Next Article in Journal
Structural Characterization and Photocatalytic Performance of PDMS/TiO2 Nanocomposites Prepared via Ex Situ Dispersion Route
Previous Article in Journal
Dynamic Maintenance Optimization of the DS306 Detacher: A Preventive Approach and Operational Diagnosis
 
 
Font Type:
Arial Georgia Verdana
Font Size:
Aa Aa Aa
Line Spacing:
Column Width:
Background:
Article

Prediction of Post-Impact Load-Bearing Capacity in Non-Crimp Fabric Composite Members

by
Milad Kazemian
* and
Aleksandr Cherniaev
Department of Mechanical, Automotive and Materials Engineering, University of Windsor, 401 Sunset Ave., Windsor, ON N9B 3P4, Canada
*
Author to whom correspondence should be addressed.
Appl. Mech. 2026, 7(1), 17; https://doi.org/10.3390/applmech7010017
Submission received: 2 December 2025 / Revised: 1 February 2026 / Accepted: 5 February 2026 / Published: 11 February 2026

Abstract

Non-crimp fabric (NCF) composites are increasingly adopted for structural components due to their high mechanical performance and processability. Like other fibre-reinforced plastics, NCFs remain vulnerable to in-service damage from tool drops or unintended collisions, which can substantially reduce load-bearing capacity. This study aimed to develop a validated numerical model capable of simulating damage initiation and post-impact behaviour through an integrated experimental–numerical approach. The mechanical properties of a representative unidirectional NCF composite were first experimentally established. Then, tubular NCF subcomponents were fabricated and tested under a two-phase loading protocol. In the first phase, damage was introduced using quasi-static indentation or controlled low-velocity impact. In the second phase, the residual load-bearing capacity of the damaged subcomponents was assessed under four-point bending. To support the research objective, a finite element model was developed in LS-DYNA to simulate both phases, using the MAT_ENHANCED_COMPOSITE_DAMAGE (MAT54) material formulation. Non-measurable input parameters, including stress limit factors and erosion strain thresholds, were calibrated via parameter estimation, sensitivity analysis, and iterative refinement. The final model showed close agreement with experiments in predicted damage location, deformation mode, and residual strength. X-ray computed tomography was used to validate delamination predictions. The findings support the development of reliable and cost-effective numerical tools for damage assessment in advanced composite structures.

1. Introduction

Composite materials are widely used in load-bearing structures for their lightweight nature, design flexibility, and high specific strength and stiffness. NCFs comprise straight, parallel yarn bands joined by polyester stitching, producing distinct fibre bundles separated by resin-rich regions. The binder enhances manufacturability compared to UD tapes, while the lower crimp relative to woven fabrics improves mechanical properties, especially in compression [1]. Combining these advantages makes NCF composites suitable for aerospace, automotive, sports goods, and wind energy applications [2,3,4,5,6]. Despite their weight efficiency, CFRPs are susceptible to low-velocity impact (LVI) due to limited transverse load resistance and lack of through-thickness reinforcement [7,8,9,10]. In aerospace structures, LVI can result from tool drops, hail, runway debris, or bird strikes [11,12,13], causing visible or hidden damage such as delamination, matrix cracking, and fibre breakage, which reduce residual load-bearing capacity [14]. Such damage is often difficult to detect but may have catastrophic consequences. Identifying the extent of impact damage and the residual load-bearing capacity of the damaged member can help engineers design composite structures more efficiently and establish levels of “tolerable” damage at which replacement of an expensive component is unnecessary.

1.1. Review of Experimental and Numerical Studies

The low-velocity impact (LVI) response of composite materials has been extensively investigated through experimental and numerical studies. Experimental work provides detailed insight into damage mechanisms and often serves to validate simulation models. Numerous studies on UD ply-based laminates [8,14,15,16,17] have examined the effects of impact energy, location, and repair strategies on force–time response, absorbed energy, and delamination growth. For woven composites [18,19,20], impactor geometry, stacking sequence, and dent size have been linked to variations in delamination, fibre breakage, and matrix cracking. Research on non-crimp fabric (NCF) laminates under LVI is limited; for instance, Mendikute et al. [21] showed that higher void content decreases ultimate fibre failure force, dissipated energy, and post-impact stiffness while increasing delamination. Satyanarayana et al. [22] reported that higher impact energies enlarge delamination areas, with low-energy impacts dominated by delamination and no fibre breakage observed. Complex geometries have also been studied. Drop-weight impacts on UD CFRP beams [13] showed sequential damage from matrix cracking to delamination and micro-cracks. Thin-walled UD CFRP tubes [23] exhibited high sensitivity to transverse impacts, with severity increasing with energy. However, most tubular composite studies focus on axial crushing for energy absorption [24,25]. In addition to damage assessment, measuring residual load-bearing capacity after LVI is equally important for structural integrity assessment. Compression after impact (CAI) tests on UD [26,27,28,29] and woven [30,31] laminates have shown that delamination size, geometry, and buckling contribute to strength reduction. It should be noted that no post-LVI residual load-bearing capacity studies exist for NCF laminates, and only limited work on complex geometries [32] has examined parameters such as wall thickness and impactor shape.
Building on these experimental findings, numerous finite element (FE) studies have sought to replicate LVI behaviour in CFRP structures. For UD tape-based laminates, models combining Hashin’s criteria with cohesive zone modelling (CZM) [14,15,16,17] have reproduced peak force, absorbed energy, and delamination patterns with errors typically below 10%. These studies highlight a trade-off between shell and solid element formulations, with the former better capturing force–energy responses and the latter improving delamination accuracy. For woven laminates, FE models integrating CZM and continuum damage mechanics (CDM) [18,19,20] have successfully predicted force–time histories, ply-by-ply damage, and characteristic top-to-bottom failure sequences. Work on NCF laminates remains limited; Mendikute et al. [21] demonstrated that progressive damage modelling with cohesive elements can accurately capture peak loads, failure modes, and the influence of void content, while Satyanarayana et al. [22] reported a strong correlation between predicted and measured delamination growth and peak loads when validated against non-destructive evaluation data. Complex geometries have also been addressed: for beams and thin-walled tubes, CDM–CZM approaches [13,23] have reproduced sequential damage processes and identified layup sensitivity to transverse impacts; for axially loaded tubes, models employing cohesive tiebreak contacts, resin-layer interfaces, or user-defined subroutines [24,33,34] have captured crushing, fragmentation, and splaying, underscoring the role of interlaminar friction in energy absorption.
In addition to modelling impact damage, several studies have investigated residual load-bearing capacity after LVI. For UD laminates, combined CDM–CZM frameworks [27,28,35,36] have linked ply blocking, layup sequence, geometry, and buckling to post-impact strength reduction. In woven laminates, intra-laminar failure modelling with CZM [30,31] and multiscale techniques have accurately reproduced CAI strength, delamination morphology, and damage progression, consistently identifying intralaminar damage as the dominant contributor to residual load-bearing capacity loss. To date, no numerical studies have examined post-LVI residual load-bearing capacity in NCF laminates, and only limited work on complex geometries exists.
The literature shows a clear gap: most studies address impact damage assessment, with limited attention to residual load-bearing capacity, especially for structural members of complex geometry. Existing research primarily focuses on flat panels, while work on more intricate configurations remains rare due to the challenges of experimental testing and the computational demands of simulating progressive damage and failure. NCF composites, valued for their manufacturability and mechanical performance, have been scarcely studied in this context. Their distinct fibre architecture compared to UD tape and woven fabrics may influence impact resistance and damage propagation, requiring further investigation. This study develops and validates a finite element modelling framework in LS-DYNA to evaluate impact damage and residual load-bearing capacity of damaged NCF CFRP components, supported by experimental testing, and presents best-practice guidelines for accurate prediction of impact and post-impact behaviour.

1.2. Simulation Software and Material Model

In this investigation, LS-DYNA was employed as the modelling instrument. Among its composite material models, MAT54 (*MAT_ENHANCED_COMPOSITE_DAMAGE) and MAT58 (*MAT_LAMINATED_COMPOSITE_FABRIC) are the most prevalent for predicting damage evolution and failure mechanisms [37]. MAT54, based on progressive failure theory, models delamination, matrix fracture, and fibre fracture, and has been predominantly utilized for unidirectional (UD) CFRP composites [38,39,40,41,42,43,44,45]. MAT58, a continuum damage mechanics model, is primarily applied to woven CFRPs [38,46,47,48,49,50,51,52,53,54]. Although both models appear applicable to non-crimp fabrics (NCFs), MAT58 cannot capture the reduction in fibre-direction compressive strength following matrix cracking [38], thus constraining its suitability for residual load-bearing capacity evaluations under complex loading conditions. Also, with over 25 years of industrial application for UD tape composites, this material model has recently attracted research interest for NCF materials as well [22,39,55]. Consequently, MAT54 was selected for this study.
MAT54 utilizes the Chang–Chang matrix failure criterion to capture the progressive failure of composite materials. This model can define arbitrary orthotropic materials, such as unidirectional layers in composite structures, as Chang and Chang [56] demonstrated. MAT54 incorporates specific measures to account for failure under compression, as outlined in the comprehensive study by Matzenmiller and Schweizerhof [57]. The criteria proposed by Chang and Chang are explicitly presented as follows:
  • Tensile Fibre Mode:
e f T 2 = σ 11 X T 2 + β τ 12 S L 2 1
  • Compressive Fibre Mode:
e f C 2 = σ 11 X C 2 1
  • Tensile Matrix Mode:
e m T 2 = σ 22 Y T 2 + τ 12 S L 2 1
  • Compressive Matrix Mode:
e m T 2 = σ 22 Y T 2 + τ 12 S L 2 1
Here, σ i j are in-plane stresses in a ply, e f T , e f C , e m T , and e m C are the failure indices for longitudinal tensile, longitudinal compressive, transverse tensile, and transverse compressive failure, respectively, and β is the weighting factor for the shear term in tensile fibre mode.
The physical properties of the composite, determined through material characterization, must be defined according to the parameters required by MAT54. These include:
  • RO: Mass density;
  • EA, EB, EC: Young’s moduli in longitudinal, transverse, and normal directions;
  • PRBA, PRCA, PRCB: Major and minor Poisson’s ratios;
  • GAB, GBC, GCA: Shear moduli in longitudinal, transverse, and normal directions;
  • XC, XT: Longitudinal compressive and tensile strengths;
  • YC, YT: Transverse compressive and tensile strengths;
  • SC: Shear strength.
MAT54 also requires several non-physical input parameters, grouped as follows:
  • Erosion parameters: control removal of severely distorted elements based on timestep or strain criteria: DFAILM (matrix strain limit), DFAILS (shear strain limit), DFAILC (fibre compression strain limit), DFAILT (fibre tension strain limit), TFAIL (timestep criterion), EFS (effective failure strain).
  • Crashfront softening parameters: define potential damage zones ahead of the crash front and prevent unphysical global buckling. As elements erode, connected elements lose strength according to: SOFT (strength reduction factor), SOFT2 (orthogonal strength reduction), SOFTG (reduction of transverse shear moduli GBC and GCA).
  • Stress limit parameters (SLIM_): determine residual strength after failure: SLIMT1 (fibre tensile), SLIMC1 (fibre compressive), SLIMT2 (matrix tensile), SLIMC2 (matrix compressive), SLIMS (shear). Figure A1 illustrates this for SLIMC1.
Additionally, MAT54 can reduce longitudinal compressive strength ( X C ) after transverse matrix failure, reflecting the reduced ability of a cracked matrix to support fibres against microbuckling. This is implemented through a reduction factor. YCFAC, which signifies that the compressive strength in the fibre direction post-matrix failure, is shown in Equation (5).
X C = Y C F A C × Y C
FBRT is a similar parameter intended for reducing the tensile strength of a ply upon matrix failure, such that:
X T = F B R T × X T

1.3. Objectives of the Study

The literature shows a clear imbalance between damage characterization and assessment of post-impact residual load-bearing capacity, particularly for load-bearing members with complex geometries, while most available studies focus on flat panels. This gap is especially evident for NCF composites, whose distinct fibre architecture, compared to unidirectional tape and woven fabrics, can significantly influence impact damage mechanisms, delamination development, and subsequent structural response under bending-dominated loading. Despite their increasing use in structural applications due to favorable manufacturability and mechanical performance, validated approaches for predicting the residual structural capacity of impact-damaged NCF members remain limited.
Motivated by these challenges, this study aims to establish best practices for predicting the residual load-bearing capacity of impact-damaged NCF components using LS-DYNA. The objectives are to: (1) construct a finite element model of a tubular NCF beam in LS-DYNA employing MAT54 to predict damage from transverse loading and residual capacity, defined here as the load-at-failure under four-point bending; (2) define MAT54 parameters, using measurable values from NCF material characterization and non-measurable values calibrated with quasi-static subcomponent tests; (3) verify the model under dynamic loading by comparing simulations with experiments; and (4) propose best-practice guidelines for modelling LVI damage and post-LVI residual capacity in NCF members, including recommendations for parameter selection and calibration.

2. Experimental Measurements

This section describes the experimental tests conducted to characterize the mechanical properties of the NCF CFRP material and assess its structural response under controlled loading conditions. The study begins with microstructural characterization using scanning electron microscopy (SEM), followed by standard mechanical tests—tensile, compression, shear, double cantilever beam (DCB), and end-notched flexure (ENF)—to obtain properties for the numerical model. Two-phase quasi-static experiments are then conducted on NCF CFRP tubular subcomponents with two layups. Phase I introduces damage via quasi-static indentation or drop-weight impact; Phase II evaluates residual load-bearing capacity through four-point bending, with the damaged region under either compressive or tensile stress. These subcomponent tests provide verification data for the numerical model, enabling a comprehensive assessment of NCF behaviour under different loading conditions.

2.1. Material and Manufacturing

This study employed a unidirectional intermediate modulus (IM) non-crimp carbon fabric pre-impregnated with epoxy resin, composed of 12 K carbon fibre tows. The carbon fibres have a density of 0.956 g/cm3, a tensile strength of 3.25 GPa, and a Young’s modulus of 165.47 GPa, while the resin’s corresponding values are 1.21 g/cm3, 0.079 GPa, and 2.8 GPa [58]. The prepreg contains 38 ± 3% resin by volume. Polyester binder stitches secure the fibre tows in place (Figure A2), providing weight and cost advantages over woven fabrics. However, stitching inevitably introduces resin-rich zones and localized fibre distortions, which can influence load transfer and reduce effective properties, particularly in compression.
To characterize the material and these stitching-related effects, the laminate microstructure was examined using SEM to assess fibre alignment, resin distribution, and void content. Ten-ply coupons (15 × 15 mm) were prepared and polished to 6000 grit for imaging. Across all samples, fibre orientation was consistent through the thickness. Cross-sectional images showed well-impregnated tows with uniform fibre distribution, minimal porosity, and resin-rich inter-tow regions. Top-view observations revealed binder-induced void pockets between plies and localized tow distortion, though fibre packing within tows remained dense. Through-thickness images displayed the stacking sequence and non-zero tow crimp, with magnified views illustrating polyester binder yarns at a scale comparable to individual fibres (Figure 1).
Given the sensitivity of microstructural quality to manufacturing parameters, the curing process was selected to minimize residual stresses while ensuring full polymerization. For the NCF prepreg, the supplier specifies three curing cycles: 154 °C for 1 h, 143 °C for 2 h, and 132 °C for 4 h. The lowest-temperature, longest-duration cycle was adopted to promote uniform heating and dimensional stability. Two custom aluminum moulds were designed and fabricated at the University of Windsor for producing both flat laminates and tubular components (Figure A3). These moulds employ torque-controlled screws to maintain consistent curing pressure in the oven.

2.2. Testing Equipment and Material Characterization

Following manufacturing, a comprehensive experimental programme was implemented to characterize the mechanical behaviour of the NCF composite and validate subcomponent performance. Advanced, calibrated equipment was employed to ensure test reliability and consistency. The complete test matrix, summarised in Table 1, comprised both material characterization and subcomponent verification tests. Subcomponent tests included quasi-static indentation, dynamic low-velocity impact, and four-point bending to evaluate residual load-bearing capacity.
All quasi-static tests were performed using an MTS Criterion C43.504 electromechanical load frame by MTS Systems Corporation, Eden Prairie, MN, USA. Dynamic impact experiments were carried out using a custom-built drop tower developed at the University of Windsor under the supervision of Dr. Cherniaev. The system, designed in accordance with ASTM D7136, allows adjustable drop heights (0.5–1.5 m) and interchangeable striker masses (0.5–6.5 kg) to achieve a range of impact energies. The striker assembly incorporates a hardened tool steel (60 HRC) cylindrical head mounted on an aluminum carriage optimized in SolidWorks v2023 to ensure high stiffness during loading.
To obtain the constitutive properties required for numerical modelling, tensile, compression, shear, and fracture standard tests were conducted on specimens extracted from flat NCF panels with tailored thickness and fibre orientations. Digital image correlation (DIC) was employed for strain measurement, using an Advantage AVX video extensometer coupled with a Manta G146B ASG industrial camera by Allied Vision Technologies GmbH, Stadtroda, Germany. For tensile tests, strain was recorded in real time via MTS AVX software v4.1.7, whereas more complex configurations—such as 10° off-axis tensile specimens—were post-processed in GOM Correlate to evaluate shear response. Specimen configurations, dimensions, stack-up sequence and applicable standards are provided in Table 2, with Figure A4 showing the panel layout and extraction locations along with the actual specimen. A summary of the resulting mechanical properties is presented in Table 3, which also includes the number of tested samples and statistical evaluation of the data. The relatively high coefficients of variation for few properties primarily reflect the inherent variability of composite materials, as well as the sensitivity of matrix-dominated properties and delamination tests to minor experimental or specimen preparation inconsistencies.

2.3. Subcomponent Tests

Following the material characterization tests, structural-level experiments were carried out to evaluate the behaviour of tubular composite subcomponents under service-representative loading and damage conditions.
Quasi-static tests were conducted to investigate damage initiation and progression due to transverse loading, as well as the residual load-bearing capacity after damage. Damage was introduced using a metallic cylindrical indenter, applying a displacement-controlled load at 0.5 mm/min to a target indentation depth of 15 mm at the tube midspan. This loading produced localized deformation accompanied by fibre breakage, matrix cracking, delamination, and cross-sectional reduction, with load–displacement data recorded throughout (Figure 2, top section).
Damaged tubes were subsequently subjected to four-point bending to quantify their residual strength. The test configuration provided a constant bending moment between loading points, with two orientations examined: damaged region under tensile stress (“looking” down) and under compressive stress (“looking” up), as illustrated in Figure 2, bottom section. Two layups, 0 4 / 90 3 S (Layup #1) and 9 0 5 / 0 2 S (Layup #2), were compared to assess the influence of fibre orientation on damage propagation and post-damage structural response. Force–displacement curves (Figure 3) revealed differences in stiffness, damage tolerance, and failure modes under identical loading. Residual load-bearing capacity was consistently higher when the damaged region was under tensile stress, attributed to load redistribution from damaged to intact fibres. In contrast, compressive orientation promoted local wall buckling, delamination growth, and laminate disintegration.
Dynamic impact tests were performed to replicate service-like accidental events, such as tool drops or in-service collisions. These tests formed Phase I of a two-phase protocol, with Phase II—residual load-bearing capacity assessment—conducted under the same quasi-static four-point bending procedure described above. Impact tests were conducted on 0 4 / 90 3 S (Layup #1) specimens using the custom-built drop tower (Figure 4). A 5.27 kg cylindrical steel impactor was released from 1.33 m, reaching an impact velocity of 4.82 m/s. Based on the drop tower dimensions and the measured impact velocity, the corresponding impact energy was calculated as 61.17 J. The resulting peak loads are summarised in Table 4.

3. Numerical Modelling

This section details the numerical modelling procedures. The approach involved: (1) developing a baseline LS-DYNA model replicating the two-phase experiment, defining element formulation, friction coefficient, thickness update, through-thickness shear distribution, and baseline MAT54 non-measurable parameters; (2) performing a sensitivity study to identify the most influential non-measurable parameters; (3) calibrating these parameters for optimal agreement with experiments; and (4) validating the calibrated model against experimental data.
Model accuracy was evaluated using both quantitative and qualitative metrics: maximum load in Phase I (damage induction), intra- and inter-ply damage after Phase I, maximum load in Phase II (residual capacity), and final deformed shape after Phase II. These indicators, individually or combined, guided model development, with the maximum Phase II load representing the residual load-bearing capacity.

3.1. Development of the Baseline Numerical Model

The experimental observations guided the development of a representative FE framework capable of replicating both phases of testing. This framework served as the basis for refining modelling strategies and parameter identification. The study aimed to develop best practices for modelling low-velocity impact damage and residual load-bearing capacity of NCF components using MAT54 in LS-DYNA.
A reduced numerical model was created to enable extensive sensitivity analyses and parameter calibration while lowering computational costs. The model isolated the central tube section, where most Phase I damage occurred and where Phase II bending produced a constant moment with negligible shear. Negligible damage under the support cylinders further justified this approach. Although excluding two-thirds of the specimen reduces representation of boundary effects and load redistribution, the reduced model achieved acceptable agreement with experiments, making it a reliable and efficient tool for targeted numerical studies (Figure 5). Within the reduced model framework, the laminate was modelled at the ply level to resolve intralaminar damage and interlaminar delamination while maintaining computational efficiency. Thick-shell (t-shell) elements were used to model the composite tubes, offering accurate through-thickness stress prediction at a significantly lower cost than solid elements. T-shells are well-suited for meso-scale laminate modelling, as they incorporate ply thickness into the geometry and allow adjacent layers to share mating surfaces, simplifying cohesive zone modelling.
Fourteen physical plies of UD NCF were represented by seven t-shell layers, each with two integration points—one per physical ply—enabling bending behaviour to be captured while maintaining efficiency (Figure A5 bottom left). Due to the directional properties of UD NCF, LS-DYNA’s AOPT = 0 option was applied, with invariant node numbering (INN = 4 in *CONTROL_ACCURACY) ensuring correct material coordinate system updates during deformation (Figure A5 bottom right). Fibre orientations were defined in *PART_COMPOSITE_TSHELL for each integration point, allowing separate assignments for the “physical” plies within each t-shell layer. Figure A5 (top) shows the outer-layer orientations for the two layups: 0 4 / 90 3 S (0° outer ply) and 90 5 / 0 2 S (90° outer ply), defined by vector a. The mesh size was selected based on established recommendations in the literature [65], and a characteristic in-plane element size of 0.7 mm was adopted as the baseline discretization. To evaluate the influence of mesh resolution, a mesh sensitivity study was performed using finer (0.5 mm) and coarser (1.0 mm) in-plane element sizes. No significant differences were observed in the predicted damage patterns or in the global structural response, including peak load and residual strength, indicating that the results are not strongly affected by mesh discretization within this range.
Bonding and delamination between the seven t-shell layers were modelled using *CONTACT_AUTOMATIC_ONE_WAY_SURFACE_TO_SURFACE_TIEBREAK (Option 9), equivalent to zero-thickness cohesive zone elements. This algorithm applies a bilinear traction–separation law with a mixed-mode delamination criterion and progressive damage formulation [37]. Key parameters include normal and shear failure stresses (NFLS, SFLS), mode I and mode II fracture energies ( G I c and G I I c ), and stiffness values in the normal (CN) and tangential (CT = CT2CN × CN) directions. Once the failure criterion ( δ > δ u l t ) is reached, the interface resists only compression. Parameter selection followed the approach in [47], with input values listed in Table 5.
Following the ply-level laminate modelling and interlaminar interface definition, the loading and boundary conditions were established to replicate the two-phase experimental protocol. Both loading phases—crushing and bending—were modelled within a single LS-DYNA explicit simulation to ensure seamless transition between stages without data loss or compatibility issues. For quasi-static processes, velocity scaling was applied (linear velocity for Phase I and angular velocity for Phase II).
Phase I—Damage Induction: The crushing cylinder was represented as a rigid body (*RIGIDWALL_GEOMETRIC_CYLINDER_MOTION_DISPLAY) moving at a constant downward speed until reaching a 15 mm displacement, replicating the displacement-controlled loading in experiments. The tube was supported on a rigid planar surface (*RIGIDWALL_PLANAR_FORCES). This configuration is shown in Figure 6 (left). After this phase, the cylinder and rigid surface were deactivated before initiating Phase II. The primary output was the transverse force–displacement curve (Figure A6, top).
Phase II—Bending: A constant bending moment was applied to the central tube segment by imposing an angular velocity on both ends (rad/s, displacement-controlled), as illustrated in Figure 5 and Figure 6 (right). All side nodes were tied to a central master node via rigid beams, while end elements were bonded to adjacent plies using tied contact to represent the local compression from four-point bending supports. Depending on the desired orientation (damaged region in tension or compression), the rotation direction was reversed.
Bending Moment and Axial Force Calculation: Load-bearing capacity was determined using conventional four-point bending analysis. Bending moments were extracted from four cross-sections positioned 5 mm and 15 mm from each end of the central segment (*DATABASE_CROSS_SECTION_SET), as shown in Figure A6 (middle). Cross-sections A and B were mapped from the left, C and D from the right, producing opposite moment signs. The results confirmed a constant bending moment (M = const) until failure ( M m a x ), followed by a sudden drop. Axial forces remained near zero throughout Phase II (Figure A6, bottom), verifying pure bending conditions.
Following the definition of loading and boundary conditions, baseline SLIM factors were assigned based on the prior literature (Table 6). Most reported values correspond to axial crushing rather than transverse impact, and frequently relate to the similar—but not identical—MAT58 model. When MAT54-specific data are available, they typically concern woven fabrics, limiting their applicability to UD NCF. Accordingly, this study adopted post-calibration MAT54/UD CFRP data from Cherniaev et al. [38], with slightly reduced SLIMC2 and SLIMS values to reflect improved performance at lower levels.
With the baseline SLIM factors established, attention turned to ensuring that the chosen finite element formulation could accurately reproduce the crushing and bending response of NCF tubes without introducing numerical artifacts that might mask the influence of those strength limits. In LS-DYNA, the integration scheme directly affects computational stability, deformation accuracy, and run time. Underintegrated elements are often favoured for their efficiency but can exhibit spurious zero-energy modes (hourglassing) that require stabilization. Conversely, fully integrated low-order elements are immune to hourglassing but may suffer from volumetric locking in nearly incompressible materials, leading to over-stiff responses and underpredicted displacements.
Several strategies exist to mitigate these effects:
  • Reduced integration (one-point quadrature with hourglass control);
  • Selective-reduced integration (one-point quadrature for volumetric terms, 2 × 2 for deviatoric terms); and
  • Assumed strain methods, which simultaneously address volumetric locking, suppress hourglassing, and reduce excessive bending stiffness.
For thick-shell elements in LS-DYNA [69], available integration options include:
  • 2D plane stress (“thin-thick shells”)—ELFORM 1 (one-point reduced), ELFORM 2 (selective-reduced 2 × 2), ELFORM 6 (assumed strain reduced).
  • 3D stress (“thick-thick shells”)—ELFORM 3 (assumed strain 2 × 2), ELFORM 5 (assumed strain reduced), ELFORM 7 (assumed strain 2 × 2).
Hourglass control is required for underintegrated elements (ELFORM 1, 5, 6). LS-DYNA offers viscous stabilization (IHQ = 1 or 2) and stiffness-based stabilization (IHQ = 4). For t-shell ELFORM 5 and 6, IHQ settings have no effect, but the hourglass coefficient (QM) remains influential. Typical practice sets QM, QW, and QB as equal; values above 0.15 risk instability, while lower values (e.g., 0.05) reduce artificial stiffening under stiffness control. A trial-and-error method was conducted to identify the most effective element formulation and hourglass control for transverse crushing and four-point bending of NCF tubes. Simulations replicated physical tests #7 and #8 ( 0 4 / 90 3 S layup, damaged region in tension), which were characterized experimentally by complete tube splitting in Phase II. Predicted forces and deformation shapes are shown for underintegrated elements (Figure A7a and Figure A8a) and fully/selectively integrated elements (Figure A7b and Figure A8b). Only ELFORM 1 (underintegrated) and ELFORM 3 (fully integrated) reproduced tube splitting. Other formulations suffered from either hourglassing (ELFORM 5, 6) or early termination due to negative volumes, the latter only partially mitigated by reducing the timestep (TSSFAC) at high computational cost. Hourglass control tests showed that IHQ = 4 (stiffness) eliminated hourglassing and improved correlation with experiments, whereas viscous stabilization (IHQ = 1 or 2) was ineffective. Reducing QM from 0.10 to 0.05, and later to 0.025, produced the best deformation accuracy without loss of stability. Both ELFORM 1 and ELFORM 3 matched pre-calibration load trends, but ELFORM 1 executed approximately 70% faster, making it the preferred choice when efficiency is critical.
Inter-ply friction effects were examined following the evaluation of element formulation. Simulations were run with μ = 0.00, 0.25, and 0.50, reflecting ranges reported in prior studies. A zero coefficient resulted in excessive element erosion, reduced predicted forces, and unrealistic deformation patterns, including the absence of cracks under tensile loading. In contrast, μ = 0.25 and μ = 0.50 produced force–displacement responses and damage morphologies closer to experimental observations (Figure A9). The former was adopted as the baseline, with the latter retained for potential calibration. These results underscore the friction coefficient’s pivotal role in governing deformation behaviour and overall predictive fidelity.
Following the friction coefficient assessment, additional LS-DYNA element controls were examined for their potential to improve prediction accuracy. For t-shell elements, the thickness change and transverse shear stress distribution can be modified. By default (EQ = 0), thickness remains constant; however, for t-shell types 1 and 2, it can be updated with EQ = 2 (not recommended for type 2), while types 3 and 5 inherently account for thickness changes. Figure A10 shows that enabling thickness updates accurately captures the bulging of the upper layers caused by delamination and, in the later stage, the splitting of the specimen as a consequence of the applied bending moment, though calibration is required to confirm the most suitable setting. For transverse shear stress distribution (TSHEAR), activating laminated shell theory (LAMSHT) applies a through-thickness shear strain variation. The default parabolic distribution (EQ = 0) was compared with a constant distribution (EQ = 1), with no improvement observed; the default configuration was therefore applied throughout the study.
With the element control settings established in the previous subsection and incorporating the statistical data for non-measurable MAT54 parameters presented earlier, a baseline model was defined. This model, summarized in Table 7, incorporates the selected values for material, contact, and element parameters. In the next section, the model’s sensitivity to variations in these non-measurable MAT54 parameters is examined, and the resulting predictions are compared to those of the baseline configuration.

3.2. Sensitivity Study: The Influence of Non-Measurable Parameters of MAT54

Building on the baseline numerical model established in the previous sections, a sensitivity study was conducted to identify the MAT54 parameters requiring calibration. The analysis used the baseline configuration with stress-limiting factors and other non-measurable parameters detailed previously, varying each above and below its baseline value. At this stage, only Layup #1 was examined.
MAT54, a strength-based material model exhibiting linear elastic behaviour up to failure, incorporates several post-failure parameters that cannot be directly obtained from material characterization tests. Each relevant non-measurable parameter is introduced in turn, followed by a discussion of its influence on model predictions. Validation metrics included the maximum load in Phases I and II, intra- and inter-ply damage after Phase I, final deformation shape, and predicted damage/delamination patterns. The maximum Phase I force, together with intra- and inter-ply damage, was used to assess the extent of damage induced during the crushing phase, while the maximum Phase II force quantified the residual structural capacity. Visual inspection of the Phase II deformation profile was also a critical metric, with Figure 7 comparing results for “tensile” and “compression” damaged zone orientations under four-point bending.
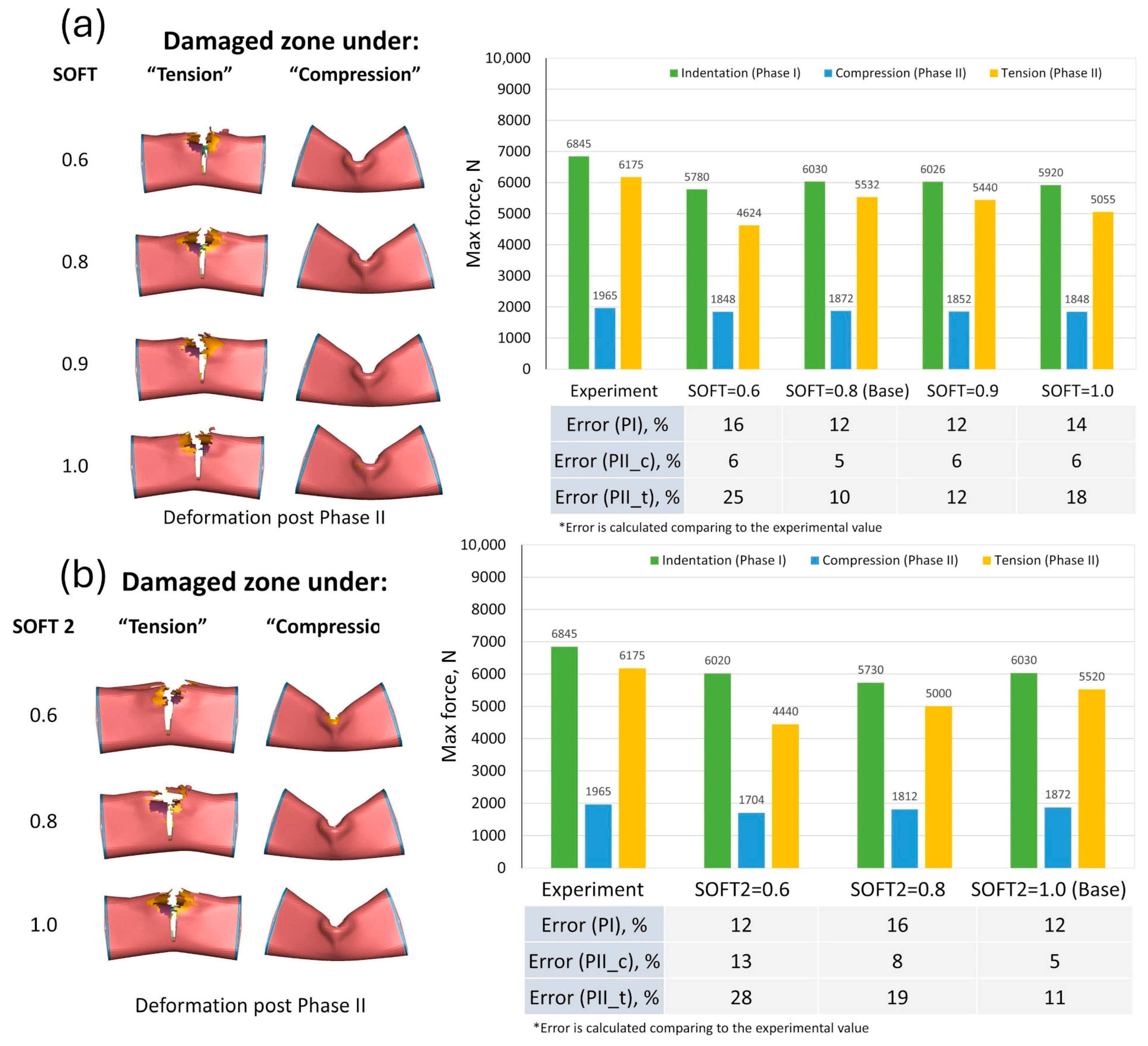
Crashfront softening parameters (reduction factors) artificially reduce the strength of elements just ahead of the crush front to stabilise load transfer during erosion. Values must be within (0, 1) to remain active; 1.0 means no reduction, near-zero values indicate a substantial reduction, and >1 disables the effect. These parameters are non-measurable and set by trial and error. SOFT, which reduces strength in crashfront elements, gave good agreement with experiments for 0.8–1.0, with the baseline performing best. Values < 0.8 underpredicted Phase II residual capacity; SOFT = 0.6 caused nearly 25% lower maximum Phase II force compared to experiments when the damaged zone was under tensile stress. SOFT2 showed the lowest error near the baseline. SOFTG had a negligible effect, and PFL showed no sensitivity (Figure A11). Error analysis confirmed baseline values are suitable for future studies, removing these parameters from the calibration scope.
Building on the insights from crashfront-related reduction factors, further analysis was carried out on additional MAT54 parameters that govern strength degradation, element erosion, and failure initiation thresholds. This broader sensitivity study was essential for isolating parameters requiring calibration and refining the predictive fidelity of the baseline model.
The parameters FBRT and YCFAC are used to account for the degradation of strength following matrix compressive failure. In particular, these parameters reduce the composite’s tensile and compressive strengths in the longitudinal (fibre) direction once compressive matrix damage occurs. The following expressions define the strength reduction:
X T = X T × F B R T
X C = Y C × Y C F A C
Here, X T and X C represent the original tensile and compressive strengths along the fibre direction, while X T   and   X C are the corresponding reduced values after matrix failure. Y C denotes the compressive strength in the transverse direction.
The FBRT parameter reduces tensile strength along the fibre direction after damage, ranging from 0 (no reduction, X T = X T ) to 1 (full reduction). YCFAC scales the longitudinal compressive strength after transverse matrix failure, bounded by X C / Y C . While LS-DYNA’s default is 2.0, the NCF material ratio is 6.7, defining the variation range for this study. Sensitivity results showed that both parameters strongly affect predictive accuracy. Increasing FBRT toward one underestimate the Phase II tensile load by approximately 2 kN (33%). FBRT = 0 provided the best match to experiments (Figure A12a). For YCFAC, three values were tested: 2.0 (default), 3.35 (midpoint), and 6.7 (upper bound). The midpoint produced the closest agreement, while 6.7 caused notable overprediction of peak forces (Figure A12b).
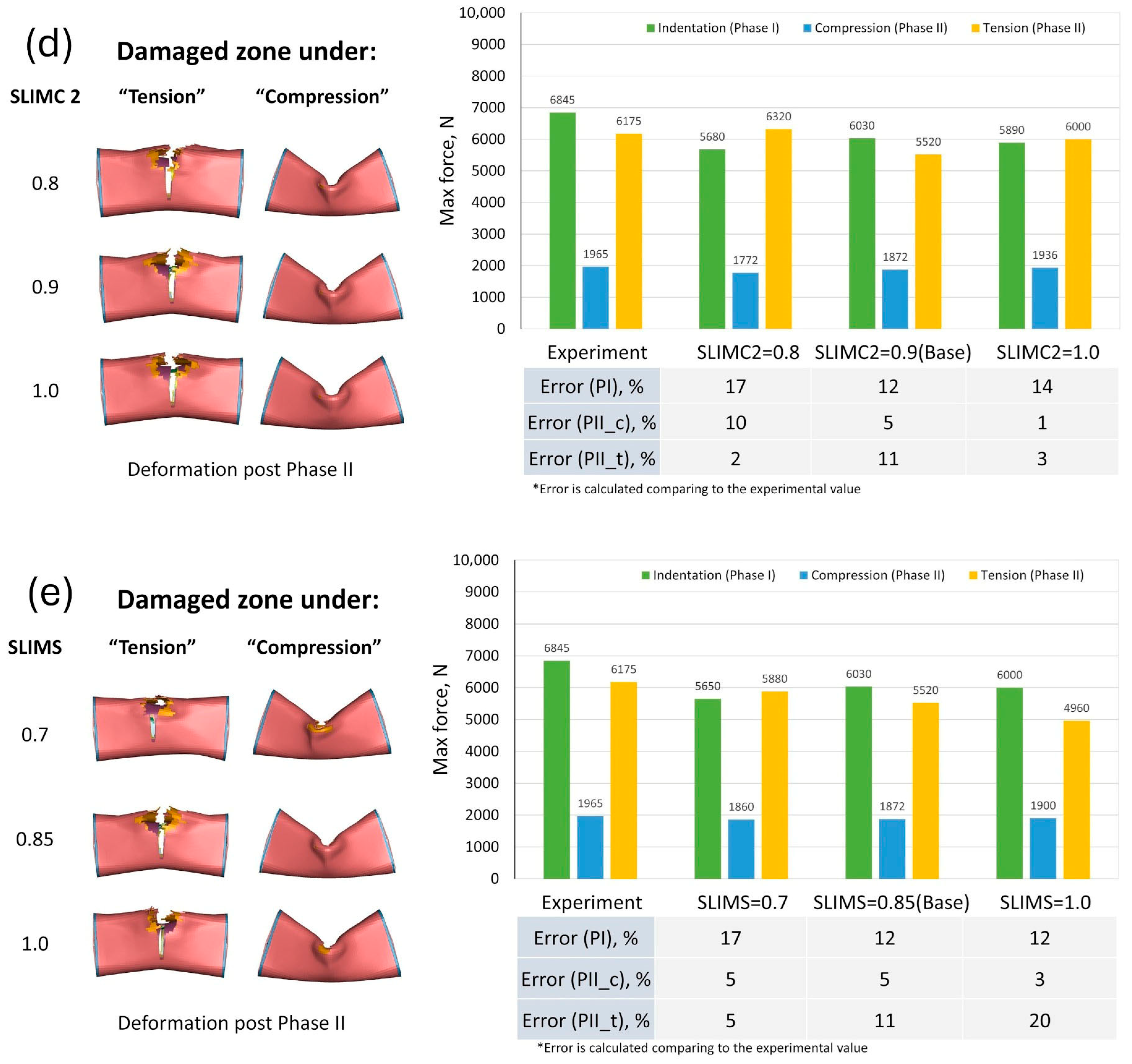
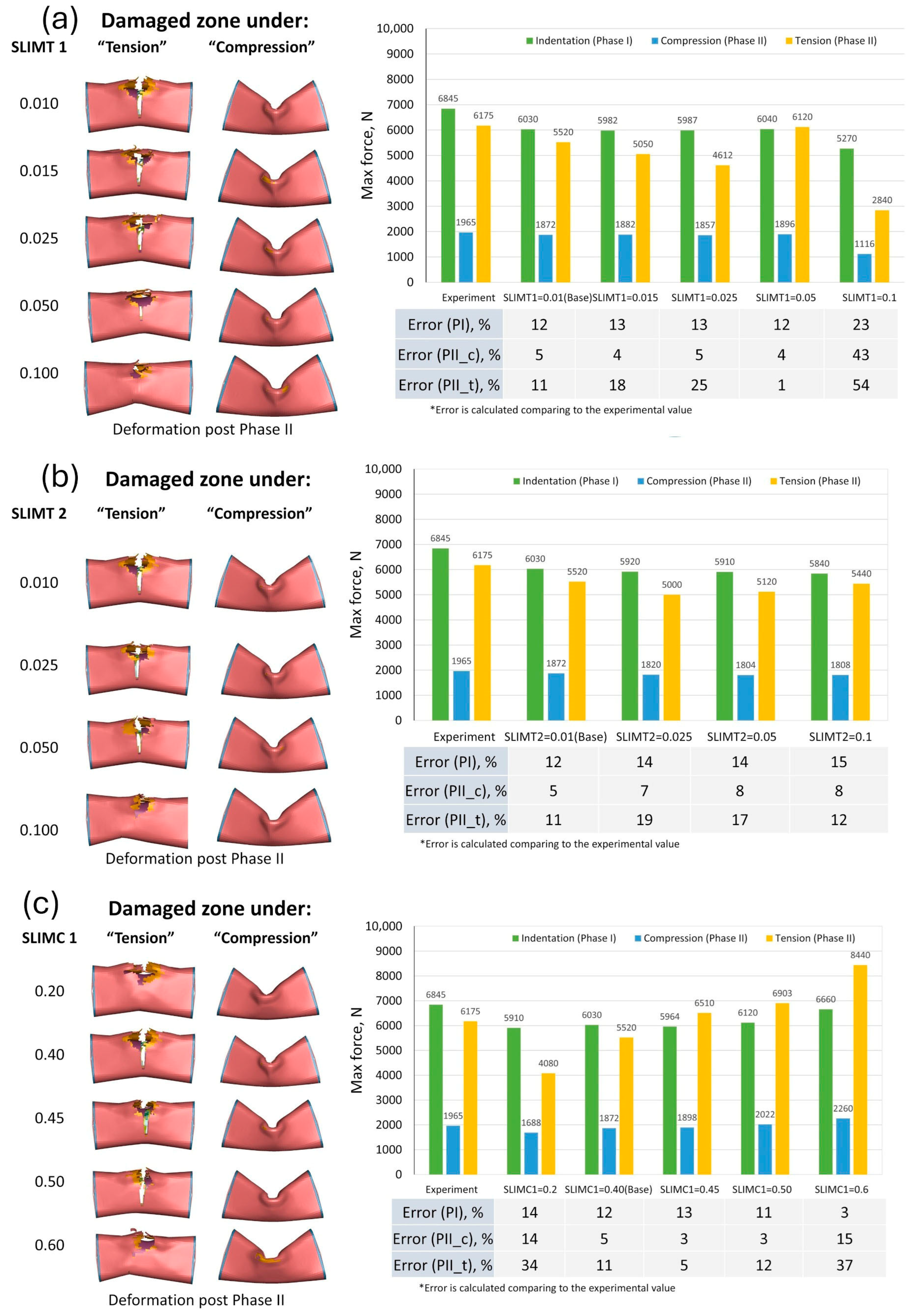
SLIM parameters were also assessed (Figure A13a–e). For SLIMT1, values > 0.05 suppressed specimen splitting. SLIMT2 showed similar trends; a value of 0.100 eliminated splitting. SLIMC1 performed best in the 0.4–0.6 range; outside it, deformation became non-physical. SLIMC2 improved Phase II compression accuracy as it increased from 0.8 to 1.0. SLIMS values below 0.7 caused non-physical deformations and large underpredictions of peak load.
In LS-DYNA’s MAT54 model, element erosion is triggered by strain thresholds: DFAILT, DFAILC, DFAILM, DFAILS, and the effective failure strain (EFS). These are numerical controls rather than physical values and are typically assigned to ensure solution stability. To avoid independent calibration of each anisotropic threshold, this study adopted an isotropic erosion approach using EFS as the sole active criterion:
E F S = 4 3 ε 11 2 + ε 11 ε 22 + ε 22 2 + ε 12 2
Here, ε 11 , ε 22 , and ε 12 denote the longitudinal, transverse, and in-plane shear strains, respectively. It should be noted that although the effective failure strain (EFS) can be defined to trigger element deletion, its role is purely numerical and does not represent a physically validated failure mechanism, which in MAT54 is governed by strength-based criteria. In practice, EFS is often set higher than experimentally measured failure strains to avoid premature element erosion, particularly when element deletion is not desired; by default, EFS is set to zero in LS-DYNA, effectively deactivating this mechanism.
In the present study, it was observed that for the selected mesh density, low EFS values (e.g., 25%) resulted in premature element erosion, leading to reduced load-bearing capacity and excessive material loss during Phase II. As a result, careful selection of EFS is critical for preserving load transfer and ensuring realistic damage progression. As illustrated in Figure A14, the deformation pattern is highly sensitive to EFS, with values exceeding 0.75 mm/mm (75%) preventing specimen splitting.
The NCYRED parameter controls the rate at which stresses decrease from peak to the minimum values defined by SLIM. In this study, the default value of NCYRED = 5 was retained. As shown in Figure A15, this setting ensured stable material softening, consistent simulation results, and deformation patterns that closely matched experimental failure modes, providing an effective balance between numerical stability and physical realism.
To interpret sensitivity, peak load errors were calculated relative to the baseline. For example, the SLIMC1 parameter yielded a peak Phase I load of 6660 N at a value of 0.60, but this was discarded due to unphysical deformation. The next highest result—6120 N at SLIMC1 = 0.50—was within 1.4% of the baseline (6030 N), classifying it as low sensitivity. In this study, errors < 5% or minimal deformation changes were categorized as low, 5–10% or moderate profile shifts as moderate, and >10% or distinct failure/deformation modes as high sensitivity. Several parameters—PFL, SOFT, and SOFTG—showed negligible or low sensitivity. SOFT and SOFTG influenced results only within narrow ranges. By contrast, FBRT, SOFT2, SLIMT2, SLIMS, and NCYRED produced pronounced but consistent effects and were retained at their baseline values, having shown the best agreement with experiments. Further calibration is needed for parameters with broader performance ranges and less predictable behaviour: friction coefficient, YCFAC, SLIMT1, SLIMC1, SLIMC2, EFS and ISTUPD. These findings guided the selection of parameters carried forward into the calibration study.

3.3. Calibration of the Model

Building on the results of the sensitivity analysis, baseline simulations—developed using the initial non-physical parameter values outlined in Section 3.2—were evaluated against experimental outcomes for both Layup #1 and Layup #2. An iterative process then refined these parameters in alignment with identified trends, avoiding arbitrary tuning. In total, over 100 parameter combinations were explored. Figure A16 illustrates the structure of this matrix, where each row corresponds to a unique combination, columns represent individual parameters, and colour gradients highlight relative levels. For conciseness, only the five lowest-error sets are summarized in Table 8.
The selection of optimal combinations was based on the percent error in peak load predictions. Figure 8a,b presents these errors for each layup, with negative values indicating underestimation and positive values indicating overestimation. Also, the predicted deformation patterns for the most promising parameter combinations were compared with experimental observations (Figure 9), focusing on Phase II when the damaged area experienced tensile stress. Experimentally, the bottom end of the tube opposite the initial damage remained intact, providing an additional criterion for numerical evaluation. Combination #6 was found to provide the most accurate predictions of peak loads and deformation patterns, achieving the lowest percentage error across both layup configurations. It also demonstrated the highest fidelity with observed damage mechanisms, including element erosion patterns, localized fibre and matrix failure, crack development within the damaged zone, and bending of the opposite tube wall under tensile stress. Together, these results indicate that combination #6 offers the most reliable prediction of structural response under the specified loading conditions.
Table 9 outlines changes from the baseline to calibrated parameter values. Only SLIMC1 remained unchanged. The other six parameters—Friction, YCFAC, SLIMT1, SLIMC2, EFS, and ISTUPD—were adjusted within their sensitivity-informed ranges.
To assess damage morphology, calibrated MAT54 predictions for Phase I crushing in the outer layer of the 0 4 / 90 3 S specimen were compared with experimental results (Figure 10). Experiments revealed fibre fracture beneath the impactor, characterized by perpendicular cracks and extensive matrix cracking along fibre paths in the central zone. The simulation mirrored this pattern, with longitudinal (variable #2) and transverse (variables #3 and #4) failures captured through MAT54’s history outputs. Since MAT54 lacks a dedicated in-plane shear damage variable, the model distinguishes only between failed (red) and intact (blue) elements. Despite some simplification in predicted crack paths, fibre damage was correctly flagged under compressive failure, while matrix cracking was reproduced under both tension and compression.
To examine internal damage, X-ray CT [70] was performed on the crushed 0 4 / 90 3 S tube. Processed in myVGL using the porosity analysis module, regions with equivalent delamination diameter ≥ 3 mm are highlighted in pink in Figure 11a. In the FE model, delamination was modelled using CONTACT_AUTOMATIC_ONE_WAY_SURFACE_TO_SURFACE_TIEBREAK (Option 9) across six ply interfaces. To compare with CT results, contact gap outputs from all interfaces were overlaid, marking full debonding in pink, failed elements in green, and intact regions in gray (Figure 11b). Visual comparisons showed a comparable delamination extent between model and experiment. Quantitatively, the delaminated area in the CT scan was 43.3% of the measured region, while the model predicted 31.6%—an underestimation of approximately 10%. This difference is attributed to overlapping interfaces in the simulation that obscure deeper plies, potential cross-sectional misalignment, and differing quantification methods between CT and FE data. To clarify the implications of this discrepancy, as shown in Figure 8, the numerical model corresponding to the selected parameter set provides close agreement with the experimentally measured peak loads across the investigated configurations. This indicates that, although the delaminated area is underpredicted in the CT-based comparison, its influence on the final strength prediction is limited for the cases considered.

3.4. Verification of the Model

To further validate the calibrated model, simulations were conducted for low-velocity impact scenarios, followed by quasi-static four-point bending to evaluate residual load-bearing capacity. These conditions replicated the experimental protocol described in Section 2, in which 0 4 / 90 3 S tubular specimens (Layup #1) were subjected to a drop-weight impact using a 5270 g cylindrical steel striker from a height of 1.33 m, producing an impact velocity of 4.82 m/s. Two impact tests were performed. Although procedural inconsistencies were noted, both specimens underwent Phase II bending, with peak loads of 6759.38 N and 5664.21 N. Their average, 6211.79 N, served as the experimental benchmark for validation.
In the simulation, the rigid wall used in previous indentation models was replaced with a 70 mm-long solid-element striker assigned *MAT_RIGID properties, allowing the definition of an initial velocity. A nodal mass of 5200 g was added to represent the total drop weight, and an initial velocity of 4.82 m/s was applied (Figure 12). The delay between impact and Phase II loading was extended to ensure post-impact equilibrium. The simulation employed parameter set #6 from Table 8, previously identified as optimal. The model predicted a residual capacity of 6720 N—approximately 8% higher than the experimental average and within the ±10% acceptable error range. Figure 13 compares the numerical prediction against the experiment.

4. Conclusions, Best Practices and Future Work

4.1. Conclusions

This work studied, experimentally and numerically, the residual load-bearing capacity of damaged non-crimp fabric carbon fibre composite sub-components, with the aim of developing best practices for predicting it using numerical modelling.
A comprehensive experimental campaign was undertaken to (i) characterize the unidirectional non-crimp fabric-reinforced polymer matrix composite through standardized coupon-level tests and (ii) measure the residual load-bearing capacity of pre-damaged subcomponents (tubular bars of rectangular cross-section) through four-point bending experiments. The material characterization phase necessitated the fabrication of custom-designed fixtures. For the subcomponent-level experiments, a two-stage testing methodology was employed. In the first stage, damage was introduced using either quasi-static indentation or low-velocity impact. In the second stage, the residual load-bearing capacity of the damaged specimens was evaluated by means of the four-point bending test (variations involved the induction of compressive or tensile stresses within the damaged region).
Concurrently, a numerical study was conducted to develop a model to simulate the two-phase procedure from the experimental study. Material characterization results were used to define measurable inputs for the constitutive material model (MAT54). To define non-measurable parameters, sensitivity and calibration studies were conducted. The accuracy of the models was evaluated against data obtained from the subcomponent-level testing.
The following subsections summarize the key findings of this investigation.
Conclusions from the experimental study:
  • Microstructure investigation: SEM analysis confirmed that the fibres were aligned unidirectionally in general. The binder stitching introduced localized lateral fibre bundle distortions (crimp) that manifested themselves in the formation of inter-ply resin-rich regions.
  • Material characterization: Material characterization revealed that the UD NCF composite exhibits properties generally comparable to those of conventional UD tape-based composites. However, a notably lower compressive strength was observed, which is likely attributable to the microstructural characteristics of the NCF-reinforced composite, specifically to the presence of stitching-induced crimp, which may promote premature microbuckling of fibre bundles under compressive loading, thereby reducing the overall compressive strength relative to that of tape-based UD composites.
  • Subcomponent testing: Subcomponent testing encompassed quasi-static and impact damage induction on tubular specimens (Phase I), subsequently followed by residual load-bearing evaluations (Phase II) using a four-point bending test. Furthermore, X-ray computed tomography was utilized post-Phase I to assess internal damage in specimens subjected to quasi-static indentation.
    Under quasi-static loading conditions, Phase I involved the introduction of controlled damage through transverse indentation. The average peak load recorded for the 0 4 / 90 3 S layup (Layup #1) in Phase I was 7427 N (the average of two tests), while for the 9 0 5 / 0 2 S layup (Layup #2), it averaged at 8278 N, i.e., approx. 10% higher.
    X-ray computed tomography conducted on a damaged specimen with Layup #1 identified distinct failure mechanisms, including matrix cracking, fibre breakage, and extensive delamination extending beyond the visibly damaged zone. Quantitative image analysis revealed that delaminated regions comprised approximately 26.6% of the scanned area, whereas the visibly damaged surface accounted for only 7.7%.
    Phase II involved four-point bending tests to evaluate the residual load-bearing capacity of the damaged tubular specimens, with variations involving the induction of tensile or compressive stresses within the damaged region. In the former case, both layups demonstrated significantly higher residual strength (Layup #1: 6164 N, Layup #2: 7462 N) compared to the latter loading scenario (Layup #1: 2296 N, Layup #2: 1219 N). This difference can be explained by the “early” buckling of the specimens’ vertical walls near the damaged region when this area experienced compressive stresses.
    Dynamic subcomponent testing was performed on tubular bars with Layup #1, utilizing a custom-designed drop-weight tower (striker shape: cylindrical, drop weight: 0.527 kg, impact velocity: 4.82 m/s). Subsequently, impacted specimens were subjected to four-point bending (damaged area in the compressed region). The average residual load-bearing capacity measured was 6212 N.
    Conclusions from the numerical study.
  • Effect of element formulation (ELFORM on *PART_COMPOSITE_ TSHELL): All six element formulations available in LS-DYNA for t-shell elements were evaluated using the ‘baseline’ model. Investigations revealed that only two—underintegrated (ELFORM = 1) and fully integrated (ELFORM = 3)—were able to simulate the test successfully. Further analysis showed that ELFORM 1 was approximately 70% faster than its fully integrated counterpart.
  • Effect of hourglass control (IHQ and QM/QW/QB on *HOURGLASS): This feature was used with the underintegrated elements. Viscous hourglass control methods (IHQ = 1 and 2) were found to be ineffective, particularly in the inner layers of the composite. In contrast, stiffness-based hourglass control (IHQ = 4) proved to be the most effective, successfully mitigating hourglass modes and improving correlation with experimental observations. All hourglass coefficients that govern the intensity of hourglass control in membrane deformation (QM), warping (QW), and bending (QB) were eventually set to 0.025—the value that was found to provide optimal balance between numerical stability and deformation prediction accuracy.
  • Effect of interlaminar friction coefficient (FS on *CONTACT…TIEBREAK): The coefficient of friction between plies significantly influenced the baseline model predictions. A frictionless condition (μ = 0.00) led to excessive element erosion, underprediction of loads, and unrealistic deformation modes. Moderate friction values (μ = 0.25 and μ = 0.50) produced results closer to experimental observations. The μ = 0.25 was selected as the ‘baseline’, while subsequent calibration determined the final value to be 0.50.
  • Effect of shell element thickness update (ISTUPD on *CONTROL_SHELL): Activating the thickness change in t-shell elements improved the prediction of outer-layer bulging noted in the experiment, as well as provided a visually more accurate representation of deformation of the tube (splitting) at later stages of fracture.
  • Effect of transverse shear distribution (TSHEAR on *PART_COMPOSITE_TSHELL): A setting that activates a constant transverse shear stress distribution in composite plies (TSHEAR = 1) was tested, but it did not lead to any improvement in the predicted load-bearing capacity. Consequently, the default parabolic transverse shear distribution (TSHEAR = 0) was adopted in this study.
  • Material model parameters (*MAT_ENHANCED_COMPOSITE_DAMAGE (054)): The model was sensitive to softening factor parameters (SOFT, SOFT2, and SOFTG), the tensile strength reduction factor (FBRT), and the transverse tensile and shear stress-limiting factors (SLIMT2 and SLIMS). Extensive calibration was required to define the interlaminar friction coefficient (FS), compressive strength reduction factor (YCFAC), longitudinal stress-limiting factors (SLIMT1, SLIMC1, and SLIMC2), effective failure strain (EFS), and shell thickness update control (ISTUPD) to achieve satisfactory correlation with experimental results. The calibrated model successfully captured both qualitative and quantitative experimental metrics, including maximum loads in Phases I and II, intra- and inter-ply damage after Phase I, and the deformed specimen shape after Phase II—for all considered in this study loading scenarios (quasi-static indentation and impact in Phase I; damaged zone under tension and under compression in the four-point bending test in Phase II) and layup configurations (Layup #1 with higher stiffness in the longitudinal direction and Layup #2 with the stiffness higher in the transverse direction).

4.2. Best Practices

The following outlines the best practices for the model’s influential non-measurable parameters, following a comprehensive calibration study. These parameters primarily relate to the material card (MAT54); nevertheless, some essential parameters associated with the finite element model are also encompassed.
The finite element model parameters:
  • ELFORM = 1. Element formulation for the finite element model.
  • IHQ = 4 with QM = QW = QB = 0.025. Hourglass stabilization was required for simulations involving underintegrated elements (ELFORM1). The hourglass coefficients—QM (membrane), QW (warping), and QB (bending)—determine the severity of hourglass control.
  • FS = 0.50. Static coefficient of friction.
  • ISTUPD = 2. The shell thickness change option is active for t-shell elements.
The MAT54 card parameters:
  • SOFT = 0.80. Softening reduction factor for strength in crashfront elements.
  • SOFT2 = 1.00. Orthogonal softening reduction factor for crashfront elements.
  • SOFTG = 1.00. The crashfront softening reduction factor for transverse shear moduli.
  • PFL = 100. Percentage of layers that must fail for the crashfront to initiate.
  • FBRT = 0.00. Tensile strength reduction factor. Determines the degraded tensile strength in the fibre (longitudinal) direction after compressive failure in the matrix (transverse) direction. The value of zero implies no change to longitudinal tensile strength upon matrix failure.
  • YCFAC = 5.00. Compressive strength reduction factor. Determines the degraded compressive strength in the fibre (longitudinal) direction after compressive failure in the matrix (transverse) direction.
  • SLIMT1 = 0.05, SLIMT2 = 0.01. Post-failure tensile strength limiting factors in the longitudinal and transverse directions, respectively.
  • SLIMC1 = 0.40, SLIMC2 = 0.80. Post-failure compressive strength limiting factors in the longitudinal and transverse directions, respectively.
  • SLIMS = 0.85. The post-failure shear stress limiting factor.
  • NCYRED = 5. Number of cycles for strength reduction from maximum to minimum.
  • EFS = 0.30. Effective failure strain (element erosion strain).

4.3. Future Work

While this study provided an extensive investigation into modelling damage and residual load-bearing capacity of UD NCF CFRP subcomponents, further improvement of the modelling accuracy and applicability can be achieved through the following:
  • Considering additional loading scenarios beyond four-point bending to ensure applicability of the developed modelling recommendations to other stress states and failure mechanisms relevant to CFRP structures in service.
  • Conducting simulations with components of more complex geometrical shapes to ensure validity or make necessary adjustments to the best practices developed in this study.
  • Extending the numerical investigation to higher impact velocities to assess the robustness and predictive capability of the calibrated model under these loading scenarios. High-velocity impacts are associated with distinct damage mechanisms that may not manifest themselves under low-velocity conditions.
  • Characterizing and modelling the strain-rate sensitivity of the UD NCF-reinforced material, especially in the transverse direction, where many UD composites are known to exhibit rate-dependent behaviour.

Author Contributions

Conceptualization, A.C. and M.K.; methodology, A.C.; software, M.K., A.C.; validation, M.K.; formal analysis, M.K.; investigation, M.K.; resources, A.C.; data curation, M.K.; writing—original draft preparation, M.K.; writing—review and editing, A.C.; visualization, M.K.; supervision, A.C.; project administration, A.C.; funding acquisition, A.C. All authors have read and agreed to the published version of the manuscript.

Funding

This work was financially supported by the Natural Sciences and Engineering Research Council of Canada (NSERC) through a Discovery grant, No. RGPIN-2019-03922 (PI: Aleksandr Cherniaev), as well as a MITACS Research Training Award (recipient: Milad Kazemian).

Data Availability Statement

The data presented in this study are available on request from the corresponding author due to privacy.

Acknowledgments

We acknowledge that during the preparation of this work, the authors used Grammarly in order to edit the text. After using this tool/service, the authors reviewed and edited the content as needed and take full responsibility for the content of the publication. This declaration was added to the manuscript. All authors have read and agreed to the published version of the manuscript.

Conflicts of Interest

The authors declare no conflict of interest.

Appendix A

Figure A1. Stress limiting factor effect.
Figure A1. Stress limiting factor effect.
Applmech 07 00017 g0a1
Figure A2. Non-crimp unidirectional carbon fabric.
Figure A2. Non-crimp unidirectional carbon fabric.
Applmech 07 00017 g0a2
Figure A3. Tubular mould (top), dimensions in mm, flat mould (bottom).
Figure A3. Tubular mould (top), dimensions in mm, flat mould (bottom).
Applmech 07 00017 g0a3
Figure A4. Schematic of test specimen cut from flat panel (right), actual test coupon (left).
Figure A4. Schematic of test specimen cut from flat panel (right), actual test coupon (left).
Applmech 07 00017 g0a4
Figure A5. Definition of the material coordinate system a-b-c in a t-shell element with AOPT = 0 (Bottom right). The longitudinal/“fibre” (A), the transverse/“matrix” (B), and the through-the-thickness (C) directions in the external layers of modelled composite tubes with two different layups (top). Representation of composite layups using stacked t-shell elements (Bottom left).
Figure A5. Definition of the material coordinate system a-b-c in a t-shell element with AOPT = 0 (Bottom right). The longitudinal/“fibre” (A), the transverse/“matrix” (B), and the through-the-thickness (C) directions in the external layers of modelled composite tubes with two different layups (top). Representation of composite layups using stacked t-shell elements (Bottom left).
Applmech 07 00017 g0a5
Figure A6. (a) An example of the crushing force—crosshead (cylinder) displacement diagram predicted by the numerical model, (b) bending moment in the cross-sections A, B, C, and D of the model (phase I and interphase data shown for reference only), (c) normal (axial) forces in the cross-sections A, B, C, and D of the model (phase I and interphase data shown for reference only) (bottom).
Figure A6. (a) An example of the crushing force—crosshead (cylinder) displacement diagram predicted by the numerical model, (b) bending moment in the cross-sections A, B, C, and D of the model (phase I and interphase data shown for reference only), (c) normal (axial) forces in the cross-sections A, B, C, and D of the model (phase I and interphase data shown for reference only) (bottom).
Applmech 07 00017 g0a6
Figure A7. Underintegrated elements: phase II predicted vs. measured (only P m a x shown) force (a) ELFORM 1, (b) ELFORM 3.
Figure A7. Underintegrated elements: phase II predicted vs. measured (only P m a x shown) force (a) ELFORM 1, (b) ELFORM 3.
Applmech 07 00017 g0a7
Figure A8. Element formulation, (a) underintegrated elements: predicted deformation as a function of element formulation and hourglass treatment, (b) fully integrated elements: predicted deformation as a function of element formulation and the timestep factor.
Figure A8. Element formulation, (a) underintegrated elements: predicted deformation as a function of element formulation and hourglass treatment, (b) fully integrated elements: predicted deformation as a function of element formulation and the timestep factor.
Applmech 07 00017 g0a8
Figure A9. The effect of the coefficient of interlaminar friction.
Figure A9. The effect of the coefficient of interlaminar friction.
Applmech 07 00017 g0a9
Figure A10. The effect of the t-shell thickness change option, (a) bending moment prediction, (b) simulation vs. experiment.
Figure A10. The effect of the t-shell thickness change option, (a) bending moment prediction, (b) simulation vs. experiment.
Applmech 07 00017 g0a10
Figure A11. Crashfront softening parameters, (a) SOFT, (b) SOFT2, (c) SOFTG, (d) PFL.
Figure A11. Crashfront softening parameters, (a) SOFT, (b) SOFT2, (c) SOFTG, (d) PFL.
Applmech 07 00017 g0a11aApplmech 07 00017 g0a11b
Figure A12. Reduction factor, (a) FBRT, fibre tensile strength after matrix compressive failure, (b) YCFAC, compressive fibre strength after matrix compressive failure.
Figure A12. Reduction factor, (a) FBRT, fibre tensile strength after matrix compressive failure, (b) YCFAC, compressive fibre strength after matrix compressive failure.
Applmech 07 00017 g0a12
Figure A13. Stress limit factor, (a) SLIMT1, tensile strength in the fibre direction, (b) SLIMT2, tensile strength in the transverse direction, (c) SLIMC1, compressive strength in the fibre direction, (d) SLIMC2, compressive strength in the transverse direction, (e) SLIMS, shear strength.
Figure A13. Stress limit factor, (a) SLIMT1, tensile strength in the fibre direction, (b) SLIMT2, tensile strength in the transverse direction, (c) SLIMC1, compressive strength in the fibre direction, (d) SLIMC2, compressive strength in the transverse direction, (e) SLIMS, shear strength.
Applmech 07 00017 g0a13aApplmech 07 00017 g0a13b
Figure A14. EFS, isotropic erosion (effective strain-based).
Figure A14. EFS, isotropic erosion (effective strain-based).
Applmech 07 00017 g0a14
Figure A15. NCYRED, number of cycles for stress reduction from maximum to minimum.
Figure A15. NCYRED, number of cycles for stress reduction from maximum to minimum.
Applmech 07 00017 g0a15
Figure A16. Matrix of simulated parameter combinations.
Figure A16. Matrix of simulated parameter combinations.
Applmech 07 00017 g0a16

References

  1. Li, M.; Wang, P.; Boussu, F.; Soulat, D. A review on the mechanical performance of three-dimensional warp interlock woven fabrics as reinforcement in composites. J. Ind. Text. 2022, 51, 1009–1058. [Google Scholar] [CrossRef]
  2. Middendorf, P.; Metzner, C. Aerospace applications of non-crimp fabric composites. In Non-Crimp Fabric Composites; Woodhead Publishing: Amsterdam, The Netherlands, 2011; pp. 441–448. [Google Scholar]
  3. Sköck-Hartmann, B.; Gries, T. Automotive applications of non-crimp fabric composites. In Non-Crimp Fabric Composites; Woodhead Publishing: Amsterdam, The Netherlands, 2011; pp. 461–480. [Google Scholar]
  4. Bhudolia, S.K.; Perrotey, P.; Joshi, S.C. Experimental investigation on suitability of carbon fibre thin plies for racquets. Proc. Inst. Mech. Eng. Part P J. Sports Eng. Technol. 2016, 230, 64–72. [Google Scholar] [CrossRef]
  5. Adolphs, G.; Skinner, C. Non-crimp fabric composites in wind turbines. In Non-Crimp Fabric Composites; Woodhead Publishing: Amsterdam, The Netherlands, 2011; pp. 481–495. [Google Scholar]
  6. Schlangen, L. A Methodology for The Automation of Dry Fabric Layup for Fiber Reinforced Polymer Composite Manufacturing. Master’s Theis, Iowa State University, Ames, IA, USA, 2012. [Google Scholar]
  7. Mei, H.; Haider, M.F.; James, R.; Giurgiutiu, V. Pure S0 and SH0 detections of various damage types in aerospace composites. Compos. Part B Eng. 2020, 189, 107906. [Google Scholar] [CrossRef]
  8. Liao, B.; Wang, P.; Zheng, J.; Cao, X.; Li, Y.; Ma, Q.; Tao, R.; Fang, D. Effect of double impact positions on the low velocity impact behaviors and damage interference mechanism for composite laminates. Compos. Part A Appl. Sci. Manuf. 2020, 136, 105964. [Google Scholar] [CrossRef]
  9. Orsatelli, J.B.; Paroissien, E.; Lachaud, F.; Schwartz, S. Bonded flush repairs for aerospace composite structures: A review on modelling strategies and application to repairs optimization, reliability and durability. Compos. Struct. 2023, 304, 116338. [Google Scholar] [CrossRef]
  10. Razali, N.; Sultan, M.T.; Mustapha, F.; Yidris, N.; Ishak, M.R. Impact damage on composite structures—A review. Int. J. Eng. Sci. 2014, 3, 8–20. [Google Scholar]
  11. Rellinger, T.; Underhill, P.; Krause, T.; Wowk, D. Combining eddy current, thermography and laser scanning to characterize low-velocity impact damage in aerospace composite sandwich panels. NDT E Int. 2021, 120, 102421. [Google Scholar] [CrossRef]
  12. Giurgiutiu, V. SHM of aerospace composites—Challenges and opportunities. In Proceedings of the Composites and Advanced Materials Expo, Dallas, CA, USA, 26–29 October 2015. [Google Scholar]
  13. Topac, O.T.; Gozluklu, B.; Gurses, E.; Coker, D. Experimental and computational study of the damage process in CFRP composite beams under low-velocity impact. Compos. Part A Appl. Sci. Manuf. 2017, 92, 167–182. [Google Scholar] [CrossRef]
  14. Shabani, P.; Li, L.; Laliberte, J.; Qi, G.; Rapking, D.; Mollenhauer, D. High-fidelity simulation of low-velocity impact damage in fiber-reinforced composite laminates using integrated discrete and continuum damage models. Compos. Struct. 2023, 313, 116910. [Google Scholar] [CrossRef]
  15. Hou, Y.; Tie, Y.; Li, C.; Sapanathan, T.; Rachik, M. Low-velocity impact behaviors of repaired CFRP laminates: Effect of impact location and external patch configurations. Compos. Part B Eng. 2019, 163, 669–680. [Google Scholar] [CrossRef]
  16. Jiang, J.; Zhang, Z.; Fu, J.; Wang, H.; Ng, C.T. A newly proposed damage constitutive model for composite laminates under low-velocity impact by considering through-thickness compression damage. Aerosp. Sci. Technol. 2023, 137, 108267. [Google Scholar] [CrossRef]
  17. Ahmad, F.; Abbassi, F.; Park, M.K.; Jung, J.W.; Hong, J.W. Finite element analysis for the evaluation of the low-velocity impact response of a composite plate. Adv. Compos. Mater. 2019, 28, 271–285. [Google Scholar] [CrossRef]
  18. Ullah, H.; Silberschmidt, V.V. Numerical analysis of the interactive damage mechanisms in two-dimensional carbon fabric-reinforced thermoplastic composites under low velocity impacts. J. Compos. Mater. 2015, 49, 3127–3143. [Google Scholar] [CrossRef]
  19. Farooq, U.; Myler, P. Finite element simulation of damage and failure predictions of relatively thick carbon fibre-reinforced laminated composite panels subjected to flat and round noses low velocity drop-weight impact. Thin-Walled Struct. 2016, 104, 82–105. [Google Scholar] [CrossRef]
  20. Rajaneesh, A.; Ravailler, F.; Preud’homme, N.; Bruyneel, M. Failure analysis of woven composites using physically based modified mesomodel. Compos. Struct. 2023, 307, 116643. [Google Scholar] [CrossRef]
  21. Mendikute, J.; Baskaran, M.; Aretxabaleta, L.; Aurrekoetxea, J. Effect of voids on the impact properties of Non-Crimp fabric carbon/epoxy laminates manufactured by liquid composite Moulding. Compos. Struct. 2022, 297, 115922. [Google Scholar] [CrossRef]
  22. Satyanarayana, A.; Bogert, P.B.; Aitharaju, V.; Aashat, S.; Kia, H. Damage Simulation in Non-Crimp Fabric Composite Plates Subjected to Impact Loads; National Aeronautics and Space Administration (NASA): Washington, DC, USA, 2014. [Google Scholar]
  23. Luo, Z.; Sun, X.; Yu, B.; Zhang, C. Experimental and Numerical Study of Damage Performance and Sensitivity of Thin-Walled Carbon Fiber Tubes to Low-Energy Transverse Impact. Appl. Compos. Mater. 2025, 32, 639–657. [Google Scholar] [CrossRef]
  24. Sommer, D.E.; Thomson, D.; Falcó, O.; Quino, G.; Cui, H.; Petrinic, N. Damage modelling of carbon fibre composite crush tubes: Numerical simulation and experimental validation of drop weight impact. Compos. Part A Appl. Sci. Manuf. 2022, 160, 107033. [Google Scholar] [CrossRef]
  25. Ataabadi, P.B.; Karagiozova, D.; Alves, M. Crushing and energy absorption mechanisms of carbon fiber-epoxy tubes under axial impact. Int. J. Impact Eng. 2019, 131, 174–189. [Google Scholar] [CrossRef]
  26. Zhou, J.; Liao, B.; Shi, Y.; Zuo, Y.; Tuo, H.; Jia, L. Low-velocity impact behavior and residual tensile strength of CFRP laminates. Compos. Part B Eng. 2019, 161, 300–313. [Google Scholar] [CrossRef]
  27. Zou, J.; Lei, Z.; Bai, R.; Liu, D.; Liu, H.; Huang, X.; Yan, C. Damage evolution and failure mechanism of asymmetric composite laminates under low-velocity impact and compression after impact. Thin-Walled Struct. 2023, 182, 110177. [Google Scholar] [CrossRef]
  28. Rivallant, S.; Bouvet, C.; Abdallah, E.; Broll, B.; Barrau, J.J. Experimental analysis of CFRP laminates subjected to compression after impact: The role of impact-induced cracks in failure. Compos. Struct. 2014, 111, 147–157. [Google Scholar] [CrossRef]
  29. Lin, S.; Ranatunga, V.; Waas, A.M. Experimental study on the panel size effects of the Low-Velocity Impact (LVI) and Compression After Impact (CAI) of laminated composites, Part I: LVI. Compos. Struct. 2022, 296, 115822. [Google Scholar] [CrossRef]
  30. Yang, B.; Chen, Y.; Lee, J.; Fu, K.; Li, Y. In-plane compression response of woven CFRP composite after low-velocity impact: Modelling and experiment. Thin-Walled Struct. 2021, 158, 107186. [Google Scholar] [CrossRef]
  31. Zhao, Q.; Wang, W.; Liu, Y.; Hou, Y.; Li, J.; Li, C. Multiscale modeling framework to predict the low-velocity impact and compression after impact behaviors of plain woven CFRP composites. Compos. Struct. 2022, 299, 116090. [Google Scholar] [CrossRef]
  32. Wan, Y.; Wang, L.; Liu, Y.; Wu, Y. Experimental investigation on the low-velocity impact response and the residual strength of CFRP tubes. Polym. Compos. 2024, 45, 8677–8693. [Google Scholar] [CrossRef]
  33. Ataabadi, P.; Karagiozova, D.; Alves, M. Finite element modeling of crushing of CFRP cylindrical tubes under low-velocity axial impact. Compos. Struct. 2022, 280, 114902. [Google Scholar] [CrossRef]
  34. Karagiozova, D.; Ataabadi, P.B.; Alves, M. Finite element modeling of CFRP composite tubes under low velocity axial impact. Polym. Compos. 2021, 42, 1543–1564. [Google Scholar] [CrossRef]
  35. Abir, M.R.; Tay, T.E.; Ridha, M.; Lee, H.P. On the relationship between failure mechanism and compression after impact (CAI) strength in composites. Compos. Struct. 2017, 182, 242–250. [Google Scholar] [CrossRef]
  36. Lin, S.; Ranatunga, V.; Waas, A.M. Computational study on the panel size effects of the compressive load-bearing capacity after impact of laminated composites. Int. J. Solids Struct. 2023, 264, 112100. [Google Scholar] [CrossRef]
  37. LSTC LD. Keyword User’s Manual Volume II-Material Models; Livermore Software: Livermore, CA, USA, 2013; p. 887. [Google Scholar]
  38. Cherniaev, A.; Butcher, C.; Montesano, J. Predicting the axial crush response of CFRP tubes using three damage-based constitutive models. Thin-Walled Struct. 2018, 129, 349–364. [Google Scholar] [CrossRef]
  39. Feraboli, P.; Wade, B.; Deleo, F.; Rassaian, M.; Higgins, M.; Byar, A. LS-DYNA MAT54 modeling of the axial crushing of a composite tape sinusoidal specimen. Compos. Part A Appl. Sci. Manuf. 2011, 42, 1809–1825. [Google Scholar] [CrossRef]
  40. Zhang, J.; Lu, B.; Zheng, D.; Li, Z. Experimental and numerical study on energy absorption performance of CFRP/aluminum hybrid square tubes under axial loading. Thin-Walled Struct. 2020, 155, 106948. [Google Scholar] [CrossRef]
  41. Liu, Q.; Fu, J.; Ma, Y.; Zhang, Y.; Li, Q. Crushing responses and energy absorption behaviors of multi-cell CFRP tubes. Thin-Walled Struct. 2020, 155, 106930. [Google Scholar] [CrossRef]
  42. Zhou, G.; Tang, H.; Sun, Q.; Li, D.; Peng, Y.; Zeng, D.; Su, X. Analysis of the crushing behaviors of woven carbon fiber reinforced plastic hat section component under dynamic bending and axial crushing loading. Thin-Walled Struct. 2021, 161, 107426. [Google Scholar] [CrossRef]
  43. Moncayo, E.; Wagner, H.; Drechsler, K. Benchmarks for Composite Delamination Using LS-DYNA 971: Low Velocity Impact; DYNAmore GmbH: Stuttgart, Germany, 2007; pp. 13–22. [Google Scholar]
  44. Panciroli, R.; Giannini, O. Comparing the impact resistance of flax/epoxy and glass/epoxy composites through experiments and numerical simulations. Compos. Struct. 2021, 264, 113750. [Google Scholar] [CrossRef]
  45. Metin, F.; Avcı, A. In-plane quasi-static and out-of-plane dynamic behavior of nanofiber interleaved glass/epoxy composites and finite element simulation. Compos. Struct. 2021, 270, 114085. [Google Scholar] [CrossRef]
  46. Pohl, C.; Toenjes, M.; Liebold, C.; Ploeckl, M.; Koerber, H.; Gray, L.A.; Colin, D.; Drechsler, K. Numerical prediction of composite damage behavior: A modeling approach including the strain-rate-dependent material response. Compos. Struct. 2022, 292, 115628. [Google Scholar] [CrossRef]
  47. Cherniaev, A.; Pavlova, S.; Pavlov, A.; Komarov, V. Prediction of load-bearing capacity of composite parts with low-velocity impact damage: Identification of intra-and inter-ply constitutive models. Appl. Mech. 2020, 1, 59–78. [Google Scholar] [CrossRef]
  48. Mansor, M.A.; Ahmad, Z.; Abdullah, M.R. Crashworthiness capability of thin-walled fibre metal laminate tubes under axial crushing. Eng. Struct. 2022, 252, 113660. [Google Scholar] [CrossRef]
  49. Lanzi, L. Composite stiffened panels in postbuckling: Experiments and dynamic explicit analyses with LS-DYNA. In Proceedings of the 30th European Rotorcraft Forum, Marseille, France, 14–16 September 2004. [Google Scholar]
  50. Xiao, X.; McGregor, C.; Vaziri, R.; Poursartip, A. Progress in braided composite tube crush simulation. Int. J. Impact Eng. 2009, 36, 711–719. [Google Scholar] [CrossRef]
  51. Jackson, K.E.; Fasanella, E.L.; Littell, J.D. Development of a continuum damage mechanics material model of a graphite-Kevlar (registered trademark) hybrid fabric for simulating the impact response of energy absorbing Kevlar (registered trademark) hybrid fabric for simulating the impact response of energy absorbing. In Proceedings of the AHS International Annual Forum & Technology Display, Fort Worth, TX, USA, 9–11 May 2017. [Google Scholar]
  52. Yan, J.; Liu, Y.; Yan, Z.; Bai, F.; Shi, Z.; Si, P.; Huang, F. Ballistic characteristics of 3D-printed auxetic honeycomb sandwich panel using CFRP face sheet. Int. J. Impact Eng. 2022, 164, 104186. [Google Scholar] [CrossRef]
  53. Wei, Q.; Gu, B.; Sun, B. Ballistic penetration damages and energy absorptions of stacked cross-plied composite fabrics and laminated panels. Int. J. Damage Mech. 2020, 29, 1465–1484. [Google Scholar] [CrossRef]
  54. Yu, H.; Zhao, H.; Shi, F. Bending performance and reinforcement of rocker panel components with unidirectional carbon fiber composite. Materials 2019, 12, 3164. [Google Scholar] [CrossRef] [PubMed]
  55. Dharmaraj, P.G.; Wood, J.; Montesano, J. Design and Simulation of Non-Crimp Fabric Carbon Fiber/Epoxy Channels for Energy Absorbing Applications. In Proceedings of the SPE Automotive & Composites Conference & Exhibition (ACCE), Novi, MI, USA, 4–6 September 2019. [Google Scholar]
  56. Chang, F.K.; Chang, K.Y. A progressive damage model for laminated composites containing stress concentrations. J. Compos. Mater. 1987, 21, 834–855. [Google Scholar] [CrossRef]
  57. Matzenmiller, A.; Schweizerhof, K. Crashworthiness simulations of composite structures-a first step with explicit time integration. In Nonlinear Computational Mechanics: State of the Art; Springer: Berlin, Germany, 1991; pp. 643–670. [Google Scholar]
  58. Fibre Glast Developments Corporation, LLC. IM Unidirectional Carbon Fabric (4.3 oz). Fibre Glast. 2596. Available online: https://www.fibreglast.com/products/unidirectional-carbon-fabric-43-oz-2596 (accessed on 4 February 2026).
  59. ASTM D3039/D3039M-17; Standard Test Method for Tensile Properties of Polymer Matrix Composite Materials. ASTM International: West Conshohocken, PA, USA, 2017.
  60. Chamis, C.C.; Sinclair, J.H. Ten Deg Off-Axis Tensile Test for Intralaminar Shear Characterization of Fiber Composites; National Aeronautics and Space Administration (NASA): Washington, DC, USA, 1976. [Google Scholar]
  61. Wyoming Test Fixtures. Modified ASTM D695 Compression Test Fixture (Boeing BSS 7260). Wyoming Test Fixtures. Available online: https://wyomingtestfixtures.com/ (accessed on 4 February 2026).
  62. ASTM D 5528; Standard Test Method for Mode I Interlaminar Fracture Toughness of Unidirectional Fiber-Reinforced Polymer Matrix Composites. ASTM International: West Conshohocken, PA, USA, 2007.
  63. Carlsson, L.A.; Adams, D.F.; Pipes, R.B. Experimental Characterization of Advanced Composite Materials; CRC press: Boca Raton, FL, USA, 2014. [Google Scholar]
  64. Barcikowski, M.; Rybkowska, K. Mode II fracture characterization of toughened epoxy resin composites. Int. J. Fract. 2022, 234, 223–233. [Google Scholar] [CrossRef]
  65. Graf, T.; Haufe, A.; Andrade, F. Adhesives modeling with LS-DYNA: Recent developments and future work. In Proceedings of the Nordic LS-DYNA Forum; DYNAmore GmbH: Stuttgart, Germany, 2014. [Google Scholar]
  66. Reiner, J.; Vaziri, R.E. Progressive axial crushing of composite laminates: A comparison between LS-DYNA continuum damage models. In Proceedings of the Thirty-Third Technical Conference of the American Society for Composites, Seattle, WA, USA, 24–26 September 2018. [Google Scholar]
  67. Özen, I.; Gedikli, H.; Aslan, M. Experimental and numerical investigation on energy absorbing characteristics of empty and cellular filled composite crash boxes. Eng. Struct. 2023, 289, 116315. [Google Scholar] [CrossRef]
  68. Haluza, R.T.; Pereira, J.M.; Ricks, T.M.; Goldberg, R.K.; Bakis, C.E.; Koudela, K.L. Simulation of Dynamic Crushing Behavior of Simulated Carbon/Epoxy Stanchions Using MAT58 and MAT213 in LS-DYNA. In Proceedings of the 38th American Society for Composites (ASC) Annual Technical Conference, Woburn, MA, USA, 17–20 September 2023. [Google Scholar]
  69. Livermore Software Technology Corporation (LSTC). LS-DYNA Keyword User’s Manual; LSTC: Livermore, CA, USA, 2014; Volume I. [Google Scholar]
  70. Zhang, Z.; Khong, J.C.; Koe, B.; Luo, S.; Huang, S.; Qin, L.; Cipiccia, S.; Batey, D.; Bodey, A.J.; Rau, C.; et al. Multiscale characterization of the 3D network structure of metal carbides in a Ni superalloy by synchrotron X-ray microtomography and ptychography. Scr. Mater. 2021, 193, 71–76. [Google Scholar] [CrossRef]
Figure 1. SEM study: right view (orange arrow)—cross-section of fibre tows; top view (purple arrow)—localized fibre distortion; front view (green arrow)—through-the-thickness stack-up and lateral fibre distortions due to the presence of the binder.
Figure 1. SEM study: right view (orange arrow)—cross-section of fibre tows; top view (purple arrow)—localized fibre distortion; front view (green arrow)—through-the-thickness stack-up and lateral fibre distortions due to the presence of the binder.
Applmech 07 00017 g001
Figure 2. Phase I: induction of damage by means of quasi-static indentation (top), Phase II: damaged zone under tensile (bottom left) and compressive (bottom right) stresses.
Figure 2. Phase I: induction of damage by means of quasi-static indentation (top), Phase II: damaged zone under tensile (bottom left) and compressive (bottom right) stresses.
Applmech 07 00017 g002
Figure 3. Load–displacement diagrams from quasi-static tests of tubular subcomponents.
Figure 3. Load–displacement diagrams from quasi-static tests of tubular subcomponents.
Applmech 07 00017 g003
Figure 4. Drop-weight tower components.
Figure 4. Drop-weight tower components.
Applmech 07 00017 g004
Figure 5. A general view of the full and the reduced models developed in this study.
Figure 5. A general view of the full and the reduced models developed in this study.
Applmech 07 00017 g005
Figure 6. Boundary conditions in the phase I (left) and phase II (right) of the loading.
Figure 6. Boundary conditions in the phase I (left) and phase II (right) of the loading.
Applmech 07 00017 g006
Figure 7. Post phase II deformation in tubes with 0 4   /   90 3 S layup: (left) the damaged area under tensile stress, (right) the damaged area under compressive stress.
Figure 7. Post phase II deformation in tubes with 0 4   /   90 3 S layup: (left) the damaged area under tensile stress, (right) the damaged area under compressive stress.
Applmech 07 00017 g007
Figure 8. Maximum load and error of the best combinations for (a) layup #1, (b) layup #2.
Figure 8. Maximum load and error of the best combinations for (a) layup #1, (b) layup #2.
Applmech 07 00017 g008
Figure 9. Specimen deformation at the end of Phase II.
Figure 9. Specimen deformation at the end of Phase II.
Applmech 07 00017 g009
Figure 10. Visual and predicted (MAT54) damage in the outer layer of the 0 4 / 90 3 S specimen.
Figure 10. Visual and predicted (MAT54) damage in the outer layer of the 0 4 / 90 3 S specimen.
Applmech 07 00017 g010
Figure 11. Delamination in the central segment of the crushed 0 4 / 90 3 S specimen: CT-scan vs. numerical modelling.
Figure 11. Delamination in the central segment of the crushed 0 4 / 90 3 S specimen: CT-scan vs. numerical modelling.
Applmech 07 00017 g011
Figure 12. Numerical model of the drop-weight test.
Figure 12. Numerical model of the drop-weight test.
Applmech 07 00017 g012
Figure 13. Numerical model prediction vs. experimental test.
Figure 13. Numerical model prediction vs. experimental test.
Applmech 07 00017 g013
Table 1. Conducted tests, types, and equipment.
Table 1. Conducted tests, types, and equipment.
TestTypeEquipment
Scanning electron microscopy (SEM)MicrostructureFEI Quanta 200 Field Emission Gun Scanning Electron Microscope (FEG-ESEM), by FEI Company (now part of Thermo Fisher Scientific), which is headquartered in Hillsboro, OR, USA.
X-raySub-component225 KeV microfocus XCT system by Nikon Metrology, Tokyo, Japan.
Longitudinal tensileMaterial characterizationMTS Criterion C43.504 by MTS Systems Corporation, Eden Prairie, MN, USA.
Transverse tensileMaterial characterizationMTS Criterion C43.504 by MTS Systems Corporation, Eden Prairie, MN, USA.
CompressionMaterial characterizationMTS Criterion C43.504 by MTS Systems Corporation, Eden Prairie, MN, USA.
10° off-axis tensileMaterial characterizationMTS Criterion C43.504 by MTS Systems Corporation, Eden Prairie, MN, USA.
Double-cantilever beam (DCB)Material characterizationMTS Criterion C43.504 by MTS Systems Corporation, Eden Prairie, MN, USA.
End-notched flexure (ENF)Material characterizationMTS Criterion C43.504 by MTS Systems Corporation, Eden Prairie, MN, USA.
Quasi-static damage inductionSub-componentMTS Criterion C43.504 by MTS Systems Corporation, Eden Prairie, MN, USA.
Dynamic damage inductionSub-componentCustom-built drop tower, University of Windsor, Canada
Residual load-bearing capacitySub-componentMTS Criterion C43.504 by MTS Systems Corporation, Eden Prairie, MN, USA.
Table 2. Parameters of the processed test specimens for NCF mechanical characterization.
Table 2. Parameters of the processed test specimens for NCF mechanical characterization.
Test TypeDimensions, mm × mmNumber of NCF LayersTest Procedure
Longitudinal tensile test250 × 158ASTM D3039 [59]
Transverse tensile test175 × 2514ASTM D3039 [59]
10° off-axis tensile test250 × 158NASA guidelines [60]
Compression test81 × 137ASTM D695 [61]
Double-cantilever beam (DCB) test125 × 2532ASTM D 5528 [62]
End-notched flexure (ENF) test120 × 2532Modified method [63] based on ASTM D7905 [64]
Table 3. Mechanical properties of the unidirectional NCF material.
Table 3. Mechanical properties of the unidirectional NCF material.
PropertyUnitsMean ValueNumber of SamplesStandard DeviationCoefficient of Variation
Longitudinal Young’s modulus, E 1 GPa149.541115.9810.68%
Transverse Young’s modulus, E 2 GPa6.07110.6910.20%
In-plane Poisson’s ratio, ν 12 -0.34110.06619.22%
In-plane shear modulus, G 12 GPa5.0550.387.45%
Longitudinal tensile strength, X t MPa2060.0011157.007.64%
Longitudinal compressive strength, X c MPa814.00482.0210.07%
Transverse tensile strength, Y t MPa29.10115.3718.44%
Transverse compressive strength, Y c MPa121.6046.445.32%
In-plane shear strength, S L MPa44.5052.084.89%
Longitudinal tensile strain-at-failure, ε 1 f %1.23110.001310.63%
Transverse tensile strain-at-failure, ε 2 f %0.61110.000922.72%
In-plane shear strain-at-failure two γ 12 f %1.71---
Mode I strain energy release rate, G I c k J / m 2 0.6650.10916.43%
Mode II strain energy release rate, G I I c k J / m 2 2.7670.50718.39%
Shear stress at the onset of non-linearityMPa30.0052.084.89%
Shear strain at the onset of non-linearity%0.71---
Table 4. Subcomponent tests peak loads.
Table 4. Subcomponent tests peak loads.
LayupTest TypeOK of Total SpecimenDamage Zone LoadingMax Load
Phase I (N)Phase II (N)
0 4 , 90 3 S Qusai-static2 of 5Compressive7521.182296.23
0 4 , 90 3 S Quasi-static2 of 2Tensile7333.446164.70
90 5 , 0 2 S Qusai-static2 of 2Compressive7898.861210.09
90 5 , 0 2 S Quasi-static2 of 2Tensile8658.137462.24
0 4 , 90 3 S Impact2 of 6Compressive-6211.79
Table 5. Input data for the UD NC to use with the *CONTACT_AUTOMATIC_ONE_WAY_SURFACE_TO_SURFACE_TIEBREAK card.
Table 5. Input data for the UD NC to use with the *CONTACT_AUTOMATIC_ONE_WAY_SURFACE_TO_SURFACE_TIEBREAK card.
ParameterDescriptionUnitValue
NFLSNormal stress at failure initiationMPa63.00
SFLSShear stress at failure initiationMPa36.00
G I c Mode I critical strain energy release rate k J / m 2 0.66
G I I c Mode II critical strain energy release rate k J / m 2 2.77
CNNormal stiffness in the interlaminar regionMPa/mm200,000.00
CT2CNThe ratio between the tangential and the normal stiffness-0.37
Table 6. SLIM factors for simulations with CFRP composites.
Table 6. SLIM factors for simulations with CFRP composites.
#PublicationSLIMT1SLIMC1SLIMT2SLIMC2SLIMSMATTYPEAPP
1LS DYNA manual [37]0.05–0.101.000.05–0.101.00N/A58N/AN/A
2Cherniaev et al. [38]0.010.380.101.001.0054UDAC
3Reiner & Vaziri [66]0.200.800.200.800.5058UDAC
4Wei at al. [53]0.011.000.101.001.0058WVAC
5Zhou et al. [42]0.201.000.201.001.0054WVAC
6Pohl et al. [46]N/AN/A0.050.051.0058UDAC
7Özen et al. [67]0.010.350.101.001.0054WVAC
8Haluza et al. [68]0.200.800.200.800.5058UDAC
Chosen Baseline Values in This Study0.010.400.010.900.8554UDTI
AC—axial crushing; TI—transverse impact; UD—unidirectional; WV—woven fabric; APP—application.
Table 7. The baseline model: parameters, description, and values.
Table 7. The baseline model: parameters, description, and values.
ParameterDescriptionValue
ELFORMElement formulation for t-shell elements1
IHQHourglass control type4
QM, QB, QWHourglass coefficients0.025
FrictionFriction between layers of composite material0.25
SOFTSoftening reduction factor for strength in crashfront elements0.8
SOFT2Orthogonal softening reduction factor for crashfront elements1
SOFTGThe crashfront softening reduction factor for transverse shear moduli1
PFLPercentage of layers that must fail for the crashfront to initiate100
FBRTSoftening of fibre tensile strength0
YCFACReduction factor for compressive fibre strength after matrix compressive failure3
SLIMT1Factor to determine the minimum stress limit after stress maximum (fibre tension)0.01
SLIMT2Factor to determine the minimum stress limit after stress maximum (matrix tension)0.01
SLIMC1Factor to determine the minimum stress limit after stress maximum (fibre compression)0.4
SLIMC2Factor to determine the minimum stress limit after stress maximum (matrix compression)0.9
SLIMSFactor to determine the minimum stress limit after stress maximum (shear)0.85
NCYREDNumber of cycles for stress reduction from maximum to minimum5
EFSEffective failure strain0.5
ISTUPDShell thickness update0
Table 8. The most successful combinations of non-physical parameters.
Table 8. The most successful combinations of non-physical parameters.
ParameterInitial (1)Combination (2)Comb. (3)Comb. (4)Comb. (5)Comb. (6)
Friction0.250.500.500.500.500.50
SOFT0.800.800.800.800.800.80
SOFT21.001.001.001.001.001.00
SOFTG1.001.001.001.001.001.00
PFL100.00100.00100.00100.00100.00100.00
FBRT0.000.000.000.000.000.00
YCFAC3.005.005.005.005.005.00
SLIMT10.010.010.010.010.050.05
SLIMT20.010.010.010.010.010.01
SLIMC10.400.500.450.400.400.40
SLIMC20.900.900.900.900.900.80
SLIMS0.850.850.850.850.850.85
NCYRED5.005.005.005.005.005.00
EFS0.500.300.300.300.300.30
ISTUPD0.000.000.000.000.002.00
Table 9. The baseline vs. calibrated value for model non-measurable parameters.
Table 9. The baseline vs. calibrated value for model non-measurable parameters.
ParameterBaseline ValueCalibrated Value
ELFORM1.0001.000
IHQ4.0004.000
QM, QB, QW0.0250.025
Friction0.2500.500
SOFT0.8000.800
SOFT21.0001.000
SOFTG1.0001.000
PFL100.000100.000
FBRT0.0000.000
YCFAC3.0005.000
SLIMT10.0100.050
SLIMT20.0100.010
SLIMC10.4000.400
SLIMC20.9000.800
SLIMS0.8500.850
NCYRED5.0005.000
EFS0.5000.300
ISTUPD0.0002.000
Disclaimer/Publisher’s Note: The statements, opinions and data contained in all publications are solely those of the individual author(s) and contributor(s) and not of MDPI and/or the editor(s). MDPI and/or the editor(s) disclaim responsibility for any injury to people or property resulting from any ideas, methods, instructions or products referred to in the content.

Share and Cite

MDPI and ACS Style

Kazemian, M.; Cherniaev, A. Prediction of Post-Impact Load-Bearing Capacity in Non-Crimp Fabric Composite Members. Appl. Mech. 2026, 7, 17. https://doi.org/10.3390/applmech7010017

AMA Style

Kazemian M, Cherniaev A. Prediction of Post-Impact Load-Bearing Capacity in Non-Crimp Fabric Composite Members. Applied Mechanics. 2026; 7(1):17. https://doi.org/10.3390/applmech7010017

Chicago/Turabian Style

Kazemian, Milad, and Aleksandr Cherniaev. 2026. "Prediction of Post-Impact Load-Bearing Capacity in Non-Crimp Fabric Composite Members" Applied Mechanics 7, no. 1: 17. https://doi.org/10.3390/applmech7010017

APA Style

Kazemian, M., & Cherniaev, A. (2026). Prediction of Post-Impact Load-Bearing Capacity in Non-Crimp Fabric Composite Members. Applied Mechanics, 7(1), 17. https://doi.org/10.3390/applmech7010017

Article Metrics

Back to TopTop