Abstract
Two different types of alkaloids are successfully extracted from two plants Artemisia vulgaris (AV) and Solanum tuberosum (ST) in the laboratory and used as corrosion inhibitors for mild steel samples. The corrosion inhibition potential of these alkaloids is determined by weight loss and potentiodynamic polarization measurement methods. Based on the weight loss measurement study of a sample immersed for 6 h in 1000 ppm inhibitor solution of AV and ST alkaloids, the corrosion inhibition efficiency is found to be 92.58% and 90.79%, respectively. The potentiodynamic polarization measurement shows 88.06% and 83.22% corrosion inhibition efficiency for AV and ST alkaloids, respectively, for the sample immersed for 1 h in 1000 ppm inhibitor solution. These promising efficiency and suitable immersion time effect can lead to the development of good green inhibitors.
1. Introduction
Corrosion is a spontaneous physical or chemical attack on materials due to an interfacial reaction in an ambient environment resulting in the loss of material properties [1,2]. A severe corrosion condition may result in tremendous economic loss as well as environmental impact to some extent. Mild steels (MS) are extensively used in various industrial and manufacturing plants, including petroleum, chemical, petrochemical, construction, pulp and paper, and transportation industries, where mild steel corrosion occurs inevitably during the process of cleaning boilers, acid pickling, and de-scaling. Such industries are the major contributors to corrosion losses [3,4]. It is reported that corrosion destroys about 150 million tons of steel per year, which is one-quarter of the world’s annual steel production [5,6]. In this context, it is imperative to inhibit the corrosion process and its subsequent losses. For the reduction in MS corrosion, different protective methods such as the selection of material, design of corrosion resistive material, coating, and electrical protection methods are being adopted; however, such protective methods could be insufficient to control the underlying corrosion in the cleaning processes such as acid pickling, de-scaling, and cleaning boilers [7]. The use of corrosion inhibitors in the cleansing fluid is the common approach to control MS corrosion [8]. The effectiveness of a particular corrosion inhibitor is partly dependent on the nature of metals or composition of alloys to be protected, active centers in the inhibitors, as well as the severity of the environment [9].
In the 1950s, organic chemicals operating as corrosion inhibitors were developed in the petroleum industry; however, a major problem was related to their immediate toxicity [10]. Besides being toxic, such organic compounds are expensive, water-insoluble, not readily available, and liable to pollute the environment in relation to the process of synthesis and application [11]. In this regard, there has been growing interest in the development of corrosion inhibitors based on natural resources, which are termed green corrosion inhibitors. Natural products are excellent alternatives as a green corrosion inhibitor from the viewpoint of availability, non-toxicity, economy, and environmentally friendly [8].
Natural products are rich sources of nitrogen-containing compounds and their derivatives, sulfur-containing compounds, aldehydes, thioaldehydes, acetylenic compounds, and alkaloids [9]. These compounds are adsorbed onto the metal surface and block the site of corrosion, hence, reducing the corrosion rate. It has been observed that adsorption of organic moieties onto the metal surfaces depends mainly on certain physicochemical properties of the inhibitor group, such as functional group, electron density at the donor atom, orbital character, and the electronic structure of the molecule [12,13].
Several studies are going on in the development of natural product-based environmentally friendly corrosion inhibitors. The first evidence of natural products used as corrosion inhibitors is the extracts of Chelidonium majus (Celadine) used in H2SO4 pickling baths [9]. Later on, various plant extracts were reported in the use of corrosion inhibition. The bark extract of Euphorbia royleana [6], Green Tea (GTE) and Black Tea (BTE) [14], Aegle marmelos [15], Juniperus [16], Ficus asperifolia [17], Solanum lasiocarpum [18], Lantana camara [19], Erigeron floribundus [20], Gmelina arborea [21], Hyptis suaveolens [22], Pennisetun glaucum [23], Azadirachta indica [24], mango and orange peels [25], Baphia nitida [26], Solanum tuberosum [27], ginger extract [28], rubber extract [29], Scnecio anteuphorbium [30], Luffa cylindrical leaf extract on mild steel in an HCl acid environment [31], and Mahonia nepalensis plant extract as a corrosion inhibitor for mild steel in 1 M sulfuric acid [32] have been reported as green inhibitors with most promising efficiency.
Phytochemical constituents consist of various functional groups in their structure, some of which contain heteroelements. The corrosion inhibition efficacy of such phytochemicals is largely influenced by the presence of such heteroatoms and follows a general trend of O < N < S < P [6]. Alkaloids extract from Oxandra asbeckii as corrosion inhibitor for C38 steel in 1 M HCl medium [33], Neolamarckia cadamba alkaloids for mild steel in HCl solution [34], indole alkaloids of Alstonia angustifolia var latifolia as a green corrosion inhibitor for mild steel corrosion in 1 M HCl media [35], caulespin—A bis indole from the marine Alga Caulerpa racemosa as a green corrosion inhibitor for the corrosion of mild steel in 1 M HCl solution [36], and an alkaloid of Rhynchostylis retusa as green inhibitor for steel corrosion in 1 M H2SO4 [37], are reported as a green inhibitor with their fascinating efficacy. These plant extracts have been attracting great interest in many contexts to avoid toxins and reduce waste. These are referred to as green inhibitors. Green inhibitors are safe, low-cost, readily available, biocompatible, and renewable sources of materials as compared with organic chemicals as corrosion inhibitors [38].
For the development of greener alternatives in corrosion inhibition, alkaloid extracts from Artemisia vulgaris and Solanum tubersom were selected in this research. Artemisia vulgaris, commonly called Titepati in Nepali, is reported as a medicinal plant [39]. The fern-like leaves of AV are covered with white hairs; the stem is thin and woody and available in temperate and cold temperate zones of the world [40]. The methanol extract of leaves of AV was found to be rich in alkaloids, total flavonoids, and phenolic content [40,41]. The commonly found alkaloid in Artemisia vulgaris is 3-Methyl butanamide, 1-Naphthyl amine, 2-Naphthyl amine, 3-Amino biphenyl, and 4-Amino biphenyl [41,42].
The plant Solanum tuberosum is a shrub plant having a maximum height up to 60 cm [43]. The leafy stem of ST is a waste part that consists of various components such as carbohydrates, chlorophyll, ascorbic acid, nitrates, starch, lipids, phosphorous, flavonoids, etc. [44]. Most of the Solanum species are rich in the store of diverse alkaloids with the major component of glycoalkaloids (α—solanine and α—chaconine) [45]. Nitrogen, an essential constituent of alkaloids, acts as an active center for the adsorption process due to the presence of a lone pair of electrons; therefore, nitrogenous heterocyclic compounds of alkaloid solutions are predominantly responsible for the inhibition of corrosion [46]. Herein, alkaloid extracts of these two plants are used as a corrosion inhibitor for mild steel and the inhibition efficacy has been studied by weight loss measurement and potentiodynamic polarization method.
2. Experimental Methods
2.1. Preparation of Specimens
A flat mild steel sheet of thickness 0.55 cm was collected from Aakash Metal Workshop in Kathmandu, Nepal, and cut into coupons of dimension (4 × 4 × 0.55) cm3. To obtain a clean and corrosion-free surface, each coupon was polished by silicon carbide (SiC) paper of 100–1200 grits size. The dimension of each coupon was measured with a digital Vernier caliper and recorded before each experiment. The corrosion-free coupon was then washed with hexane to remove organic impurities and ultrasonicated in ethanol. Washed coupons were air-dried and stored in a desiccator. The process was repeatedly carried out for every experiment.
2.2. Extraction of Alkaloids
The leafy stems of ST were collected from Dhulikhel, Nepal, and the stems of AV were collected from Budhanilkhantha, Nepal in June/July. Collected samples were washed and shade dried. The dried sample was ground into powder form by a grinding mill. 100 g of powder of each sample was soaked in hexane for 24 h and filtered. The residue was soaked in methanol separately and kept for 15 days, followed by filtration. The filtrate was taken as methanol extract. The pH of methanol extract was first made acidic by adding 5% tartaric acid, filtered and made alkaline (pH more than 10) by adding ammonia solution in a controlled manner. The alkaloid fraction was separated using dichloromethane (DCM) in the separating funnel. A dark green slurry of alkaloids in the organic layer was collected. A small amount of Na2SO3 was added to the alkaloid fraction to remove traces of water. The solution was then filtered. The organic layer thus obtained was separated, concentrated by using a rotatory evaporator under reduced pressure, and evaporated (below 40 °C) up to dryness to obtain alkaloids of ST, and AV, each separately. The presence of alkaloids was ensured by Mayer’s test and a Fourier transform infra-red (FTIR) test.
2.3. Test for Alkaloids
A chemical test was carried out for the alkaloid test. For this, a small amount of extract was treated with Mayer’s reagent (HgCl2 + KI) and the result was observed.
2.4. Physicochemical Characterization
For the analysis of the functional group, FTIR spectrum of alkaloid extract of AV and ST was recorded by FTIR spectrometer (IR Prestige 21-FTIR Spectrometer, SIMADZU, Sendai, Japan) by the ATR method in the range of 400 cm–1 to 4000 cm–1.
2.5. Preparation of Media
Corrosive and inhibition media were prepared by taking sulphuric acid and alkaloids in the same acid, respectively. One-gram alkaloid of each AV and ST was dissolved in 50 mL of 1 M H2SO4 separately, followed by adding 1 M H2SO4 to make a 1000 mL solution in the separate volumetric flask. Each solution in a volumetric flask was filtered to remove the un-dissolved extract and the volume was maintained at 1000 mL by adding the required quantity of 1 M sulphuric acid. The filtrate was labeled as 1000 ppm of stock solutions of each AV and ST. Alkaloid solutions of required concentrations were prepared from those stock solutions by serial dilution method.
2.6. Weight Loss Measurement
An electronic analytical balance (PHOENIX, PH2204C) was used to measure the weight of MS coupons before and after their immersion in acid and inhibitor solution. Weight loss measurement was applied in the inhibitor solution of different concentrations (200, 400, 600, 800, and 1000 ppm) to determine the rate of corrosion. Similarly, the immersion time effect was studied by immersing the coupons for 1/2, 1, 3, 6, 13, and 24 h separately.
The inhibition efficiency (IE %) was determined using the formula:
The data obtained from this weight loss experiment at different time intervals and different concentration intervals were used to calculate the inhibition efficiency of the inhibitor solutions.
2.7. Potentiodynamic Polarization
The polarization measurement method was used to evaluate the corrosion current, and corrosion inhibition efficiency. Potentiodynamic polarization measurements were carried out using Hokuto Denko potentiostat (HA-151). A three-electrode cell system was used for the polarization. The electrolytic cell was set up using a mild steel sample as a working electrode, a saturated calomel electrode (SCE) as a reference electrode, and a graphite electrode as a counter electrode. 1 M sulphuric acid, as well as inhibitor solution (concentration ranging from 200–1000 ppm) of extract solution, was used as electrolyte. The working electrode, i.e., the mild steel specimen whose small area was exposed in extract solution (inhibitor solution) as compared to that of the counter electrode, exerts uniform potential on the working electrode. A salt bridge was made to connect the working electrode to the SCE. A time interval of 25 min before polarization was given for each experiment to attain the steady-state open current potential (OCP). Then the sample was subjected to cathodic and anodic polarization in the potential window—0.8 to 0 V, i.e., ±350 mV from OCP. Polarization measurement was carried out for steel samples in different concentrations of inhibitors as well as in acid solution in both immersed and as-immersed conditions. The inhibition efficiency of the inhibitor was calculated using Equation (2).
where = corrosion current in the absence of inhibitors, = corrosion current in the presence of inhibitors.
2.8. Surface Morphology Study
The surfaces of MS samples before and after corrosion tests were studied by taking optical images through a light polarizing microscope (Radical Scientific, Haryana, India). The optical images of MS surface before immersion and after 1 h immersion in acid (1 M H2SO4) as well as in the presence of inhibitor solutions (1000 ppm AV inhibitor and 1000 ppm ST inhibitor) at 25 °C were studied.
3. Results and Discussion
3.1. Test for Alkaloids
Quantitative determination of alkaloids was performed for which the yield of 1.05 and 0.94% from AV and ST, respectively, were achieved. A chemical test for extracted alkaloids was performed. For this, a small amount of extract was treated with Mayer’s reagent (HgCl2 + KI), whereby a yellow precipitate appeared, indicating the presence of alkaloids.
3.2. Fourier Transform Infra-Red (FTIR) Analysis
Functional group analysis of both AV and ST alkaloid extract was carried out from the FTIR spectrum (Figure 1). The broad absorption peak at 3200–3400 cm−1 is due to O-H stretching of the phenolic group and N-H stretching of secondary amine. The sharp peaks at 2924.09 cm−1 and 2916.36 cm−1 are due to C-H stretching of alkane and the splitting peaks at 2854.65 cm−1 and 2846.93 cm−1 are due to the C-H stretching of the aldehyde group. The splitting peak at 1697.35 cm−1 is due to C=O stretching of the amide group and the peak at 1604.77cm−1 and 1597.05 cm−1 is N-H bending of amine. The medium peak at 1357.88 cm−1 and 1319.31 cm−1 is due to the bending vibration of O-H bending of alcohol. Similarly, the absorption peaks at 1249.87 cm−1 and 1203.49 cm−1 are due to the C-N stretching of aromatic amine and the strong peak at 1018.41 cm−1 and 1049.27 cm−1 is due to the C-N stretching of amine [47,48]. The intensities of the peaks in the spectra are slightly different, but the positions of the peaks are not significantly different. This implies that there is no significant difference in the functional groups present in the alkaloids from these two different plants. However, there may be some differences in the elemental composition of as-identified chemical functionalities. The presence of the -OH group or catechol can support the binding of organic molecules onto the surface of the steel. The presence of amine or amide group further supports the presence of nitrogen group in the alkaloid and avails the lone pair electrons for bonding with MS. Presence of such functional moieties in alkaloids can assist in their adsorption process and hence reduce the corrosion potency.
Figure 1.
FTIR spectrum of alkaloid extract of AV and ST.
3.3. Weight Loss Measurement and Corrosion Inhibition Efficiency
In this study, weight loss of MS was studied in terms of different parameters; the effect of inhibitor concentration and the effect of immersion time. Based on the weight loss measurement, the corrosion inhibition efficiency was studied.
3.4. Effect of Inhibitor Concentration
MS surface reacts with the acid upon immersion into the acid solution resulting in the formation of corrosion products which leads to the weight loss of MS. The decrease in the weight of MS coupons is related to the nature of MS surface, temperature, and concentration of the bath solution. Keeping the rest of the environment constant, the weight loss of material is directly proportional to the concentration of the aggressive environment. If the inhibitor solution is added to the aggressive environment, weight loss depends only on the concentration of the inhibitor. The loss in weight of MS is very high in the absence of an inhibitor. Besides the nature of the inhibitor, weight loss of MS gradually decreases with an increase in the concentration of the inhibitor, as shown in Figure 2 and Figure 3. This is because, on increasing inhibitor concentration, the number of inhibitor molecules increases and are adsorbed on the MS surface. Hence, the weight loss of MS coupon due to corrosion in 200 ppm inhibitor solution is high and that of 1000 ppm is low.
Figure 2.
Variation of weight loss with different concentrations of AV alkaloids on MS in 1M H2SO4 solution at 20 °C at different intervals of immersion time.
Figure 3.
Variation of weight loss with different concentrations of ST alkaloid on MS in 1M H2SO4 solution at 20 °C at different intervals of immersion time.
The inhibition efficiency of each type of inhibitor for MS was studied by taking different concentrations (200, 400, 600, 800, and 1000 ppm) of inhibitor in 1M H2SO4 at different time intervals (Figure 4 and Figure 5). The 1000 ppm AV and ST alkaloid showed maximum inhibition efficiency of 92.58% and 90.79%, respectively, for 6 hours’ immersion time. The result shows that the inhibition efficiency increases with the increase in inhibitor concentration. This could be due to the increased concentration of extract, which could easily avail the number of inhibitor molecules for the adsorption onto the MS surface. The acid molecules have to rush up towards the MS surface against the crowding of inhibitor molecules and suffer many futile attempts for corrosion.
Figure 4.
The inhibition efficiency of AV alkaloid solution in 1 M H2SO4 for mild steel at different immersion times.
Figure 5.
The inhibition efficiency of ST alkaloid solution in 1 M H2SO4 for mild steel at different immersion times.
3.5. Effect of Immersion Time
The results of the weight loss experiment for mild steel immersed in 1 M H2SO4 with and without inhibitor are shown in Figure 6 and Figure 7. The weight loss measurement showed that the presence of an alkaloid inhibitor reduced the weight loss of MS in the acidic medium as compared to that in 1 M sulphuric acid solution without an alkaloid inhibitor. Experiments were performed in different time intervals, i.e., ½, 1, 3, 6, 13, and 24 h in 1 M H2SO4 in both the presence and absence of an inhibitor. From the figure, it is clear that, on increasing the immersion time, the weight loss of metal was found to be increased in both cases, but the ratio of weight loss was minimum for the use of inhibitor as compared to that without inhibitor in 1 M H2SO4. The weight loss of the MS coupons is the highest in acid solution and lowest in 1000 ppm inhibitor solution. The reason could be as follows. The inhibitors are adsorbed on the MS surface, forming an adsorptive layer on it. This adsorptive layer acted as a barrier against acid penetration. There is a slight increase in weight loss observed even in the presence of inhibitors. This may be due to desorption phenomena and may be due to the large size and orientation of inhibitor molecules. A longer time exposure of the MS sample to the inhibitor solution in an acidic medium showed an increased weight loss, which could be due to the desorption of molecules from the MS surface.
Figure 6.
Weight loss of mild steel immersed in different concentrations of AV alkaloids at different intervals of time at 20 °C.
Figure 7.
Weight loss of mild steel immersed in different concentrations of ST alkaloids at different intervals of time at 20 °C.
The corrosion inhibition efficiency of the inhibitor of different concentrations in 1 M H2SO4 for MS samples was measured at 20 °C in a different interval of time up to 24 h. The inhibition efficiency of the inhibitor at different immersion times and in different concentrations of inhibitors is shown in Figure 8 and Figure 9. The inhibition of the inhibitor is very good at 1–6 h immersion time. The result showed that the inhibition efficiency of the 1000 ppm solution is the highest. For 6 h immersion of MS in 1000 ppm solution, the maximum inhibition efficiency is found to be 92.58% for AV alkaloid and 90.79% for ST alkaloid, respectively. These inhibitor solutions showed maximum inhibition efficiency from the very beginning at 3–6 h immersion time. Corrosion inhibition is slightly lower at initial ½ h immersion. This may be because the time of immersion is very short, so the inhibitor molecules are unable to form the complete adsorptive layer. Until 6 h of immersion, the efficiency was gradually increasing in search of complete adsorption of inhibitors on the MS surface. After 6 h of immersion, efficiency gradually decreased; this may be due to the desorption of the inhibitor over a prolonged time [49].
Figure 8.
Inhibition efficiency of AV alkaloids for mild steel immersed at different intervals of time.
Figure 9.
Inhibition efficiency of ST alkaloids for mild steel immersed at different intervals of time.
3.6. Potentiodynamic Polarization (as-Immersed and 1 h Immersed MS Sample)
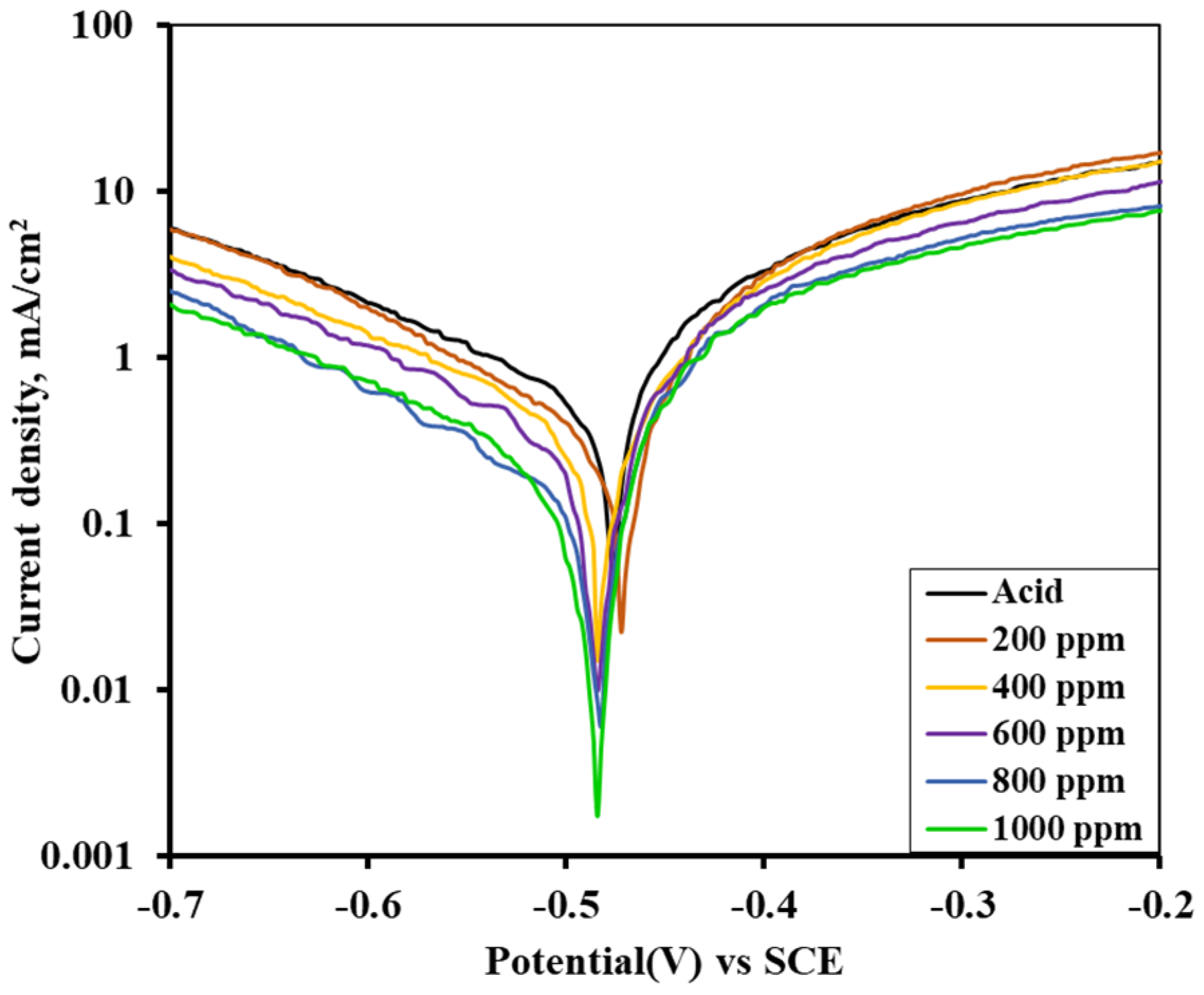
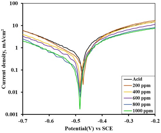
Potentiodynamic polarization of the as-immersed MS sample was carried out in the different concentrations (200, 400, 600, 800, and 1000 ppm) of AV and ST alkaloids in 1 M H2SO4 solution. From polarization curves (Figure 10 and Figure 11) of the as-immersed sample, it is found that the anodic slope is higher than the cathodic slope for the same concentration of acid and inhibitor solution. This difference in slope is in relation to the charge at anode and cathode. Even though the rate of reaction for both cases is the same, the generation of potential difference is different, indicating the flat potential at the cathode and sharp potential at the anode. The polarization curve also indicates that there is a decrease in current density with the addition of an inhibitor. The slight shifting of potential (<50 mV) in both anodic and cathodic directions indicates that these inhibitors act as mixed types of inhibitors.
Figure 10.
Potentiodynamic polarization curves for mild steel in 1 M H2SO4 containing different concentrations of AV alkaloids as-immersed condition.
Figure 11.
Potentiodynamic polarization curves for mild steel in 1 M H2SO4 containing different concentrations of ST alkaloids as-immersed condition.
The inhibition efficiency of each AV alkaloid and ST alkaloid is also tabulated in Table 1. The inhibition efficiency of alkaloids increases by increasing the concentration of the inhibitor. In the presence of an inhibitor, the MS surface is covered with inhibitor molecules so that the active site (exposed site for corrosion) on MS is small. Reaction at this small area results in the small current density exhibiting high corrosion inhibition efficiency. This also indicates that the alkaloids extracted and used in this experiment can act as good inhibitors. The maximum inhibition efficiency of AV and ST alkaloids is found to be 85.29% and 80.48%, respectively, for 1000 ppm concentration of inhibitor.
Table 1.
Inhibition efficiency of AV alkaloids and ST alkaloids for as-immersed MS sample by polarization method.
Polarization of the experiment was carried out after immersing MS samples in different concentrations of AV and ST alkaloids solutions for 1 h. A plot of the logarithmic function of corrosion current density versus potential is plotted as shown in Figure 12 and Figure 13. As in the as-immersed condition, there is almost no shifting of potential, indicating mixed types of inhibitors. It is found that the current density decreases in the presence of an inhibitor solution. Within this immersion time, the inhibitor molecules completely covered the MS surface so that there was the least chance of reacting with acid. In addition, the current density decreases by increasing the concentration of the alkaloid solution; therefore, the decrease in current density with the increase in the concentration of inhibitor solution suggests the retardation of corrosive reaction due to increased surface coverage by the inhibitor molecules on the MS surface. This result suggests that these alkaloids can act as effective inhibitors.
Figure 12.
Potentiodynamic polarization curves for MS in 1 M H2SO4 containing different concentrations of AV alkaloid for 1 h immersed sample.
Figure 13.
Potentiodynamic polarization curves for MS in 1 M H2SO4 containing different concentrations of ST alkaloid for 1 h immersed sample.
The current density and respective inhibition efficiency of AV and ST alkaloids for MS from the polarization curve are tabulated in Table 2. The current density measured in the inhibitor medium is lower than the current density in the acid medium. In the presence of an inhibitor, the rate of MS dissolution is very low. This is due to the formation of an inhibitor adsorptive layer on MS. The efficiency of the inhibitor gradually increases by increasing its concentration. The maximum efficiency for AV alkaloids is found at 88.06%, and for ST alkaloids is found at 83.22% in 1000 ppm inhibitor solution at 20 °C, respectively.
Table 2.
Current density and respective inhibition efficiency of AV and ST alkaloids for 1 h immersed MS sample.
3.7. Inhibition Efficiency of Alkaloid for Immersed and as-Immersed Condition
For both immersed and as-immersed samples and all the concentrations of inhibitor, polarization was carried out. The inhibition efficiency of the alkaloid is calculated from the polarization method according to Equation (2). The inhibition efficiency of the alkaloid as an inhibitor is higher in 1 h immersed condition. This is because, on immersion, inhibitor molecules can have sufficient time to become adsorbed and attain an equilibrium state. This adsorbed layer protects the MS from an aggressive environment and reduces the corrosion rate. The detail efficiency variation is shown in Figure 14 and Figure 15.
Figure 14.
Inhibition efficiency of inhibitor obtained from the polarization of both immersed and as-immersed MS sample 1 M H2SO4 in the presence of AV alkaloid as an inhibitor.
Figure 15.
Inhibition efficiency of inhibitor obtained from the polarization of both immersed and as-immersed MS sample 1 M H2SO4 in the presence of ST alkaloid as an inhibitor.
Figure 14 and Figure 15 revealed that the inhibition efficiency increases with an increase in the concentration of the inhibitor solution. It is due to the increase in the fraction of surface covered by mild steel by the adsorbed molecule, which results in the increase in inhibition efficiency on the increasing concentration of inhibitor solution.
3.8. Comparative Study of Corrosion Inhibition of AV and ST
The corrosion inhibition efficiency of alkaloid extract from AV and ST has been studied in terms of weight loss method and potentiodynamic method. For 6 h immersion of MS in 1000 ppm solution, the maximum inhibition efficiencies recorded by the weight loss method were 92.58% for AV alkaloid and 90.79% for ST alkaloid, respectively. The maximum inhibition efficiencies of 92.18% and 85.29% were found at 1000 ppm concentration of AV alkaloid inhibitor solution in 1 M H2SO4 on the MS sample immersed for 1 h and as-immersion, respectively, based on the potentiodynamic method. Similarly, the maximum inhibition efficiencies of 91.10% and 80.48% were found at 1000 ppm concentration of ST alkaloid inhibitor solution in 1 M H2SO4 on MS sample immersed for 1 h and as-immersion, respectively, based on the potentiodynamic method.
All in all, though the corrosion inhibition efficiency recorded for the weight loss measurement method and potentiodynamic measurement method were of different periods (6 h and 1 h, respectively), the AV alkaloid inhibitor was found to be better compared to that of ST alkaloid inhibitor; however, the corrosion inhibition efficiency for ST is also remarkably satisfactory. For the same alkaloid, the inhibition efficiency measured was found to be a bit different for different methods. The weight loss measurement method is manually operated and may owe some handling error, whereas the potentiodynamic method is instrumental and has less bias of handling errors.
3.9. Surface Morphological Study
The surface of MS samples before and after corrosion tests was studied by taking optical images through a light polarizing microscope (Radical Scientific, Haryana, India). The optical images of MS surface before immersion and after immersion in acid, as well as in the presence of inhibitor solutions, are in Figure 16.
Figure 16.
The MS surface images (a) polished surface before immersion, (b) after 1 h dipping in acid at 25 °C, (c) after 1 h dipping in AV inhibitor at 25 °C, and (d) after 1 h dipping in ST inhibitor solution at 25 °C.
The MS surface was polished with silicon carbide paper before the immersion test to make it smooth. A significant roughness was observed on the MS surface after its immersion in the acid solution (1 M H2SO4) as compared to that into 1000 ppm inhibitor in 1 M H2SO4 solution. A large number of grooves and pits were observed on the MS surface dipped into acid for 1 h, contrary to the smooth surface observed on the MS surface immersed in the inhibitor solution. The smooth surface of MS could be due to the uniform coverage of inhibitor molecules on the surface, such that it could hinder the deep penetration of acid molecules onto the surface. Consequently, the surface coverage by the inhibitor molecules suppresses the rate of corrosion [37].
3.10. Mechanism of Green Corrosion Inhibitor
Alkaloids are phytochemicals that contain at least a nitrogen atom in their structure as an active center and play a key role in green corrosion inhibition. Elements with lone pair of electrons such as O, N, S, and P in phytochemicals serve as active centers for the adsorption on the metal surface. Green inhibitors are adsorbed on the metal surface by the electrostatic force of attraction between ions or dipoles of inhibitor molecules and electrically charged metal surfaces via the physisorption process [50,51]. It has been observed that adsorption depends mainly on certain physicochemical properties of the inhibitor group, such as the functional group, the electron density of the donor atom, π-orbital character, and the electronic structure of the molecule [6,12].
The corrosion inhibition could be due to the adsorption of the inhibitor molecules onto the metal surface, hence increasing or decreasing anodic or cathodic reaction, decreasing the diffusion rate for reactants to the surface of the metal, and formation of protective barrier film [9]. AV and ST alkaloids inhibit corrosion in the MS surface, especially via the physisorption process [51]. Besides the physical and chemical adsorption, it is also proposed that chemical compounds in plant extract may react with atoms of metal surface, forming the organometallic complex. For example, the reaction of iron metal can be shown as,
Fe → Fe2+ + 2e−
Fe2+ + plant extract → [Fe − Plant extract]
These complexes are adsorbed by the metal surface by van der Waals force of attraction. Then it forms a protective layer for the retardation of corrosion. In the process, the solvent water molecule could also be adsorbed or desorbed in the metal solution. So, this adsorption can also be considered a quasi- substitution process [10]. The organic inhibitors are adsorbed on the metal surface by replacing water molecules, as shown in the equation.
where n represents the number of molecules that are replaced to accommodate the organic molecule. The hydrocarbon part of the organic inhibitor is oil soluble and hence it repels water from the metallic surface; therefore, it provides a barrier that keeps water away and thus prevents corrosion [52].
Inhibitor molecule (aq.) + M-H2O (ads) → M-Inhibitor molecule (ads) + n H2O (sol.)
Whatever may be the mechanism of adsorption, the density of the functional groups, polarizability, and electronegativity are the important parameters that determine the inhibition efficiency. Adsorption strength can be obtained from the adsorption isotherm, which shows the equilibrium relationship between concentrations of corrosion inhibitors on the surface and in the bulk of the solution. A schematic diagram of the inhibition mechanism is given below (Figure 17).
Figure 17.
Schematic diagram for the mechanism of inhibition.
4. Conclusions and Recommendations
The methanol fraction of alkaloids was successfully extracted from two plants Artemisia vulgaris (AV) and Solanum tuberosum (ST) in the laboratory and ensured by chemical tests as well as FTIR analysis. These alkaloids were used as corrosion inhibitors for mild steel samples. The corrosion inhibition efficiency of the AV and ST alkaloids was performed using the weight-loss method and potentiodynamic polarization measurements in 1 M H2SO4. These AV and ST alkaloids can work up to 6 h immersion time and can act as good inhibitors with very attractive inhibition efficiency by 1000 ppm inhibitor solution. Though the inhibition efficiency is nearly 80%, these inhibitors can work up to 6 h immersion time with high inhibition potential. These inhibitors with an acid solution can be used for the cleaning processes.
Author Contributions
Conceptualization, H.B.O. and D.P.B.; methodology, A.P.Y.; software, A.P.Y.; validation, H.B.O., D.P.B. and A.P.Y.; formal analysis, D.S.B.; investigation, D.P. and S.S.; resources, D.P.; data curation, S.S.; writing—original draft preparation, D.P., S.S. and D.S.B.; writing—review and editing, H.B.O., D.P.B, A.P.T. and A.P.Y.; visualization, D.P.; supervision, H.B.O.; project administration, D.P.B. and A.P.Y.; funding acquisition, A.P.T. All authors have read and agreed to the published version of the manuscript.
Funding
This research received no external funding.
Institutional Review Board Statement
Not applicable.
Informed Consent Statement
Not applicable.
Data Availability Statement
Not applicable.
Acknowledgments
The authors would like to acknowledge the Department of Chemistry, Amrit Campus, Tribhuvan University, Kathmandu, Nepal, for providing chemical accessories and laboratory facilities.
Conflicts of Interest
The authors declare no conflict of interest.
References
- Zarras, P.; Stenger-Smith, J. Corrosion processes and strategies for prevention: An introduction. In Handbook of Smart Coatings for Materials Protection; Elsevier: Amsterdam, The Netherlands, 2014; pp. 3–28. [Google Scholar]
- Revie, R.W. Corrosion and Corrosion Control: An Introduction to Corrosion Science and Engineering; John Wiley & Sons: Hoboken, NJ, USA, 2008. [Google Scholar]
- Bhattarai, J. Frontiers of Corrosion Science, 1st ed.; Kshitiz Publication: Kathmandu, Nepal, 2010. [Google Scholar]
- Heusler, K.; Landolt, D.; Trasatti, S. Electrochemical corrosion nomenclature (Recommendations 1988). Pure Appl. Chem. 1989, 61, 19–22. [Google Scholar] [CrossRef] [Green Version]
- Sastri, V.S. Challenges in Corrosion: Costs, Causes, Consequences, and Control; John Wiley & Sons: Hoboken, NJ, USA, 2015. [Google Scholar]
- Thapa, B.; Gupta, D.K.; Yadav, A.P. Corrosion inhibition of bark extract of Euphorbia royleana on mild steel in 1M HCl. J. Nepal Chem. Soc. 2019, 40, 25–29. [Google Scholar] [CrossRef] [Green Version]
- Koch, G.; Varney, J.; Thompson, N.; Moghissi, O.; Gould, M.; Payer, J. International measures of prevention, application, and economics of corrosion technologies study. NACE Int. 2016, 216, 2–3. [Google Scholar]
- Faraj, L.; Khan, G.M. Application of Natural Product Extracts as Green Corrosion Inhibitors for Metals and Alloys in Acid Pickling Processes-A. Int. J. Electrochem. Sci. 2015, 10, 6120–6134. [Google Scholar]
- Rani, B.; Basu, B.B.J. Green inhibitors for corrosion protection of metals and alloys: An overview. Int. J. Corros. 2012, 2012, 380217. [Google Scholar] [CrossRef]
- Marzorati, S.; Verotta, L.; Trasatti, S.P. Green corrosion inhibitors from natural sources and biomass wastes. Molecules 2018, 24, 48. [Google Scholar] [CrossRef] [Green Version]
- Karki, N.; Neupane, S.; Chaudhary, Y.; Gupta, D.K.; Yadav, A.P. Berberis aristata: A highly efficient and thermally stable green corrosion inhibitor for mild steel in acidic medium. Anal. Bioanal. Electrochem. 2020, 12, 970–988. [Google Scholar]
- Ahmed, M.H.O.; Al-Amiery, A.A.; Al-Majedy, Y.K.; Kadhum, A.A.H.; Mohamad, A.B.; Gaaz, T.S. Synthesis and characterization of a novel organic corrosion inhibitor for mild steel in 1 M hydrochloric acid. Results Phys. 2018, 8, 728–733. [Google Scholar] [CrossRef]
- Kesavan, D.; Gopiraman, M.; Sulochana, N. Green inhibitors for corrosion of metals: A review. Chem. Sci. Rev. Lett. 2012, 1, 380217. [Google Scholar]
- Yahaya, L.; Aroyeun, S.; Ogunwolu, S.; Jayeola, C.; Igbinadolor, R. Green and Black Tea (Camellia sinensis) Extracts as Corrosion Inhibitor for Mild Steel in Acid Medium. World Appl. Sci. J. 2017, 35, 985–992. [Google Scholar]
- Bhardwaj, N.; Prasad, D.; Haldhar, R. Study of the Aegle marmelos as a green corrosion inhibitor for mild steel in acidic medium: Experimental and theoretical approach. J. Bio-Tribo-Corros. 2018, 4, 61. [Google Scholar] [CrossRef]
- Al-Mhyawi, S.R. Inhibition of mild steel corrosion using Juniperus plants as green inhibitior. Afr. J. Pure Appl. Chem. 2014, 8, 9–22. [Google Scholar]
- Fadare, O.; Okoronkwo, A.; Olasehinde, E. Assessment of anti-corrosion potentials of extract of Ficus asperifolia-Miq (Moraceae) on mild steel in acidic medium. Afr. J. Pure Appl. Chem. 2016, 10, 8–22. [Google Scholar] [CrossRef] [Green Version]
- Wang, X.; Jiang, H.; Zhang, D.-x.; Hou, L.; Zhou, W.-j. Solanum lasiocarpum L. extract as green corrosion inhibitor for A3 steel in 1 M HCl solution. Int. J. Electrochem. Sci. 2019, 14, 1178–1196. [Google Scholar] [CrossRef]
- Shrestha, P.R.; Oli, H.B.; Thapa, B.; Chaudhary, Y.; Gupta, D.K.; Das, A.K.; Nakarmi, K.B.; Singh, S.; Karki, N.; Yadav, A.P. Bark extract of Lantana camara in 1M HCl as green corrosion inhibitor for mild steel. Eng. J. 2019, 23, 205–211. [Google Scholar] [CrossRef]
- Abeng, F.; Idim, V.; Nna, P. Kinetics and thermodynamic studies of corrosion inhibition of mild steel using Methanolic extract of erigeron floribundus (Kunth) in 2 M HCl solution. World News Nat. Sci. 2017, 10, 26–38. [Google Scholar]
- Nnanna, L.A.; Uchendu, K.O.; Nwosu, F.O.; Ihekoronye, U.; Eti, P. Gmelina Arborea Bark Extracts as a Corrosion Inhibitor for mild steel in an acidic environment. Int. J. Mater. Chem. 2014, 4, 34–39. [Google Scholar]
- Muthukrishnan, P.; Jeyaprabha, B.; Prakash, P. Mild steel corrosion inhibition by aqueous extract of Hyptis Suaveolens leaves. Int. J. Ind. Chem. 2014, 5, 1–11. [Google Scholar] [CrossRef] [Green Version]
- Mathur, N.; Chhipa, R. Study of Corrosion Inhibitors (Pennisetum glaucum extracts) on Mild Steel used in Building Construction. Inter. J. Eng. Sci. Res. Technol. 2014, 3, 845. [Google Scholar]
- Okafor, P.C.; Ebenso, E.E.; Ekpe, U.J. Azadirachta indica extracts as corrosion inhibitor for mild steel in acid medium. Int. J. Electrochem. Sci. 2010, 5, 978–993. [Google Scholar]
- Rocha, J.C.d.; Gomes, J.A.d.C.P.; D’Elia, E. Aqueous extracts of mango and orange peel as green inhibitors for carbon steel in hydrochloric acid solution. Mater. Res. 2014, 17, 1581–1587. [Google Scholar] [CrossRef] [Green Version]
- Njoku, V.; Oguzie, E.; Obi, C.; Ayuk, A. Baphia nitida leaves extract as a green corrosion inhibitor for the corrosion of mild steel in acidic media. Spectroscopy 2014, 24, 26–28. [Google Scholar] [CrossRef] [Green Version]
- Pandian, B.R.; Sethuraman, M.G. Solanum tuberosum as an inhibitor of mild steel corrosion in acid media. Iran. J. Chem. Chem. Eng.-Int. Engl. Ed. 2009, 28, 77–84. [Google Scholar]
- Fidrusli, A.; Mahmood, M. Ginger extract as green corrosion inhibitor of mild steel in hydrochloric acid solution. In IOP Conference Series: Materials Science and Engineering; IOP Publishing: Philadelphia, PA, USA, 2018; p. 012087. [Google Scholar]
- Okewale, A.; Olaitan, A. The use of rubber leaf extract as a corrosion inhibitor for mild steel in acidic solution. Int. J. Mater. Chem. 2017, 7, 5–13. [Google Scholar]
- Idouhli, R.; Koumya, Y.; Khadiri, M.; Aityoub, A.; Abouelfida, A.; Benyaich, A. Inhibitory effect of Senecio anteuphorbium as green corrosion inhibitor for S300 steel. Int. J. Ind. Chem. 2019, 10, 133–143. [Google Scholar] [CrossRef] [Green Version]
- Ogunleye, O.; Arinkoola, A.; Eletta, O.; Agbede, O.; Osho, Y.; Morakinyo, A.; Hamed, J. Green corrosion inhibition and adsorption characteristics of Luffa cylindrica leaf extract on mild steel in hydrochloric acid environment. Heliyon 2020, 6, e03205. [Google Scholar] [CrossRef] [Green Version]
- Karki, N.; Neupane, S.; Gupta, D.K.; Das, A.K.; Singh, S.; Koju, G.M.; Chaudhary, Y.; Yadav, A.P. Berberine isolated from Mahonia nepalensis as an eco-friendly and thermally stable corrosion inhibitor for mild steel in acid medium. Arab. J. Chem. 2021, 14, 103423. [Google Scholar] [CrossRef]
- Lebrini, M.; Robert, F.; Lecante, A.; Roos, C. Corrosion inhibition of C38 steel in 1M hydrochloric acid medium by alkaloids extract from Oxandra asbeckii plant. Corros. Sci. 2011, 53, 687–695. [Google Scholar] [CrossRef]
- Raja, P.B.; Qureshi, A.K.; Rahim, A.A.; Osman, H.; Awang, K. Neolamarckia cadamba alkaloids as eco-friendly corrosion inhibitors for mild steel in 1 M HCl media. Corros. Sci. 2013, 69, 292–301. [Google Scholar] [CrossRef]
- Raja, P.B.; Qureshi, A.K.; Rahim, A.A.; Awang, K.; Mukhtar, M.R.; Osman, H. Indole Alkaloids of Alstonia angustifolia var. latifolia as Green Inhibitor for Mild Steel Corrosion in 1M HCl Media. J. Mater. Eng. Perform. 2013, 22, 1072–1078. [Google Scholar] [CrossRef]
- Kamal, C.; Sethuraman, M.G. Caulerpin—A bis-Indole Alkaloid As a Green Inhibitor for the Corrosion of Mild Steel in 1 M HCl Solution from the Marine Alga Caulerpa racemosa. Ind. Eng. Chem. Res. 2012, 51, 10399–10407. [Google Scholar] [CrossRef]
- Chapagain, A.; Acharya, D.; Das, A.K.; Chhetri, K.; Oli, H.B.; Yadav, A.P. Alkaloid of Rhynchostylis retusa as Green Inhibitor for Mild Steel Corrosion in 1 M H2SO4 Solution. Electrochem 2022, 3, 211–224. [Google Scholar] [CrossRef]
- Wei, H.; Heidarshenas, B.; Zhou, L.; Hussain, G.; Li, Q.; Ostrikov, K. Green inhibitors for steel corrosion in acidic environment: State of art. Mater. Today Sustain. 2020, 10, 100044. [Google Scholar] [CrossRef]
- Judzentiene, A. Chemical composition of essential oils of Artemisia vulgaris L. (mugwort) from plants grown in North Lithuania. Chemija 2006, 17, 12–15. [Google Scholar]
- Ashok, P.; Kumud, U. Preliminary phytochemical screening and physico-chemical parameters of aerial parts of Artemisia vulgaris. Int. J. Res. Ayurveda Pharm. 2010, 1, 206–211. [Google Scholar]
- Pandey, B.P.; Thapa, R.; Upreti, A. Chemical composition, antioxidant and antibacterial activities of essential oil and methanol extract of Artemisia vulgaris and Gaultheria fragrantissima collected from Nepal. Asian Pac. J. Trop. Med. 2017, 10, 952–959. [Google Scholar] [CrossRef]
- Rashid, M.U.; Alamzeb, M.; Ali, S.; Ullah, Z.; Shah, Z.A.; Naz, I.; Khan, M.R. The chemistry and pharmacology of alkaloids and allied nitrogen compounds from Artemisia species: A review. Phytother. Res. 2019, 33, 2661–2684. [Google Scholar] [CrossRef]
- Bajracharya, M.; Sapkota, M. Profitability and productivity of potato (Solanum tuberosum) in Baglung district, Nepal. Agric. Food Secur. 2017, 6, 47. [Google Scholar] [CrossRef] [Green Version]
- Gnanasekaran, C.G.; Basalingappa, K.M. Solanum tuberosum L.: Botanical, Phytochemical, pharmacological and Nutritional significance. Int. J. Phytomed. 2018, 10, 115–124. [Google Scholar]
- Friedman, M. Analysis of biologically active compounds in potatoes (Solanum tuberosum), tomatoes (Lycopersicon esculentum), and jimson weed (Datura stramonium) seeds. J. Chromatogr. A 2004, 1054, 143–155. [Google Scholar] [CrossRef]
- Ikeuba, A.; Okafor, P.; Ekpe, U.; Ebenso, E.E. Alkaloid and non-alkaloid ethanolic extracts from seeds of Garcinia kola as green corrosion inhibitors of mild steel in H2SO4 solution. Int. J. Electrochem. Sci. 2013, 8, 7455–7467. [Google Scholar]
- Silverstein, R.M.; Bassler, G.C. Spectrometric identification of organic compounds. J. Chem. Educ. 1962, 39, 546. [Google Scholar] [CrossRef]
- Carmona-Téllez, S.; Alarcon-Flores, G.; Zaleta-Alejandre, E.; Rivera-Alvarez, Z.; Meza-Rocha, A.; Martínez-Martínez, R.; Murrieta, H.; Aguilar-Frutis, M.; Falcony, C. Luminescent polystyrene films, a novel way to reduce styrofoam residues. Rev. Mex. Física 2015, 61, 323–329. [Google Scholar]
- Karki, N.; Choudhary, Y.; Yadav, A.P. Thermodynamic, Adsorption and Corrosion Inhibition Studies of Mild Steel by Artemisia vulgaris Extract from Methanol as Green Corrosion Inhibitor in Acid Medium. J. Nepal Chem. Soc. 2018, 39, 76–85. [Google Scholar] [CrossRef] [Green Version]
- Palou, R.M.; Olivares-Xomelt, O.; Likhanova, N.V. Environmentally friendly corrosion inhibitors. Dev. Corros. Prot. 2014, 19, 431–432. [Google Scholar]
- Oli, H.B.; Parajuli, D.L.; Sharma, S.; Chapagain, A.; Yadav, A.P. Adsorption Isotherm and Activation Energy of Inhibition of Alkaloids on Mild Steel Surface in Acidic Medium. Amrit Res. J. 2021, 2, 59–67. [Google Scholar] [CrossRef]
- Dariva, C.G.; Galio, A.F. Corrosion inhibitors–principles, mechanisms and applications. Dev. Corros. Prot. 2014, 16, 365–378. [Google Scholar]
Publisher’s Note: MDPI stays neutral with regard to jurisdictional claims in published maps and institutional affiliations. |
© 2022 by the authors. Licensee MDPI, Basel, Switzerland. This article is an open access article distributed under the terms and conditions of the Creative Commons Attribution (CC BY) license (https://creativecommons.org/licenses/by/4.0/).
















