Predictive Performance Evaluation of an Eco-Friendly Pavement Using Baosteel’s Slag Short Flow (BSSF) Steel Slag
Abstract
1. Introduction and Background
1.1. Pavements Stabilized with Steel Aggregate
1.2. Brazilian Empirical-Mechanistic Method (MeDiNa)
2. Materials and Methods
2.1. Materials
2.2. Laboratory Testing
2.3. Computer Simulations and Design
3. Results and Discussions
3.1. Characterization of Materials for Granular Layers and Asphalt Pavement
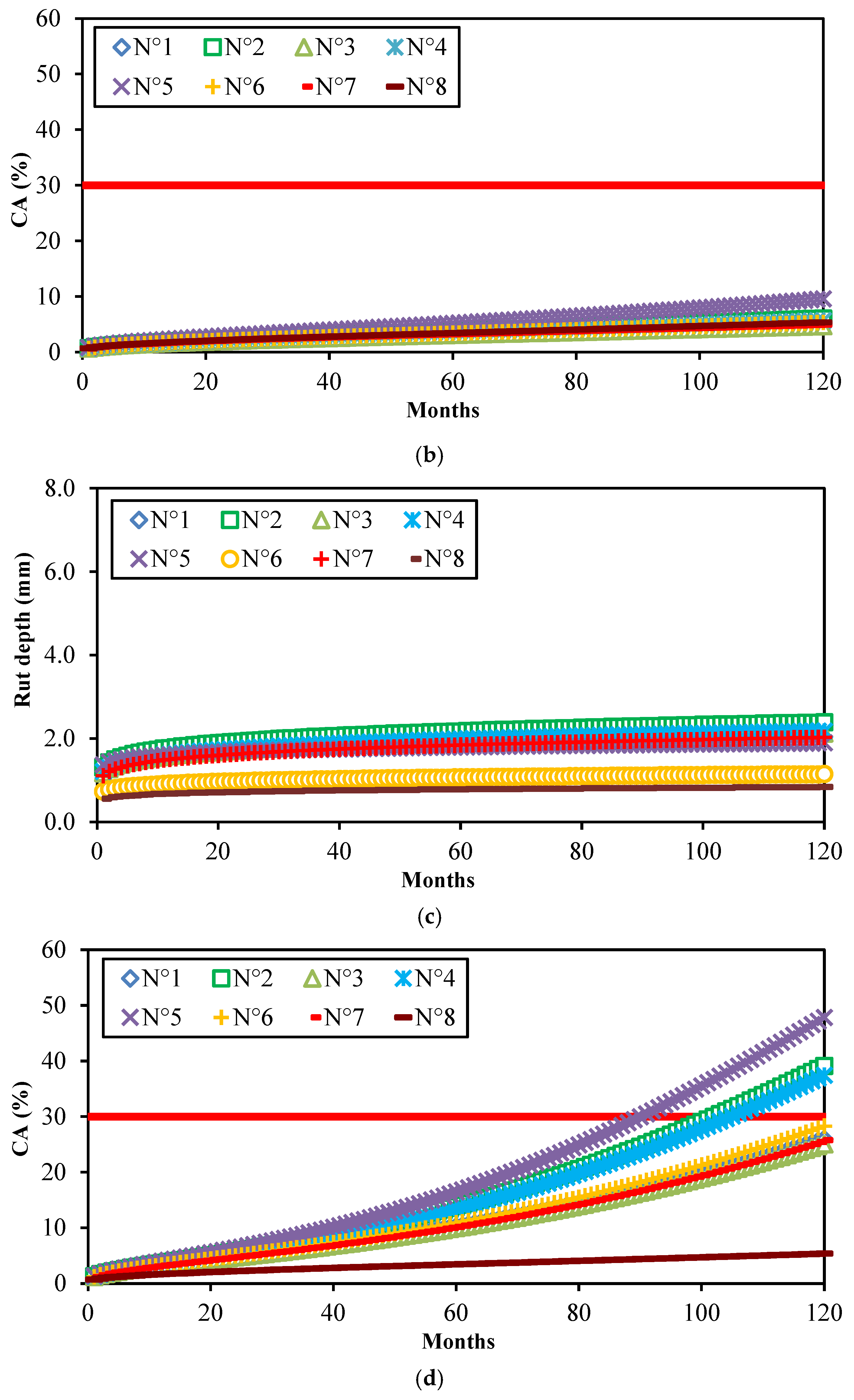
3.2. Evaluation of Structures Regarding Cracked Area and Rut Depth
4. Conclusions
- Surface layer behavior: The application of 15% BSSF SSA in the surface layer did not result in measurable differences in rut depth compared to conventional mixtures under the evaluated conditions.
- Base and subbase layer behavior: Pavement structures with SSA in the base and subbase layers presented lower rut depths compared to those without SSA. Mixtures with higher aggregate content were associated with reduced permanent deformation.
- Cracking analysis: Configurations without SSA showed higher cracked area percentages (%CA) under medium traffic loading. Structures with conventional surface layers exceeded acceptable limits for %CA, indicating the need for material or structural adjustments.
- Predictive modeling and result variability: Some deviations in expected behavior were observed. These may be related to limitations in the predictive models applied or the sensitivity of the evaluation methods used.
- Material characterization and implementation: The characterization of granular and asphalt layers with and without SSA, together with the evaluation of observed pavement distresses, enabled the identification of performance patterns across different configurations. The use of BSSF SSA requires no pre-treatment, which simplifies field application compared to other steel slags.
- Implications for design and future studies: The relationship between material composition, traffic demand, and performance criteria highlights the importance of refining current design methodologies. Further studies are recommended to improve the accuracy of predictive models and to expand the analysis of alternative materials in pavement structures.
Author Contributions
Funding
Institutional Review Board Statement
Informed Consent Statement
Data Availability Statement
Acknowledgments
Conflicts of Interest
Abbreviations
| BSSF | Baosteel’s Slag Short Flow |
| %CA | Percentage of cracked area |
| MeDiNa | Método de Dimensionamento Nacional |
| SSA | Steel slag aggregate |
| PD | Permanent deformation |
| EAF | Electric arc furnace |
| LD | Linz-Donawitz |
| CBR | California bearing ratio |
| OMC | Optimal moisture content |
| RM | Resilient modulus |
| NS | Natural soil |
| USCS | Unified Soil Classification System |
| ITS | Indirect tensile strength |
| ESAL | Equivalent single axle load |
| FN | Flow number |
References
- Assunção, F.; Medeiros, E. Siderurgia no Brasil 2010–2025: Subsídios Para Tomada de Decisão; Centro de Gestão e Estudos Estratégicos (CGEE): Brasília, Brazil, 2010. [Google Scholar]
- Lima, L.B.F.; Silva, J.P.S.; Rezende, L.R. Investigation of resilient modulus and permanent deformation of tropical soil with Reclaimed Asphalt Pavement. Transp. Geotech. 2023, 43, 101103. [Google Scholar] [CrossRef]
- Rodrigues, K.H.D.P.; Silva, T.O.D.; Pitanga, H.N.; Almeida, M.S.D.S.; Pedroti, L.G.; Rodrigues, M.H.R.; Lopes, E.C. Effect of carbonation of soil-slag mixtures on the resilient behaviour and structural response of an asphalt pavement. Road Mater. Pavement Des. 2024, 25, 2101–2120. [Google Scholar] [CrossRef]
- Rohde, L.; Nunez, W.P.; Ceratti, J.A.P. Escória de aciaria elétrica: Uma alternativa aos materiais granulares tradicionais. Transportes 2003, 11, 13–18. [Google Scholar] [CrossRef]
- Pires, P.M.; Teixeira, J.E.S.L.; Nepomuceno, D.V.; Furieri, E.C. Laboratory and field evaluation of KR slag–stabilized soil for paving applications. J. Mater. Civ. Eng. 2019, 31, 04019182. [Google Scholar] [CrossRef]
- Costa, S.N.; Santos, R.O.G. Utilização da escória de aciaria em combinação com solo para uso em camadas de pavimentação rodoviária. Eng. Sci. 2020, 8, 57–66. [Google Scholar] [CrossRef]
- Boldrini, B.; Pacheco, R.F.R. Estudo do comportamento da escória de aciaria tipo LD em base de pavimentos urbanos. Rev. IFES Ciência 2022, 8, 1–10. [Google Scholar] [CrossRef]
- Amancio, F.A.; Dias, A.R.D.O.; Lima, D.A.; Cabral, A.E.B. Estudo do comportamento no estado fresco e endurecido de argamassa com escória de aciaria BSSF. Matéria 2021, 26, e13031. [Google Scholar] [CrossRef]
- Polese, M.D.O.; Carreiro, G.L.; Silva, M.G.D.; Silva, M.R. Caracterização microestrutural da escória de aciaria. Matéria 2006, 11, 442–452. [Google Scholar] [CrossRef]
- Pellegrino, C.; Gaddo, V. Mechanical and durability characteristics of concrete containing EAF slag as aggregate. Cem. Concr. Compos. 2009, 31, 663–671. [Google Scholar] [CrossRef]
- Rizzo, E.M.S. Introdução aos Processos de Refino Primário dos Aços nos Conversores a Oxigênio, 1st ed.; Editora ABM: São Paulo, Brazil, 2006; p. 118. [Google Scholar]
- Bosurgi, G.; Celauro, C.; Pellegrino, O.; Ruggeri, A.; Sollazzo, G. Mechanical and environmental performance comparisons of improved asphalt pavement wearing courses with high quality aggregates, steel slags, and polymeric compound. Constr. Build. Mater. 2023, 382, 131252. [Google Scholar] [CrossRef]
- Bevacqua, M.T.; Isernia, T.; Praticò, F.G.; Zumbo, S. A method for bottom-up cracks healing via selective and deep microwave heating. Autom. Constr. 2021, 121, 103426. [Google Scholar] [CrossRef]
- Sun, Y.; Liu, Q.; Wu, S.; Shang, F. Microwave heating of steel slag asphalt mixture. Key Eng. Mater. 2014, 599, 193–197. [Google Scholar] [CrossRef]
- Joenck, F.T.; Joenck, V.B.C.; Del Carpio, J.A.V.; Melo, J.V.S. Self-healing capacity of asphalt mixtures with steel fiber, steel slag and graphite powder, evaluated with microwave induction and fatigue test. Matéria 2022, 27, e20220221. [Google Scholar] [CrossRef]
- Liu, J.; Wang, Z.; Jing, H.; Zhang, T.; Wang, X.; Zhou, X.; Xu, X. Self-healing properties of steel slag asphalt mixture based on experimental characterization and 3D reconstruction. Mater. Des. 2023, 234, 112358. [Google Scholar] [CrossRef]
- Chen, X.; Zhang, J.; Liu, Z.; Wan, B.; Dong, Q. Self-healing analysis of steel slag asphalt mixture under microwave heating through laboratory fatigue-healing test and microscopic characterization method. In Proceedings of the IOP Conference Series: Earth and Environmental Science, Shanghai, China, 26–29 May 2024. [Google Scholar]
- Gao, J.; Sha, A.; Wang, Z.; Tong, Z.; Liu, Z. Utilization of steel slag as aggregate in asphalt mixtures for microwave deicing. J. Clean. Prod. 2017, 152, 429–442. [Google Scholar] [CrossRef]
- Dias, A.R.O.; Amancio, F.A.; Sousa, I.L.X.; Lucas, S.O.; Lima, D.A.; Cabral, A.E.B. Efeitos da substituição do cimento Portland por escória de aciaria BSSF nas propriedades físicas e mecânicas do concreto. Matéria 2020, 25, e-12890. [Google Scholar] [CrossRef]
- Yang, C.; Wu, S.; Xie, J.; Amirkhanian, S.; Liu, Q.; Zhang, J.; Xiao, Y.; Zhao, Z.; Xu, H.; Xu, H.; et al. Enhanced induction heating and self-healing performance of recycled asphalt mixtures by incorporating steel slag. J. Clean. Prod. 2022, 366, 132999. [Google Scholar] [CrossRef]
- Holanda, Y.S.; Silva, L.S.V.; Vale, A.C.F.; Lira, L.A.; Moreira, A.V.; Soares, J.B.; Bastos, J.B.S. Evaluation of the mechanical behavior of asphalt mixes with sustainable fillers. In Proceedings of the 14th International Conference on Asphalt Pavements, Montreal, QC, Canada, 2–6 June 2024. [Google Scholar]
- Sombra Júnior, A.J.; Alexandre, N.P.; Barroso, S.H.A.; Soares, S.A. Aplicação de materiais geopoliméricos na estabilização química de solo argiloso. In Proceedings of the XXII Congreso Ibero Latinoamericano del Asfalto, Granada, Spain, 22–26 April 2024. [Google Scholar]
- Singh, A.K.; Sahoo, J.P. Rutting prediction models for flexible pavement structures: A review of historical and recent developments. J. Traffic Transp. Eng. 2021, 8, 315–338. [Google Scholar] [CrossRef]
- Bastos, J.B.S.; Borges, R.L.; Soares, J.B.; Klinsky, L.M.G. Avaliação em laboratório e em campo da deformação permanente de pavimentos asfálticos do Ceará e de São Paulo. Transportes 2015, 23, 44–55. [Google Scholar] [CrossRef][Green Version]
- Ameri, M.; Mansourian, A.; Khavas, M.H.; Aliha, M.R.M.; Ayatollahi, M.R. Cracked asphalt pavement under traffic loading—A 3D finite element analysis. Eng. Fractur. Mech. 2011, 78, 1817–1826. [Google Scholar] [CrossRef]
- DNER-ME 258; Solos Compactados em Equipamento Miniatura—Mini-MCV. IPR: Rio de Janeiro, Brazil, 1994.
- DNER-ME 256; Solos Compactados com Equipamento Miniatura—Determinação da Perda de Massa por Imersão. IPR: Rio de Janeiro, Brazil, 1994.
- DNIT-ME 450; Equivalente de Areia—Método de Ensaio. IPR: Rio de Janeiro, Brazil, 2024.
- DNIT-ME 451; Agregados—Determinação do Desgaste por Abrasão e Impacto no Equipamento “Los Angeles”—Método de Ensaio. IPR: Rio de Janeiro, Brazil, 2024.
- NBR 14545; Solo—Determinação do Coeficiente de Permeabilidade de Solos Argilosos à Carga Variável. ABNT: Rio de Janeiro, Brazil, 2021.
- DNIT-ME 134; Pavimentação—Solos—Determinação do módulo de resiliência—Método de ensaio. IPR: Rio de Janeiro, Brazil, 2018.
- DNIT-ME 178; Pavimentação—Solos—Determinação da Deformação Permanente—Instrução de Ensaio. IPR: Rio de Janeiro, Brazil, 2018.
- Guimarães, A.C.R. Um Método Mecanístico-Empírico para a Previsão da Deformação Permanente em Solos Tropicais Constituintes de Pavimentos. Ph.D. Dissertation, Universidade Federal do Rio de Janeiro, Rio de Janeiro, Brazil, 2009. [Google Scholar]
- DNIT-ME 183; Pavimentação Asfáltica—Ensaio de Fadiga por Compressão Diametral à Tensão Controlada—Método de Ensaio. IPR: Rio de Janeiro, Brazil, 2018.
- DNIT-ME 135; Pavimentação Asfáltica—Misturas Asfálticas—Determinação do Módulo de Resiliência—Método de Ensaio. IPR: Rio de Janeiro, Brazil, 2018.
- DNIT-ME 184; Pavimentação Asfáltica—Misturas Asfálticas—Ensaio Uniaxial de Carga Repetida para Determinação da Resistência à Deformação Permanente—Método de Ensaio. IPR: Rio de Janeiro, Brazil, 2018.







| Parameter | Reference Mix | 15% SSA Mix |
|---|---|---|
| Asphalt binder content (%) | 4.4 | 4.4 |
| Maximum specific gravity, Gmm | 2.463 | 2.564 |
| Bulk specific gravity, Gmb | 2.362 | 2.468 |
| Air voids content, AV (%) | 3.9 | 3.5 |
| Voids in mineral aggregate, VMA (%) | 14.1 | 14.2 |
| Material | Soil (%) | Steel Aggregate (%) | Composition | RM Average (MPa) | PD Model (%) | |||
|---|---|---|---|---|---|---|---|---|
| ψ1 | ψ2 | ψ3 | ψ4 | |||||
| Asphalt layer | - | - | Reference mix | 7553 | - | - | - | - |
| Asphalt layer | - | 15 | 15% SSA | 8330 | - | - | - | - |
| Natural soil | 100 | 0 | NS | 543 | 0.01 | −0.87 | 1.04 | 0.13 |
| M1 | 75 | 25 | NS75+SSA25 | 687 | 0.004 | 0.472 | 0.261 | 0.191 |
| M2 | 50 | 50 | NS50+SSA50 | 931 | 0.01 | −0.30 | 0.77 | 0.11 |
| M3 | 25 | 75 | NS25+SSA75 | 920 | 0.01 | −1.23 | 1.14 | 0.15 |
| Soil–gravel | - | - | - | 433 | 0.24 | −0.34 | 1.37 | 0.04 |
| Subgrade | - | - | - | 100 | 0.244 | 0.419 | 1.309 | 0.069 |
| Structure | Number of Accumulated ESALs | Rut Depth (mm) | |||
|---|---|---|---|---|---|
| Base | Subbase | Subgrade | Total | ||
| #1 | 1 × 106 | 1.07 | 0.49 | 1.33 | 2.89 |
| 1 × 107 | 1.35 | 0.36 | 0.61 | 2.32 | |
| #2 | 1 × 106 | 1.05 | 0.49 | 1.34 | 2.88 |
| 1 × 107 | 1.37 | 0.37 | 0.64 | 2.38 | |
| #3 | 1 × 106 | 1.09 | 0.16 | 1.23 | 2.48 |
| 1 × 107 | 1.40 | 0.12 | 0.6 | 2.12 | |
| #4 | 1 × 106 | 1.07 | 0.16 | 1.24 | 2.47 |
| 1 × 107 | 1.43 | 0.13 | 0.63 | 2.19 | |
| #5 | 1 × 106 | 2.63 | 0.55 | 1.64 | 4.82 |
| 1 × 107 | 0.84 | 0.39 | 0.67 | 1.90 | |
| #6 | 1 × 106 | 0.19 | 0.51 | 1.41 | 2.11 |
| 1 × 107 | 0.15 | 0.37 | 0.63 | 1.15 | |
| #7 | 1 × 106 | 1.06 | 0.06 | 1.32 | 2.44 |
| 1 × 107 | 1.36 | 0.07 | 0.6 | 2.03 | |
| #8 | 1 × 106 | 0.19 | 0.06 | 1.40 | 1.65 |
| 1 × 107 | 0.15 | 0.07 | 0.62 | 0.84 | |
Disclaimer/Publisher’s Note: The statements, opinions and data contained in all publications are solely those of the individual author(s) and contributor(s) and not of MDPI and/or the editor(s). MDPI and/or the editor(s) disclaim responsibility for any injury to people or property resulting from any ideas, methods, instructions or products referred to in the content. |
© 2025 by the authors. Licensee MDPI, Basel, Switzerland. This article is an open access article distributed under the terms and conditions of the Creative Commons Attribution (CC BY) license (https://creativecommons.org/licenses/by/4.0/).
Share and Cite
Costa, L.; Bessa, I.; Bastos, J.; Vale, A.; Farias, T. Predictive Performance Evaluation of an Eco-Friendly Pavement Using Baosteel’s Slag Short Flow (BSSF) Steel Slag. Appl. Mech. 2025, 6, 45. https://doi.org/10.3390/applmech6020045
Costa L, Bessa I, Bastos J, Vale A, Farias T. Predictive Performance Evaluation of an Eco-Friendly Pavement Using Baosteel’s Slag Short Flow (BSSF) Steel Slag. Applied Mechanics. 2025; 6(2):45. https://doi.org/10.3390/applmech6020045
Chicago/Turabian StyleCosta, Livia, Iuri Bessa, Juceline Bastos, Aline Vale, and Teresa Farias. 2025. "Predictive Performance Evaluation of an Eco-Friendly Pavement Using Baosteel’s Slag Short Flow (BSSF) Steel Slag" Applied Mechanics 6, no. 2: 45. https://doi.org/10.3390/applmech6020045
APA StyleCosta, L., Bessa, I., Bastos, J., Vale, A., & Farias, T. (2025). Predictive Performance Evaluation of an Eco-Friendly Pavement Using Baosteel’s Slag Short Flow (BSSF) Steel Slag. Applied Mechanics, 6(2), 45. https://doi.org/10.3390/applmech6020045

