1D U-Net Enhanced QEPAS Sensor for Trace Water Vapor Detection
Abstract
1. Introduction
2. Materials and Methods
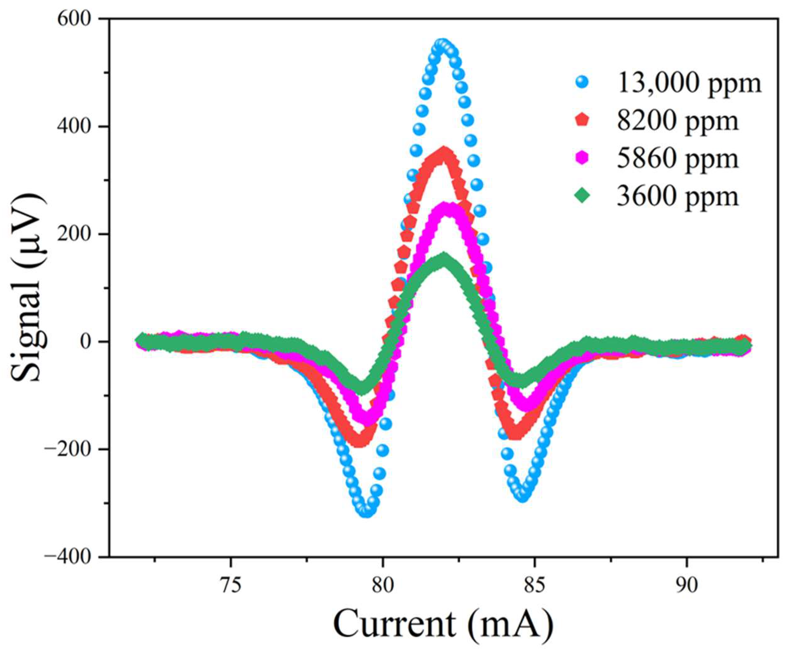
3. Results
4. Discussion
5. Validation
6. Conclusions
Author Contributions
Funding
Data Availability Statement
Conflicts of Interest
Abbreviations
| QEPAS | quartz-enhanced photoacoustic spectroscopy |
| PAS | photoacoustic spectroscopy |
| QTF | quartz tuning fork |
| LITES | light-induced thermoelastic spectroscopy |
| DL | deep learning |
| SNR | signal-to-noise ratio |
| MDL | minimum detection limit |
| TDM | time division multiplexing |
| FDM | frequency division multiplexing |
| TDLAS | tunable diode laser absorption spectroscopy |
References
- Yin, X.; Wu, H.; Dong, L.; Li, B.; Ma, W.; Zhang, L.; Yin, W.; Xiao, L.; Jia, S.; Tittel, F.K. Ppb-level SO2 photoacoustic sensors with a suppressed absorption–desorption effect by using a 7.41 μm external-cavity quantum cascade laser. ACS Sens. 2020, 5, 549–556. [Google Scholar] [CrossRef]
- Wei, T.; Zifarelli, A.; Dello Russo, S.; Wu, H.; Menduni, G.; Patimisco, P.; Sampaolo, A.; Spagnolo, V.; Dong, L. High and flat spectral responsivity of quartz tuning fork used as infrared photodetector in tunable diode laser spectroscopy. Appl. Phys. Rev. 2021, 8, 041409. [Google Scholar] [CrossRef]
- Li, S.; Lu, J.; Shang, Z.; Zeng, X.; Yuan, Y.; Wu, H.; Pan, Y.; Sampaolo, A.; Patimisco, P.; Spagnolo, V.; et al. Compact quartz-enhanced photoacoustic sensor for ppb-level ambient NO2 detection by use of a high-power laser diode and a grooved tuning fork. Photoacoustics 2022, 25, 100325. [Google Scholar] [CrossRef]
- Shang, Z.; Wu, H.; Li, S.; Wang, G.; Sampaolo, A.; Patimisco, P.; Spagnolo, V.; Dong, L. Ppb-level mid-IR quartz-enhanced photoacoustic sensor for sarin simulant detection using a T-shaped tuning fork. Sens. Actuators B Chem. 2023, 390, 133937. [Google Scholar] [CrossRef]
- Zhang, C.; Gao, Y.; Cui, R.; Zhang, H.; Tian, J.; Tang, Y.; Yang, L.; Feng, C.; Patimisco, P.; Sampaolo, A.; et al. Enhancing photoacoustic trace gas detection via a CNN–transformer denoising framework. Photoacoustics 2025, 45, 100758. [Google Scholar] [CrossRef] [PubMed]
- Feng, C.; Cui, R.; Menduni, G.; Zifarelli, A.; Patimisco, P.; Sampaolo, A.; Spagnolo, V.; Dong, L.; Wu, H. Detection of NH3 impurities in H2 environment exploiting quartz-enhanced photoacoustic spectroscopy with optimized spectrophone. Sens. Actuators B Chem. 2025, 432, 137488. [Google Scholar] [CrossRef]
- Olivieri, M.; Giglio, M.; Dello Russo, S.; Menduni, G.; Zifarelli, A.; Patimisco, P.; Sampaolo, A.; Wu, H.; Dong, L.; Spagnolo, V. Assessment of vibrational-translational relaxation dynamics of methane isotopologues in a wet-nitrogen matrix through quartz-enhanced photoacoustic spectroscopy. Photoacoustics 2023, 31, 100518. [Google Scholar] [CrossRef]
- Liu, Y.; Qiao, S.; Fang, C.; He, Y.; Sun, H.; Liu, J.; Ma, Y. A highly sensitive LITES sensor based on a multi-pass cell with dense spot pattern and a novel quartz tuning fork with low frequency. Opto-Electron. Adv. 2024, 7, 230230. [Google Scholar] [CrossRef]
- Qiao, S.; Sampaolo, A.; Patimisco, P.; Spagnolo, V.; Ma, Y. Ultra-highly sensitive HCl-LITES sensor based on low-frequency quartz tuning fork and fiber-coupled multi-pass cell. Photoacoustics 2022, 27, 100381. [Google Scholar] [CrossRef] [PubMed]
- Wang, Y.; He, Y.; Qiao, S.; Liu, X.; Zhang, C.; Duan, X.; Ma, Y. Fast step heterodyne light-induced thermoelastic spectroscopy gas sensing based on a quartz tuning fork with high-frequency of 100 kHz. Opto-Electron. Adv. 2026, 9, 250150. [Google Scholar] [CrossRef]
- Xie, Y.; Xiong, H.; Feng, S.; Pan, N.; Li, C.; Liu, Y.; Zhang, Y.; Shao, L.; Lu, G.; Liu, K.; et al. Sensitivity improvement of quartz-enhanced photoacoustic spectroscopy using stochastic resonance method. Photoacoustics 2025, 43, 100707. [Google Scholar] [CrossRef]
- Yi, H.; Laurent, O.; Schilt, S.; Ramonet, M.; Gao, X.; Dong, L.; Chen, W. Simultaneous monitoring of atmospheric CH4, N2O, and H2O using a single gas sensor based on Mid-IR quartz-enhanced photoacoustic spectroscopy. Anal. Chem. 2022, 94, 17522–17532. [Google Scholar] [CrossRef]
- Wang, Z.; Yang, M.; Fu, L.; Chen, C.; You, R.; Ren, W. Rapid field measurement of ventilation rate using a quartz-enhanced photoacoustic SF6 gas sensor. Meas. Sci. Technol. 2020, 31, 085105. [Google Scholar] [CrossRef]
- Yang, M.; Wang, Z.; Sun, H.; Hu, M.; Yeung, P.T.; Nie, Q.; Liu, S.; Akikusa, N.; Ren, W. Highly sensitive QEPAS sensor for sub-ppb N2O detection using a compact butterfly-packaged quantum cascade laser. Appl. Phys. B 2024, 130, 6. [Google Scholar] [CrossRef]
- Hu, L.; Zheng, C.; Zhang, M.; Yao, D.; Zheng, J.; Zhang, Y.; Wang, Y.; Tittel, F.K. Quartz-enhanced photoacoustic spectroscopy methane sensor system using quartz tuning fork-embedded, double-pass and off-beam configuration. Photoacoustics 2020, 18, 100174. [Google Scholar] [CrossRef]
- Xu, H.; Feng, Y.; Chen, Z.; Zhuang, Z.; Xia, J.; Zhao, Y.; Zhang, S. Dual-component beat-frequency quartz-enhanced photoacoustic spectroscopy gas detection system. Photonics 2025, 12, 747. [Google Scholar] [CrossRef]
- Sgobba, F.; Sampaolo, A.; Patimisco, P.; Giglio, M.; Menduni, G.; Ranieri, A.C.; Hoelzl, C.; Rossmadl, H.; Brehm, C.; Mackowiak, V.; et al. Compact and portable quartz-enhanced photoacoustic spectroscopy sensor for carbon monoxide environmental monitoring in urban areas. Photoacoustics 2022, 25, 100318. [Google Scholar] [CrossRef]
- Menduni, G.; Zifarelli, A.; Kniazeva, E.; Dello Russo, S.; Ranieri, A.C.; Ranieri, E.; Patimisco, P.; Sampaolo, A.; Giglio, M.; Manassero, F.; et al. Measurement of methane, nitrous oxide and ammonia in atmosphere with compact quartz-enhanced photoacoustic sensor. Sens. Actuators B Chem. 2023, 375, 132953. [Google Scholar] [CrossRef]
- Zhang, Y.; Xie, Y.; Lu, J.; Zhao, J.; Wu, Y.; Tong, J.; Shao, J. Continuous real-time monitoring of carbon dioxide emitted from human skin by quartz-enhanced photoacoustic spectroscopy. Photoacoustics 2023, 30, 100488. [Google Scholar] [CrossRef] [PubMed]
- Zhao, J.; Pan, Y.; Lu, P.; Zhang, X.; Li, T.; Zhang, J.; Sima, C.; Liu, D. Ppb-level all-optical off-axis QEPAS gas sensor based on dual-wavelength demodulation of out-of-plane vibration mode. Sens. Actuators B Chem. 2023, 385, 133689. [Google Scholar] [CrossRef]
- Wang, Z.; Nie, Q.; Sun, H.; Wang, Q.; Borri, S.; De Natale, P.; Ren, W. Cavity-enhanced photoacoustic dual-comb spectroscopy. Light Sci. Appl. 2024, 13, 11. [Google Scholar] [CrossRef]
- Li, T.; Zhao, P.; Wang, P.; Krishnaiah, K.V.; Jin, W.; Zhang, A.P. Miniature optical fiber photoacoustic gas sensor based on a 3D microprinted ferrule-top optomechanical resonator. In Proceedings of the Advanced Fiber Laser Conference (AFL 2024); SPIE: Bremerhaven, Germany, 2025; Volume 13544, pp. 263–268. [Google Scholar]
- Shi, J.; Zhao, J.; Zhang, H.; Fu, Y.; Qin, L.; Zhao, Y.; Feng, Y.; Chen, D.; Wang, Z. Signal enhancement of gas detection based on quartz-enhanced photothermal spectroscopy technology. Opt. Express 2024, 32, 27176–27187. [Google Scholar] [CrossRef]
- Feng, Y.; Chang, J.; Chen, X.; Zhang, Q.; Wang, Z.; Sun, J.; Zhang, Z. Application of TDM and FDM methods in TDLAS based multi-gas detection. Opt. Quantum Electron. 2021, 53, 195. [Google Scholar] [CrossRef]
- Nie, Q.; Wang, Z.; Borri, S.; De Natale, P.; Ren, W. Mid-infrared swept cavity-enhanced photoacoustic spectroscopy using a quartz tuning fork. Appl. Phys. Lett. 2023, 123, 054102. [Google Scholar] [CrossRef]
- Zheng, K.; Liao, H.; Han, F.; Wang, X.; Zhang, Y.; Gu, J.; Zhao, P.; Bao, H.; Yu, S.; Du, Q.; et al. Suspended waveguide-enhanced near-infrared photothermal spectroscopy for ppb-level molecular gas sensing on a chalcogenide chip. arXiv 2025, arXiv:2512.12171. [Google Scholar]
- Zheng, K.; Peng, Z.; Liao, H.; Huang, Y.; Bao, H.; Zhao, S.; Zhang, Y.; Zheng, C.; Wang, Y.; Jin, W. Dual slow-light enhanced photothermal gas spectroscopy on a silicon chip. Nat. Commun. 2025, 16, 10549. [Google Scholar] [CrossRef]
- Yao, C.; Shi, Z.; Li, Z.; Zhao, X. Fabry-Pérot photothermal interferometry in hollow-core antiresonant fiber for gas detection in mid-infrared. Sens. Actuators B Chem. 2024, 414, 135930. [Google Scholar] [CrossRef]
- Xiao, H.; Zhao, J.; Sima, C.; Lu, P.; Long, Y.; Ai, Y.; Zhang, W.; Pan, Y.; Zhang, J.; Liu, D. Ultra-sensitive ppb-level methane detection based on near-infrared all-optical photoacoustic spectroscopy using differential fiber-optic microphones with a gold-chromium composite nanomembrane. Photoacoustics 2022, 26, 100353. [Google Scholar] [CrossRef] [PubMed]
- Chen, X.; Xu, Y.; Qi, H.; Wang, H.; Li, C.; Zhao, X.; Chen, K. E-type resonant cell based photoacoustic sensor for flowing gas measurement. Sens. Actuators B Chem. 2025, 443, 138223. [Google Scholar] [CrossRef]
- Zhang, X.; Yang, Y.; Liu, L.; Sun, J.; Zeng, Y.; Yang, Z.; Yin, X.; Zhao, X.; Huan, H.; Shao, X.; et al. Branch enhanced photoacoustic sensor for comprehensive sevoflurane monitoring. ACS Sens. 2025, 10, 2598–2608. [Google Scholar] [CrossRef]
- Lou, C.; Liu, X.; Wang, Y.; Zhang, Y.; Li, Y.; Yao, J.; Chang, C.; Ma, Y.; Liu, X. Ultra-broadband optical detection from visible to terahertz range using a miniature quartz tuning fork. Opt. Lett. 2022, 47, 1875–1878. [Google Scholar] [CrossRef] [PubMed]
- Su, Z.; Wang, P.; Li, Z.; Li, Y.; Zhao, T.; Duan, Y.; Wang, F.; Zhu, C. Gas concentration prediction in photoacoustic spectroscopy using PSO-EAP-CNN to address correlation degradation. Photoacoustics 2025, 43, 100717. [Google Scholar] [CrossRef] [PubMed]
- Ye, W.; He, L.; Liu, W.; Yuan, Z.; Zheng, K.; Li, G. Optomechanical energy enhanced BF-QEPAS for fast and sensitive gas sensing. Photoacoustics 2025, 41, 100677. [Google Scholar] [CrossRef]
- Liu, K.; Mei, J.; Zhang, W.; Chen, W.; Gao, X. Multi-resonator photoacoustic spectroscopy. Sens. Actuators B Chem. 2017, 251, 632–636. [Google Scholar] [CrossRef]
- Rück, T.; Bierl, R.; Matysik, F.M. NO2 trace gas monitoring in air using off-beam quartz-enhanced photoacoustic spectroscopy and interference studies towards CO2, H2O and acoustic noise. Sens. Actuators B Chem. 2018, 255, 2462–2471. [Google Scholar] [CrossRef]
- Mordmueller, M.; Köhring, M.; Schade, W. Quartz-enhanced photoacoustic spectroscopy with electrical co-excitation for photoacoustic measurements in fluctuating background gases. Appl. Phys. B 2017, 123, 224. [Google Scholar] [CrossRef]
- Rey, J.M.; Sigrist, M.W. Non-dispersive sensing scheme based on mid-infrared light emitting diode and differential mode excitation in photoacoustic spectroscopy. Photoacoustics 2023, 29, 100455. [Google Scholar] [CrossRef]
- Duquesnoy, M.; Melkonian, J.-M.; Mammez, M.-H.; Levy, R.; Aoust, G.; Raybaut, M. Photoacoustic gas spectroscopy with custom quartz tuning forks: On the path to industrialization. In Optica Imaging Congress 2024 (3D, AOMS, COSI, ISA, pcAOP), Technical Digest Series, paper JTh2A.1; Optica Publishing Group: Washington, DC, USA, 2024. [Google Scholar] [CrossRef]
- Sampaolo, A.; Patimisco, P.; Giglio, M.; Zifarelli, A.; Wu, H.; Dong, L.; Spagnolo, V. Quartz-enhanced photoacoustic spectroscopy for multi-gas detection: A review. Anal. Chim. Acta 2021, 1161, 338894. [Google Scholar] [CrossRef]
- Sun, B.; Li, Y.; Gao, Z.; Zhang, M. Quartz-enhanced photoacoustic spectroscopy for SF6 gas matrix based on a T-shaped quartz tuning fork. Front. Phys. 2025, 13, 1569734. [Google Scholar] [CrossRef]
- Bi, S.; Zhang, X.; Zhang, Z.; Liu, X.; Qin, L.; Shi, J.; Zhao, Y.; Wang, Z. A light-induced thermoelastic spectroscopy using surface mounted device quartz tuning fork. Photoacoustics 2025, 42, 100686. [Google Scholar] [CrossRef] [PubMed]
- Zhang, T.; Gu, Y.; Zhang, Q.; Wei, Y.; Wang, L.; Li, C.; Wang, W.; Lv, J.; Feng, Y. Performance improvement of quartz-enhanced photoacoustic spectroscopy gas system using ICEEMDAN-PE-WTD. Infrared Phys. Technol. 2025, 145, 105650. [Google Scholar] [CrossRef]
- Manwar, R.; Zafar, M.; Xu, Q. Signal and image processing in biomedical photoacoustic imaging: A review. Optics 2020, 2, 1–24. [Google Scholar] [CrossRef]
- Kozmin, A.; Erushin, E.; Miroshnichenko, I.; Kostyukova, N.; Boyko, A.; Redyuk, A. Wavelet-Based Machine Learning Algorithms for Photoacoustic Gas Sensing. Optics 2024, 5, 207–222. [Google Scholar] [CrossRef]
- Shang, Z.; Li, S.; Wu, H.; Dong, L. Quartz enhanced photoacoustic detection based on an elliptical laser beam. Appl. Sci. 2020, 10, 1197. [Google Scholar] [CrossRef]
- Wang, Z.L.; Tian, C.W.; Liu, Q.; Chang, J.; Zhang, Q.D. The SNR improvement for quartz-enhanced photoacoustic spectroscopy using wavelength calibration and fiber reflector. Opt. Quantum Electron. 2018, 50, 187. [Google Scholar] [CrossRef]
- Chen, B.; He, T.; Chen, L.; Hu, Z.; Li, J. Self-calibration photoacoustic sensor for trace gas detection. Appl. Phys. B 2025, 131, 205. [Google Scholar] [CrossRef]
- Zifarelli, A.; Mongelli, L.A.; Kinjalk, K.; Baranov, A.; Patimisco, P.; Wang, Q.; Spagnolo, V.; Sampaolo, A. Reconstruction of the benzene absorption band at 14.8 μm in amplitude modulation exploiting a quartz tuning fork as optical detector. Sens. Actuators A Phys. 2025, 396, 117239. [Google Scholar] [CrossRef]
- Yin, X.; Zhu, C.; Yang, X.; Xu, K.; Liang, Y.; Zhang, D.; Mao, W.; Wu, H. Trace photoacoustic spectroscopy gas sensors for COx detection. Measurement 2026, 262, 120059. [Google Scholar] [CrossRef]
- Zhuang, R.; He, J.; Lin, H.; Luo, H.; Lin, L.; Wang, L.; Liu, B.; Zhu, W.; Zhong, Y.; Yu, J.; et al. Conductance-photoacoustic spectroscopy for fast and concurrent sensing of hydrogen and hydrocarbons. Photoacoustics 2025, 45, 100752. [Google Scholar] [CrossRef]
- Luo, H.; Li, J.; Lv, H.; Xie, J.; Wang, C.; Lin, H.; Zhuang, R.; Zhu, W.; Zhong, Y.; Kan, R.; et al. Off-plane quartz-enhanced photoacoustic spectroscopy. Opt. Lett. 2024, 49, 3206–3209. [Google Scholar] [CrossRef]
- Xie, J.; Lv, H.; Li, J.; Wang, C.; Lin, H.; Zhu, W.; Tang, J.; Zhong, Y.; He, X.; Yu, J.; et al. Microfiber knot resonator augmented quartz-enhanced photoacoustic spectroscopy. Infrared Phys. Technol. 2024, 136, 105037. [Google Scholar] [CrossRef]
- Luo, H.; Yang, Z.; Zhuang, R.; Lv, H.; Wang, C.; Lin, H.; Zhang, D.; Zhu, W.; Zhong, Y.; Cao, Y.; et al. Ppbv-level mid-infrared photoacoustic sensor for mouth alcohol test after consuming lychee fruits. Photoacoustics 2023, 33, 100559. [Google Scholar] [CrossRef] [PubMed]
- Zhuang, R.; Lin, L.; Wang, C.; Lin, H.; Luo, H.; Lv, H.; Zhu, W.; Zhong, Y.; Liu, B.; Kan, R.; et al. Quartz-enhanced photoacoustic spectroscopy-conductance spectroscopy for gas mixture analysis. Anal. Chem. 2023, 95, 9575–9580. [Google Scholar] [CrossRef] [PubMed]
- Lin, L.; Lin, H.; Hong, G.; He, J.; Wang, L.; Zhuang, R.; Zhu, W.; Zhong, Y.; Yu, J.; Zheng, H. A compact 2.3 μm DFB-laser CO sensor using MPC-LITES for real-time monitoring of cigarette smoke. Sensors 2025, 25, 6894. [Google Scholar] [CrossRef] [PubMed]








Disclaimer/Publisher’s Note: The statements, opinions and data contained in all publications are solely those of the individual author(s) and contributor(s) and not of MDPI and/or the editor(s). MDPI and/or the editor(s) disclaim responsibility for any injury to people or property resulting from any ideas, methods, instructions or products referred to in the content. |
© 2026 by the authors. Licensee MDPI, Basel, Switzerland. This article is an open access article distributed under the terms and conditions of the Creative Commons Attribution (CC BY) license.
Share and Cite
Xiao, H.; Wu, J.; Lin, H.; Wang, L.; He, J.; Lin, L.; Zhuang, R.; Hong, G.; Xie, J.; Yu, J.; et al. 1D U-Net Enhanced QEPAS Sensor for Trace Water Vapor Detection. Optics 2026, 7, 15. https://doi.org/10.3390/opt7010015
Xiao H, Wu J, Lin H, Wang L, He J, Lin L, Zhuang R, Hong G, Xie J, Yu J, et al. 1D U-Net Enhanced QEPAS Sensor for Trace Water Vapor Detection. Optics. 2026; 7(1):15. https://doi.org/10.3390/opt7010015
Chicago/Turabian StyleXiao, Huiming, Jiahui Wu, Haoyang Lin, Lihao Wang, Jianfeng He, Leqing Lin, Ruobin Zhuang, Guantian Hong, Jiabao Xie, Jianhui Yu, and et al. 2026. "1D U-Net Enhanced QEPAS Sensor for Trace Water Vapor Detection" Optics 7, no. 1: 15. https://doi.org/10.3390/opt7010015
APA StyleXiao, H., Wu, J., Lin, H., Wang, L., He, J., Lin, L., Zhuang, R., Hong, G., Xie, J., Yu, J., Zhu, W., Zhong, Y., Song, Z., & Zheng, H. (2026). 1D U-Net Enhanced QEPAS Sensor for Trace Water Vapor Detection. Optics, 7(1), 15. https://doi.org/10.3390/opt7010015

