Next Article in Journal
Uterine Artery Embolization as a Gateway to Conservative Fibroid Surgery
Previous Article in Journal
Is Adenomyosis Associated with Systemic Vascular Complications?
 
 
Font Type:
Arial Georgia Verdana
Font Size:
Aa Aa Aa
Line Spacing:
Column Width:
Background:
Article

Association Between Serum Progesterone Levels on the Day of Frozen–Thawed Embryo Transfer and Pregnancy and Neonatal Outcomes

by
Cristiana Ribeiro Silva
1,*,
Ana Beatriz de Almeida
1,2,
Carolina Lemos
3,4,
Carla Leal
1,5,
Hélder Ferreira
1,2,6 and
Márcia Barreiro
1,2,6
1
Institute of Biomedical Sciences Abel Salazar (ICBAS), University of Porto, 4050-313 Porto, Portugal
2
Women’s and Reproductive Health Department, Centro Materno-Infantil do Norte Dr. Albino Aroso (CMIN), Unidade Local de Saúde de Santo António (ULSSA), 4050-651 Porto, Portugal
3
Unidade Multidisciplinar de Investigação Biomédica (UMIB), ICBAS, University of Porto, 4050-313 Porto, Portugal
4
ITR—Laboratory for Integrative and Translational Research in Population Health, 4050-600 Porto, Portugal
5
Embryology, Center of Assisted Medical Procreation (CAMP), Materno-Infantil do Norte Dr. Albino Aroso (CMIN), Unidade Local de Saúde de Santo António (ULSSA), 4050-651 Porto, Portugal
6
Center of Assisted Medical Procreation (CAMP), Centro Materno-Infantil do Norte Dr. Albino Aroso (CMIN), Unidade Local de Saúde de Santo António (ULSSA), 4050-651 Porto, Portugal
*
Author to whom correspondence should be addressed.
Reprod. Med. 2025, 6(4), 39; https://doi.org/10.3390/reprodmed6040039 (registering DOI)
Submission received: 25 October 2025 / Revised: 21 November 2025 / Accepted: 26 November 2025 / Published: 1 December 2025

Abstract

Background/Objectives: Serum progesterone (P) levels on the day of frozen–thawed embryo transfer (FET) appear to influence treatment success. Some studies suggest that low P levels may negatively affect pregnancy outcomes, whereas others report a detrimental impact of elevated p values. Although a threshold of 10 ng/mL is frequently cited as indicative of adequate luteal support, the optimal P cut-off on the FET day remains unclear. This study aims to identify a predictive serum p value above which pregnancy rates do not decline in artificial FET cycles. Methods: A retrospective cohort study comprising 236 women who underwent FET between November 2021 and July 2023 was conducted at the Center of Assisted Medical Procreation of Centro Materno-Infantil do Norte. Serum P levels were measured on the day of FET. Three analytical approaches were used in assessing the association between P levels and FET outcomes: (1) fixed threshold of 10 ng/mL; (2) stratification into quartiles (Q1 < 7.30; Q2: 7.30–10.26; Q3: 10.27–13.42; Q4 > 13.42 ng/mL); (3) optimal P cut-off derived from ROC analysis (9.34 ng/mL). Continuous variables were compared using T-test or One-Way ANOVA. Categorical variables were analyzed using Chi-square test or Fisher’s exact test. Associations between P levels and pregnancy outcomes were further examined using logistic regression. Results: Using the P threshold of 10 ng/mL, women with p < 10 ng/mL showed significantly lower positive β-hCG rates (p = 0.020), implantation rates (p = 0.002), and clinical pregnancy rates (CPRs) (p = 0.019). Quartile-based comparisons revealed no significant differences. Regarding the ROC-derived cut-off, women with p ≥ 9.34 ng/mL had significantly higher positive β-hCG rates (38.5% vs. 52.8%, p = 0.012), implantation rates (30.0% vs. 45.5%, p = 0.002), CPR (36.3% vs. 50.0%, p = 0.016), ongoing pregnancy rates (24.4% vs. 37.6%, p = 0.013), and live birth rates (24.4% vs. 37.6%, p = 0.013). p ≥ 9.34 ng/mL remained an independent predictor of improved pregnancy outcomes in multivariate analysis. Conclusions: Serum P levels ≥ 9.34 ng/mL on the day of FET were associated with significantly higher pregnancy success, supporting the relevance of center-specific P thresholds and suggesting potential benefit in individualized luteal phase support strategies.

1. Introduction

Infertility affects millions of individuals worldwide, with approximately one in six people experiencing it during their lifetimes [1]. It is commonly described as a disease of the male or female reproductive system defined by the failure to achieve a pregnancy after, at least, 12 months of regular unprotected sexual intercourse [2]. Given the substantial global burden of infertility, including social stigma, economic hardship, and adverse physical and mental health outcomes, there is a continued need to optimize assisted reproductive care [3].
Over the last few decades, the use of assisted reproductive technology (ART) has risen steadily and has enabled many couples to achieve parenthood [4,5]. ART comprises all fertility treatments in which oocytes are retrieved from the ovaries, fertilized ex vivo, and transferred to the uterus, most commonly through in vitro fertilization (IVF) with or without intracytoplasmic sperm injection (ICSI) [6]. Frozen–thawed embryo transfer (FET) has been widely used in ART since the development of advanced cryopreservation techniques [7]. FET allows the transfer of surplus embryos from an ovarian stimulation cycle, thereby increasing cumulative pregnancy birth rates, reducing embryo wastage, and facilitating strategies such as freeze-all, preimplantation genetic testing, and the prevention of ovarian hyperstimulation syndrome [8,9]. Currently, FET accounts for roughly 25% of ART births, with success highly dependent on embryo quality and the optimization of endometrial preparation [5,10].
Several protocols can be used for endometrial priming, including true natural cycles with spontaneous ovulation; modified natural cycles in which ovulation is triggered with human chorionic gonadotrophin (hCG); ovarian stimulation cycles with or without letrozole; and hormone replacement therapy (HRT) cycles with or without pituitary downregulation [9]. Among these, HRT-FET cycles are widely adopted due to their predictability, scheduling flexibility, and low cancelation risk, especially in anovulatory women [7,9]. However, the absence of a corpus luteum in HRT cycles has been linked to altered maternal vascular physiology and an increased risk of adverse obstetric outcomes, such as hypertensive disorders, abnormal birthweight, and macrosomia [9,11]. For these reasons, women capable of spontaneous ovulation are generally advised to prioritize natural cycle regimens [9].
Progesterone (P) plays a central role in the luteal phase by inducing secretory transformation of the endometrium, ensuring embryo implantation, and supporting early gestation [12,13]. Women undergoing HRT-FET cycles cannot produce sufficient endogenous luteal P and therefore require exogenous supplementation [14,15]. Different routes of P administration, including oral, intramuscular, vaginal, rectal, and subcutaneous preparations, have been explored, each differing in pharmacokinetics, serum bioavailability, tolerability, and patient preference [9]. Vaginal and intramuscular preparations are the most widely used. Intramuscular injections are frequently employed in FET cycles to achieve high serum concentrations and high clinical pregnancy rates (CPRs) [10]; however, most patients prefer vaginal administration due to greater convenience, ease of use, and reduced pain [9,16]. Oral P, although convenient, is generally avoided due to its low bioavailability and reduced efficacy in ART [16]. Dydrogesterone, a synthetic progestin with enhanced oral bioavailability, has increasingly been used as an adjunct to other administration routes to improve pregnancy outcomes [9,16,17]. Despite the unquestionable importance of P, the optimal regimen and monitoring strategy remain debated [7,18].
Growing evidence suggests that serum P levels on or immediately before the day of FET influence reproductive success [14,19]. Several studies report poorer outcomes when serum P concentrations fall below a minimal effective threshold, proposing values between 7 and 11 ng/mL depending on protocol, measurement timing, and route of administration [19,20]. Conversely, excessively elevated serum P concentrations have also been associated with reduced implantation in some cohorts, raising concerns about supraphysiologic exposure [14,21,22]. Although a P threshold of 10 ng/mL is the most commonly reported in the literature, reflecting the currently accepted indicator of adequate corpus luteum function [23], no consensus exists regarding the optimal serum P concentration on the day of embryo transfer with respect to pregnancy rates and early pregnancy loss in women undergoing FET cycles [7,13,20]. The heterogeneity of protocols, formulations, and laboratory assays across centers partly explains the inconsistent findings, leading many authors to recommend institution-specific thresholds and individualization of luteal support strategies [7,15].
Given the heterogeneity and limited strength of the literature, the present study aims to investigate the predictive value of serum P in cryopreserved embryo transfer cycles above which pregnancy rates do not decline in our center. To this end, we seek to evaluate the association between serum P levels measured on the day of FET and pregnancy and neonatal outcomes in women undergoing IVF or ICSI with transfer of frozen–thawed embryos at different developmental stages. In addition, we aim to assess patients’ baseline characteristics according to serum P levels on the day of FET.

2. Materials and Methods

2.1. Study Design

A retrospective cohort study was conducted at the Center of Assisted Medical Procreation of Centro Materno-Infantil do Norte Dr. Albino Aroso and included all FET procedures performed between November 2021 and July 2023.

2.2. Study Population

A total of 417 FET cycles were performed during the described period, of which 313 met the inclusion criteria. Eligible participants were women aged 18 to 40 years who underwent HRT-FET with their own oocytes and had serum P levels measured on the day of FET. Exclusion criteria included patients with known Müllerian malformations, and cases with incomplete or missing data.

2.3. Study Protocol

2.3.1. Endometrial Preparation

Endometrial preparation was achieved through sequential administration of oral estradiol (Zumenon® or Estrofem®) 2 mg every 8 h, starting 15 days after subcutaneous injection of goserelin acetate (Zoladex®) 3.6 mg/24 h in the midluteal phase of the preceding cycle. After 7 days of estrogen therapy, a transvaginal ultrasound was performed to assess endometrial thickness. In patients with an endometrium <8 mm, oral estradiol 2 mg every 6 h was extended for up to 4 additional days, if required. When a triple-line endometrium of ≥8 mm thickness was observed, exogenous P supplementation was initiated using micronized P vaginal capsules (Cyclogest®) 400 mg every 12 h. Due to the absence of a corpus luteum and endogenous sex steroid production, exogenous hormone therapy was continued until 12 completed weeks of gestation.

2.3.2. Embryo Transfer

Embryos were previously generated through IVF or ICSI cycles and vitrified on day 3 or at the blastocyst stage. Embryo quality was assessed morphologically, with the embryologist making the final decision regarding which embryo to transfer. Transfers were performed 3 or 5–6 days after initial P administration, depending on the developmental embryo stage. On the day of FET, a blood sample was collected between 8 a.m. and 10 a.m. for serum P measurement. Preferably, a single embryo was transferred in each cycle. All transfers were performed under ultrasound guidance, and both the number of embryos transferred and their developmental stage were recorded. Serum hCG testing was performed 14 days after FET, and routine ultrasound follow-up was conducted 28 days after the procedure.

2.4. General Characteristics of Included Patients

Baseline patient characteristics were obtained from the database of the Center of Assisted Medical Procreation. Variables included maternal age, maternal body mass index (BMI), duration of infertility, type of infertility (primary or secondary), infertility diagnosis (female factor, male factor, combined factors, or unexplained), fertilization method (IVF and/or ICSI), number of FET cycles, serum P level on the day of FET, number of embryos transferred (single or double), and embryo stage at transfer (cleavage of blastocyst).
Infertility duration was calculated in months from the time the couple began attempting conception until the day of the FET. Primary infertility was defined as the absence of any prior pregnancy, whereas secondary infertility referred to cases in which at least one previous pregnancy had occurred. Female factor infertility included cases with isolated female reproductive issues, such as tubal factor, endometriosis, ovulatory dysfunction, oocyte factor, and uterine factor (excluding uterine malformations). Male factor infertility included oligoasthenoteratozoospermia and paraplegia. All cases in which both female and male factors contributed to the infertility were classified as having combined factors. Unexplained infertility was defined as the absence of identifiable causes; however, due to the small number of these cases and their lack of statistical significance, they were excluded from the analysis to allow more accurate comparison among the three primary infertility categories.

2.5. Clinical Outcomes

Pregnancy and neonatal outcomes were obtained from the same database.
Regarding the pregnancy outcomes, the primary endpoint was the association between serum P levels on the day of FET and LBR per cycle, defined as the proportion of the number of deliveries that resulted in at least one live birth (≥24 weeks of gestation) among all transfer cycles. Secondary endpoints included positive β-hCG test rate, biochemical pregnancy rate, implantation rate, CPR, early miscarriage rate, and ongoing pregnancy rate (OPR). A β-hCG test was considered positive if levels exceeded 25 IU/L. Biochemical pregnancy rate was defined as the proportion of patients with a positive β-hCG test without a visible gestational sac on ultrasound. CPR was defined as the proportion of patients with an ultrasound confirmation of at least one intrauterine gestational sac after 6 weeks of gestation among all embryo transfer cycles. Implantation rate was defined as the number of gestational sacs per transferred embryos. Early miscarriage rate was defined as the proportion of patients with pregnancy lost before 12 completed weeks of gestation; no late miscarriages were observed. OPR was defined as the proportion of patients with a gestational sac showing fetal heart activity on ultrasound examination at 13 weeks of gestation among all embryo transfer cycles.
Neonatal outcomes included the number of neonates (singletons or twins), gestational age at birth, birthweight, preterm birth (PTB), low birthweight (LBW), major congenital malformations, and neonatal death. PTB was defined as birth before 37 completed weeks of gestation, and LBW was defined as birthweight below 2500 g. Percentages were calculated based on the number of births.

2.6. Statistical Analysis

Three different thresholds were considered in assessing the association between serum P levels and both baseline characteristics and FET outcomes: (1) a fixed threshold of 10 ng/mL; (2) stratification into four quartiles (Qs) based on 25th, 50th and 75th percentiles; and (3) receiver operating characteristic (ROC)-derived optimal P cut-off for predicting CPR.
P levels measured on the day of FET were categorized into Qs based on the distribution of the study population. The serum P intervals obtained for each Q were as follows: Q1 < 7.30 ng/mL; Q2: 7.30–10.26 ng/mL; Q3: 10.27–13.42 ng/mL; and Q4 > 13.42 ng/mL (Figure 1).
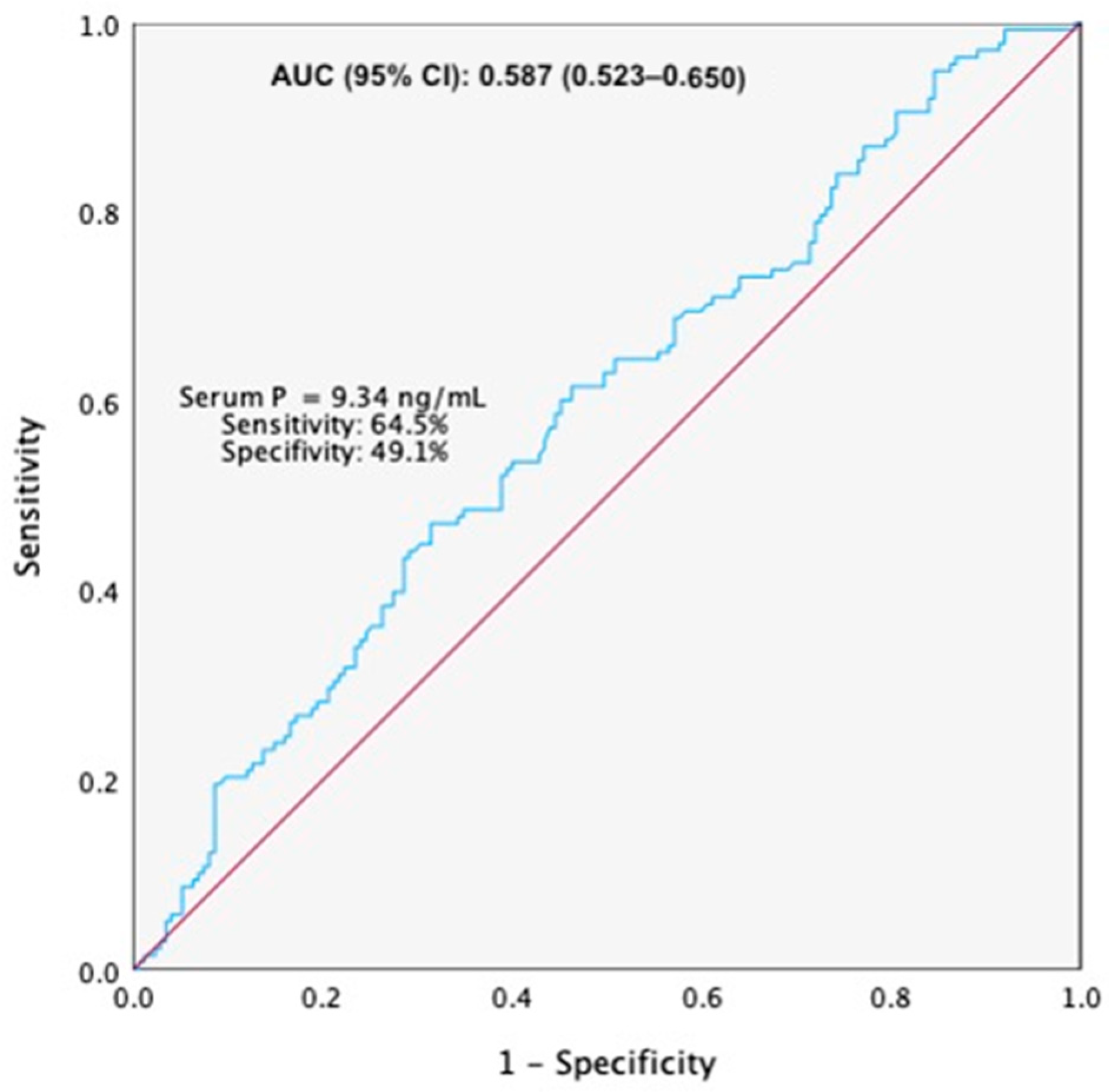
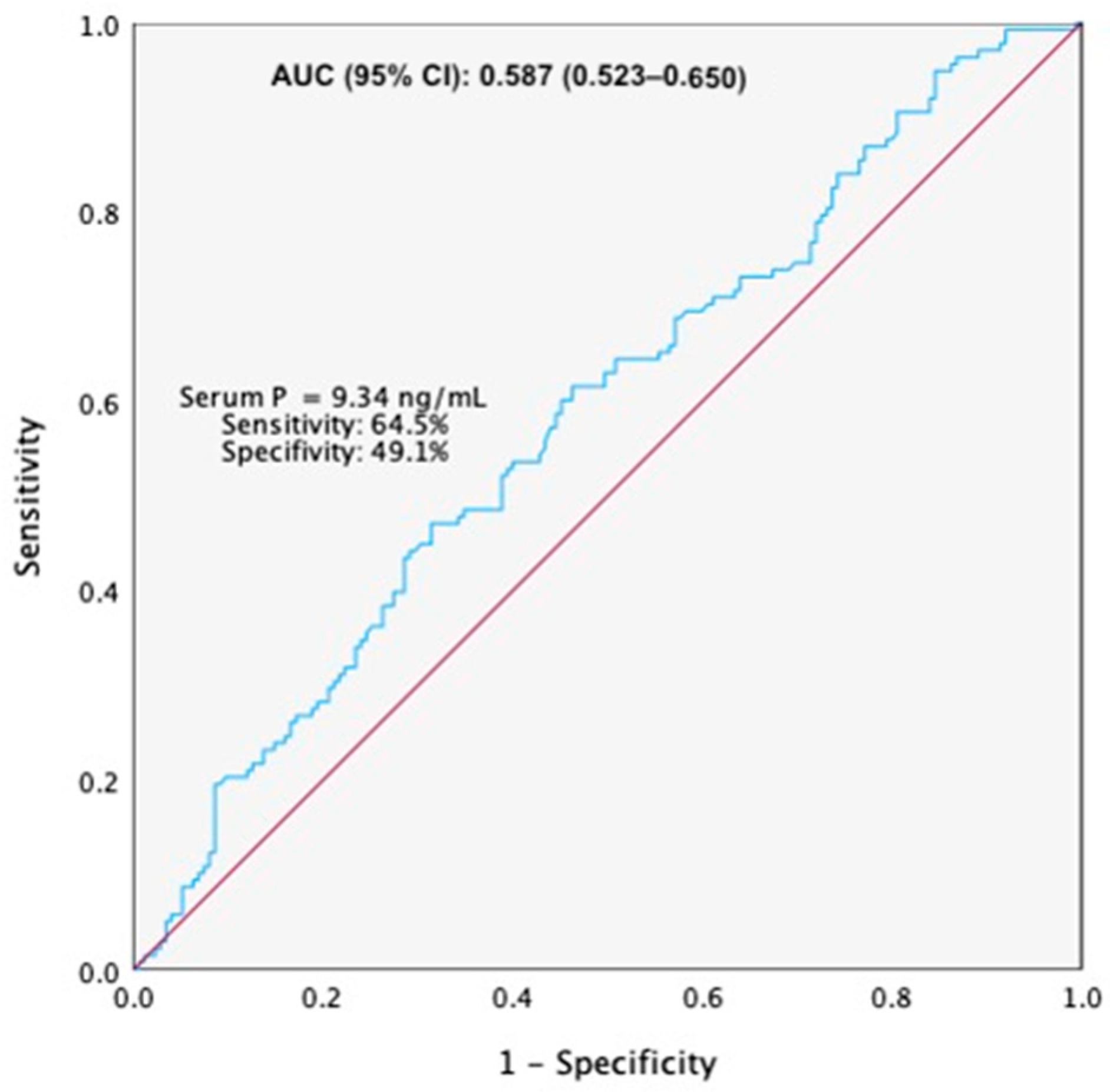
The selection of the optimal P cut-off was based on ROC curve analysis, which identified this value as providing the best balance between sensitivity and specificity for predicting clinical pregnancy in our cohort. ROC curve demonstrated a significant predictive value of serum P levels on the day of embryo transfer for CPR, with an AUC (95% CI) = 0.587 (0.523–0.650) (Figure 2). The optimal cut-off value for predicting CPR was a serum P level of 9.34 ng/mL, corresponding to a sensitivity of 64.5% and a specificity of 49.1%.
A schematic conceptual model illustrating the three analytical strategies used to evaluate the association between serum P levels on the day of FET and baseline characteristics and reproductive outcomes is presented in Figure 3.
Continuous variables are presented as mean ± standard deviation and were compared using the t-test or One-Way ANOVA, as appropriate. APGAR scores are reported as median (interquartile range). Categorical variables are presented as frequencies and percentages, and between-group differences were assessed using Chi-square test or Fisher’s exact test. The association between serum P levels and pregnancy outcomes was assessed using univariate and multivariate logistic regression analyses. To adjust for potential confounders, those variables were introduced into the regression model. These included maternal age, maternal BMI, duration of infertility, infertility diagnosis, P level on the day of FET, number of embryos transferred, and embryo stage at transfer.
All p values were based on two-sided tests, and p < 0.05 was considered statistically significant.
The statistical analysis was performed using IBM SPSS Statistics version 29.0 software.

3. Results

A total of 313 FET cycles were analyzed in terms of demographic characteristics and reproductive outcomes. Patients’ mean age was 34.2 ± 3.9 years and mean BMI was 24.8 ± 4.6 kg/m2. The main indication for FET was freeze-all cycles. There was a wide range of observed P levels on the day of FET (0.12–39.57 ng/mL), with a mean value of 10.98 ± 6.37 ng/mL.
When considering the P threshold of 10 ng/mL, baseline patient characteristics were largely similar between groups (Table 1). The only significant difference was observed for maternal BMI, which was slightly higher in the p < 10 ng/mL group compared to the p ≥ 10 ng/mL group (25.37 ± 4.71 vs. 24.27 ± 4.38; p = 0.034). No significant differences were found when the remaining baseline characteristics were analyzed. Mean serum P levels on the day of FET were 6.49 ± 2.62 ng/mL in the p < 10 ng/mL group and 15.38 ± 5.87 ng/mL in the p ≥ 10 ng/mL group (p < 0.001).
Significant differences were observed in pregnancy outcomes according to the 10 ng/mL serum P threshold (Table 2). Patients with serum P levels < 10 ng/mL on the day of FET had significantly lower positive β-hCG test rates, implantation rates, and CPR compared with those with p ≥ 10 ng/mL: 40.0% (62/155) vs. 59.5% (84/158) (p = 0.020); 31.1% (60/193) vs. 46.2% (91/197) (p = 0.002); and 37.4% (58/155) vs. 50.6% (80/158) (p = 0.019), respectively. No significant differences were found between the two groups in biochemical pregnancy rate, early miscarriage rate, OPR, or LBR.
Additionally, no significant differences were observed between the two groups when neonatal outcomes were analyzed (Table 3).
By categorizing the P levels into Qs, no significant differences were found among groups in either baseline characteristics or reproductive outcomes (Table 4, Table 5 and Table 6).
Considering the P threshold of 9.34 ng/mL, almost no significant differences were observed between groups when baseline patient characteristics were analyzed (Table 7). The two groups, p < 9.34 ng/mL and p ≥ 9.34 ng/mL, differed significantly only in maternal BMI (25.53 ± 4.77 vs. 24.27 ± 4.34; p = 0.015). No significant differences were identified in the remaining baseline characteristics. The mean serum P levels on the day of FET were 6.02 ± 2.49 ng/mL and 14.73 ± 5.83 ng/mL in the p < 9.34 ng/mL and p ≥ 9.34 ng/mL groups, respectively (p < 0.001).
Several statistically significant differences were observed when assessing pregnancy outcomes according to the serum P threshold of 9.34 ng/mL (Table 8). Patients with serum P levels < 9.34 ng/mL on the day of FET had significantly poorer pregnancy outcomes than those with p ≥ 9.34 ng/mL, including: positive β-hCG test rate [(38.5% (52/135) vs. 52.8% (94/178), p = 0.012]; implantation rate [30.0% (51/170) vs. 45.5% (100/220), p = 0.002]; CPR [36.3% (49/135) vs. 50.0% (89/178), p = 0.016]; OPR [24.4% (33/135) vs. 37.6% (67/178), p = 0.013]; and LBR [24.4% (33/135) vs. 37.6% (67/178), p = 0.013]. No significant differences were identified when biochemical pregnancy rate and early miscarriage rate were analyzed.
In the multivariate analysis, the factors significantly associated with positive β-hCG test were infertility diagnosis involving combined female and male factors (adjusted OR = 2.51, 95% CI: 1.29–4.87, p = 0.007), the number of embryos transferred (adjusted OR = 1.95, 95% CI: 1.08–3.53, p = 0.028), and serum P levels ≥ 9.34 ng/mL on the day of FET (adjusted OR = 2.04, 95% CI: 1.23–3.37, p = 0.006) (Table 9). Regarding CPR, maternal age (adjusted OR = 0.94, 95% CI: 0.88–1.01, p = 0.042), infertility diagnosis combining female and male factors (adjusted OR = 2.50, 95% CI: 1.28–4.85, p = 0.007), number of embryos transferred (adjusted OR = 1.98, 95% CI: 1.09–3.58, p = 0.024), and serum P levels ≥ 9.34 ng/mL (adjusted OR = 1.92, 95% CI: 1.16–3.19, p = 0.011) were significantly associated with this outcome. Additionally, the multivariate analysis showed that factors significantly associated with LBR included maternal age (adjusted OR = 0.92, 95% CI: 0.86–1.00, p = 0.036), number of embryos transferred (adjusted OR = 2.73, 95% CI: 1.47–5.10, p = 0.002), and serum P levels ≥ 9.34 ng/mL on the day of FET (adjusted OR = 2.10, 95% CI: 1.20–3.67, p = 0.009). Overall, the multivariate analysis identified serum P levels ≥ 9.34 ng/mL on the day of FET as an independent predictive factor for pregnancy outcomes.
Regarding the neonatal outcomes of live-born infants according to the serum P threshold of 9.34 ng/mL, no statistically significant differences were found between the groups for any of the evaluated parameters (Table 10).

4. Discussion

The present study demonstrates a significant association between serum P levels on the day of FET and pregnancy outcomes in artificial cycles using vaginal micronized P. Regarding P threshold of 10 ng/mL, univariate analyses showed that patients with serum P levels ≥ 10 ng/mL on the FET day had significantly higher rates of positive β-hCG testing, implantation, and clinical pregnancy. Further analysis using a data-derived threshold of 9.34 ng/mL revealed that patients with serum P levels above this value exhibited significantly higher positive β-hCG test rates, implantation rates, CPR, OPR, and LBR. Although the early miscarriage rate was not statistically different between groups, there was a trend toward a lower rate among patients with P levels ≥ 9.34 ng/mL. After adjusting for potential confounders, serum P levels ≥ 9.34 ng/mL remained significantly associated with an increased likelihood of achieving a positive β-hCG test, clinical pregnancy, and live birth. Therefore, serum P levels above this P cut-off appear to be an independent predictive factor for pregnancy outcomes. Although values close to this threshold (such as 7 ng/mL or 8 ng/mL) may also have potential relevance, they did not yield superior predictive performance in our analysis. Higher P concentrations (>>9.34 ng/mL) may raise clinical uncertainties, as excessively elevated levels have been suggested in some studies to be associated with impaired implantation [22].
Although previous studies have proposed variable minimal effective serum P thresholds, our findings align with the lower range of previously reported thresholds [12,24,25,26], reinforcing that achieving a minimal adequate exposure is critical for endometrial receptivity in HRT cycles. While 9.34 ng/mL emerged as the optimal threshold in our dataset, further multicenter and large-scale studies are needed to confirm whether this value or potentially lower thresholds can be applied more broadly in routine clinical practice.
The variability between studies likely reflects differences in endometrial preparation protocols, P formulations, routes of administration, and monitoring strategies across centers [7,27]. As such, many authors recommend that establishing center-specific reference values may be preferable to adopting a universal threshold. Conversely, inter-individual variability in P absorption, metabolism and bioavailability has been increasingly recognized as a possible contributor to suboptimal serum levels despite standardized protocols [16,21,28]. This reinforces current discussions regarding the need for a careful monitoring of serum P levels during the luteal phase to allow for a rescue P protocol and the potential value of individualized luteal support [13].
Our findings contribute to this body of evidence by reinforcing the challenges of clinical use of a single P cut-off value. First, although low serum P levels have been associated with poorer reproductive outcomes, it is still unclear whether adjusting P supplementation in real time is sufficient to reverse this risk. Second, the extent to which serum values accurately reflect endometrial exposure remains debated, and the clinical benefit of modifying P regimens based on isolated measurements is still not well established. Third, the inter-individual variability and the absence of a standardized monitoring protocol across centers limits the generalizability of any proposed P cut-off. Therefore, the problem highlighted by our findings is not only the identification of a minimum P threshold but also the need to determine how clinicians should intervene when levels fall below this range—an aspect that remains unresolved in current literature.
We also identified other known predictors of reproductive success. As reported in previous studies [29,30,31,32], advanced maternal age was associated with lower LBR, whereas double-embryo transfer increased the likelihood of live birth compared with single-embryo transfer. These observations further validate the representativeness of our study population.
In addition to pregnancy outcomes, attention has been drawn to the potential impact of serum P levels on neonatal outcomes [9]. In our study, no statistically significant differences were observed for PTB, LBW, major congenital malformations, and early neonatal death, across the three P-defined thresholds. The absence of statistical significance may reflect limited statistical power to detect subtle differences, as well as the inherent variability of neonatal parameters. Additionally, several relevant maternal and clinical factors that were not captured in the present study could have influenced neonatal outcomes, such as maternal age, BMI, underlying comorbidities, obstetric history, lifestyle factors, as well as differences in embryo quality or laboratory and neonatal care practices. These unmeasured confounders may have diluted potential associations between serum P levels and neonatal results. Notably, previous studies have also reported minimal or inconsistent effects of P levels on neonatal outcomes after FET [16], suggesting that P may play a more substantial role in endometrial preparation and implantation rather than in later stages of fetal development. Future studies with larger cohorts and more comprehensive perinatal data collection are warranted to clarify these relationships.
This study has some inherent limitations. The main limitation is its retrospective design, which limits causal inference and precludes to conclude on how to optimize reproductive outcomes in women with low serum p values. In addition, the relatively small sample size, resulting from the short study period and the exclusion of cases with missing data, may reduce statistical power. Although analyses were adjusted to reduce the risk of confounding, selection bias cannot be entirely excluded. Embryo aneuploidy is a known contributor to implantation failure; however, the potential influence of embryo ploidy and quality on this finding was not ruled out. Endometrial thickness and pattern were also not assessed in the present study, although previous evidence suggests minimal impact of these parameters on implantation and pregnancy rates [33].
Overall, our findings underscore both the clinical relevance and the complexity of determining an optimal serum P level in artificial-cycle FET and highlight the continued need for prospective well-designed studies to determine whether targeted interventions can effectively improve pregnancy outcomes.

5. Conclusions

In this study, serum P levels ≥ 9.34 ng/mL on the day of FET were associated with higher clinical pregnancy and LBR in HRT cycles using intravaginal P. No significant differences were observed in neonatal outcomes (PTB, LBW, congenital malformations, early neonatal death) across different P thresholds.
These findings reinforce the importance of achieving a minimal serum P level to optimize pregnancy outcomes in HRT cycles. Inter-individual variability supports the potential value of individualized serum monitoring to identify patients at risk of suboptimal luteal support.
Future research should evaluate individualized P supplementation strategies in cases of low serum levels and investigate whether increasing P dosage or introducing alternative administration routes can effectively improve reproductive outcomes.

Author Contributions

Conceptualization, A.B.d.A., C.R.S. and M.B.; methodology, A.B.d.A., C.R.S. and M.B.; formal analysis, A.B.d.A., C.L. (Carolina Lemos) and C.R.S.; data curation, C.L. (Carla Leal); writing—original draft preparation, A.B.d.A. and C.R.S.; writing—review and editing, all authors; supervision, H.F. and M.B. All authors have read and agreed to the published version of the manuscript.

Funding

This research received no external funding.

Institutional Review Board Statement

The study was conducted in accordance with the Declaration of Helsinki, and approved by the Ethics Committee of Unidade Local de Saúde de Santo António (N/REF.2023-238 (201-DEFI/190-CE)) (2024-02-04).

Informed Consent Statement

Informed consent was obtained from all subjects involved in the study.

Data Availability Statement

The data presented in this study are available on request from the corresponding author due to the privacy of individuals that participated in the study.

Acknowledgments

We gratefully acknowledge the role of all the experts who voluntarily participated in this study, namely Emidio Vale-Fernandes, Ana Rocha, Cláudia Lourenço, Isabel Sousa Pereira, and the embryologists Daniela Sousa and Raquel Brandão.

Conflicts of Interest

The authors declare no conflicts of interest.

Abbreviations

The following abbreviations are used in this manuscript:
ARTAssisted reproductive technology
AUCArea under the curve
BMIBody mass index
CIConfidence interval
CPRClinical pregnancy rate
FETFrozen–thawed embryo transfer
hCGHuman chorionic gonadotrophin
HRTHormone replacement therapy
ICSIIntracytoplasmic sperm injection
IVFIn vitro fertilization
LBRLive birth rate
LBWLow birthweight
OPROngoing pregnancy rate
OROdds ratio
PProgesterone
PTBPreterm birth
QQuartile
ROCReceiver operating characteristic

References

  1. World Health Organization. Infertility Prevalence Estimates, 1990–2021; World Health Organization: Geneva, Switzerland, 2023.
  2. World Health Organization ICD-11 International Classification of Diseases, 11th Revision. Available online: https://icd.who.int/en (accessed on 24 April 2025).
  3. Cox, C.M.; Thoma, M.E.; Tchangalova, N.; Mburu, G.; Bornstein, M.J.; Johnson, C.L.; Kiarie, J. Infertility Prevalence and the Methods of Estimation from 1990 to 2021: A Systematic Review and Meta-Analysis. Hum. Reprod. Open 2022, 2022, hoac051. [Google Scholar] [CrossRef]
  4. American College of Obstetricians and Gynecologists’ Committee on Obstetric Practice; Committee on Genetics; U.S. Food and Drug Administration. Committee Opinion No 671: Perinatal Risks Associated with Assisted Reproductive Technology. Obstet. Gynecol. 2016, 128, e61–e68. [Google Scholar] [CrossRef]
  5. Smeenk, J.; Wyns, C.; de Geyter, C.; Kupka, M.; Bergh, C.; Saiz, I.C.; Rezabek, K.; Neubourg, D. De ART in Europe, 2019: Results Generated from European Registries by ESHRE. Hum. Reprod. 2023, 38, 2321–2338. [Google Scholar] [CrossRef]
  6. Graham, M.E.; Jelin, A.; Hoon, A.H.; Wilms Floet, A.M.; Levey, E.; Graham, E.M. Assisted Reproductive Technology: Short- and Long-Term Outcomes. Dev. Med. Child Neurol. 2023, 65, 38–49. [Google Scholar] [CrossRef]
  7. Volovsky, M.; Pakes, C.; Rozen, G.; Polyakov, A. Do Serum Progesterone Levels on Day of Embryo Transfer Influence Pregnancy Outcomes in Artificial Frozen-Thaw Cycles? J. Assist. Reprod. Genet. 2020, 37, 1129–1135. [Google Scholar] [CrossRef]
  8. Groenewoud, E.R.; Cantineau, A.E.P.; Kollen, B.J.; Macklon, N.S.; Cohlen, B.J. What Is the Optimal Means of Preparing the Endometrium in Frozen-Thawed Embryo Transfer Cycles? A Systematic Review and Meta-Analysis. Hum. Reprod. Update 2013, 19, 458–470. [Google Scholar] [CrossRef] [PubMed]
  9. Zhang, Y.; Fu, X.; Gao, S.; Gao, S.; Gao, S.; Ma, J.; Chen, Z.J. Preparation of the Endometrium for Frozen Embryo Transfer: An Update on Clinical Practices. Reprod. Biol. Endocrinol. 2023, 21, 52. [Google Scholar] [CrossRef]
  10. Jiang, L.; Luo, Z.Y.; Hao, G.M.; Gao, B.L. Effects of Intramuscular and Vaginal Progesterone Supplementation on Frozen-Thawed Embryo Transfer. Sci. Rep. 2019, 9, 15264. [Google Scholar] [CrossRef] [PubMed]
  11. Hu, K.-L.; Zhang, D.; Li, R. Endometrium Preparation and Perinatal Outcomes in Women Undergoing Single-Blastocyst Transfer in Frozen Cycles. Fertil. Steril. 2021, 115, 1487–1494. [Google Scholar] [CrossRef]
  12. Gaggiotti-Marre, S.; Martinez, F.; Coll, L.; Garcia, S.; Álvarez, M.; Parriego, M.; Barri, P.N.; Polyzos, N.; Coroleu, B. Low Serum Progesterone the Day Prior to Frozen Embryo Transfer of Euploid Embryos Is Associated with Significant Reduction in Live Birth Rates. Gynecol. Endocrinol. 2019, 35, 439–442. [Google Scholar] [CrossRef] [PubMed]
  13. Labarta, E.; Rodríguez, C. Progesterone Use in Assisted Reproductive Technology. Best Pract. Res. Clin. Obstet. Gynaecol. 2020, 69, 74–84. [Google Scholar] [CrossRef] [PubMed]
  14. Kofinas, J.D.; Blakemore, J.; McCulloh, D.H.; Grifo, J. Serum Progesterone Levels Greater than 20 Ng/Ml on Day of Embryo Transfer Are Associated with Lower Live Birth and Higher Pregnancy Loss Rates. J. Assist. Reprod. Genet. 2015, 32, 1395–1399. [Google Scholar] [CrossRef]
  15. Lim, Y.C.; Hamdan, M.; Maheshwari, A.; Cheong, Y. Progesterone Level in Assisted Reproductive Technology: A Systematic Review and Meta- Analysis. Sci. Rep. 2024, 14, 30826. [Google Scholar] [CrossRef]
  16. Zhu, Q.; Huang, J.; Lin, Y.; Jiang, L.; Huang, X.; Zhu, J. Association between Serum Progesterone Levels on the Day of Frozen-Thawed Embryo Transfer and Pregnancy Outcomes after Artificial Endometrial Preparation. BMC Pregnancy Childbirth 2023, 23, 401. [Google Scholar] [CrossRef] [PubMed]
  17. Xu, H.; Zhang, X.; Zhu, X.; Weng, H.; Xu, L.; Huang, L.; Liu, F. Journal of Gynecology Obstetrics and Human Reproduction Comparison of Vaginal Progesterone Gel Combined with Oral Dydrogesterone vs. Intramuscular Progesterone for Luteal Support in Hormone Replacement Therapy-Frozen Embryo Transfer Cycle. J. Gynecol. Obstet. Hum. Reprod. 2021, 50, 102110. [Google Scholar] [CrossRef] [PubMed]
  18. van der Linden, M.; Buckingham, K.; Farquhar, C.; Kremer, J.A.M.; Metwally, M. Luteal Phase Support for Assisted Reproduction Cycles. Cochrane Database Syst. Rev. 2015, 2015, CD009154. [Google Scholar] [CrossRef]
  19. Melo, P.; Wood, S.; Petsas, G.; Chung, Y.; Easter, C.; Price, M.J.; Fishel, S.; Khairy, M.; Kingsland, C.; Lowe, P.; et al. The Effect of Frozen Embryo Transfer Regimen on the Association between Serum Progesterone and Live Birth: A Multicentre Prospective Cohort Study (ProFET). Hum. Reprod. Open 2022, 2022, hoac054. [Google Scholar] [CrossRef]
  20. Melo, P.; Chung, Y.; Pickering, O.; Price, M.J.; Fishel, S.; Khairy, M.; Kingsland, C.; Lowe, P.; Petsas, G.; Rajkhowa, M.; et al. Serum Luteal Phase Progesterone in Women Undergoing Frozen Embryo Transfer in Assisted Conception: A Systematic Review and Meta-Analysis. Fertil. Steril. 2021, 116, 1534–1556. [Google Scholar] [CrossRef]
  21. Yovich, J.L.; Conceicao, J.L.; Stanger, J.D.; Hinchliffe, P.M.; Keane, K.N. Mid-Luteal Serum Progesterone Concentrations Govern Implantation Rates for Cryopreserved Embryo Transfers Conducted under Hormone Replacement. Reprod. Biomed. Online 2015, 31, 180–191. [Google Scholar] [CrossRef]
  22. Alyasin, A.; Agha-hosseini, M.; Kabirinasab, M.; Saeidi, H. Serum Progesterone Levels Greater than 32. 5 Ng / Ml on the Day of Embryo Transfer Are Associated with Lower Live Birth Rate after Artificial Endometrial Preparation: A Prospective Study. Reprod. Biol. Endocrinol. 2021, 19, 24. [Google Scholar] [CrossRef]
  23. Jordan, J.; Craig, K.; Clifton, D.K.; Soules, M.R. Luteal Phase Defect: The Sensitivity and Specificity of Diagnostic Methods in Common Clinical Use. Fertil. Steril. 1994, 62, 54–62. [Google Scholar] [CrossRef]
  24. Cédrin-Durnerin, I.; Isnard, T.; Mahdjoub, S.; Sonigo, C.; Seroka, A.; Comtet, M.; Herbemont, C.; Sifer, C.; Grynberg, M. Serum Progesterone Concentration and Live Birth Rate in Frozen–Thawed Embryo Transfers with Hormonally Prepared Endometrium. Reprod. Biomed. Online 2019, 38, 472–480. [Google Scholar] [CrossRef]
  25. Labarta, E.; Mariani, G.; Holtmann, N.; Celada, P.; Remohí, J.; Bosch, E. Low Serum Progesterone on the Day of Embryo Transfer Is Associated with a Diminished Ongoing Pregnancy Rate in Oocyte Donation Cycles after Artificial Endometrial Preparation: A Prospective Study. Hum. Reprod. 2017, 32, 2437–2442. [Google Scholar] [CrossRef]
  26. Labarta, E.; Mariani, G.; Paolelli, S.; Rodriguez-Varela, C.; Vidal, C.; Giles, J.; Bellver, J.; Cruz, F.; Marzal, A.; Celada, P.; et al. Impact of Low Serum Progesterone Levels on the Day of Embryo Transfer on Pregnancy Outcome: A Prospective Cohort Study in Artificial Cycles with Vaginal Progesterone. Hum. Reprod. 2021, 36, 683–692. [Google Scholar] [CrossRef] [PubMed]
  27. Fruchter, R.B.; Nothman, S.; Baram, S.; Geslevich, Y.; Weiss, A. Progesterone and Estrogen Levels Are Associated with Live Birth Rates Following Artificial Cycle Frozen Embryo Transfers. J. Assist. Reprod. Genet. 2021, 38, 2925–2931. [Google Scholar] [CrossRef] [PubMed]
  28. Mumusoglu, S.; Polat, M.; Ozbek, I.Y.; Bozdag, G.; Papanikolaou, E.G.; Esteves, S.C.; Humaidan, P.; Yarali, H. Preparation of the Endometrium for Frozen Embryo Transfer: A Systematic Review. Front. Endocrinol. 2021, 12, 688237. [Google Scholar] [CrossRef] [PubMed]
  29. Lin, J.; Huang, J.; Zhu, Q.; Kuang, Y.; Cai, R.; Wang, Y. Effect of Maternal Age on Pregnancy or Neonatal Outcomes Among 4,958 Infertile Women Using a Freeze-All Strategy. Front. Med. 2020, 6, 4–11. [Google Scholar] [CrossRef] [PubMed]
  30. Zhu, Q.; Chen, Q.; Wang, L.; Lu, X.; Lyu, Q.; Wang, Y.; Kuang, Y. Live Birth Rates in the First Complete IVF Cycle among 20 687 Women Using a Freeze-All Strategy. Hum. Reprod. 2018, 33, 924–929. [Google Scholar] [CrossRef]
  31. Pan, Y.; Hao, G.; Wang, Q.; Liu, H.; Wang, Z.; Jiang, Q.; Shi, Y.; Chen, Z.J. Major Factors Affecting the Live Birth Rate After Frozen Embryo Transfer Among Young Women. Front. Med. 2020, 7, 94. [Google Scholar] [CrossRef]
  32. Holschbach, V.; Kordes, H.; Dietrich, J.E.; Bruckner, T.; Strowitzki, T.; Germeyer, A. Patient- and Cycle-Specific Factors Affecting the Outcome of Frozen–Thawed Embryo Transfers. Arch. Gynecol. Obstet. 2023, 307, 2001–2010. [Google Scholar] [CrossRef]
  33. Gingold, J.A.; Lee, J.A.; Rodriguez-Purata, J.; Whitehouse, M.; Sandler, B.; Grunfeld, L.; Mukherjee, T.; Copperman, A.B. Endometrial Pattern but Not Endometrial Thickness Impacts Implantation Rates in Euploid Embryo Transfers. Fertil. Steril. 2015, 104, 620–628. [Google Scholar] [CrossRef] [PubMed]
Figure 1. Serum P levels on the day of FET categorized into Qs based on the study population distribution: Q1 < 7.30 ng/mL; Q2: 7.30–10.26 ng/mL; Q3: 10.27–13.42 ng/mL; Q4 > 13.42 ng/mL.
Figure 1. Serum P levels on the day of FET categorized into Qs based on the study population distribution: Q1 < 7.30 ng/mL; Q2: 7.30–10.26 ng/mL; Q3: 10.27–13.42 ng/mL; Q4 > 13.42 ng/mL.
Reprodmed 06 00039 g001
Figure 2. ROC curve for predicting CPR based on serum P levels on the day of FET. AUC-area under the curve. The curve shows the trade-off between sensitivity and specificity for different P levels. The optimal P cut-off was 9.34 ng/mL, yielding 64.5% sensitivity and 49.1% specificity.
Figure 2. ROC curve for predicting CPR based on serum P levels on the day of FET. AUC-area under the curve. The curve shows the trade-off between sensitivity and specificity for different P levels. The optimal P cut-off was 9.34 ng/mL, yielding 64.5% sensitivity and 49.1% specificity.
Reprodmed 06 00039 g002
Figure 3. Schematic conceptual model illustrating the study design and the three analytical strategies used to evaluate the association between serum P levels on the day of FET and reproductive outcomes.
Figure 3. Schematic conceptual model illustrating the study design and the three analytical strategies used to evaluate the association between serum P levels on the day of FET and reproductive outcomes.
Reprodmed 06 00039 g003
Table 1. Baseline characteristics according to the serum P threshold of 10 ng/mL on the day of FET.
Table 1. Baseline characteristics according to the serum P threshold of 10 ng/mL on the day of FET.
P < 10P ≥ 10p-Value
No. of cycles 155158
Maternal age (years)34.28 ± 3.6234.11 ± 4.120.699
Maternal BMI (kg/m2)25.37 ± 4.7124.27 ± 4.380.034
Duration of infertility (months)51.20 ± 22.8251.70 ± 24.490.851
Type of infertility, n (%) 0.394
Primary133 (85.8)130 (82.3)
Secondary22 (14.2)28 (17.7)
Infertility diagnosis, n (%) 0.391
Female factor42 (28.2)54 (35.5)
Male factor33 (22.1)31 (20.4)
Combined74 (49.7)67 (44.1)
Fertilization method, n (%) 0.650
IVF54 (34.8)62 (39.3)
ICSI75 (48.4)74 (46.8)
IVF+ICSI26 (16.8)22 (13.9)
Number of FET cycles n (%) 0.170
1 cycle116 (74.8)103 (65.2)
2 cycles28 (18.1)38 (24.0)
3 or more cycles11 (7.1)17 (10.8)
P level on embryo transfer day (ng/mL)6.49 ± 2.6215.38 ± 5.87<0.001
No. of embryos transferred, n (%) 0.973
Single117 (75.5)119 (75.3)
Double38 (24.5)39 (24.7)
Embryo stage at transfer, n (%) 0.969
Cleavage8 (5.2)8 (5.1)
Blastocyst147 (94.8)150 (94.9)
BMI—body mass index; FET—frozen–thawed embryo transfer; ICSI—intracytoplasmic sperm injection; IVF—in vitro fertilization; P—progesterone. Data are expressed as mean ± standard deviation or number (percentage).
Table 2. Pregnancy outcomes according to the serum P threshold of 10 ng/mL on the day of FET.
Table 2. Pregnancy outcomes according to the serum P threshold of 10 ng/mL on the day of FET.
P < 10P ≥ 10p-Value
Positive β-hCG test, n/N (%)62/155 (40.0)84/158 (59.5)0.020
Biochemical pregnancy rate, n/N (%)4/62 (6.5)4/84 (4.8)0.723
Implantation rate, n/N (%)60/193 (31.1)91/197 (46.2)0.002
Clinical pregnancy rate, n/N (%)58/155 (37.4)80/158 (50.6)0.019
Early miscarriage rate, n/N (%)16/58 (27.6)22/80 (27.5)0.992
Ongoing pregnancy rate, n/N (%)42/155 (27.1)58/158 (36.7)0.068
Live birth rate, n/N (%)42/155 (27.1)58/158 (36.7)0.068
hCG—human chorionic gonadotrophin; P—progesterone. Data are expressed as frequency (percentage).
Table 3. Neonatal outcomes of live-born infants according to the serum P threshold of 10 ng/mL on the day of FET.
Table 3. Neonatal outcomes of live-born infants according to the serum P threshold of 10 ng/mL on the day of FET.
P < 10P ≥ 10p-Value
No. of births4258
No. of neonates, n (%) 1.000
Singletons40 (90.9)54 (97.1)
Twins4 (9.1)8 (12.9)
Gestational age (weeks)37.81 ± 2.3237.95 ± 2.660.787
Birthweight (g)3074.79 ± 599.293103.19 ± 615.860.818
Preterm birth, n (%)8 (19.0)12 (20.7)0.839
Low birthweight, n (%)7 (16.7)6 (10.3)0.354
APGAR
1st minute9 (9;9)9 (8;9)0.975
5th minute10 (10;10)10 (9;10)0.990
Major congenital malformations, n (%)2 (4.8)2 (3.4)1.000
Early neonatal death, n (%)0 (0.0)2 (3.4)0.508
P—progesterone. Data are expressed as mean ± standard deviation or number (percentage). APGAR is presented as median (interquartile range).
Table 4. Baseline characteristics according to serum P quartiles (ng/mL) on the day of FET.
Table 4. Baseline characteristics according to serum P quartiles (ng/mL) on the day of FET.
Q1 (<7.30)Q2 (7.30–10.26)Q3 (10.27–13.42)Q4 (>13.42)p-Value
No. of cycles 78797977
Maternal age (years)34.23 ± 3.5434.28 ± 3.6833.72 ± 4.1834.55 ± 4.090.606
Maternal BMI (kg/m2)25.15 ± 4.7525.59 ± 4.8023.92 ± 4.1824.59 ± 4.420.113
Duration of infertility (months)54.35 ± 25.5348.44 ± 19.6053.85 ± 24.9449.16 ± 23.910.264
Type of infertility, n (%) 0.599
Primary69 (88.5)66 (83.5)66 (83.5)62 (80.5)
Secondary9 (11.5)13 (16.5)13 (16.5)15 (19.5)
Infertility diagnosis, n (%) 0.329
Female factor18 (24.3)24 (31.2)25 (33.8)29 (38.2)
Male factor18 (24.3)16 (20.8)11 (14.9)19 (25.0)
Combined38 (51.4)37 (48.0)38 (51.3)28 (36.8)
Fertilization method, n (%) 0.331
IVF29 (37.2)25 (31.6)28 (35.4)34 (44.2)
ICSI34 (43.6)42 (53.2)36 (45.6)37 (48.0)
IVF+ICSI15 (19.2)12 (15.2)15 (19.0)6 (7.8)
Number of FET cycles n (%) 0.067
1 cycle52 (66.7)66 (83.5)54 (68.4)47 (61.0)
2 cycles19 (24.3)9 (11.4)19 (24.0)19 (24.7)
3 or more cycles7 (9)4 (5.1)6 (7.6)11 (14.3)
P level on embryo transfer day (ng/mL)4.41 ± 2.078.63 ± 0.8211.79 ± 0.9719.20 ± 6.43<0.001
No. of embryos transferred, n (%) 0.998
Single59 (75.6)60 (75.9)59 (74.7)58 (75.3)
Double19 (24.4)19 (24.1)20 (25.3)19 (24.7)
Embryo stage at transfer, n (%) 0.474
Cleavage3 (3.8)5 (6.3)6 (7.6)2 (2.6)
Blastocyst75 (96.2)74 (93.7)73 (92.4)75 (97.4)
BMI—body mass index; FET—frozen–thawed embryo transfer; ICSI—intracytoplasmic sperm injection; IVF—in vitro fertilization; P—progesterone; Q—quartile. Data are expressed as mean ± standard deviation or number (percentage).
Table 5. Pregnancy outcomes according to serum P quartiles (ng/mL) on the day of FET.
Table 5. Pregnancy outcomes according to serum P quartiles (ng/mL) on the day of FET.
Q1 (<7.30)Q2 (7.30–10.26)Q3 (10.27–13.42)Q4 (>13.42)p-Value
Positive β-hCG test, n/N (%)29/78 (37.2)34/79 (43.0)39/79 (49.4)44/77 (57.1)0.076
Biochemical pregnancy rate, n/N (%)0/29 (0.0)4/34 (11.8)1/39 (2.5)3/44 (6.8)0.167
Implantation rate, n/N (%)30/97 (30.9)31/98 (31.6)44/99 (44.4)46/96 (47.9)0.055
Clinical pregnancy rate, n/N (%)29/78 (37.2)30/79 (38.0)38/79 (48.1)41/77 (53.2)0.119
Early miscarriage rate, n/N (%)10/29 (34.5)6/30 (20.0)10/38 (26.3)12/41 (29.3)0.649
Ongoing pregnancy rate, n/N (%)19/78 (24.4)24/79 (30.4)28/79 (35.4)29/77 (37.7)0.289
Live birth rate, n/N (%)19/78 (24.4)24/79 (30.4)28/79 (35.4)29/77 (37.7)0.289
hCG—human chorionic gonadotrophin; Q—quartile. Data are expressed as frequency (percentage).
Table 6. Neonatal outcomes of live-born infants according to the serum P quartiles (ng/mL) on the day of FET.
Table 6. Neonatal outcomes of live-born infants according to the serum P quartiles (ng/mL) on the day of FET.
Q1 (<7.30)Q2 (7.30–10.26)Q3 (10.27–13.42)Q4 (>13.42)p-Value
No. of births19242829
No. of neonates, n (%) 0.966
Singletons18 (90.0)23 (92.0)26 (86.7)27 (87.1)
Twins2 (10.0)2 (8.0)4 (13.3)4 (12.9)
Gestational age (weeks)38.53 ± 1.5437.25 ± 2.6438.32 ± 2.4537.59 ± 2.890.260
Birthweight (g)3200.79 ± 502.022995.46 ± 658.603123.39 ± 615.743067.76 ± 630.220.725
Preterm birth, n (%)2 (10.5)6 (25.0)5 (17.9)7 (24.1)0.608
Low birthweight, n (%)2 (10.5)5 (20.8)2 (7.1)4 (13.8)0.518
APGAR
1st minute9 (9;9)9 (9;9)9 (8;9)9 (8;9)0.973
5th minute10 (10;10)10 (10;10)10 (9;10)10 (9;10)0.978
Major congenital malformations, n (%)0 (0.0)2 (8.3)2 (7.1)0 (0.0)0.273
Early neonatal death, n (%)0 (0.0)0 (0.0)1 (3.6)1 (3.4)0.673
Q—quartile. Data are expressed as mean ± standard deviation or number (percentage). APGAR is presented as median (interquartile range).
Table 7. Baseline characteristics according to the serum P threshold of 9.34 ng/mL on the day of FET.
Table 7. Baseline characteristics according to the serum P threshold of 9.34 ng/mL on the day of FET.
P < 9.34P ≥ 9.34p-Value
No. of cycles 135178
Maternal age (years)34.30 ± 3.6234.11 ± 4.070.678
Maternal BMI (kg/m2)25.53 ± 4.7724.27 ± 4.340.015
Duration of infertility (months)50.96 ± 22.7151.83 ± 24.380.746
Type of infertility, n (%) 0.424
Primary116 (85.9)147 (82.6)
Secondary19 (14.1)31 (17.4)
Infertility diagnosis, n (%) 0.213
Female factor36 (27.7)60 (35.1)
Male factor33 (25.4)31 (18.1)
Combined61 (46.9)80 (46.8)
Fertilization method, n (%) 0.343
IVF46 (34.1)70 (39.3)
ICSI64 (47.4)85 (47.8)
IVF+ICSI25 (18.5)23 (12.9)
Number of FET cycles n (%) 0.500
1 cycle99 (73.3)120 (67.4)
2 cycles26 (19.3)40 (22.5)
3 or more cycles10 (7.4)18 (10.1)
P level on embryo transfer day (ng/mL)6.02 ± 2.4914.73 ± 5.83<0.001
No. of embryos transferred, n (%) 0.635
Single100 (74.1)136 (76.4)
Double35 (25.9)42 (23.6)
Embryo stage at transfer, n (%) 0.959
Cleavage7 (5.2)9 (5.1)
Blastocyst128 (94.8)169 (94.9)
BMI—body mass index; FET—frozen–thawed embryo transfer; ICSI—intracytoplasmic sperm injection; IVF—in vitro fertilization; P—progesterone. Data are expressed as mean ± standard deviation or number (percentage).
Table 8. Pregnancy outcomes according to the serum P threshold of 9.34 ng/mL on the day of FET.
Table 8. Pregnancy outcomes according to the serum P threshold of 9.34 ng/mL on the day of FET.
P < 9.34P ≥ 9.34p-Value
Positive β-hCG test, n/N (%)52/135 (38.5)94/178 (52.8)0.012
Biochemical pregnancy rate, n/N (%)3/52 (5.8)5/94 (5.3)1.000
Implantation rate, n/N (%)51/170 (30.0)100/220 (45.5)0.002
Clinical pregnancy rate, n/N (%)49/135 (36.3)89/178 (50.0)0.016
Early miscarriage rate, n/N (%)16/49 (32.7)22/89 (24.7)0.318
Ongoing pregnancy rate, n/N (%)33/135 (24.4)67/178 (37.6)0.013
Live birth rate, n/N (%)33/135 (24.4)67/178 (37.6)0.013
hCG—human chorionic gonadotrophin; P—progesterone. Data are expressed as frequency (percentage).
Table 9. Multivariate logistic regression analysis of factors related to pregnancy outcomes, P threshold 9.34 ng/mL.
Table 9. Multivariate logistic regression analysis of factors related to pregnancy outcomes, P threshold 9.34 ng/mL.
Adjusted OR (95% CI)p-Value
Positive β-hCG test
Maternal age (years)0.95 (0.89–1.01)0.119
Maternal BMI (kg/m2)0.99 (0.94–1.05)0.742
Duration of infertility (months)1.00 (0.99–1.01)0.576
Infertility diagnosis
Female factorReference
Male factor1.34 (0.61–2.91)0.466
Combined2.51 (1.29–4.87)0.007
No. of embryos transferred
SingleReference
Double1.95 (1.08–3.53)0.028
Embryo stage at transfer
CleavageReference
Blastocyst2.53 (0.66–9.74)0.178
P ≥ 9.34 ng/mL2.04 (1.23–3.37)0.006
Clinical pregnancy rate
Maternal age (years)0.94 (0.88–1.01)0.042
Maternal BMI (kg/m2)0.98 (0.92–1.04)0.446
Duration of infertility (months)1.00 (0.98–1.01)0.507
Infertility diagnosis
Female factorReference
Male factor1.18 (0.54–2.60)0.675
Combined2.50 (1.28–4.85)0.007
No. of embryos transferred
SingleReference
Double1.98 (1.09–3.58)0.024
Embryo stage at transfer
CleavageReference
Blastocyst2.23 (0.58–8.54)0.243
P ≥ 9.34 ng/mL1.92 (1.16–3.19)0.011
Live birth rate
Maternal age (years)0.92 (0.86–1.00)0.036
Maternal BMI (kg/m2)0.96 (0.90–1.02)0.238
Duration of infertility (months)0.99 (0.98–1.00)0.178
Infertility diagnosis
Female factorReference
Male factor1.26 (0.53–2.97)0.599
Combined1.93 (0.95–3.91)0.070
No. of embryos transferred
SingleReference
Double2.73 (1.47–5.10)0.002
Embryo stage at transfer
CleavageReference
Blastocyst4.93 (0.60–40.52)0.138
P ≥ 9.34 ng/mL2.10 (1.20–3.67)0.009
BMI—body mass index; CI—confidence interval; hCG—human chorionic gonadotrophin; OR—odds ratio; P—progesterone.
Table 10. Neonatal outcomes of live-born infants according to the serum P threshold of 9.34 ng/mL on the day of FET.
Table 10. Neonatal outcomes of live-born infants according to the serum P threshold of 9.34 ng/mL on the day of FET.
P < 9.34P ≥ 9.34p-Value
No. of births3367
No. of neonates, n (%) 1.000
Singletons31 (88.6)63 (88.7)
Twins4 (11.4)8 (11.3)
Gestational age (weeks)37.70 ± 2.5337.99 ± 2.510.592
Birthweight (g)3054.12 ± 656.843109.55 ± 583.740.669
Preterm birth, n (%)7 (21.2)13 (19.4)0.832
Low birthweight, n (%)7 (21.2)6 (8.9)0.115
APGAR
1st minute9 (9;9)9 (8;9)0.999
5th minute10 (10;10)10 (9;10)0.964
Major congenital malformations, n (%)1 (3.0)3 (4.5)1.000
Early neonatal death, n (%)0 (0.0)2 (3.0)1.000
P—progesterone. Data are expressed as mean ± standard deviation or number (percentage). APGAR is presented as median (interquartile range).
Disclaimer/Publisher’s Note: The statements, opinions and data contained in all publications are solely those of the individual author(s) and contributor(s) and not of MDPI and/or the editor(s). MDPI and/or the editor(s) disclaim responsibility for any injury to people or property resulting from any ideas, methods, instructions or products referred to in the content.

Share and Cite

MDPI and ACS Style

Ribeiro Silva, C.; Almeida, A.B.d.; Lemos, C.; Leal, C.; Ferreira, H.; Barreiro, M. Association Between Serum Progesterone Levels on the Day of Frozen–Thawed Embryo Transfer and Pregnancy and Neonatal Outcomes. Reprod. Med. 2025, 6, 39. https://doi.org/10.3390/reprodmed6040039

AMA Style

Ribeiro Silva C, Almeida ABd, Lemos C, Leal C, Ferreira H, Barreiro M. Association Between Serum Progesterone Levels on the Day of Frozen–Thawed Embryo Transfer and Pregnancy and Neonatal Outcomes. Reproductive Medicine. 2025; 6(4):39. https://doi.org/10.3390/reprodmed6040039

Chicago/Turabian Style

Ribeiro Silva, Cristiana, Ana Beatriz de Almeida, Carolina Lemos, Carla Leal, Hélder Ferreira, and Márcia Barreiro. 2025. "Association Between Serum Progesterone Levels on the Day of Frozen–Thawed Embryo Transfer and Pregnancy and Neonatal Outcomes" Reproductive Medicine 6, no. 4: 39. https://doi.org/10.3390/reprodmed6040039

APA Style

Ribeiro Silva, C., Almeida, A. B. d., Lemos, C., Leal, C., Ferreira, H., & Barreiro, M. (2025). Association Between Serum Progesterone Levels on the Day of Frozen–Thawed Embryo Transfer and Pregnancy and Neonatal Outcomes. Reproductive Medicine, 6(4), 39. https://doi.org/10.3390/reprodmed6040039

Article Metrics

Back to TopTop