A Preliminary Investigation on the Photothermal Properties of Luminescent Solar Concentrators
Abstract
:1. Introduction
2. Experimental
2.1. Device Fabrication
2.2. Device Characterization
2.3. Ray-Tracing Simulation
3. Results and Discussion
3.1. PV Properties
3.2. PT Properties
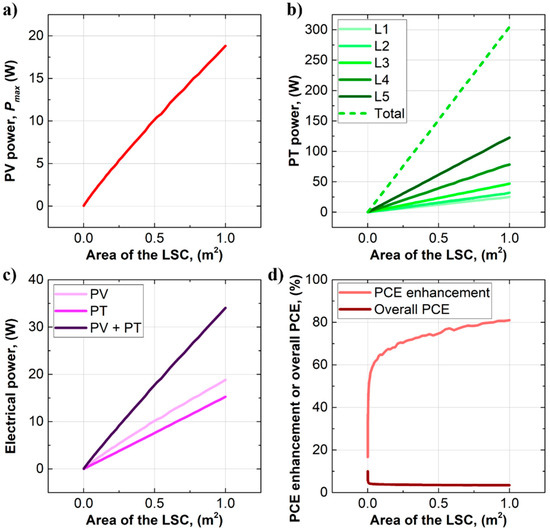
3.3. Projected Performance
4. Conclusions
Author Contributions
Funding
Institutional Review Board Statement
Informed Consent Statement
Acknowledgments
Conflicts of Interest
References
- Kammen, D.M.; Sunter, D.A. City-integrated renewable energy for urban sustainability. Science 2016, 352, 922–928. [Google Scholar] [CrossRef] [PubMed] [Green Version]
- Villa-Arrieta, M.; Sumper, A. Economic evaluation of nearly zero energy cities. Appl. Energy 2019, 237, 404–416. [Google Scholar] [CrossRef]
- Thellufsen, J.Z.; Lund, H.; Sorknæs, P.; Østergaard, P.A.; Chang, M.; Drysdale, D.; Nielsen, S.; Djørup, S.R.; Sperling, K. Smart energy cities in a 100% renewable energy context. Renew. Sustain. Energy Rev. 2020, 129, 109922. [Google Scholar] [CrossRef]
- Tsalikis, G.; Martinopoulos, G. Solar energy systems potential for nearly net zero energy residential buildings. Sol. Energy 2015, 115, 743–756. [Google Scholar] [CrossRef]
- Good, C.; Andresen, I.; Hestnes, A.G. Solar energy for net zero energy buildings—A comparison between solar thermal, PV and photovoltaic-thermal (PV/T) systems. Sol. Energy 2015, 122, 986–996. [Google Scholar] [CrossRef] [Green Version]
- Vanaga, R.; Blumberga, A.; Freimanis, R.; Mols, T.; Blumberga, D. Solar facade module for nearly zero energy building. Energy 2018, 157, 1025–1034. [Google Scholar] [CrossRef]
- Holliday, S.; Li, Y.; Luscombe, C.K. Recent advances in high performance donor-acceptor polymers for organic photovoltaics. Prog. Polym. Sci. 2017, 70, 34–51. [Google Scholar] [CrossRef]
- Hestnes, A.G. Building integration of solar energy systems. Sol. Energy 1999, 67, 181–187. [Google Scholar] [CrossRef]
- Chwieduk, D. Towards sustainable-energy buildings. Appl. Energy 2003, 76, 211–217. [Google Scholar] [CrossRef]
- Baetens, R.; Jelle, B.P.; Gustavsen, A. Properties, requirements and possibilities of smart windows for dynamic daylight and solar energy control in buildings: A state-of-the-art review. Sol. Energy Mater. Sol. Cells 2010, 94, 87–105. [Google Scholar] [CrossRef] [Green Version]
- Poulek, V.; Šafránková, J.; Černá, L.; Libra, M.; Beránek, V.; Finsterle, T.; Hrzina, P. PV Panel and PV Inverter Damages Caused by Combination of Edge Delamination, Water Penetration, and High String Voltage in Moderate Climate. IEEE J. Photovolt. 2021, 11, 561–565. [Google Scholar] [CrossRef]
- Debije, M.G.; Verbunt, P.P.C. Thirty years of luminescent solar concentrator research: Solar energy for the built environment. Adv. Energy Mater. 2012, 2, 12–35. [Google Scholar] [CrossRef]
- Reinders, A.; Kishore, R.; Slooff, L.; Eggink, W. Luminescent solar concentrator photovoltaic designs. Jpn. J. Appl. Phys. 2018, 57, 08RD10. [Google Scholar] [CrossRef]
- Roncali, J. Luminescent solar collectors: Quo vadis? Adv. Energy Mater. 2020, 10, 2001907. [Google Scholar] [CrossRef]
- Li, Y.; Sun, Y.; Zhang, Y. Luminescent solar concentrators performing under different light conditions. Sol. Energy 2019, 188, 1248–1255. [Google Scholar] [CrossRef]
- Weber, W.H.; Lambe, J. Luminescent greenhouse collector for solar radiation. Appl. Opt. 1976, 15, 2299–2300. [Google Scholar] [CrossRef] [PubMed]
- Goetzberger, A.; Greube, W. Solar energy conversion with fluorescent collectors. Appl. Phys. 1977, 14, 123–139. [Google Scholar] [CrossRef]
- Li, Y.; Zhang, X.; Zhang, Y.; Dong, R.; Luscombe, C.K. Review on the role of polymers in luminescent solar concentrators. J. Polym. Sci. A 2019, 57, 201–215. [Google Scholar] [CrossRef] [Green Version]
- Li, Y.; Scudiero, L.; Ren, T.; Dong, W.-J. Synthesis and characterizations of benzothiadiazole-based fluorophores as potential wavelength-shifting materials. J. Photochem. Photobiol. A 2012, 231, 51–59. [Google Scholar] [CrossRef]
- Li, Y.; Ren, T.; Dong, W.-J. Tuning photophysical properties of triphenylamine and aromatic cyano conjugate-based wavelength-shifting compounds by manipulating intramolecular charge transfer strength. J. Photochem. Photobiol. A 2013, 251, 1–9. [Google Scholar] [CrossRef]
- Li, Y.; Li, Z.; Wang, Y.; Compaan, A.; Ren, T.; Dong, W.-J. Increasing the power output of a CdTe solar cell via luminescent down shifting molecules with intramolecular charge transfer and aggregation-induced emission characteristics. Energy Environ. Sci. 2013, 6, 2907–2911. [Google Scholar] [CrossRef]
- Li, Y.; Li, Z.; Ablekim, T.; Ren, T.; Dong, W.J. Rational design of tetraphenylethylene-based luminescent down-shifting molecules: Photophysical studies and photovoltaic applications in a CdTe solar cell from small to large units. Phys. Chem. Chem. Phys. 2014, 16, 26193–26202. [Google Scholar] [CrossRef]
- Li, Y.; Olsen, J.; Dong, W.J. Enhancing the output current of a CdTe solar cell via a CN-free hydrocarbon luminescent down-shifting fluorophore with intramolecular energy transfer and restricted internal rotation characteristics. Photochem. Photobiol. Sci. 2015, 14, 833–841. [Google Scholar] [CrossRef] [PubMed]
- Li, Y.; Olsen, J.; Nunez-Ortega, K.; Dong, W.-J. A structurally modified perylene dye for efficient luminescent solar concentrators. Sol. Energy 2016, 136, 668–674. [Google Scholar] [CrossRef]
- Zhou, Y.; Zhao, H.; Ma, D.; Rosei, F. Harnessing the properties of colloidal quantum dots in luminescent solar concentrators. Chem. Soc. Rev. 2018, 47, 5866–5890. [Google Scholar] [CrossRef]
- Freitas, V.T.; Fu, L.; Cojocariu, A.M.; Cattoën, X.; Bartlett, J.R.; Parc, R.L.; Bantignies, J.-L.; Man, M.W.C.; André, P.S.; Ferreira, R.A.S.; et al. Eu3+-based bridged silsesquioxanes for transparent luminescent solar concentrators. ACS Appl. Mater. Interfaces 2015, 7, 8770–8778. [Google Scholar] [CrossRef] [PubMed]
- Tseng, J.K.; Chen, Y.J.; Pan, C.T.; Wu, T.T.; Chung, M.H. Application of optical film with micro-lens array on a solar concentrator. Sol. Energy 2011, 85, 2167–2178. [Google Scholar] [CrossRef]
- Chandra, S.; Doran, J.; McCormack, S.J.; Kennedy, M.; Chattenc, A.J. Enhanced quantum dot emission for luminescent solar concentrators using plasmonic interaction. Sol. Energy Mater. Sol. Cells 2012, 98, 385–390. [Google Scholar] [CrossRef] [Green Version]
- Debije, M.G.; Van, M.P.; Verbunt, P.P.; Kastelijn, M.J.; van der Blom, R.H.; Broer, D.J.; Bastiaansen, C.W. Effect on the output of a luminescent solar concentrator on application of organic wavelength-selective mirrors. Appl. Opt. 2010, 49, 745–751. [Google Scholar] [CrossRef]
- Xu, L.; Yao, Y.; Bronstein, N.D.; Li, L.; Alivisatos, A.P.; Nuzzo, R.G. Enhanced photon collection in luminescent solar concentrators with distributed bragg reflectors. ACS Photonics 2016, 3, 278–285. [Google Scholar] [CrossRef] [Green Version]
- Slooff, L.H.; Bende, E.E.; Burgers, A.R.; Budel, T.; Pravettoni, M.; Kenny, R.P.; Dunlop, E.D.; Büchtemann, A. A luminescent solar concentrator with 7.1% power conversion efficiency. Phys. Status Solidi RRL 2008, 2, 257–259. [Google Scholar] [CrossRef] [Green Version]
- Goldschmidt, J.C.; Peters, M.; Bösch, A.; Helmers, H.; Dimroth, F.; Glunz, S.W.; Willeke, G. Increasing the efficiency of fluorescent concentrator systems. Sol. Energy Mater. Sol. Cells 2009, 93, 176–182. [Google Scholar] [CrossRef]
- Desmet, L.; Ras, A.J.; de Boer, D.K.; Debije, M.G. Monocrystalline silicon photovoltaic luminescent solar concentrator with 4.2% power conversion efficiency. Opt. Lett. 2012, 37, 3087–3089. [Google Scholar] [CrossRef]
- Li, Y.; Sun, Y.; Zhang, Y.; Li, Y.; Verduzco, R. High-performance hybrid luminescent-scattering solar concentrators based on a luminescent conjugated polymer. Polym. Int. 2021, 70, 475–482. [Google Scholar] [CrossRef]
- Mateen, F.; Li, Y.; Saeed, M.A.; Sun, Y.; Zhang, Y.; Lee, S.Y.; Hong, S.-K. Large-area luminescent solar concentrator utilizing donor-acceptor luminophore with nearly zero reabsorption: Indoor/outdoor performance evaluation. J. Lumin. 2021, 231, 117837. [Google Scholar] [CrossRef]
- Hernandez-Noyola, H.; Potterveld, D.H.; Holt, R.J.; Darling, S.B. Optimizing luminescent solar concentrator design. Energy Environ. Sci. 2012, 5, 5798–5802. [Google Scholar] [CrossRef]
- Li, Y.; Sun, Y.; Zhang, Y. Boosting the cost-effectiveness of luminescent solar concentrators through subwavelength sanding treatment. Sol. Energy 2020, 198, 151–159. [Google Scholar] [CrossRef]
- Li, Y.; Sun, Y.; Zhang, Y. Regional measurements to analyze large-area luminescent solar concentrators. Renew. Energy 2020, 160, 127–135. [Google Scholar] [CrossRef]
- Li, Y.; Sun, Y.; Zhang, Y.; Dong, W.-J. Improving the photostability of printed organic photovoltaics through luminescent solar concentrators. Opt. Mater. 2020, 108, 110194. [Google Scholar] [CrossRef]
- Li, Y.; Zhang, Y.; Sun, Y.; Ren, T. Spectral response of large-area luminescent solar concentrators. Appl. Opt. 2020, 59, 8964–8969. [Google Scholar] [CrossRef]




Publisher’s Note: MDPI stays neutral with regard to jurisdictional claims in published maps and institutional affiliations. |
© 2021 by the authors. Licensee MDPI, Basel, Switzerland. This article is an open access article distributed under the terms and conditions of the Creative Commons Attribution (CC BY) license (https://creativecommons.org/licenses/by/4.0/).
Share and Cite
Li, Y.; Sun, Y.; Zhang, Y.; Dong, W. A Preliminary Investigation on the Photothermal Properties of Luminescent Solar Concentrators. Optics 2021, 2, 148-154. https://doi.org/10.3390/opt2030014
Li Y, Sun Y, Zhang Y, Dong W. A Preliminary Investigation on the Photothermal Properties of Luminescent Solar Concentrators. Optics. 2021; 2(3):148-154. https://doi.org/10.3390/opt2030014
Chicago/Turabian StyleLi, Yilin, Yujian Sun, Yongcao Zhang, and Wenji Dong. 2021. "A Preliminary Investigation on the Photothermal Properties of Luminescent Solar Concentrators" Optics 2, no. 3: 148-154. https://doi.org/10.3390/opt2030014
APA StyleLi, Y., Sun, Y., Zhang, Y., & Dong, W. (2021). A Preliminary Investigation on the Photothermal Properties of Luminescent Solar Concentrators. Optics, 2(3), 148-154. https://doi.org/10.3390/opt2030014

