
3. Performance Evaluation
3.1. Network Architecture
- Netgear AXE7800 is a tri-band access point that supports Wi-Fi 6 and 6E (IEEE 802.11ax) and operates in the 2.4 GHz, 5 GHz, and 6 GHz bands. It ensures backward compatibility with older standards (Wi-Fi 4 and 5). Internally, it integrates the Broadcom BCM6715 + BCM6756 chipset combination.
- Asus RT-BE88U is an advanced access point that supports the Wi-Fi 7 standard (IEEE 802.11be) and operates in the 2.4 and 5 GHz bands. Although the 6 GHz band is not available in this model, it enables access to advanced features such as 4K QAM and enhanced multi-link operations. It is powered by the Broadcom BCM4916 network processor along with the BCM6726 Wi-Fi 7 radio chipset.
- The Raspberry Pi 4 Model B is responsible for running the iperf3 server to evaluate the performance of the Wi-Fi network. It is connected to the network via an Ethernet cable to the access point, as shown in Figure 2.
- The desktop computer with an Intel Core i7-10700 processor with a Gigabyte AORUS GC-WIFI7 network card, connected via a PCI-E port. This card supports Wi-Fi 4 to Wi-Fi 7 and operates in three bands (2.4, 5, and 6 GHz). Internally, it uses the Qualcomm QCNCM825 chipset, designed to provide full IEEE 802.11be functionality.
3.2. Wi-Fi Configuration Parameters and Methodology Evaluation
- The first iteration encompasses the study of Round-Trip Time (RTT). The “ping” command was used in three consecutive tests, sending one thousand ICMP packets in each test, with a time between consecutive packets of 5 ms. Results were measured in three environments tested at 15 m.
- The second iteration consists of the evaluation of operational thresholds. In this iteration, the performance for TCP and UDP traffic in the uplink direction was assessed. The iperf3 service was used for this purpose, running in client mode on the desktop computer and in server mode on the Raspberry Pi connected to the AP. Additionally, these operational thresholds were evaluated at three communication distances (CDs) in residential and laboratory environments, while in the industrial environment, because of limitations, the performance was evaluated at only two distances. A summary of this second test is shown in Table 3.
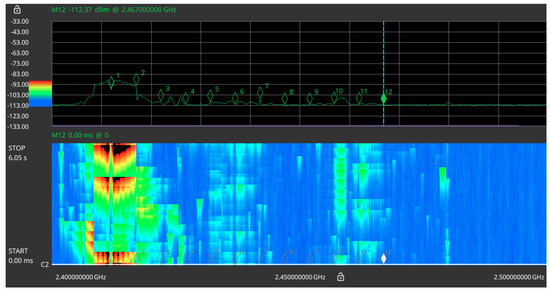
4. Test Environments
5. Results
5.1. Round-Trip Time (RTT)
5.1.1. Laboratory
5.1.2. Residential Area
5.1.3. Factory
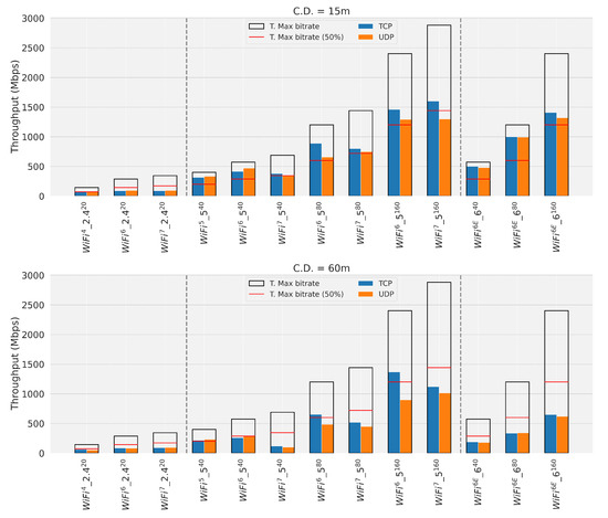
5.2. Peak Throughput
5.2.1. Laboratory
5.2.2. Residential Area
5.2.3. Factory
6. Discussion of Results
7. Conclusions
Author Contributions
Funding
Data Availability Statement
Conflicts of Interest
References
- Adel, A. Future of industry 5.0 in society: Human-centric solutions, challenges and prospective research areas. J. Cloud Comput. 2022, 11, 40. [Google Scholar] [CrossRef] [PubMed]
- Alves, J.; Lima, T.M.; Gaspar, P.D. Is Industry 5.0 a Human-Centred Approach? A Systematic Review. Processes 2023, 11, 193. [Google Scholar] [CrossRef]
- 802.11-2020; IEEE Standard for Information Technology—Telecommunications and Information Exchange between Systems—Local and Metropolitan Area Networks–Specific Requirements—Part 11: Wireless LAN Medium Access Control (MAC) and Physical Layer (PHY) Specifications. IEEE: Piscataway, NJ, USA, 2021. [CrossRef]
- Khorov, E.; Kiryanov, A.; Lyakhov, A.; Bianchi, G. A Tutorial on IEEE 802.11ax High Efficiency WLANs. IEEE Commun. Surv. Tutor. 2019, 21, 197–216. [Google Scholar] [CrossRef]
- Mozaffariahrar, E.; Theoleyre, F.; Menth, M. A Survey of Wi-Fi 6: Technologies, Advances, and Challenges. Future Internet 2022, 14, 293. [Google Scholar] [CrossRef]
- Khorov, E.; Levitsky, I.; Akyildiz, I.F. Current Status and Directions of IEEE 802.11be, the Future Wi-Fi 7. IEEE Access 2020, 8, 88664–88688. [Google Scholar] [CrossRef]
- Oughton, E.J.; Lehr, W.; Katsaros, K.; Selinis, I.; Bubley, D.; Kusuma, J. Revisiting Wireless Internet Connectivity: 5G vs. Wi-Fi 6. Telecommun. Policy 2021, 45, 102127. [Google Scholar] [CrossRef]
- Maldonado, R.; Karstensen, A.; Pocovi, G.; Esswie, A.A.; Rosa, C.; Alanen, O.; Kasslin, M.; Kolding, T. Comparing Wi-Fi 6 and 5G Downlink Performance for Industrial IoT. IEEE Access 2021, 9, 86928–86937. [Google Scholar] [CrossRef]
- John, J.; Noor-A-Rahim, M.; Vijayan, A.; Poor, H.V.; Pesch, D. Industry 4.0 and Beyond: The Role of 5G, WiFi 7, and Time-Sensitive Networking (TSN) in Enabling Smart Manufacturing. Future Internet 2024, 16, 345. [Google Scholar] [CrossRef]
- Zeb, S.; Mahmood, A.; Khowaja, S.A.; Dev, K.; Hassan, S.A.; Gidlund, M.; Bellavista, P. Towards defining industry 5.0 vision with intelligent and softwarized wireless network architectures and services: A survey. J. Netw. Comput. Appl. 2024, 223, 103796. [Google Scholar] [CrossRef]
- Malanchini, I.; Michailow, N.; Agostini, P.; Ali-Tolppa, J.; Hock, D.; Kasparick, M.; Lieto, A.; Marchenko, N.; Alba, A.M.; Pries, R.; et al. Convergence of Manufacturing and Networking in Future Factories. arXiv 2023, arXiv:2312.08708. [Google Scholar]
- Bellalta, B. IEEE 802.11ax: High-efficiency WLANs. IEEE Wirel. Commun. 2016, 23, 38–46. [Google Scholar] [CrossRef]
- Frommel, F.; Capdehourat, G.; Rodríguez, B. Performance Analysis of Wi-Fi Networks based on IEEE 802.11ax and the Coexistence with Legacy IEEE 802.11n Standard. In Proceedings of the 2021 IEEE URUCON, Montevideo, Uruguay, 24–26 November 2021; pp. 492–495. [Google Scholar] [CrossRef]
- Doğan-Tusha, S.; Tusha, A.; Rochman, M.I.; Nasiri, H.; Ghosh, M. Spectrum Sharing Characterization Using Smartphones: Exploring 6 GHz Sharing Through Large-Scale Wi-Fi 6E Measurements. Comm. Mag. 2025, 63, 70–76. [Google Scholar] [CrossRef]
- Ghoshal, M.; Krishna, S.B.; Gringoli, F.; Widmer, J.; Koutsonikolas, D. A First Look at 160 MHz WiFi 6/6E in Action: Performance and Interference Characterization. In Proceedings of the 2024 IFIP Networking Conference (IFIP Networking), Thessaloniki, Greece, 3–6 June 2024; pp. 489–495. [Google Scholar] [CrossRef]
- Muhammad, S.; Zhao, J.; Refai, H.H. An Empirical Analysis of IEEE 802.11 ax. In Proceedings of the 2020 International Conference on Communications, Signal Processing, and their Applications (ICCSPA), Sharjah, United Arab Emirates, 16–18 March 2021; pp. 1–6. [Google Scholar] [CrossRef]
- Rady, M.; Iova, O.; Rivano, H.; Deligianni, A.; Drikos, L. How does Wi-Fi 6 fare? An industrial outdoor robotic scenario. Ad Hoc Netw. 2024, 156, 103418. [Google Scholar] [CrossRef]
- ZTE. Wi-Fi 6 Technology and Evolution White Paper. Technical Report. 2020. Available online: https://www.zte.com.cn/content/dam/zte-site/res-www-zte-com-cn/mediares/zte/files/pdf/white_book/Wi-i_6_Technology_and_Evolution_White_Paper-202009232125.pdf (accessed on 25 June 2024).
- Reshef, E.; Vituri, S.; Gurevitz, A. Wi-Fi 7—Technology Realities and Way Forward. In Proceedings of the 2024 IEEE International Conference on Microwaves, Communications, Antennas, Biomedical Engineering and Electronic Systems (COMCAS), Tel Aviv, Israel, 9–11 July 2024; pp. 1–5. [Google Scholar] [CrossRef]
- Halperin, D.; Hu, W.; Sheth, A.; Wetherall, D. Predictable 802.11 packet delivery from wireless channel measurements. ACM SIGCOMM Comput. Commun. Rev. 2010, 40, 159–170. [Google Scholar] [CrossRef]
- Lee, S.s.; Kim, T.; Lee, S.; Kim, K.; Kim, Y.H.; Golmie, N. Dynamic Channel Bonding Algorithm for Densely Deployed 802.11ac Networks. IEEE Trans. Commun. 2019, 67, 8517–8531. [Google Scholar] [CrossRef]
- Akhmetov, D.; Arefi, R.; Yaghoobi, H.; Cordeiro, C.; Cavalcanti, D. Spectrum Needs of WiFi 7; White Paper; Intel Corporation: Santa Clara, CA, USA, 2022. [Google Scholar]
- Hinrichs, M.; Hilt, J.; Jungnickel, V.; Lim, S.K.; Jang, I.S.; Jeong, J.D.; Noshad, M. Pulsed Modulation PHY for Power Efficient Optical Wireless Communication. In Proceedings of the 2019 IEEE International Conference on Communications (ICC), Shanghai, China, 20–24 May 2019; pp. 1–7. [Google Scholar] [CrossRef]
- Tejedor-Romero, M.; Gimenez-Guzman, J.M.; Cruz-Piris, L.; Herranz-Oliveros, D.; Marsa-Maestre, I. Optimal channel assignment on dense Wi-Fi networks using Thermodynamic Threshold Accepting. Eng. Sci. Technol. Int. J. 2024, 57, 101797. [Google Scholar] [CrossRef]
- Lopez-Perez, D.; Garcia-Rodriguez, A.; Galati-Giordano, L.; Kasslin, M.; Doppler, K. IEEE 802.11be Extremely High Throughput: The Next Generation of Wi-Fi Technology Beyond 802.11ax. IEEE Commun. Mag. 2019, 57, 113–119. [Google Scholar] [CrossRef]
- López-Raventós, Á.; Bellalta, B. IEEE 802.11be Multi-Link Operation: When the Best Could Be to Use Only a Single Interface. In Proceedings of the 2021 19th Mediterranean Communication and Computer Networking Conference (MedComNet), Ibiza, Spain, 15–17 June 2021; pp. 1–7. [Google Scholar] [CrossRef]
- Belogaev, A.; Shen, X.; Pan, C.; Jiang, X.; Blondia, C.; Famaey, J. Dedicated Restricted Target Wake Time for Real-Time Applications in Wi-Fi 7. In Proceedings of the 2024 IEEE Wireless Communications and Networking Conference (WCNC), Dubai, United Arab Emirates, 21–24 April 2024; pp. 1–6. [Google Scholar] [CrossRef]
- Haxhibeqiri, J.; Jiao, X.; Shen, X.; Pan, C.; Jiang, X.; Hoebeke, J.; Moerman, I. Coordinated SR and Restricted TWT for Time Sensitive Applications in WiFi 7 Networks. IEEE Commun. Mag. 2024, 62, 118–124. [Google Scholar] [CrossRef]
- Deng, C.; Fang, X.; Han, X.; Wang, X.; Yan, L.; He, R.; Long, Y.; Guo, Y. IEEE 802.11be Wi-Fi 7: New Challenges and Opportunities. IEEE Commun. Surv. Tutor. 2020, 22, 2136–2166. [Google Scholar] [CrossRef]
- ElKassabi, I.; Abdrabou, A. An Experimental Comparative Performance Study of Different WiFi Standards for Smart Cities Outdoor Environments. In Proceedings of the 2022 IEEE 13th Annual Ubiquitous Computing, Electronics & Mobile Communication Conference (UEMCON), New York, NY, USA, 26–29 October 2022; pp. 0450–0455. [Google Scholar] [CrossRef]










| Feature | Wi-Fi 4 | Wi-Fi 5 | Wi-Fi 6 | Wi-Fi 6E | Wi-Fi 7 |
|---|---|---|---|---|---|
| IEEE Standard | 802.11n | 802.11ac | 802.11ax | 802.11ax | 802.11be |
| Theoretical Maximum Throughput | 600 Mbps | 3.5 Gbps | 9.6 Gbps | 9.6 Gbps | 46 Gbps |
| Frequency Bands | 2.4 GHz, 5 GHz | 5 GHz | 2.4 GHz, 5 GHz | 2.4 GHz, 5 GHz, 6 GHz | 2.4 GHz, 5 GHz, 6 GHz |
| Bandwidth | 20 MHz, 40 MHz | 20 MHz, 40 MHz, 80 MHz, 80 + 80 MHz, 160 MHz | 20 MHz, 40 MHz, 80 MHz, 80 + 80 MHz, 160 MHz | 20 MHz, 40 MHz, 80 MHz, 80 + 80 MHz, 160 MHz | 20 MHz, 40 MHz, 80 MHz, 80 + 80 MHz, 160 MHz, 320 MHz |
| Frequency Multiplexing | OFDM | OFDM | OFDM and OFDMA | OFDM and OFDMA | OFDM and OFDMA |
| Maximum Modulation | 64-QAM | 256-QAM | 1024-QAM | 1024-QAM | 4096-QAM |
| MU-MIMO | N/A | 8 × 8 DL | 8 × 8 UL/DL | 8 × 8 UL/DL | 16 × 16 UL/DL |
| Other advanced features | N/A | N/A | BSS Coloring, RU, TWT | BSS Coloring, RU, TWT | MLO, MRU, r-TWT |
| IEEE Standard | Wi-Fi Name | Frequency Band | Bandwidth | Theoretical Maximum Bitrate | Acronym |
|---|---|---|---|---|---|
| 802.11n | Wi-Fi 4 | 2.4 GHz | 20 MHz | 144 Mbps | WiFi_2.4 |
| 802.11n | Wi-Fi 4 | 40 MHz | 300 Mbps | WiFi_2.4 | |
| 802.11ax | Wi-Fi 6 | 20 MHz | 287 Mbps | WiFi_2.4 | |
| 802.11ax | Wi-Fi 6 | 40 MHz | 574 Mbps | WiFi_2.4 | |
| 802.11be | Wi-Fi 7 | 20 MHz | 344 Mbps | WiFi_2.4 | |
| 802.11be | Wi-Fi 7 | 40 MHz | 689 Mbps | WiFi_2.4 | |
| 802.11n | Wi-Fi 4 | 5 GHz | 20 MHz | 150 Mbps | WiFi_5 |
| 802.11n | Wi-Fi 4 | 40 MHz | 300 Mbps | WiFi_5 | |
| 802.11ac | Wi-Fi 5 | 20 MHz | 173 Mbps | WiFi_5 | |
| 802.11ac | Wi-Fi 5 | 40 MHz | 400 Mbps | WiFi_5 | |
| 802.11ac | Wi-Fi 5 | 80 MHz | 866 Mbps | WiFi_5 | |
| 802.11ac | Wi-Fi 5 | 160 MHz | 1733 Mbps | WiFi_5 | |
| 802.11ax | Wi-Fi 6 | 20 MHz | 287 Mbps | WiFi_5 | |
| 802.11ax | Wi-Fi 6 | 40 MHz | 573 Mbps | WiFi_5 | |
| 802.11ax | Wi-Fi 6 | 80 MHz | 1201 Mbps | WiFi_5 | |
| 802.11ax | Wi-Fi 6 | 160 MHz | 2402 Mbps | WiFi_5 | |
| 802.11be | Wi-Fi 7 | 20 MHz | 344 Mbps | WiFi_5 | |
| 802.11be | Wi-Fi 7 | 40 MHz | 689 Mbps | WiFi_5 | |
| 802.11be | Wi-Fi 7 | 80 MHz | 1441 Mbps | WiFi_5 | |
| 802.11be | Wi-Fi 7 | 160 MHz | 2882 Mbps | WiFi_5 | |
| 802.11ax | Wi-Fi 6E | 6 GHz | 20 MHz | 287 Mbps | WiFi_6 |
| 802.11ax | Wi-Fi 6E | 40 MHz | 573 Mbps | WiFi_6 | |
| 802.11ax | Wi-Fi 6E | 80 MHz | 1201 Mbps | WiFi_6 | |
| 802.11ax | Wi-Fi 6E | 160 MHz | 2402 Mbps | WiFi_6 |
| Environment | Communication Distance | Line of Sight (LoS) | Indoor/Outdoor | |||
|---|---|---|---|---|---|---|
| 5 m | 15 m | 45 m | 60 m | |||
| Laboratory Area | ✓ | ✓ | ✓ | ✓ | ✓ | Indoor |
| Residential Area | ✓ | ✓ | ✓ | ✓ | Outdoor | |
| Factory | ✓ | ✓ | Indoor | |||
| Frequency Bands | Spectrum Characteristics | Relevant Environments | ||
|---|---|---|---|---|
| Residential | Laboratory | Factory | ||
| 2.4 GHz | Free spectrum | 91.33 % | 50.89 % | 62.13 % |
| Peak signal interference | −73.7 dBm | −48.75 dBm | −73.19 dBm | |
| 5 GHz | Free spectrum | 99.71 % | 67.13 % | 87.14 % |
| Peak signal interference | −63.81 dBm | −40.63 dBm | −64.71 dBm | |
| 6 GHz | Free spectrum | 99.97 % | 99.81 % | 99.97 % |
| Peak signal interference | −60.17 dBm | −62.81 dBm | −60.72 dBm | |
| Acronym | UDP Traffic | |||
|---|---|---|---|---|
| C.D. = 15 m | C.D. = 60 m | |||
| Jitter (ms) | Packet Loss (%) | Jitter (ms) | Packet Loss (%) | |
| WiFi_2.4 | 0.171 | 0.14 | 0.749 | 0.16 |
| WiFi_2.4 | 0.502 | 0.32 | 0.21 | 0.45 |
| WiFi_5 | 0.048 | 1.5 | 0.067 | 0.32 |
| WiFi_5 | 0.042 | 0.5 | 0.075 | 0.1 |
| WiFi_5 | 0.045 | 1.2 | 0.12 | 0.5 |
| WiFi_6 | 0.022 | 0.44 | 0.085 | 1.6 |
| WiFi_6 | 0.027 | 0.5 | 0.1 | 1.8 |
| WiFi_6 | 0.016 | 0.39 | 0.041 | 2.1 |
| WiFi_6 | 0.02 | 0.4 | 0.065 | 2.4 |
| Environment | C.D. | RTT Mean | Peak TCP Traffic | Peak UDP Traffic |
|---|---|---|---|---|
| Residential área | 5 m | WiFi_5 | WiFi_6 | WiFi_6 |
| Laboratory zone | 5 m | WiFi_6 | WiFi_6 | WiFi_6 |
| 15 m | WiFi_6 | WiFi_6 | WiFi_6 | |
| 60 m | WiFi_6 | WiFi_6 | WiFi_6 | |
| Factory | 15 m | WiFi_5 | WiFi_6 | WiFi_6 |
| 60 m | WiFi_5 | WiFi_6 | WiFi_6 |
Disclaimer/Publisher’s Note: The statements, opinions and data contained in all publications are solely those of the individual author(s) and contributor(s) and not of MDPI and/or the editor(s). MDPI and/or the editor(s) disclaim responsibility for any injury to people or property resulting from any ideas, methods, instructions or products referred to in the content. |
© 2025 by the authors. Licensee MDPI, Basel, Switzerland. This article is an open access article distributed under the terms and conditions of the Creative Commons Attribution (CC BY) license (https://creativecommons.org/licenses/by/4.0/).
Share and Cite
Bartolín-Arnau, L.M.; Orozco-Santos, F.; Sempere-Payá, V.; Silvestre-Blanes, J.; Albero-Albero, T.; Llacer-Garcia, D. Exploring the Potential of Wi-Fi in Industrial Environments: A Comparative Performance Analysis of IEEE 802.11 Standards. Telecom 2025, 6, 40. https://doi.org/10.3390/telecom6020040
Bartolín-Arnau LM, Orozco-Santos F, Sempere-Payá V, Silvestre-Blanes J, Albero-Albero T, Llacer-Garcia D. Exploring the Potential of Wi-Fi in Industrial Environments: A Comparative Performance Analysis of IEEE 802.11 Standards. Telecom. 2025; 6(2):40. https://doi.org/10.3390/telecom6020040
Chicago/Turabian StyleBartolín-Arnau, Luis M., Federico Orozco-Santos, Víctor Sempere-Payá, Javier Silvestre-Blanes, Teresa Albero-Albero, and David Llacer-Garcia. 2025. "Exploring the Potential of Wi-Fi in Industrial Environments: A Comparative Performance Analysis of IEEE 802.11 Standards" Telecom 6, no. 2: 40. https://doi.org/10.3390/telecom6020040
APA StyleBartolín-Arnau, L. M., Orozco-Santos, F., Sempere-Payá, V., Silvestre-Blanes, J., Albero-Albero, T., & Llacer-Garcia, D. (2025). Exploring the Potential of Wi-Fi in Industrial Environments: A Comparative Performance Analysis of IEEE 802.11 Standards. Telecom, 6(2), 40. https://doi.org/10.3390/telecom6020040

