Exploring DNA Nanostructures as Surface Engineering Techniques for Optimizing Nucleic Acid Biosensor Performance
Abstract
1. Introduction
2. Tetrahedral DNA Nanostructures
2.1. Overview
2.2. Structure and Assembly
2.3. Signal Amplification Methods
2.4. Biocompatibility
2.5. Future Research and Limitations
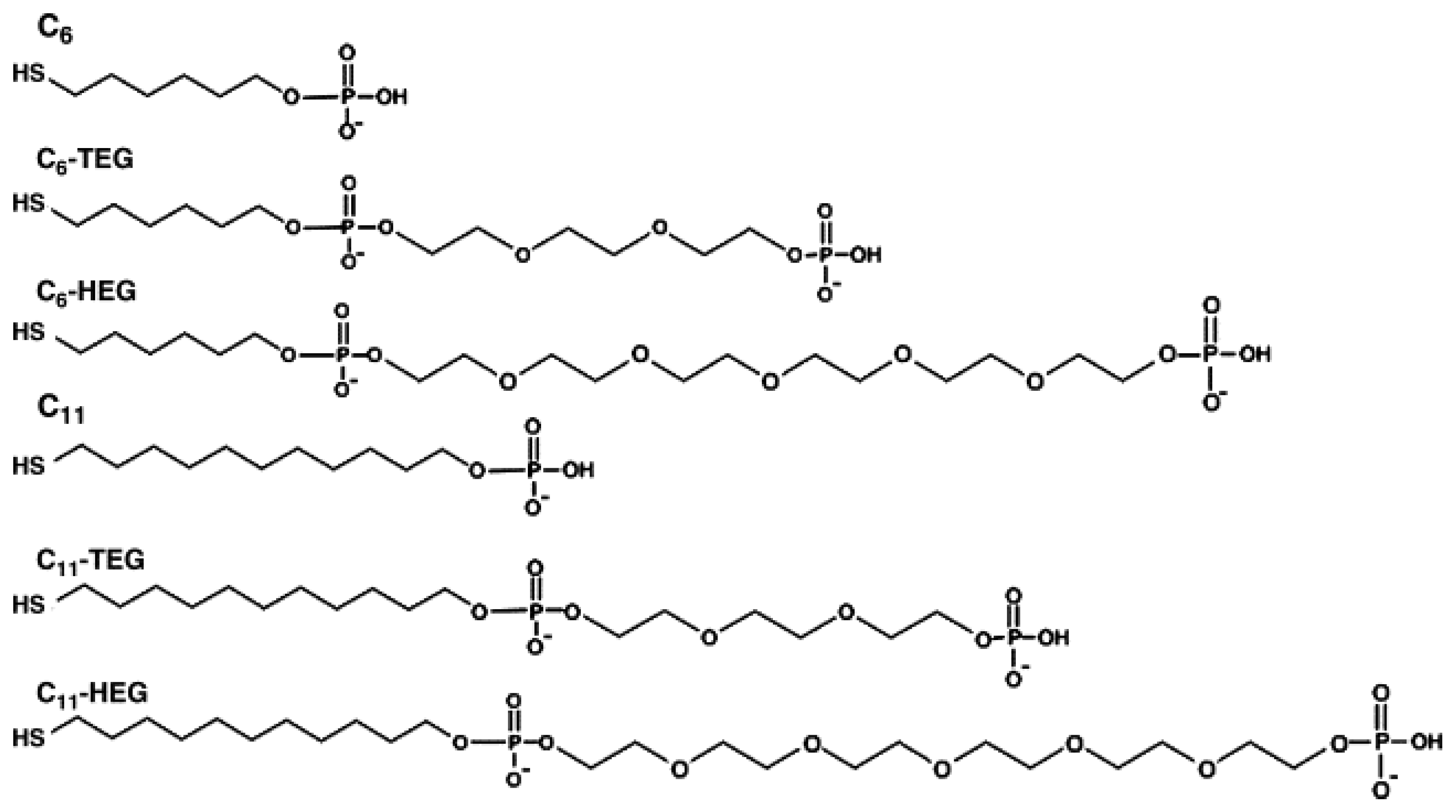
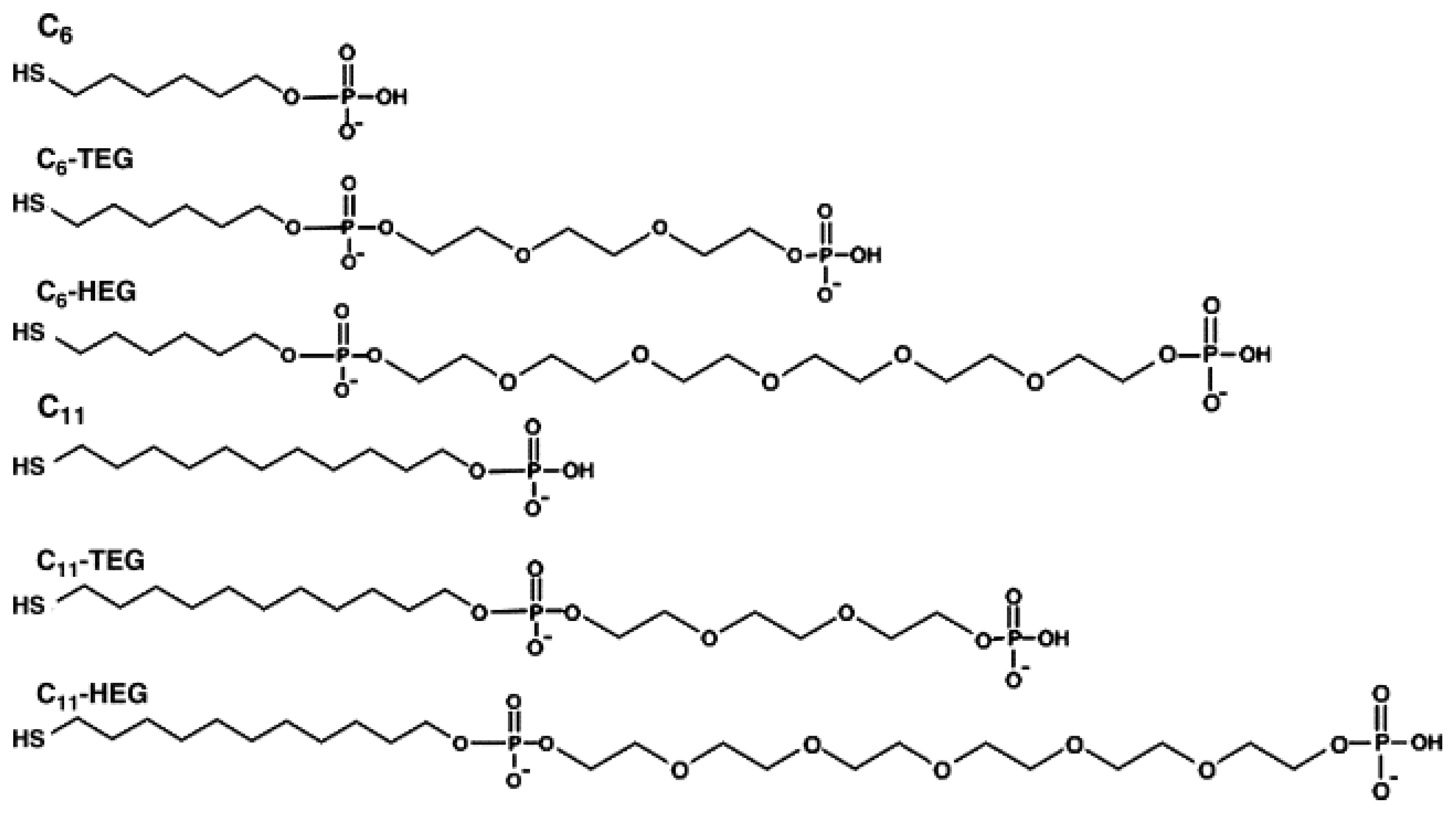
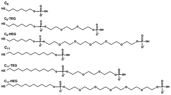
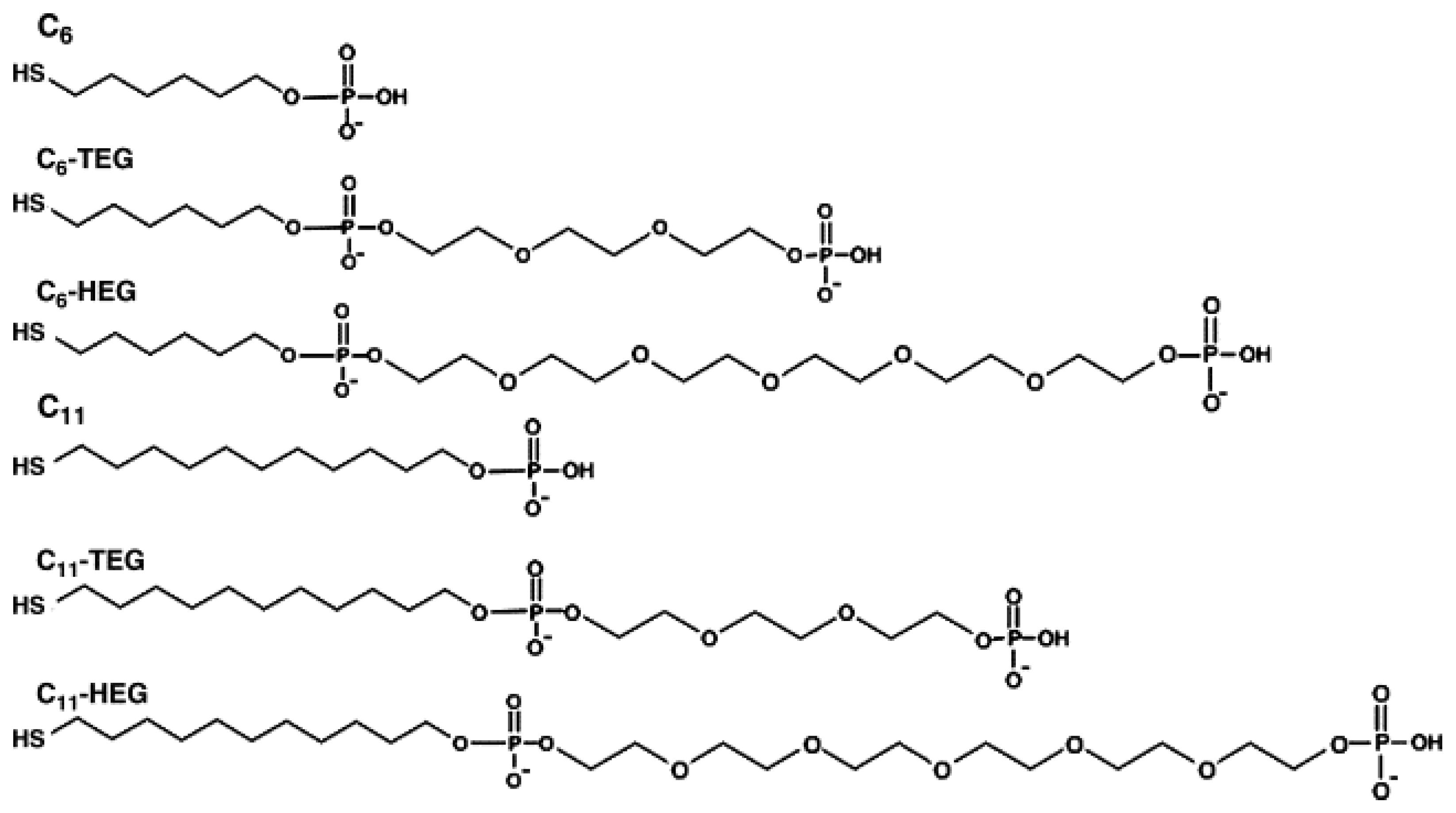
3. Self-Assembled Monolayers
3.1. Overview

3.2. Signal Amplification Methods
3.3. Applications of SAMs
3.4. Limitations
4. DNA-Based Hydrogels
4.1. Overview
4.2. Structure and Assembly
4.3. Signal Production and Amplification
4.4. Biocompatibility
4.5. Future Research and Limitations
5. Conclusions
Author Contributions
Funding
Institutional Review Board Statement
Informed Consent Statement
Data Availability Statement
Acknowledgments
Conflicts of Interest
References
- Wang, J.; Chao, J.; Liu, H.; Su, S.; Wang, L.; Huang, W.; Willner, I.; Fan, C. Clamped Hybridization Chain Reactions for the Self-Assembly of Patterned DNA Hydrogels. Angew. Chem. Int. Ed. Engl. 2017, 56, 2171–2175. [Google Scholar] [CrossRef]
- Sun, X.; Agate, S.; Salem, K.S.; Lucia, L.; Pal, L. Hydrogel-Based Sensor Networks: Compositions, Properties, and Applications-A Review. ACS Appl. Bio Mater. 2021, 4, 140–162. [Google Scholar] [CrossRef]
- Yan, C.; Hua, Y.; Guo, J.; Miao, P. Programmable DNA Hydrogels Construction with Functional Regulations for Biosensing Applications. TrAC Trends Anal. Chem. 2024, 173, 117628. [Google Scholar] [CrossRef]
- Kim, J.; Shim, J.S.; Han, B.H.; Kim, H.J.; Park, J.; Cho, I.-J.; Kang, S.G.; Kang, J.Y.; Bong, K.W.; Choi, N. Hydrogel-Based Hybridization Chain Reaction (HCR) for Detection of Urinary Exosomal miRNAs as a Diagnostic Tool of Prostate Cancer. Biosens. Bioelectron. 2021, 192, 113504. [Google Scholar] [CrossRef] [PubMed]
- Cai, W.; Xie, S.; Zhang, J.; Tang, D.; Tang, Y. An Electrochemical Impedance Biosensor for Hg2+ Detection Based on DNA Hydrogel by Coupling with DNAzyme-Assisted Target Recycling and Hybridization Chain Reaction. Biosens. Bioelectron. 2017, 98, 466–472. [Google Scholar] [CrossRef] [PubMed]
- Zhang, Y.; Wang, W.; Zhou, X.; Lin, H.; Zhu, X.; Lou, Y.; Zheng, L. CRISPR-Responsive RCA-Based DNA Hydrogel Biosensing Platform with Customizable Signal Output for Rapid and Sensitive Nucleic Acid Detection. Anal. Chem. 2024, 96, 15998–16006. [Google Scholar] [CrossRef]
- Wang, S.; Liu, Y.; Liu, R.; Xie, L.; Yang, H.; Ge, S.; Yu, J. Strand Displacement Amplification Triggered 3D DNA Roller Assisted CRISPR/Cas12a Electrochemiluminescence Cascaded Signal Amplification for Sensitive Detection of Ec-16S rDNA. Anal. Chim. Acta 2024, 1291, 342213. [Google Scholar] [CrossRef]
- Zhang, T.; Tao, Q.; Bian, X.-J.; Chen, Q.; Yan, J. Rapid Visualized Detection of Escherichia Coli O157:H7 by DNA Hydrogel Based on Rolling Circle Amplification. Chin. J. Anal. Chem. 2021, 49, 377–386. [Google Scholar] [CrossRef]
- Lattuada, E.; Leo, M.; Caprara, D.; Salvatori, L.; Stoppacciaro, A.; Sciortino, F.; Filetici, P. DNA-GEL, Novel Nanomaterial for Biomedical Applications and Delivery of Bioactive Molecules. Front. Pharmacol. 2020, 11, 01345. [Google Scholar] [CrossRef]
- Acharya, R.; Dutta, S.D.; Mallik, H.; Patil, T.V.; Ganguly, K.; Randhawa, A.; Kim, H.; Lee, J.; Park, H.; Mo, C.; et al. Physical Stimuli-Responsive DNA Hydrogels: Design, Fabrication Strategies, and Biomedical Applications. J. Nanobiotechnol. 2025, 23, 233. [Google Scholar] [CrossRef]
- Nishikawa, M.; Ogawa, K.; Umeki, Y.; Mohri, K.; Kawasaki, Y.; Watanabe, H.; Takahashi, N.; Kusuki, E.; Takahashi, R.; Takahashi, Y.; et al. Injectable, Self-Gelling, Biodegradable, and Immunomodulatory DNA Hydrogel for Antigen Delivery. J. Control Release 2014, 180, 25–32. [Google Scholar] [CrossRef]
- Bush, J.; Hu, C.-H.; Veneziano, R. Mechanical Properties of DNA Hydrogels: Towards Highly Programmable Biomaterials. Appl. Sci. 2021, 11, 1885. [Google Scholar] [CrossRef]
- Lin, M.; Song, P.; Zhou, G.; Zuo, X.; Aldalbahi, A.; Lou, X.; Shi, J.; Fan, C. Electrochemical Detection of Nucleic Acids, Proteins, Small Molecules and Cells Using a DNA-Nanostructure-Based Universal Biosensing Platform. Nat. Protoc. 2016, 11, 1244–1263. [Google Scholar] [CrossRef]
- Bai, H.; Wang, Y.; Li, X.; Guo, J. Electrochemical Nucleic Acid Sensors: Competent Pathways for Mobile Molecular Diagnostics. Biosens. Bioelectron. 2023, 237, 115407. [Google Scholar] [CrossRef] [PubMed]
- Yang, L.; Zhou, Y.; Li, H.; Gao, Y.; Xiong, X.; Zhang, T.; Zhu, L.; Yang, X. Electrochemical Biosensor Based on a Tetrahedral DNA Nanostructure and an “AND” Logic Gate-Regulated Cascade Amplification System for Parallel Detection of Dual Disease Biomarkers. ACS Sens. 2025, 10, 7744–7756. [Google Scholar] [CrossRef] [PubMed]
- Sandhyarani, N. Surface Modification Methods for Electrochemical Biosensors. In Electrochemical Biosensors; Elsevier: Amsterdam, The Netherlands, 2019; pp. 45–75. ISBN 978-0-12-816491-4. [Google Scholar]
- Hashkavayi, A.B.; Raoof, J.B. Nucleic Acid–Based Electrochemical Biosensors. In Electrochemical Biosensors; Elsevier: Amsterdam, The Netherlands, 2019; pp. 253–276. ISBN 978-0-12-816491-4. [Google Scholar]
- Nascimento, G.A.; Souza, E.V.M.; Campos-Ferreira, D.S.; Arruda, M.S.; Castelletti, C.H.M.; Wanderley, M.S.O.; Ekert, M.H.F.; Bruneska, D.; Lima-Filho, J.L. Electrochemical DNA Biosensor for Bovine Papillomavirus Detection Using Polymeric Film on Screen-Printed Electrode. Biosens. Bioelectron. 2012, 38, 61–66. [Google Scholar] [CrossRef] [PubMed]
- Singh, R.; Sumana, G.; Verma, R.; Sood, S.; Sood, K.N.; Gupta, R.K.; Malhotra, B.D. Fabrication of Neisseria Gonorrhoeae Biosensor Based on Chitosan–MWCNT Platform. Thin Solid Film. 2010, 519, 1135–1140. [Google Scholar] [CrossRef]
- Moustakim, H.; Mohammadi, H.; Amine, A. Electrochemical DNA Biosensor Based on Immobilization of a Non-Modified ssDNA Using Phosphoramidate-Bonding Strategy and Pencil Graphite Electrode Modified with AuNPs/CB and Self-Assembled Cysteamine Monolayer. Sensors 2022, 22, 9420. [Google Scholar] [CrossRef]
- Ge, Z.; Lin, M.; Wang, P.; Pei, H.; Yan, J.; Shi, J.; Huang, Q.; He, D.; Fan, C.; Zuo, X. Hybridization Chain Reaction Amplification of MicroRNA Detection with a Tetrahedral DNA Nanostructure-Based Electrochemical Biosensor. Anal. Chem. 2014, 86, 2124–2130. [Google Scholar] [CrossRef]
- Santos, A.; Piccoli, J.P.; Santos-Filho, N.A.; Cilli, E.M.; Bueno, P.R. Redox-Tagged Peptide for Capacitive Diagnostic Assays. Biosens. Bioelectron. 2015, 68, 281–287. [Google Scholar] [CrossRef]
- Sun, L.; Hu, N.; Peng, J.; Chen, L.; Weng, J. DNA Mutation: Ultrasensitive Detection of Mitochondrial DNA Mutation by Graphene Oxide/DNA Hydrogel Electrode (Adv. Funct. Mater. 44/2014). Adv. Funct. Mater. 2014, 24, 6897. [Google Scholar] [CrossRef]
- Carr, O.; Raymundo-Pereira, P.A.; Shimizu, F.M.; Sorroche, B.P.; Melendez, M.E.; de Oliveira Pedro, R.; Miranda, P.B.; Carvalho, A.L.; Reis, R.M.; Arantes, L.M.R.B.; et al. Genosensor Made with a Self-Assembled Monolayer Matrix to Detect MGMT Gene Methylation in Head and Neck Cancer Cell Lines. Talanta 2020, 210, 120609. [Google Scholar] [CrossRef] [PubMed]
- Chen, M.; Zhang, J.; Peng, Y.; Bai, J.; Li, S.; Han, D.; Ren, S.; Qin, K.; Zhou, H.; Han, T.; et al. Design and Synthesis of DNA Hydrogel Based on EXPAR and CRISPR/Cas14a for Ultrasensitive Detection of Creatine Kinase MB. Biosens. Bioelectron. 2022, 218, 114792. [Google Scholar] [CrossRef]
- Loughrey, C.M.; Young, I.S. Clinical Biochemistry of the Cardiovascular System. In Clinical Biochemistry: Metabolic and Clinical Aspects; Elsevier: Amsterdam, The Netherlands, 2014; pp. 737–766. ISBN 978-0-7020-5140-1. [Google Scholar]
- Ranallo, S.; Porchetta, A.; Ricci, F. DNA-Based Scaffolds for Sensing Applications. Anal. Chem. 2019, 91, 44–59. [Google Scholar] [CrossRef]
- Goodman, R.P.; Schaap, I.a.T.; Tardin, C.F.; Erben, C.M.; Berry, R.M.; Schmidt, C.F.; Turberfield, A.J. Rapid Chiral Assembly of Rigid DNA Building Blocks for Molecular Nanofabrication. Science 2005, 310, 1661–1665. [Google Scholar] [CrossRef]
- Zhang, T.; Tian, T.; Zhou, R.; Li, S.; Ma, W.; Zhang, Y.; Liu, N.; Shi, S.; Li, Q.; Xie, X.; et al. Design, Fabrication and Applications of Tetrahedral DNA Nanostructure-Based Multifunctional Complexes in Drug Delivery and Biomedical Treatment. Nat. Protoc. 2020, 15, 2728–2757. [Google Scholar] [CrossRef]
- Qiu, Y.; Qiu, Y.; Zhou, W.; Lu, D.; Wang, H.; Li, B.; Liu, B.; Wang, W. Advancements in Functional Tetrahedral DNA Nanostructures for Multi-Biomarker Biosensing: Applications in Disease Diagnosis, Food Safety, and Environmental Monitoring. Mater. Today Bio 2025, 31, 101486. [Google Scholar] [CrossRef]
- Yang, B.; Wang, H.; Kong, J.; Fang, X. Long-Term Monitoring of Ultratrace Nucleic Acids Using Tetrahedral Nanostructure-Based NgAgo on Wearable Microneedles. Nat. Commun. 2024, 15, 1936. [Google Scholar] [CrossRef] [PubMed]
- Wang, X.; Wu, J.; Mao, W.; He, X.; Ruan, L.; Zhu, J.; Shu, P.; Zhang, Z.; Jiang, B.; Zhang, X. A Tetrahedral DNA Nanostructure-Decorated Electrochemical Platform for Simple and Ultrasensitive EGFR Genotyping of Plasma ctDNA. Analyst 2020, 145, 4671–4679. [Google Scholar] [CrossRef]
- Zeng, D.; Wang, Z.; Meng, Z.; Wang, P.; San, L.; Wang, W.; Aldalbahi, A.; Li, L.; Shen, J.; Mi, X. DNA Tetrahedral Nanostructure-Based Electrochemical miRNA Biosensor for Simultaneous Detection of Multiple miRNAs in Pancreatic Carcinoma. ACS Appl. Mater. Interfaces 2017, 9, 24118–24125. [Google Scholar] [CrossRef]
- Dong, S.; Zhao, R.; Zhu, J.; Lu, X.; Li, Y.; Qiu, S.; Jia, L.; Jiao, X.; Song, S.; Fan, C.; et al. Electrochemical DNA Biosensor Based on a Tetrahedral Nanostructure Probe for the Detection of Avian Influenza A (H7N9) Virus. ACS Appl. Mater. Interfaces 2015, 7, 8834–8842. [Google Scholar] [CrossRef]
- Zhou, Z.; Han, B.; Wang, Y.; Lin, N.; Zhou, Z.; Zhang, Y.; Bai, Y.; Shen, L.; Shen, Y.; Zhang, Y.; et al. Fast and Sensitive Multivalent Spatial Pattern-Recognition for Circular RNA Detection. Nat. Commun. 2024, 15, 10900. [Google Scholar] [CrossRef] [PubMed]
- Shan, L.; Chen, Y.; Tan, X.; Ge, S.; Zhang, L.; Li, L.; Yu, J.; Li, L. Tetrahedral DNA Nanostructure-Engineered Paper-Based Sensor with an Enhanced Antifouling Ability for Photoelectrochemical Sensing. Anal. Chem. 2023, 95, 4760–4767. [Google Scholar] [CrossRef]
- Lichtenberg, J.Y.; Ling, Y.; Kim, S. Non-Specific Adsorption Reduction Methods in Biosensing. Sensors 2019, 19, 2488. [Google Scholar] [CrossRef]
- Vilcapoma, J.; Patel, A.; Chandrasekaran, A.R.; Halvorsen, K. The Role of Size in Biostability of DNA Tetrahedra. Chem. Commun. 2023, 59, 5083–5085. [Google Scholar] [CrossRef]
- Sadowski, J.P.; Calvert, C.R.; Zhang, D.Y.; Pierce, N.A.; Yin, P. Developmental Self-Assembly of a DNA Tetrahedron. ACS Nano 2014, 8, 3251–3259. [Google Scholar] [CrossRef]
- Pei, H.; Zuo, X.; Pan, D.; Shi, J.; Huang, Q.; Fan, C. Scaffolded Biosensors with Designed DNA Nanostructures. NPG Asia Mater. 2013, 5, e51. [Google Scholar] [CrossRef]
- Ma, S.; Ren, Q.; Jiang, L.; Liu, Z.; Zhu, Y.; Zhu, J.; Zhang, Y.; Zhang, M. A Triple-Aptamer Tetrahedral DNA Nanostructures Based Carbon-Nanotube-Array Transistor Biosensor for Rapid Virus Detection. Talanta 2024, 266, 124973. [Google Scholar] [CrossRef]
- Li, M.; Song, L.; Liu, M.; Guo, R.; Lin, M.; Zuo, X. Framework Nucleic Acid-Programmed Sensing Interface with Densely Monodispersed Probes. ACS Nano 2025, 19, 23142–23150. [Google Scholar] [CrossRef]
- Hui, X.; Yang, C.; Li, D.; He, X.; Huang, H.; Zhou, H.; Chen, M.; Lee, C.; Mu, X. Infrared Plasmonic Biosensor with Tetrahedral DNA Nanostructure as Carriers for Label-Free and Ultrasensitive Detection of miR-155. Adv. Sci. 2021, 8, 2100583. [Google Scholar] [CrossRef]
- Koshiol, J.; Wang, E.; Zhao, Y.; Marincola, F.; Landi, M.T. Strengths and Limitations of Laboratory Procedures for microRNA Detection. Cancer Epidemiol. Biomark. Prev. 2010, 19, 907–911. [Google Scholar] [CrossRef]
- Ji, X.; Takahashi, R.; Hiura, Y.; Hirokawa, G.; Fukushima, Y.; Iwai, N. Plasma miR-208 as a Biomarker of Myocardial Injury. Clin. Chem. 2009, 55, 1944–1949. [Google Scholar] [CrossRef]
- Chen, Y.; Gelfond, J.A.L.; McManus, L.M.; Shireman, P.K. Reproducibility of Quantitative RT-PCR Array in miRNA Expression Profiling and Comparison with Microarray Analysis. BMC Genom. 2009, 10, 407. [Google Scholar] [CrossRef] [PubMed]
- Zhao, Z.; Xie, Z.; Chen, S.; Chen, M.; Wang, X.; Yi, G. A Novel Biosensor Based on Tetrahedral DNA Nanostructure and Terminal Deoxynucleotidyl Transferase-Assisted Amplification Strategy for Fluorescence Analysis of Uracil-DNA Glycosylase Activity. Anal. Chim. Acta 2023, 1271, 341432. [Google Scholar] [CrossRef] [PubMed]
- Li, H.; Han, M.; Weng, X.; Zhang, Y.; Li, J. DNA-Tetrahedral-Nanostructure-Based Entropy-Driven Amplifier for High-Performance Photoelectrochemical Biosensing. ACS Nano 2021, 15, 1710–1717. [Google Scholar] [CrossRef]
- Wang, C.; Zhang, H.; Zeng, D.; Sun, W.; Zhang, H.; Aldalbahi, A.; Wang, Y.; San, L.; Fan, C.; Zuo, X.; et al. Elaborately Designed Diblock Nanoprobes for Simultaneous Multicolor Detection of microRNAs. Nanoscale 2015, 7, 15822–15829. [Google Scholar] [CrossRef]
- Lu, J.; Wang, J.; Hu, X.; Gyimah, E.; Yakubu, S.; Wang, K.; Wu, X.; Zhang, Z. Electrochemical Biosensor Based on Tetrahedral DNA Nanostructures and G-Quadruplex–Hemin Conformation for the Ultrasensitive Detection of MicroRNA-21 in Serum. Anal. Chem. 2019, 91, 7353–7359. [Google Scholar] [CrossRef]
- Zhang, H.; Wang, Q.; Yang, X.; Wang, K.; Li, Q.; Li, Z.; Gao, L.; Nie, W.; Zheng, Y. An Isothermal Electrochemical Biosensor for the Sensitive Detection of microRNA Based on a Catalytic Hairpin Assembly and Supersandwich Amplification. Analyst 2017, 142, 389–396. [Google Scholar] [CrossRef] [PubMed]
- Zhang, X.; Li, Z.; Hong, L.; Wang, X.; Cao, J. Tetrahedral DNA Nanostructure-Engineered Paper-Based Electrochemical Aptasensor for Fumonisin B1 Detection Coupled with Au@Pt Nanocrystals as an Amplification Label. J. Agric. Food Chem. 2023, 71, 19121–19128. [Google Scholar] [CrossRef]
- Langlois, N.I.; Clark, H.A. Characterization of DNA Nanostructure Stability by Size Exclusion Chromatography. Anal. Methods 2022, 14, 1006–1014. [Google Scholar] [CrossRef]
- Hisano, O.; Ito, T.; Miura, F. Short Single-Stranded DNAs with Putative Non-Canonical Structures Comprise a New Class of Plasma Cell-Free DNA. BMC Biol. 2021, 19, 225. [Google Scholar] [CrossRef]
- Zhang, Q.; Lin, S.; Shi, S.; Zhang, T.; Ma, Q.; Tian, T.; Zhou, T.; Cai, X.; Lin, Y. Anti-Inflammatory and Antioxidative Effects of Tetrahedral DNA Nanostructures via the Modulation of Macrophage Responses. ACS Appl. Mater. Interfaces 2018, 10, 3421–3430. [Google Scholar] [CrossRef] [PubMed]
- Praetorius, F.; Kick, B.; Behler, K.L.; Honemann, M.N.; Weuster-Botz, D.; Dietz, H. Biotechnological Mass Production of DNA Origami. Nature 2017, 552, 84–87. [Google Scholar] [CrossRef]
- Nguyen, M.-K.; Nguyen, V.H.; Natarajan, A.K.; Huang, Y.; Ryssy, J.; Shen, B.; Kuzyk, A. Ultrathin Silica Coating of DNA Origami Nanostructures. Chem. Mater. 2020, 32, 6657–6665. [Google Scholar] [CrossRef]
- Rodriguez, D.; Marquez, M.D.; Zenasni, O.; Han, L.T.; Baldelli, S.; Lee, T.R. Surface Dipoles Induce Uniform Orientation in Contacting Polar Liquids. Chem. Mater. 2020, 32, 7832–7841. [Google Scholar] [CrossRef]
- Pathak, P.; Cho, H.J. Self-Assembled 1-Octadecanethiol Membrane on Pd/ZnO for a Selective Room Temperature Flexible Hydrogen Sensor. Micromachines 2021, 13, 26. [Google Scholar] [CrossRef] [PubMed]
- Sakunkaewkasem, S.; Gonzalez, M.A.; Marquez, M.D.; Lee, T.R. Olefin-Bridged Bidentate Adsorbates for Generating Self-Assembled Monolayers on Gold. Langmuir 2020, 36, 10699–10707. [Google Scholar] [CrossRef]
- Hoang, J.; Park, C.S.; Marquez, M.D.; Gunaratne, P.H.; Lee, T.R. DNA Binding on Self-Assembled Monolayers Terminated with Mixtures of Ammonium and Trimethylammonium Groups: Toward a Gene-Delivery Platform. ACS Appl. Nano Mater. 2020, 3, 6621–6628. [Google Scholar] [CrossRef]
- Yu, T.; Marquez, M.D.; Tran, H.-V.; Lee, T.R. Crosslinked Organosulfur-Based Self-Assembled Monolayers: Formation and Applications. Soft Sci. 2022, 2, 5. [Google Scholar] [CrossRef]
- Hoang, J.; Tajalli, P.; Omidiyan, M.; Marquez, M.D.; Khantamat, O.; Tuntiwechapikul, W.; Li, C.-H.; Kohlhatkar, A.; Tran, H.-V.; Gunaratne, P.H.; et al. Self-Assembled Monolayers Derived from Positively Charged Adsorbates on Plasmonic Substrates for MicroRNA Delivery: A Review. J. Nanotheranostics 2023, 4, 171–200. [Google Scholar] [CrossRef]
- Lee, L.; Gunby, N.R.; Crittenden, D.L.; Downard, A.J. Multifunctional and Stable Monolayers on Carbon: A Simple and Reliable Method for Backfilling Sparse Layers Grafted from Protected Aryldiazonium Ions. Langmuir 2016, 32, 2626–2637. [Google Scholar] [CrossRef]
- Peeters, S.; Stakenborg, T.; Reekmans, G.; Laureyn, W.; Lagae, L.; Van Aerschot, A.; Van Ranst, M. Impact of Spacers on the Hybridization Efficiency of Mixed Self-Assembled DNA/Alkanethiol Films. Biosens. Bioelectron. 2008, 24, 72–77. [Google Scholar] [CrossRef]
- Szymczyk-Drozd, A.; Baran, D.; Skiba, A.; Zasada, A.; Mosiej, E.; Krzemiński, J.; Pepłowski, A.; Malinowska, E.; Ziółkowski, R. Practical Aspects of SAM-Based Electrochemical DNA Biosensors on Miniaturized Planar Gold Transducers: A Case Study with SARS-CoV-2. Measurement 2025, 250, 117212. [Google Scholar] [CrossRef]
- Williamson, P.; Piskunen, P.; Ijäs, H.; Butterworth, A.; Linko, V.; Corrigan, D.K. Signal Amplification in Electrochemical DNA Biosensors Using Target-Capturing DNA Origami Tiles. ACS Sens. 2023, 8, 1471–1480. [Google Scholar] [CrossRef]
- Cortés, E.; Rubert, A.A.; Benitez, G.; Carro, P.; Vela, M.E.; Salvarezza, R.C. Enhanced Stability of Thiolate Self-Assembled Monolayers (SAMs) on Nanostructured Gold Substrates. Langmuir 2009, 25, 5661–5666. [Google Scholar] [CrossRef]
- Liu, N.; Huang, F.; Lou, X.; Xia, F. DNA Hybridization Chain Reaction and DNA Supersandwich Self-Assembly for Ultrasensitive Detection. Sci. China Chem. 2017, 60, 311–318. [Google Scholar] [CrossRef]
- Cajigas, S.; Alzate, D.; Fernández, M.; Muskus, C.; Orozco, J. Electrochemical Genosensor for the Specific Detection of SARS-CoV-2. Talanta 2022, 245, 123482. [Google Scholar] [CrossRef]
- Oberhaus, F.V.; Frense, D.; Beckmann, D. Immobilization Techniques for Aptamers on Gold Electrodes for the Electrochemical Detection of Proteins: A Review. Biosensors 2020, 10, 45. [Google Scholar] [CrossRef]
- Veselinovic, J.; Li, Z.; Daggumati, P.; Seker, E. Electrically Guided DNA Immobilization and Multiplexed DNA Detection with Nanoporous Gold Electrodes. Nanomaterials 2018, 8, 351. [Google Scholar] [CrossRef]
- Wu, Q.; Zhang, Y.; Yang, Q.; Yuan, N.; Zhang, W. Review of Electrochemical DNA Biosensors for Detecting Food Borne Pathogens. Sensors 2019, 19, 4916. [Google Scholar] [CrossRef]
- Czarnomska, M.; Lewkowicz, A.; Gruszczyńska, E.; Walczewska-Szewc, K.; Gryczyński, Z.; Bojarski, P.; Steinborn, S. Preliminary Investigation of a Potential Optical Biosensor Using the DiamondTM Nucleic Acid Dye Applied to DNA and Friction Ridge Analysis from Fingerprint Traces. Biosensors 2024, 14, 546. [Google Scholar] [CrossRef]
- Karadurmus, L.; Dogan-Topal, B.; Kurbanoglu, S.; Shah, A.; Ozkan, S.A. The Interaction between DNA and Three Intercalating Anthracyclines Using Electrochemical DNA Nanobiosensor Based on Metal Nanoparticles Modified Screen-Printed Electrode. Micromachines 2021, 12, 1337. [Google Scholar] [CrossRef]
- Srisombat, L.; Jamison, A.C.; Lee, T.R. Stability: A Key Issue for Self-Assembled Monolayers on Gold as Thin-Film Coatings and Nanoparticle Protectants. Colloids Surf. A Physicochem. Eng. Asp. 2011, 390, 1–19. [Google Scholar] [CrossRef]
- Yang, Z.; Pujari, S.P.; Armstrong, R.; Mathwig, K.; Rutjes, F.P.J.T.; Smulders, M.M.J.; Zuilhof, H. Hydrolytic, Thermal, and Electrochemical Stability of Thiol- and Terminal Alkyne-Based Monolayers on Gold: A Comparative Study. Langmuir 2025, 41, 6197–6207. [Google Scholar] [CrossRef]
- Willey, T.M.; Vance, A.L.; Van Buuren, T.; Bostedt, C.; Terminello, L.J.; Fadley, C.S. Rapid Degradation of Alkanethiol-Based Self-Assembled Monolayers on Gold in Ambient Laboratory Conditions. Surf. Sci. 2005, 576, 188–196. [Google Scholar] [CrossRef]
- Gannon, G.; Greer, J.C.; Larsson, J.A.; Thompson, D. Molecular Dynamics Study of Naturally Occurring Defects in Self-Assembled Monolayer Formation. ACS Nano 2010, 4, 921–932. [Google Scholar] [CrossRef]
- Nimse, S.B.; Song, K.; Sonawane, M.D.; Sayyed, D.R.; Kim, T. Immobilization Techniques for Microarray: Challenges and Applications. Sensors 2014, 14, 22208–22229. [Google Scholar] [CrossRef]
- Biagiotti, V.; Porchetta, A.; Desiderati, S.; Plaxco, K.W.; Palleschi, G.; Ricci, F. Probe Accessibility Effects on the Performance of Electrochemical Biosensors Employing DNA Monolayers. Anal. Bioanal. Chem. 2012, 402, 413–421. [Google Scholar] [CrossRef]
- Cipriano, B.H.; Banik, S.J.; Sharma, R.; Rumore, D.; Hwang, W.; Briber, R.M.; Raghavan, S.R. Superabsorbent Hydrogels That Are Robust and Highly Stretchable. Macromolecules 2014, 47, 4445–4452. [Google Scholar] [CrossRef]
- Wichterle, O.; Lim, D. Hydrophilic Gels for Biological Use. Nature 1960, 185, 117–118. [Google Scholar] [CrossRef]
- Fägerstam, L.G.; Frostell-Karlsson, A.; Karlsson, R.; Persson, B.; Rönnberg, I. Biospecific Interaction Analysis Using Surface Plasmon Resonance Detection Applied to Kinetic, Binding Site and Concentration Analysis. J. Chromatogr. 1992, 597, 397–410. [Google Scholar] [CrossRef]
- Chen, M.; Wang, Y.; Zhang, J.; Peng, Y.; Li, S.; Han, D.; Ren, S.; Qin, K.; Li, S.; Gao, Z. Stimuli-Responsive DNA-Based Hydrogels for Biosensing Applications. J. Nanobiotechnol. 2022, 20, 40. [Google Scholar] [CrossRef]
- Mao, X.; Mao, D.; Chen, T.; Jalalah, M.; Al-Assiri, M.S.; Harraz, F.A.; Zhu, X.; Li, G. DNA Hydrogel-Based Three-Dimensional Electron Transporter and Its Application in Electrochemical Biosensing. ACS Appl. Mater. Interfaces 2020, 12, 36851–36859. [Google Scholar] [CrossRef]
- Muya, F.N.; Sunday, C.E.; Baker, P.; Iwuoha, E. Environmental Remediation of Heavy Metal Ions from Aqueous Solution through Hydrogel Adsorption: A Critical Review. Water Sci. Technol. 2016, 73, 983–992. [Google Scholar] [CrossRef]
- Nagahara, S.; Matsuda, T. Hydrogel Formation via Hybridization of Oligonucleotides Derivatized in Water-Soluble Vinyl Polymers. Polym. Gels Netw. 1996, 4, 111–127. [Google Scholar] [CrossRef]
- Mo, F.; Jiang, K.; Zhao, D.; Wang, Y.; Song, J.; Tan, W. DNA Hydrogel-Based Gene Editing and Drug Delivery Systems. Adv. Drug Deliv. Rev. 2021, 168, 79–98. [Google Scholar] [CrossRef]
- Zhu, Z.; Yang, Y.; Jiang, Y.; Gu, T.; Siow, L.; Gao, Y.; Zheng, Y.; Xing, K.; Zhou, S.; Zhang, C.; et al. DNA Hydrogels in Tissue Engineering: From Molecular Design to Next-Generation Biomedical Applications. Adv. Healthc. Mater. 2025, 14, e2500192. [Google Scholar] [CrossRef]
- Stancu, I.C.; Lungu, A.; Iovu, H. Hydrogels for Bone Regeneration. In Biomaterials for Bone Regeneration; Elsevier: Amsterdam, The Netherlands, 2014; pp. 62–86. ISBN 978-0-85709-804-7. [Google Scholar]
- Gačanin, J.; Synatschke, C.V.; Weil, T. Biomedical Applications of DNA-Based Hydrogels. Adv. Funct. Mater. 2020, 30, 1906253. [Google Scholar] [CrossRef]
- Liang, Q.; Lu, Y.; Zhang, Q. Hydrogels-Based Electronic Devices for Biosensing Applications. In Smart Stimuli—Responsive Polymers, Films, and Gels; Serpe, M.J., Hu, L., Gao, Y., Eds.; Wiley: Hoboken, NJ, USA, 2022; pp. 339–373. ISBN 978-3-527-34901-2. [Google Scholar]
- Si, Y.; Li, L.; Wang, N.; Zheng, J.; Yang, R.; Li, J. Oligonucleotide Cross-Linked Hydrogel for Recognition and Quantitation of MicroRNAs Based on a Portable Glucometer Readout. ACS Appl. Mater. Interfaces 2019, 11, 7792–7799. [Google Scholar] [CrossRef]
- Liu, S.; Su, W.; Li, Y.; Zhang, L.; Ding, X. Manufacturing of an Electrochemical Biosensing Platform Based on Hybrid DNA Hydrogel: Taking Lung Cancer-Specific miR-21 as an Example. Biosens. Bioelectron. 2018, 103, 1–5. [Google Scholar] [CrossRef]
- Tang, J.; Xiao, P. Polymerizing Immobilization of Acrylamide-Modified Nucleic Acids and Its Application. Biosens. Bioelectron. 2009, 24, 1817–1824. [Google Scholar] [CrossRef] [PubMed]
- Zhang, L.; Jean, S.R.; Ahmed, S.; Aldridge, P.M.; Li, X.; Fan, F.; Sargent, E.H.; Kelley, S.O. Multifunctional Quantum Dot DNA Hydrogels. Nat. Commun. 2017, 8, 381. [Google Scholar] [CrossRef]
- Sontakke, V.A.; Yokobayashi, Y. Programmable Macroscopic Self-Assembly of DNA-Decorated Hydrogels. J. Am. Chem. Soc. 2022, 144, 2149–2155. [Google Scholar] [CrossRef] [PubMed]
- Um, S.H.; Lee, J.B.; Park, N.; Kwon, S.Y.; Umbach, C.C.; Luo, D. Enzyme-Catalysed Assembly of DNA Hydrogel. Nat. Mater. 2006, 5, 797–801. [Google Scholar] [CrossRef] [PubMed]





| Immobilization Technique | Target Analyte | LOD (M) | Reference |
|---|---|---|---|
| Adsorption | bovine papillomavirus (BPV) | 4.4 × 10−9 | [6] |
| Avidin-Biotin Chemistry | N. gonorrhoeae DNA | 1.0 × 10−16 | [7] |
| Covalent (Sulfur Chemistry) | microRNA-21 | 1 × 10−9 | [8] |
| TDN | miRNA | 1 × 10−17 | [9] |
| DNA SAM | CRP | 8 × 10−10 | [10] |
| DNA Hydrogel | DNA | 1 × 10−20 | [11] |
| Feature | Tetrahedral DNA Nanostructures (TDN) | DNA Self-Assembled Monolayers (SAM) | DNA Hydrogels |
|---|---|---|---|
| Structural Design | 3D tetrahedral framework with three-point anchoring | Linear or branched DNA strands | Crosslinked 3D network of DNA or hybrid polymers |
| Structure Assembly | Requires precise sequence design and thermal annealing | Direct surface immobilization | Involves polymerization or enzymatic crosslinking |
| Probe Orientation | Highly controlled; upright orientation and defined spacing | Variable; prone to random orientation and crowding | Variable; depends on hydrogel architecture |
| Signal Sensitivity | High; reduced background noise and enhanced hybridization efficiency | Moderate; susceptible to signal saturation | Very high; supports enzymatic and nanomaterial-based amplification |
| Stability | High; enzymatic resistance and mechanical rigidity | Moderate; limited long-term stability | High; tunable mechanical properties but may require stabilization |
| Biocompatibility | Excellent; ideal for wearable and in vivo biosensors | High; suitable for in vitro applications | Very high; mimics biological environments |
| Multiplexing Capability | Moderate; possible with careful design | Limited; challenging due to surface crowding | High; multiple probes can be embedded within the matrix |
| Fabrication Scalability | Currently limited; synthesis cost and scalability challenges | High; compatible with mass production | Moderate; requires optimization for clinical translation |
Disclaimer/Publisher’s Note: The statements, opinions and data contained in all publications are solely those of the individual author(s) and contributor(s) and not of MDPI and/or the editor(s). MDPI and/or the editor(s) disclaim responsibility for any injury to people or property resulting from any ideas, methods, instructions or products referred to in the content. |
© 2025 by the authors. Licensee MDPI, Basel, Switzerland. This article is an open access article distributed under the terms and conditions of the Creative Commons Attribution (CC BY) license (https://creativecommons.org/licenses/by/4.0/).
Share and Cite
Pyle, K.; Savranoğlu, N.; Avdan, S.N.; Ahmadi, S. Exploring DNA Nanostructures as Surface Engineering Techniques for Optimizing Nucleic Acid Biosensor Performance. Electrochem 2025, 6, 40. https://doi.org/10.3390/electrochem6040040
Pyle K, Savranoğlu N, Avdan SN, Ahmadi S. Exploring DNA Nanostructures as Surface Engineering Techniques for Optimizing Nucleic Acid Biosensor Performance. Electrochem. 2025; 6(4):40. https://doi.org/10.3390/electrochem6040040
Chicago/Turabian StylePyle, Kepler, Naz Savranoğlu, Selin Naz Avdan, and Soha Ahmadi. 2025. "Exploring DNA Nanostructures as Surface Engineering Techniques for Optimizing Nucleic Acid Biosensor Performance" Electrochem 6, no. 4: 40. https://doi.org/10.3390/electrochem6040040
APA StylePyle, K., Savranoğlu, N., Avdan, S. N., & Ahmadi, S. (2025). Exploring DNA Nanostructures as Surface Engineering Techniques for Optimizing Nucleic Acid Biosensor Performance. Electrochem, 6(4), 40. https://doi.org/10.3390/electrochem6040040

