Abstract
Cu3N with a cubic crystal structure is obtained in this paper by the sputtering of Cu under N2 followed by annealing under NH3: H2 at 400 °C, after which it was doped with iodine at room temperature resulting into p-type Cu3N with hole densities between 1016 and 1017 cm−3. The Cu3N exhibited distinct maxima in differential transmission at ~2.01 eV and 1.87 eV as shown by ultrafast pump-probe spectroscopy, corresponding to the M and R direct energy band gaps in excellent agreement with density functional theory calculations, suggesting that the band gap is clean and free of mid-gap states. The Cu3N was gradually converted into optically transparent γ-CuI that had a hole density of 4 × 1017 cm−3, mobility of 12 cm2/Vs and room temperature photoluminescence at 3.1 eV corresponding to its direct energy band gap. We describe the fabrication and properties of γ-CuI/TiO2/Cu3N and γ-CuI/Cu3N p-n heterojunctions that exhibited rectifying current-voltage characteristics, but no photogenerated current attributed to indirect recombination via shallow states in Cu3N and/or deep states in the γ-CuI consistent with the short (ps) lifetimes of the photoexcited electrons-holes determined from transient absorption–transmission spectroscopy.
1. Introduction
Cu3N is an indirect energy band gap semiconductor, in which crystal imperfections, such as N vacancies (VN) and Cu interstitials (Cui), do not give rise to mid-gap states, but instead electronic states that are energetically located very close or inside the conduction and valence band edges, respectively. Consequently, it has been described as a defect tolerant semiconductor and proposed to be used as an absorber material for the fabrication of p-n junction solar cells [1], considering that n- and p-type doping is also possible. Furthermore, it has an anti-ReO3 cubic crystal structure in which ions can be stored at its center making it suitable for batteries so it is still an active topic of investigation for energy conversion and storage [2].
In the past, Cu3N has been obtained mostly by reactive sputtering of Cu under N2 in conjunction with Ar, which enables control over its stoichiometry. For instance, Birket et al. [3] prepared Cu3N by sputtering of Cu under Ar and N2, but recently we obtained Cu3N from Cu on fused SiO2 (f-SiO2) under a flow of NH3: O2 between 400 °C and 600 °C similar to Matsuzaki et al. [4]. Interestingly, we observed the M and R direct energy band gaps of Cu3N by ultra-fast pump-probe spectroscopy (UPPS) [5], confirming that Cu3N has a ”clean” energy band gap with no mid-gap states. Whille there are many investigations on n-type doping of Cu3N, only a few have considered p-type doping, such as the one conducted by Matsuzaki et al. [4] who showed that p-type Cu3N can be obtained via the incorporation of interstitial F. Alternatively, S and Se can be used to control the carrier type [6,7].
To the best of our knowledge, no one has investigated the properties of I: Cu3N and its gradual conversion into γ-CuI despite the fact that Cu3N has been converted into γ-CuI previously by exposure to iodine in a one-step process [8,9]. One of the advantages of using iodine is that it has a low melting point of 114 °C and a corresponding high vapor pressure of 10 kPa, but more importantly it is not so toxic compared to fluorine. Moreover, the ability to obtain p-type Cu3N by doping with iodine is not just interesting from a fundamental point of view, but also important for the realization of p-n homojunction solar cells, e.g., by selective compensation of n-type Cu3N. Furthermore, the conversion of Cu3N into γ-CuI is important for the realization of devices as γ-CuI is a highly transparent, p-type semiconductor, with a direct energy band gap of 3.2 eV that has been used extensively in perovskite solar cells [10], organic solar cells [11], dye sensitized [12], silicon solar cells [13], light emitting diodes [14], transistors [15], and thermoelectric devices [16]. Consequently, one may obtain p-n heterojunctions [17,18,19] using p-type γ-CuI in conjunction with n-type Cu3N.
It is important to emphasize that, although Cu3N has been described to be a defect tolerant semiconductor that is attractive as a solar cell absorber, no one as yet has actually fabricated a working p-n junction solar cell using Cu3N. In the past, Chen et al. [20] fabricated a p-n Cu3N homo junction on indium tin oxide (ITO) and Yee et al. [21] fabricated an Al: ZnO/ZnS/Cu3N p-n heterojunction, both of which showed rectifying behavior, but no photo generated current. On the other hand, however, Yu et al. [22] fabricated Ag/Cu3N/ITO and Ag/Mn: Cu3N/ITO devices that had a high photocurrent response and exhibited linear IV characteristics in the dark and light, but they did not fabricate a p-n junction exhibiting rectifying properties and photovoltaic action.
In this paper, we consider the structural, electrical and optical properties of I: Cu3N and γ-CuI in conjunction with density functional theory (DFT) calculations of the electronic band structure in order to advance our understanding of these semiconductors and also show how p-type γ-CuI and n-type Cu3N may be combined to form γ-CuI/Cu3N p-n heterojunctions exhibiting rectifying current-voltage characteristics.
2. Materials and Methods
2.1. Experimental Proceedure
Initially, 60 nm of Cu3N was deposited on f-SiO2 by reactive sputtering of a Cu target using pure N2 at 10−2 mbar. The Cu3N was subsequently annealed at 400 °C for 30 min under 300 mL/min of NH3 and 15 mL/min H2 using a ramp rate of 30 °C/min in order to improve its crystal quality. The doping and gradual conversion of Cu3N into γ-CuI2 was carried out using 10 mg of iodine (I2) inside a Petri dish at room temperature for 20 up to 200 s.
The morphology, composition and crystal structure of the I: Cu3N and γ-CuI were investigated by scanning electron microscopy (SEM, Tescan, Brno, Czech Republic), energy dispersive X-ray analysis (EDX) and X-ray diffraction (XRD) (Rigaku Mini Flex).
The electrical properties were measured by the Hall effect in the van der Pauw geometry at room temperature using a 0.5 T GMW 3470 electromagnet in conjunction with a Keithley 2635A constant current source, 2182 Nano voltmeter (Keithley, Cleveland, OH, USA).
The optical properties and in particular the time evolution of the differential transmission (dT/T) through the I: Cu3N and γ-CuI deposited on f-SiO2 were measured on a ps time scale in a typical pump–probe configuration using a pump of λPU = 400 or 260 nm and a probe that varied between λPR = 450 nm and 750 nm, as described in detail previously [5]. For completeness, the photoluminescence (PL) of the γ-CuI was measured between 77 and 300 K. The PL was measured using a coherent, high repetition rate ultrafast amplifier, centered at 800 nm that generated 75 fs pulses at 250 kHz. The fundamental light at 800 nm was tripled at 266 nm using barium borate crystals. The sample was loaded in a Janis closed cycle refrigerator and the PL emission was directed into an Andor spectrometer equipped with an iStar intensified CCD camera.
2.2. Theoretical
The density functional theory (DFT) calculations were performed using the Vienna Ab initio Simulation Package (VASP) [23,24] with Projector Augmented-Wave (PAW) pseudopotentials [25,26] using Perdew–Burke–Ernzerhof Generalized Gradient Approximation functionals (PBE-GGA) [27]. The DFT + U method was employed via the approach introduced by Dudarev et al. [28]. The +U potential was applied only to the d electrons of Cu and the parameter was set at 7.64 eV, which is a value that was found to accurately reproduce the experimental bandgap of Cu3N [5]. The energy cut-off of the plane-wave basis set was 520 eV. We used 5 × 5 × 5 500-atom cubic Cu3N, fully relaxed supercells, for the calculations and the Brillouin zone was sampled using a Γ-centred 2 × 2 × 2 mesh. The defect formation energies were calculated according to the methodology described by Freysoldt et al. [29]. For Cu-rich conditions, the chemical potential of Cu was assumed to be and consequently the chemical potentials of N and I were calculated by and which were also for N-rich and I-rich conditions, where the energies of the N2 dimer, pyramidal I3N molecules and I in its orthorhombic phase were taken into account.
3. Results
3.1. Structural, Electrical and Optical Properties of p-Type I: Cu3N and γ-CuI
Initially, Cu3N was deposited by reactive sputtering of Cu under pure N2 on f-SiO2 for the purpose of measuring the optical and electrical properties, but the f-SiO2 was not heated during the deposition. The Cu3N layers obtained in this way did not exhibit any distinct peaks in the XRD suggesting a poor crystal quality, so they were annealed under NH3: H2 at 400 °C for 30 min in order to improve their crystallinity and a typical SEM image is shown in Figure 1a. The Cu3N layers exhibited well resolved peaks after annealing corresponding to the cubic crystal structure of Cu3N as shown in Figure 1b. As expected, we did not detect any peaks related to CuO or Cu2O as we included H2 along with the NH3.
Figure 1.
(a) SEM image of Cu3N after annealing at 400 °C for 30 min under NH3: H2; inset shows γ-CuI after the complete conversion of Cu3N under I2 for 200 s. (b) XRD traces obtained from Cu3N after annealing, i.e., bottom trace, and I: Cu3N obtained by iodization for 20 s and 120 s; top trace corresponds to γ-CuI. (c) EDX of I: Cu3N and (d) section of XRD between 2θ = 23 and 25° showing the shift of the (100) peak of Cu3N that occurs upon the incorporation of iodine corresponding to a strain of ~1%.
The ability to obtain n- and p-type Cu3N via the incorporation of specific impurities is an attractive feature of Cu3N that is important for the realization of p-n junction solar cells. Recently, Matzusaki et al. [4] showed that p-type Cu3N layers with a room temperature hole density between 1016–1017 may be obtained via the intentional incorporation of F. Another way to obtain p-type Cu3N is via the incorporation of iodine. Consequently, p-type Cu3N layers were obtained by the exposure of the Cu3N layers to iodine for 20 s at room temperature. This did not change the surface morphology of the Cu3N, which looked very similar to that in Figure 1a. The incorporation of iodine for 20 s resulted into the formation of p-type Cu3N with a hole density of 2 × 1016 cm−3 and mobility of 24 cm2/Vs, but we did not observe the formation of γ-CuI alongside Cu3N, as shown by the XRD in Figure 1b. We found that the hole density increased from 2 × 1016 cm−3 to 6 × 1016 cm−3 and then 1.1 × 1017 cm−3 by increasing the exposure of the Cu3N layer to iodine from 20 to 60 and 100 s, respectively, at room temperature. These hole densities did not change after a 24 h long exposure to the ambient. We find that the extended incorporation of iodine in Cu3N at room temperature over 120 s resulted in the formation of γ-CuI alongside Cu3N as shown in Figure 1b. Now, γ-CuI has a zinc blended crystal structure, with a lattice constant of a = 0.608 nm. In contrast, the Cu3N has a cubic crystal structure with a lattice constant of a = 0.38 nm. As such, the conversion of certain regions of Cu3N into γ-CuI will result into a significant expansion of the lattice imposing strain on the Cu3N. This is manifested by the gradual shift of the (100) peak of Cu3N shown in Figure 1d that occurs upon the incorporation of iodine. An overall shift of −0.26° is observed that is nearly identical to the shift of 2θ = −0.28° observed in the case of the (200) peak of Cu3N and that corresponds to a strain of ~1%. The Cu3N was eventually converted into γ-CuI, as shown by the suppression of the peaks belonging to Cu3N in the trace at the top of Figure 1b. It should be noted here that the conversion of Cu into γ-CuI involves the oxidation of Cu from Cu0 to Cu+1. In contrast, the conversion of Cu3N into CuI just involves the replacement or substitution of N with I given that Cu3N is composed of Cu+1 and N+3. This reaction occurs at room temperature so the Cu3N may be gradually converted into an optically transparent γ-CuI in a highly controllable fashion. A typical SEM image of the γ-CuI obtained from Cu3N after complete conversion over 200 s is shown as an inset in Figure 1a. The γ-CuI had a hole density of 4 × 1017 cm−3 and mobility of 12 cm2/Vs, which falls in the range 0.5–50 cm2/V·s [10,14] of hole mobilities found previously for γ-CuI. In addition to measuring the structural and electrical properties of the I: Cu3N and γ-CuI, we also measured their optical properties by UPPS. The I: Cu3N exhibited distinct spectral features at ~660 nm (≡1.87 eV) and 617 nm (≡2.01 eV) as measured by UPPS and shown in Figure 2a,b. These correspond to the M and R direct energy band gaps of bulk-relaxed Cu3N similar to what we have observed previously for Cu3N obtained from Cu under NH3: O2 [5], but here we do not observe the duo of higher energy peaks that were recently attributed to the formation of strained Cu3N arising in connection with surface oxidation upon exposure to the ambient [30].
Figure 2.
UPPS of Cu3N layer after doping with iodine for different times showing differential transmission (dT/T) versus optical delay τ(ps) for different λPR (nm) (a) for 20 s with λPU = 400 nm, (b) for 20 s with λPU = 260 nm, (c) for 120 s with λPU = 400 nm, and (d) for 120 s with λPU = 260 nm. Maxima at ~1.87 eV (660 nm), 2.01 eV (617 nm) and 2.25 eV (550 nm); in all cases the vertical color bar corresponds to the differential transmission dT/T.
However, the extended incorporation of iodine for 120 s lead to the emergence of an additional maximum in differential transmission at ~420 nm (≡2.95 eV), as shown in Figure 2c,d. The higher energy maximum observed in Figure 2d is not related to γ-CuI itself, but to the emergence of strained regions of Cu3N due the lattice expansion of γ-CuI as explained above. We find that the total conversion of Cu3N into γ-CuI leads to a suppression of all the maxima shown in Figure 2 and the emergence of a single maximum in differential transmission at ~420 nm (≡2.95 eV), as shown in Figure 3a,b. This sharp peak at ~420 nm (≡2.95 eV) is consistent with the direct energy band gap of γ-CuI, which is an optically transparent p-type semiconductor. Given that Cu3N is an indirect gap semiconductor, it shows no PL, but the γ-CuI is a direct gap semiconductor that exhibited PL at 3.1 eV and also a broad emission between 1.55–2.06 eV (≡800–600 nm) at room temperature, as shown in Figure 3c,d. The PL at 3.1 eV is attributed to band-to-band radiative recombination of photo excited electron hole pairs, as shown in Figure 4a, while the broad emission is attributed to radiative recombination via mid gap states, as shown in Figure 4c. In addition, we found that the γ-CuI shows PL at 825 nm (≡1.5 eV), also shown in Figure 3c. The red PL at 1.5 eV has been shown to be related to iodine vacancies, as illustrated in Figure 4d, and is not an artifact related to the PL at 400 nm.
Figure 3.
UPPS of γ-CuI with λPU = 266 nm and 5 μJ at (a) 300 K and (b) 77 K; maximum at ~2.95 eV (≡420 nm); vertical color bar corresponds to the differential transmission dT/T and the insets show the corresponding three-dimensional graph. Moreover, the figure also shows (c) the PL from γ-CuI taken with an excitation of λPU = 266 nm between 10 and 300 K and (d) PL from γ-CuI between 350 and 450 nm.
Figure 4.
Schematic diagram of (a) band-to-band radiative recombination of photo excited electron hole pairs related to the PL at 3.1 eV in γ-CuI; (b) radiative recombination via shallow donor-like states giving rise to the PL at 3.0 eV in γ-CuI; (c) recombination via mid-gap states; and (d) radiative recombination of photo excited electron hole pairs via acceptor-like states related to iodine vacancies (VI) in γ-CuI.
For completeness, we ought to point out that the PL intensities at ~3.1 eV and ~1.5 eV increased by reducing the temperature from 300 to 77 K, but this also resulted in a suppression of the broad PL observed between 1.55 and 2.06 eV. However, we observed the emergence of a local maximum in the PL at 415 nm (≡3.0 eV), as shown in Figure 3d, which is attributed to radiative recombination via donor-like vacancies, as explained in Figure 4b.
3.2. DFT Electronic Band Structure Calculations
In order to further understand all of the above findings, we investigated the formation energies of the iodine defects and their effect on the electronic band structure of Cu3N via large-scale ab initio calculations. We considered I in two interstitial and two substitutional positions in the simple cubic anti-ReO3 phase structure of Cu3N (space group, No. 221), i.e., the following four configurations: (a) : an I atom in the single 1b Wyckoff position (in the center of the cube defined by the Cu and N atoms, fractional coordinates: 0.5 0.5 0.5); (b) : an I atom in one of the 3c Wyckoff positions (in the center of a facet the cube defined by the Cu and N atoms, fractional coordinates: 0.5 0.5 0.0); (c) : an I atom in the place of a Cu atom; and (d) : an I atom in the place of a N atom, with Cu and N atoms occupying the 3d and the single 1a sites respectively, shown in Figure 5.
Figure 5.
(a) Electronic band structure of intrinsic Cu3N showing the M and R direct band gaps as well as the M to R indirect energy band gaps. (b) Electronic band structure of intrinsic CuI showing the Γ direct band gap. (c) Electronic band structure of I: Cu3N derived using one iodine atom per 375 Cu atoms and 125 N atoms; the red line corresponds to the shallow acceptor like states of iodine. (d) Formation energies and charge-state transition points of the I-related defects in Cu3N under N-rich conditions as a function of the Fermi energy. The minimum and the maximum of the Fermi energy correspond to the valence band maximum and conduction band minimum, respectively. Solid lines correspond to the formation energy and only the most energetically favourable charge state for a specific Fermi energy is shown. Positive and negative charge states indicate donor and acceptor behaviour, respectively; also shown the crystal structure of Cu3N showing the large Cu and small N atoms as well as the interstitial positions of the I atoms.
We found that is energetically preferable under both Cu-rich and N-rich conditions for all the different types of potentials used. Both and show lower formation energies under N-rich conditions (1.41 eV down from 3.31 eV and 1.73 eV from 3.44, respectively). The barrier for an I atom to diffuse from one 1b position to the neighboring is ~1.6–1.8 eV depending on the conditions. Under I-rich conditions is preferable and shows a formation energy of 1.83 eV compared to 2.51 eV of . The formation energy of and are always high (3.03 eV and 5.84 eV for N-rich conditions respectively).
The formation energies of all the defects in Cu3N as a function of the Fermi energy are shown in Figure 5. The interstitial defect induces 1 acceptor level at 0.08 eV, where the transition from the 0 charge to −1 charge happens. One additional level is found right at the conduction band minimum (CBM) for the transition from −1 to −2 charge. One non-visible in the figure transition level is −0.01 eV below the valence band maximum (VBM), where the transition from the +1 charge to 0 charge takes place (not shown in the figure). The substitutional defect is always uncharged. In addition to the above, we also calculated the formation energies of the , and native point defects, which are in good agreement with the formation energies calculated by Matsuzaki et al. [4], i.e., : ~0.7 eV, : ~1.1 eV and : ~2.4 eV.
For completeness, the electronic band structure of Cu3N, γ-CuI and I: Cu3N is shown in Figure 5a–c. We found that the incorporation of iodine yields states that are energetically located very close to the conduction band minimum and valence band maximum leaving a “clean” band gap very similar to the findings of Yee et al. [21] who showed that N vacancies (VN) and Cu interstitials (Cui) give rise to states that are energetically located very close or inside the conduction and valence band edges. In other words, I: Cu3N has a “clean” band gap, thus allowing the observation of the maxima at 617 nm (≡2.01 eV) and 660 nm (≡1.87 eV) by UPPS, which unequivocally correspond to the M and R direct energy band gaps of Cu3N.
3.3. γ-CuI/TiO2/Cu3N and γ-CuI/Cu3N p-n Heterojunctions
Initially, we fabricated a γ-CuI/TiO2/Cu3N p-n heterojunction on soda lime glass (SLG), as shown in Figure 6. First, a 100 nm layer of Au was deposited by sputtering under Ar at 10−2 mbar on 15 mm × 25 mm SLG, which was used as a back contact. Following this, a 100 nm layer of n-type Cu3N layer was deposited over the Au by reactive sputtering under Ar: 10%N2 and annealed under NH3: H2 at 400 °C for 30 min in order to improve its crystal quality. Subsequently, a 10 nm thick TiO2 layer was deposited by reactive sputtering under Ar: 10% O2. This is usually annealed at elevated temperatures, e.g., 500 °C, in air or under oxygen in order to improve its crystal quality and eliminate mid-gap states, but we avoided doing so in order to prevent the degradation of the underlying n-type Cu3N. Finally, a Cu3N layer was deposited by reactive sputtering on top of the TiO2 using a Cu target under 100% N2, which was converted into γ-CuI by an extended iodization of 200 s at room temperature. The device was completed with the deposition of a 100 nm thick Au contact on top of the γ-CuI. The IV characteristics of the devices were measured at room temperature with a Keithley 2635A.
Figure 6.
Schematic diagram showing the fabrication of the γ-CuI/TiO2/Cu3N p-n heterojunction: (a) deposition of 100 nm Au on SLG; (b) deposition of n-type Cu3N; (c) annealing at 400 °C/30 min under NH3:H2; (d) deposition of 10 nm TiO2 barrier by reactive sputtering under Ar: 10% O2; and (e) sputtering of N-rich Cu3N (f) conversion of N-rich Cu3N into γ-CuI.
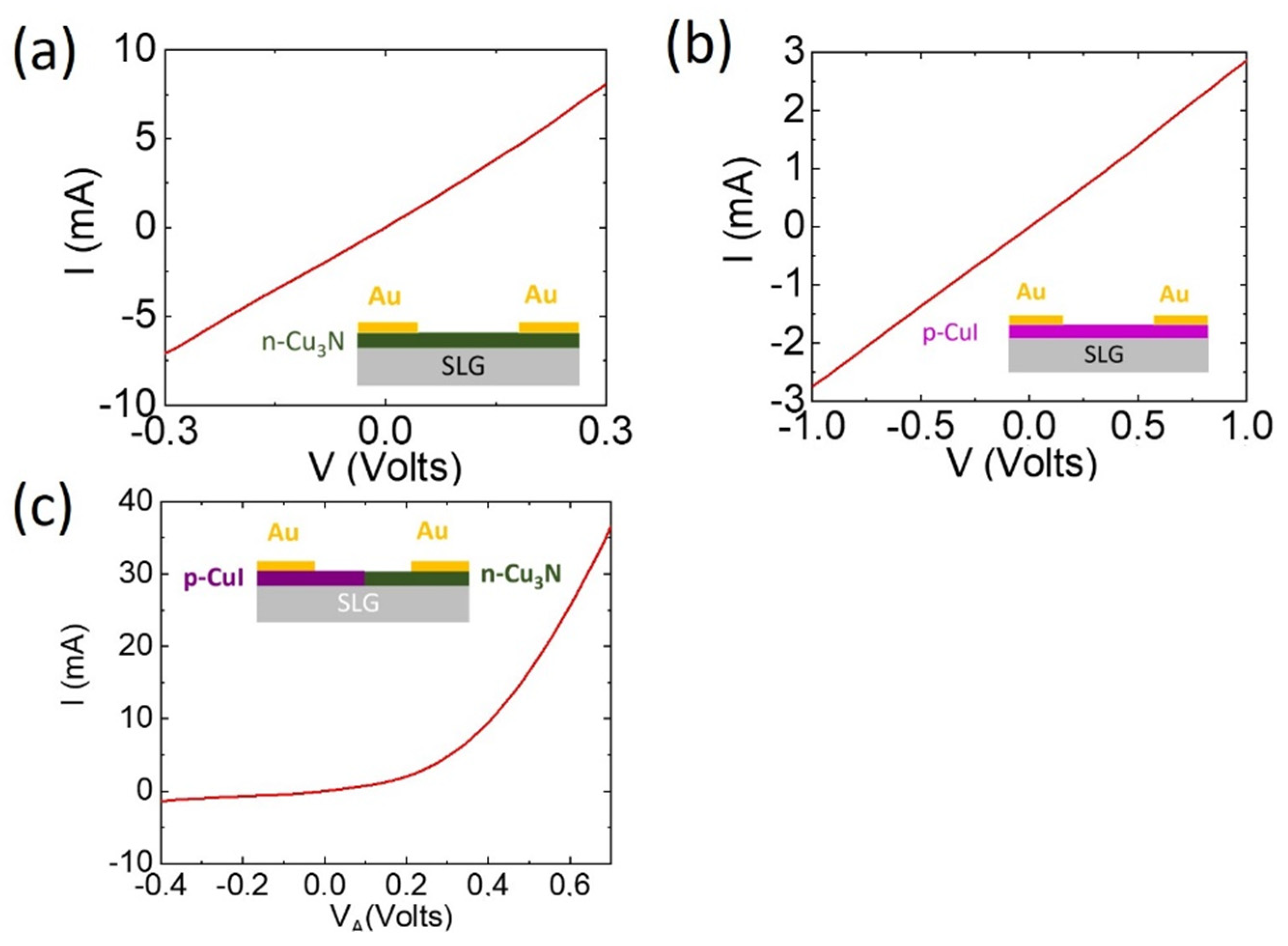
Before considering the IV properties of the γ-CuI/TiO2/Cu3N p-n heterojunction, it is useful to point out that γ-CuI is a p-type semiconductor with an energy band gap of 3.2 eV that has a work function of ϕ = 5.0 eV and a small electron affinity of χ = 2.1 eV, as shown in Figure 7a [14,31,32]. In contrast, the electron affinity and work function of n-type Cu3N are χ = 3.5 eV and ϕ =4.0 eV, respectively, as shown in Figure 7b. Furthermore, TiO2 has a band gap of 3.2 eV, work function of ϕ =4.2 eV and an electron affinity of χ = 4.0 eV, as shown in Figure 7c, making it attractive as a barrier. These properties are expected to induce strong band bending and a substantial built-in barrier in a γ-CuI/TiO2/Cu3N p-n heterojunction, as shown in Figure 7d. The γ-CuI/TiO2/Cu3N p-n heterojunction exhibited a strongly asymmetric current-voltage (IV) characteristic, as shown in Figure 7e, with an on–off ratio of ~34 and were stable under ambient conditions. The Au on top of the γ-CuI as well as Au on n-type Cu3N results into the formation of ohmic contacts, as we obtained linear IV characteristics from a single layer of (a) γ-CuI and (b) n-type Cu3N that were deposited separately on SLG, as shown in Figure 8a,b. The n-type Cu3N had an electron density of n = 1.2 × 1018 cm−3 and mobility of 1.6 cm2/Vs due to the fact that it was deposited under Cu-rich conditions, i.e., under Ar: 10% N2. In addition to Au, one could use Ag as well as Cu on n-type Cu3N, which also exhibited linear IV characteristics. However, it should be emphasized that Ag on top of γ-CuI leads to non-linear IV characteristics consistent with the fact that CuI/AgI is a p-n heterojunction, in itself with rectifying properties. Consequently, Ag was not used as an ohmic contact to γ-CuI in the case of the γ-CuI/TiO2/Cu3N p-n heterojunction.
Figure 7.
Schematic energy band diagram of (a) γ-CuI (b) Cu3N and (c) TiO2 showing the energy band gap, electron affinity χ and work function ϕ. The diagram also shows the (d) band profile of γ-CuI/TiO2/Cu3N p-n heterojunction and (e) the IV characteristic obtained from the γ-CuI/TiO2/Cu3N p-n heterojunction at room temperature.
Figure 8.
Schematic diagram and IV characteristics obtained from (a) Au contacts on n-type Cu3N, (b) Au contacts on p-type γ-CuI and (c) γ-CuI/Cu3N p-n planar heterojunction with Au contacts. The Cu3N, γ-CuI as well as the Au contacts had a thickness of 100 nm.
It is also important to point out that the IV characteristics obtained from a symmetric Au/TiO2/Au device, which in essence constitutes a single tunnel barrier, are non-linear, but nevertheless symmetric. Evidently, the rectifying IV characteristic shown in Figure 7e is related solely to the formation of the p-n heterojunction between the p-type γ-CuI and n-type Cu3N layer. One could argue that the rectifying IV characteristics are attributed to the formation of a p-n junction between the p-type CuI and n-type TiO2, as suggested by Kumarasinghe et al. [33]. However, the TiO2 layer in our device is very thin, i.e., 10 nm, so it will be essentially depleted, and it is impossible for such a thin TiO2 layer to contain a depletion region and electric field as well as a flat band region so that the rectifying properties of the device are attributed to the CuI/TiO2 p-n junction. This would require a very high electron density in the TiO2, well in excess of the electron density that can exist in such an un-doped, wide band gap oxide, such as TiO2. In other words, the TiO2 layer acts as a tunnel barrier and the rectifying properties are strictly related to the p-type CuI and n-type Cu3N. More specifically, the application of a forward bias, i.e., externally applied electric field to the γ-CuI/TiO2/Cu3N p-n heterojunction that is opposite to the built-in electric field that points from the n-type Cu3N to the p-type γ-CuI, will reduce the built-in barrier. This will allow electrons to frow from the n-type Cu3N to the p-type γ-CuI and holes from the p-type γ-CuI to the n-type Cu3N via the TiO2 tunnel barrier. One could use, alternatively, h-BN as opposed to TiO2 that contains oxygen. The previous explanation concerning the TiO2 barrier is further corroborated by the fact that we obtained rectifying IV behavior from a γ-CuI/Cu3N p-n heterojunction, as shown in Figure 8c. This γ-CuI/Cu3N p-n heterojunction was fabricated by the deposition of n-type Cu3N on SLG under Ar: 10% N2 that was annealed at 400 °C for 30 min under NH3: H2. Half of the n-type Cu3N layer was subsequently converted into p-type γ-CuI and the device completed with Au contacts.
To the best of our knowledge, no one has previously obtained rectifying IV characteristics from a p-n heterojunction consisting of n-type Cu3N and γ-CuI. However, we did not observe any change in the IVs upon illumination. Our device is similar to that of Yee et al. [21], who fabricated an Al: ZnO/ZnS/Cu3N p-n heterojunction on a 1 μm thick Mo film that was sputtered on SLG and used as a back contact. The n-type Cu3N layer, which had a thickness of 350 nm, was deposited on the Mo by rf sputtering at 25 W and 160 °C under N2. This was followed by a 50 nm ZnS n-type buffer layer that was deposited using atomic layer deposition at 125 °C. Next, 250 nm of Al: ZnO was deposited as the transparent top electrode, followed by the deposition of Al contacts having a thickness of 3 μm. However, the Cu3N/ZnS p-n junction did not generate any photocurrent. The lack of photoconductivity and photo generated current in Cu3N was explained by the large concentration of Cui defects that capture electrons and cause substantial Shockley–Read–Hall recombination, thereby quenching the steady-state minority carrier concentration under illumination. This may be one of the reasons why we did not observe a photocurrent in the γ-CuI/TiO2/Cu3N and γ-CuI/Cu3N p-n heterojunction devices described above, while another contributing factor may be the occurrence of mid-gap states in the TiO2 and γ-CuI that are detected in the PL and by UPPS. Nevertheless, the fabrication of γ-CuI/TiO2/Cu3N and γ-CuI/Cu3N p-n heterojunctions with rectifying IV characteristics is an important step towards the realization of a solar cell using low cost, non-toxic semiconductor materials, such as Cu3N, in combination with other wide band gap semiconductors, such as γ-CuI.
4. Conclusions
We deposited Cu3N layers on f-SiO2 by reactive sputtering under N2, annealed them under NH3: H2 at 400 °C for 30 min and doped them with I2. The I: Cu3N layers have a cubic crystal structure, hole densities between 1016 and 1017 cm−3 and exhibited distinct spectral features at ~2.01 eV (≡617 nm) and 1.87 eV (≡660 nm) that correspond to the M and R direct energy band gaps of Cu3N in excellent agreement with density functional theory calculations. The incorporation of iodine in Cu3N gives rise to shallow-like acceptors, but no mid-gap states. However, the extended incorporation of iodine leads to the formation of γ-CuI along Cu3N and an additional maximum in differential transmission at ~2.25 eV (≡550 nm) due to the formation of strained Cu3N by the lattice expansion of γ-CuI. The Cu3N was totally converted into γ-CuI, which had a hole density of 4 × 1017 cm−3, mobility of 12 cm2/Vs and showed a single maximum in differential transmission at ~2.95 eV, as observed by UPPS, consistent with the PL at 3.1 eV observed between 77 and 300 K that is very close to the fundamental direct energy band gap of CuI. We have demonstrated that n-type Cu3N and γ-CuI may be used for the fabrication of γ-CuI/TiO2/Cu3N and Cu3N/CuI p-n heterojunctions that exhibit rectifying IV properties. However, we did not observe any photocurrent due to the short lifetimes of photo generated electron-hole pairs in Cu3N attributed to Shockley–Read–Hall indirect recombination and/or mid-gap states in the γ-CuI and TiO2. It is necessary then to find ways of increasing the lifetimes and diffusion lengths of carriers in both the Cu3N and γ-CuI by increasing the crystal quality and/or by doping with suitable impurities.
Author Contributions
All of the authors performed research. M.Z. conceived the idea, designed and managed the research. A.T. worked on the growth, device fabrication and electrical characterization. A.O. performed optical spectroscopy. J.K. and T.P. worked on the theoretical calculations. M.Z. wrote the paper. All authors have read and agreed to the published version of the manuscript.
Funding
This research was co-financed by Greece and the European Union (European Social Fund- ESF) through the Operational Programme «Human Resources Development, Education and Lifelong Learning» in the context of the project “Reinforcement of Postdoctoral Researchers—2nd Cycle” (MIS-5033021), implemented by the State Scholarships Foundation (ΙΚΥ). Computational resources were provided by the Greek Research & Technology Network (GRNET) in the “ARIS” National HPC infrastructure under the project NOUS (pr010034).
Conflicts of Interest
The authors declare no conflict of interest.
References
- Zakutayev, A.; Caskey, C.M.; Fioretti, A.N.; Ginley, D.S.; Vidal, J.; Stevanovic, V.; Tea, E.; Lany, S. Defect Tolerant Semiconductors for Solar Energy Conversion. J. Phys. Chem. Lett. 2014, 5, 1117–1125. [Google Scholar] [CrossRef] [PubMed]
- Dongsoo, L.; Seho, S.; Jiseok, K.; Hyunjung, P.; Minchul, J.; Eunkyung, P.; Byoungkuk, S.; Yeongil, J.; Taeseup, S.; Ungyu, P. Copper Nitride Nanowires Printed Li with Stable Cycling for Li Metal Batteries in Carbonate Electrolytes. Adv. Mater. 2020, 32, 1905573. [Google Scholar]
- Birkett, M.; Savory, C.N.; Fioretti, A.N.; Thompson, P.; Muryn, C.A.; Weerakkody, A.D.; Mitrovic, I.Z.; Hall, S.; Treharne, R.; Dhanak, V.R.; et al. Atypically small temperature-dependence of the direct band gap in the metastable semiconductor copper nitrideCu3N. Phys. Rev. B 2017, 95, 115201. [Google Scholar] [CrossRef] [Green Version]
- Matsuzaki, K.; Harada, K.; Kumagai, Y.; Koshiya, S.; Kimoto, K.; Ueda, S.; Sasase, M.; Maeda, A.; Susaki, T.; Kitano, M.; et al. High-Mobility p-Type and n-Type Copper Nitride Semiconductors by Direct Nitriding Synthesis and In Silico Doping Design. Adv. Mater. 2018, 30, e1801968. [Google Scholar] [CrossRef]
- Zervos, M.; Othonos, A.; Sergides, M.; Pavloudis, T.; Kioseoglou, J. Observation of the Direct Energy Band Gaps of Defect-Tolerant Cu3N by Ultrafast Pump-Probe Spectroscopy. J. Phys. Chem. C 2020, 124, 3459–3469. [Google Scholar] [CrossRef]
- Nikam, R.D.; Kwak, M.; Lee, J.; Rajput, K.G.; Banerjee, W.; Hwang, H. Near ideal synaptic functionalities in Li ion synaptic transistor using Li3POxSex electrolyte with high ionic conductivity. Sci. Rep. 2019, 9, 1–11. [Google Scholar] [CrossRef] [Green Version]
- Kozen, A.C.; Pearse, A.J.; Lin, C.-F.; Noked, M.; Rubloff, G.W. Atomic Layer Deposition of the Solid Electrolyte LiPON. Chem. Mater. 2015, 27, 5324–5331. [Google Scholar] [CrossRef] [Green Version]
- Yamada, N.; Ino, R.; Ninomiya, Y. Truly Transparent p-Type γ-CuI Thin Films with High Hole Mobility. Chem. Mater. 2016, 28, 4971–4981. [Google Scholar] [CrossRef]
- Yamada, N.; Kondo, Y.; Ino, R. Low-Temperature Fabrication and Performance of Polycrystalline CuI Films as Transparent p-Type Semiconductors. Phys. Status Solidi 2019, 216, 1700782. [Google Scholar] [CrossRef]
- Sepalage, G.A.; Meyer, S.; Pascoe, A.; Scully, A.D.; Huang, F.; Bach, U.; Cheng, Y.B.; Spiccia, L. Copper(I) Iodide as Hole-Conductor in Planar Perovskite Solar Cells: Probing the Origin of J–V Hysteresis. Adv. Funct. Mater. 2015, 25, 5650–5661. [Google Scholar] [CrossRef]
- Sun, W.; Peng, H.; Li, Y.; Yan, W.; Liu, Z.; Bian, Z.; Huang, C. Solution-Processed Copper Iodide as an Inexpensive and Effective Anode Buffer Layer for Polymer Solar Cells. J. Phys. Chem. C 2014, 118, 16806–16812. [Google Scholar] [CrossRef]
- Zainun, A.R.; Mamat, M.H.; Noor, U.M.; Rusop, M. Particles Size and Conductivity Study of P-Type Copper (I) Iodide (CuI) Thin Film for Solid State Dye-Sensitized Solar Cells. IOP Conf. Ser. Mater. Sci. Eng. 2011, 17, 012009. [Google Scholar] [CrossRef]
- Jeona, K.; Jeea, H.; Parka, M.J.; Limb, S.; Jeonga, C. Characterization of the Copper Iodide Hole-Selective Contact for Silicon Solar Cell Application. Thin Solid Films 2018, 660, 613–617. [Google Scholar] [CrossRef]
- Luo, W.; Zeng, C.; Du, X.; Leng, C.; Yao, W.; Shi, H.; Wei, X.; Du, C.; Lu, S. Copper thiocyanate/copper iodide based hole transport composites with balanced properties for efficient polymer light-emitting diodes. J. Mater. Chem. C 2018, 6, 4895–4902. [Google Scholar] [CrossRef]
- Choi, C.-H.; Gorecki, J.Y.; Fang, Z.; Allen, M.; Li, S.; Lin, L.-Y.; Cheng, C.-C.; Chang, C.-H. Low-temperature, inkjet printed p-type copper(I) iodide thin film transistors. J. Mater. Chem. C 2016, 4, 10309–10314. [Google Scholar] [CrossRef]
- Bai, S.-Q.; Wong, I.H.K.; Lin, M.; Young, D.J.; Hor, T.S.A. A thermoelectric copper-iodide composite from the pyrolysis of a well-defined coordination polymer. Dalton Trans. 2018, 47, 5564–5569. [Google Scholar] [CrossRef] [PubMed]
- Revan, D.N.; Ashok, S.P.; Sankar, R.; Chen, Y.T. Epitaxial Growth of Vertically Stacked p-MoS2/n-MoS2. Nano Energy 2017, 32, 454–462. [Google Scholar]
- Bartolomeo, A. Emerging 2D Materials and Their Van Der Waals Heterostructures. Nanomaterials 2020, 10, 579. [Google Scholar] [CrossRef] [Green Version]
- Gibertini, M.; Koperski, M.; Morpurgo, A.F.; Novoselov, K.S. Magnetic 2D Materials and Heterostructures. Nat. Nanotechnol. 2019, 14, 408. [Google Scholar] [CrossRef] [PubMed] [Green Version]
- Chen, S.-C.; Huang, S.-Y.; Sakalley, S.; Paliwal, A.; Chen, Y.-H.; Liao, M.-H.; Sun, H.; Biring, S. Optoelectronic properties of Cu3N thin films deposited by reactive magnetron sputtering and its diode rectification characteristics. J. Alloys Compd. 2019, 789, 428–434. [Google Scholar] [CrossRef]
- Yee, Y.S.; Inoue, H.; Hultqvist, A.; Hanifi, D.; Salleo, A.; Magyari-Köpe, B.; Nishi, Y.; Bent, S.F.; Clemens, B.M. Copper interstitial recombination centers in Cu3N. Phys. Rev. B 2018, 97, 245201. [Google Scholar] [CrossRef] [Green Version]
- Yu, A.; Hu, R.; Liu, W.; Zhang, R.; Zhang, J.; Pu, Y.; Chu, L.; Yang, J.; Li, X. Preparation and characterization of Mn doped copper nitride films with high photocurrent response. Curr. Appl. Phys. 2018, 18, 1306–1312. [Google Scholar] [CrossRef]
- Kresse, G.; Furthmüller, G. Efficiency of Ab-Initio Total Energy Calculations for Metals and Semiconductors Using a Plane-Wave Basis Set. Comput. Mater. Sci. 1996, 6, 15–50. [Google Scholar] [CrossRef]
- Kresse, G.; Furthmüller, G. Efficient Iterative Schemes for Ab Initio Total-Energy Calculations Using a Plane-Wave Basis Set. Phys. Rev. B 1996, 54, 11169. [Google Scholar] [CrossRef] [PubMed]
- Blochl, P.E. Projector Augmented-Wave Method. Phys. Rev. B 1994, 50, 17953. [Google Scholar] [CrossRef] [PubMed] [Green Version]
- Kresse, G.; Joubert, D. From Ultra Soft Pseudopotentials to the Projector Augmented-Wave Method. Phys. Rev. B 1999, 59, 1758–1775. [Google Scholar] [CrossRef]
- Perdew, J.P.; Burke, K.; Ernzerhof, M. Generalized gradient approximation made simple. Phys. Rev. Lett. 1997, 77, 3865–3868. [Google Scholar] [CrossRef] [PubMed] [Green Version]
- Dudarev, S.L.; Botton, G.A.; Savrasov, S.Y.; Humphreys, C.J.; Sutton, A.P. Electron-energy-loss spectra and the structural stability of nickel oxide: An LSDA+U study. Phys. Rev. B 1998, 57, 1505–1509. [Google Scholar] [CrossRef]
- Freysoldt, C.; Grabowski, B.; Hickel, T.; Neugebauer, J.; Kresse, G.; Janotti, A.; Van de Walle, C.G. First-principles calculations for point defects in solids. Rev. Mod. Phys. 2014, 86, 253–305. [Google Scholar] [CrossRef]
- Zervos, M.; Othonos, A.; Pavloudis, T.; Giaremis, S.; Kioseoglou, J.; Mavridou, K.; Katsikini, M.; Pinakidou, F.; Paloura, E.C. Impact of Oxygen on the Properties of Cu3N and Cu3−xN1−xOx. J. Phys. Chem. C 2021, 125, 3680–3688. [Google Scholar] [CrossRef]
- Peng, Y.; Yaacobi-Gross, N.; Perumal, A.K.; Faber, H.; Vourlias, G.; Patsalas, P.A.; Bradley, D.D.C.; He, Z.; Anthopoulos, T. Efficient organic solar cells using copper(I) iodide (CuI) hole transport layers. Appl. Phys. Lett. 2015, 106, 243302. [Google Scholar] [CrossRef] [Green Version]
- Gotoha, K.; Cuia, M.; Takahashia, I.; Kurokawaa, Y.; Usamia, N. Development of Spin-Coated Copper Iodide on Silicon for use in Hole-Selective Contacts. Energy Procedia 2017, 124, 598–603. [Google Scholar] [CrossRef]
- Kumarasinghe, A.R.; Flavell, W.R.; Thomas, A.G.; Mallick, A.K.; Tsoutsou, D.; Chatwin, C.; Rayner, S.; Kirkham, P.; Warren, S.; Patel, S.; et al. Electronic Properties of the Interface between p-CuI and Anatase-Phase n-TiO2 Single Crystal and Nanoparticulate Surfaces: A Photoemission Study. J. Chem. Phys. 2007, 127, 114703. [Google Scholar] [CrossRef] [PubMed]
Publisher’s Note: MDPI stays neutral with regard to jurisdictional claims in published maps and institutional affiliations. |
© 2022 by the authors. Licensee MDPI, Basel, Switzerland. This article is an open access article distributed under the terms and conditions of the Creative Commons Attribution (CC BY) license (https://creativecommons.org/licenses/by/4.0/).







