Abstract
This research seeks to solve the multi-faceted problem of waste disposal by analysing the application of waste plastic and tyre material within non-structural concrete to ensure more sustainability and less environmental degradation. The study focusses on material properties, including specific gravity, water absorption, and bulk density and characteristics of the concrete that is produced by the utilization of the above waste aggregates, including workability, compressive strength, flexural strength, and tensile strength. This paper employs results from published past research from the literature and MATLAB (R2021b) in the analysis of the findings, pointing to the fact that the mechanical properties reduce with the level of waste content yet emphasizing the green aspect of such materials. Thus, a complex and diverse effect is demonstrated by the life cycle assessments (LCA) for global warming, ozone depletion, terrestrial ecotoxicity, and acidification. Furthermore, the utilization of waste materials decreases the compressive, flexural, and tensile strength, but it provides distinct ecological benefits which prove the importance of proper mix proportions for concrete performance. The outcomes of this research will be useful for further investigation in the application of the concept as well as to call for the development of new ideas for the improvement of bonding of wastes to aggregates in concrete.
1. Introduction
The increase in the volume of waste plastics and in the pressure, they exert on the environment have become vital world issues. Present research has identified that in the current world, the generation of plastic waste is about 353 million tonnes per year, with only 9% being recycled and the remaining 91% forming pollution and landfill [1]. This is a critical matter which requires significant attention and further definite actions in order to reduce its impact. At the same time, the use of electronic devices has also contributed to the generation of this waste through their disposal, and it is estimated that electronic waste ranges between 20 and 50 million tonnes globally [2]. Indeed, this poses a double burden, which highlights the importance of efficient methods of waste management for plastics as well as electronics.
Tyre waste is among the major forms of waste that have a negative impact on the immediate environment. In Australia, about 459,000 tonnes of used tyres are disposed of every year, and these come with potentially dangerous hazards like pollution, fire outbreak, and harm to the environment [3,4]. Therefore, the question of how to deal with this rising waste stream efficiently is critical to bestowing environmental sustainability to the future. One such approach includes using scraps and waste like used tyres in construction applications, especially in making concrete.
Recent works have also focused on the viability of incorporating waste tyres in concrete in a bid to recycle waste and enhance material properties. Use of tyre rubber in concrete has been found to have its advantages and disadvantages. Although it can enhance some characteristics such as earthquake performance and sound insulation, it commonly decreases compressive and tensile strength [5]. This fine line between the material makes up and the intended application requires specific investigations to enhance the use of waste materials in concrete production.
The use of waste materials in non-structural concrete offers a complex solution to both environmental and economic issues. To make concrete, natural aggregates can be replaced with waste plastic and tyres since it has environmental benefits and may help limit various costs [6]. However, this approach is not without its disadvantages. Several research have established a progressive reduction of the compressive strength of concrete with the incorporation of waste materials [7]. The size distribution of the waste materials and the incorporation of superplasticizers are other factors that influence concrete characteristics [8,9].
However, the use of waste plastic and tyre rubber in concrete still holds great potential with regards to solving waste issues and environmental problems. Cement and concrete chemists ensure optimal combination of concrete mixtures that can result in lesser strength and at the same time can gain environmental advantage [5].
The goals of this research are broad and encompassing in their approach. These include establishing the physical characteristics of waste plastic and tyre aggregates; assessing the usability of concrete mixtures containing waste plastic and tyre aggregates as reinforcements; and determining the concrete’s compressive strength, tensile strength, and flexural strength. Additionally, the research seeks to assess changes in life cycle assessments (LCA) parameters with varying waste content percentages and recommend appropriate proportionality for non-structural concrete blends. The relevance of this research is highlighted based on optimum use of waste material like plastic and tyre rubber aggregates in building construction. Through examination of the material properties of these waste aggregates and their effect on the workability and strength of concrete, the study aims to improve the efficiency and sustainability of non-structural concrete. Furthermore, the lifecycle assessment shall reveal the environmental concerns which will be useful in the development of green concrete.
The use of waste materials, especially tyre and plastic waste in non-structural concrete, has attracted a lot of interest in the recent past. Due to their characteristics, these waste materials can be used as a substitute for conventional aggregates in concrete mainly for non-structural uses such as pavements, sidewalks, and landscaping. Measurements of the performance mechanisms of non-structural concrete with tyre and plastic waste need to be taken in order to determine its feasibility and sustainability.
Knowledge of the physical characteristics of waste materials is essential to their ability to be used in concrete. For instance, plastic waste has been researched widely as a concrete aggregate material. Some of the studies have suggested that plastic waste can improve the performance of concrete in terms of strength, durability and workability [10]. However, there are limitations like low specific gravity of plastic compared to mineral aggregates and influence of particle size on the bond between particles and concrete matrix [11]. The other factor that arises from the study is the chemical type of plastic waste which influences its compatibility with cement and other materials [12].
Tyre waste, which varies in its rubber content and particle size, also has its own prospects and difficulties. Some of the benefits that have been realized from rubberized concrete are better workability and abrasion resistance. However, rubber always decreases compressive and flexural strengths [13]. Some of the surface treatments include washing of the rubber surface with sodium hydroxide solutions, which improves the interaction between the rubber surface and the cement [14,15].
The disposal and management of solid waste, for instance used tyres continues to be a challenge. Tyres have risk factors—for example, the ability to hold water—leading to mosquito breeding, and emit pollutants when burnt [16,17]. According to Mohammed et al. [18] billions of tyres are dumped worldwide annually raising concerns on environmental pollution and appropriate disposal. The above disadvantages could however be offset if tyre waste was well incorporated into concrete to produce useful construction materials.
Non-structural concrete, which is used in walkway, driveway, and ornamental work, can provide an opportunity to dispose of waste materials. Non-structural concrete is a generic word for all the concrete products that do not carry loads, but play substantial role in performance, functionality or aesthetics, or protective parts of the construction. While the weight-bearing capacity of non-structural elements is low, their functional importance is high since they contribute to the increase of infrastructure’s life span, safety levels and aesthetic standards. These should have traits such as a high level of versatility and ease of placing. As for this type of concrete, the functionality, durability, and aesthetics should be in harmony. The use of recycled aggregates and supplementary cementitious and waste materials in non-structural concrete has numerous ecological advantages, including sustainable construction and environmental protection [19]. Studies on the performance mechanisms of non-structural concrete with plastic and tyre waste are directed towards improving ecological efficiencies and minimizing pollution levels across the globe. It is therefore important to appreciate how these waste materials affect concrete characteristics like workability, durability, and strength. Literature has established that incorporation of plastics and tyres decreases the strength of compression while use of tyre debris affects workability and durability [20,21]. However, successfully integrating these systems requires knowledge of the ideal mixture compositions as well as the processes governing their interaction.
The key focus of this study is to design concrete mixtures that use waste plastic and tyres in their production while considering the mechanical properties and environmental impact. The focus of this work is to present guidelines for the use of these waste materials in non-structural concrete through the assessment of the material properties, workability and strength of the various concrete mixtures. This research is significant in expanding the knowledge of the use of waste materials in concrete production with the intention of improving the environmental status of the construction industry.
2. Proposed Approach
The research is focused on integrating plastic and tyre waste materials into non-structural concrete. It is emphasis on the rising concerns relating to environmental issues and the need for environmentally efficient construction techniques. The tendency of this research work is to provide a detailed assessment of the properties and performance behaviour of waste materials in concrete. This investigative approach entails the collection of data, performance of different tests and the use of the MATLAB software (R2021b) in the evaluation of the data gathered. There is list of properties are assesses including specific gravity, bulk density, water absorption, compressive strength, tensile strength, and flexural strength tests.
This emphasis is on the sustainability and feasibility of using waste substances specially for the purpose of constructing non-structural and non-structural concrete elements.
2.1. Evaluation of Material Characteristics
One of the components of this work involves evaluating physical characteristics of waste plastics and tyre materials that will be used in the non-structural concrete. During the study, coarse aggregate replacement with plastic and tyre was considered and their percentage replacement was taken into account. The key properties include the specific gravity, water absorption, and bulk density. These properties are important for non-structural concrete as they influence the mix’s weight, durability, and workability. Non-structural concrete should have a specific gravity around 2.4–2.7, water absorption below 5%, and a bulk density of at least 1800 kg/m3 to ensure it is durable and sufficiently robust for its intended use.
- Specific gravity indicates density of waste material that was specified and tested. The nature of these waste materials and concrete aggregates should also be found out in order to categorize them [22].
- The measurement of water absorption is used equally in the assessment of the durability of concrete. Water absorbing material can detach the particles of concrete and results in its weak structure [23].
- Knowledge of waste aggregate mass and volume as well as other factors like bulk density is important [24].
2.2. Evaluation of Performance Mechanisms
This work seeks to investigate the effectiveness of the performance mechanisms of waste plastic and tyre materials in non-structural concrete. These mechanisms shall be checked for workability, compressive strengths, flexural strength and tensile strength. These characteristics are vital for non-structural concrete to ensure ease of placement, durability, and resistance to cracking. For non-structural applications, workability should allow easy handling, compressive strength typically ranges from 10–20 MPa, flexural strength around 2–4 MPa, and tensile strength should be sufficient to prevent cracks, often around 1–2 MPa. These experiments vary the quantities of waste material (as shown in Table 1) used in the mix to determine the impact of waste material exchange on accomplishment. American Society for Testing and Materials (ASTM) testing standards were used for concrete.
Table 1.
Aggregate replacement percentages of performance characteristics.
- The slump test indicates the compactness and the appropriate application of concrete. Various proportions of waste material are introduced to find out the impact on concrete handling and shaping [25].
- The effectiveness of concrete can solely be measured by its compressive strength. The performance measure of the research is the compressive strength of concrete mixture at 28 days. This considers the impact of varying replacement percentages of waste material. This is important in determining the concrete mechanical strength [25]. Compressive strength was determined according to ASTM C39 (2016) on 150 × 300 mm cylinders.
- Tensile strength measures the concrete’s ability to resist direct pulling forces, while flexural strength assesses its ability to withstand bending or flexural stress. Flexural strength is typically higher than direct tensile strength due to the way forces are distributed in bending.
- Flexural strength is important for concrete under twisting or tension loads. Measuring the flexural strength of concrete at 28 days with different waste material replacements enables an assessment of its performance and endurance [26]. This was determined using a prism of 150 × 150 × 500 mm by a 3-points test setup.
- Non-structural concrete uses require tensile resilience. Therefore, the study looks at the impact of waste material substitution on the tensile strength of the concrete at 28 days, in terms of tension load [27]. Tensile strength was determined by a split cylinder test.
The maximum waste percentage in the concrete mix was chosen as 30% for the study.
2.3. Types of Concrete Grades Employed
In this study, as affected by the type of data available concrete grades have been utilized in the following manner for each waste aggregate replacement.
- Grade 20 concrete for plastic waste.
- Grade 30 concrete for tyre waste, which is generally suitable for many structural applications.
In this study, utilizing concrete grades in a structured manner is essential due to the type of waste aggregate replacement employed. Grade 20 concrete was designated for plastic waste and Grade 30 concrete for tyre waste, reflecting the differences in material properties and structural demands. The data, sourced from secondary research articles, revealed that each concrete mix required unique water-cement ratios to achieve the specified grades. This tailored approach ensures that the resulting concrete meets the necessary performance criteria, accounting for the variability in waste material characteristics. Consequently, concrete grades were meticulously considered to ensure the integrity and reliability of the mixes, demonstrating a robust methodology in mix design.
2.4. Life Cycle Assessment Data Evaluation
For this data evaluation, secondary data of life cycle assessment that have been underpinned by ISO 14040 were chosen [28]. For this data evaluation data of tyre and plastic percentages of 0%–30% mixes’ life cycle assessment data were gathered individually and during the data collected the following impact categories were of major concern.
- Global warming (kg CO2 eq).
- Ozone layer depletion (kg CFC (chlorofluorocarbon)-11 eq).
- Terrestrial ecotoxicity (kg 1,4-DB (dichlorobenzene) eq).
- Acidification (kg SO2 eq).
2.5. Data Collection Method
During this investigation, only the secondary academic articles published during the last fifteen years are examined. Academic articles were selected based on their inclusion in reputable databases like Scopus, with priority given to journals within the top 25–50% percentiles (Q1 and Q2) for quality. Additionally, peer review status, citation impact, and relevance to the topic were considered. Applying this approach ensures that the investigation will incorporate the latest and correct field data available. Investigation and empirical data are important for coming up with conclusions during the investigation.
Since the analysis is done using MATLAB software, it is required that the collected data should have inputs and outputs. The inputs include data obtained from the fluctuating proportion of waste aggregate mix ranging from 0 to 30%. The output data collected for the mix percentages mentioned above include the following characteristics: Compressive strength, tensile strength, flexural strength and workability.
2.6. Data Analysis
Six articles were considered for parameter investigation. The collected data are analysed using MATLAB for visualization and correlation analysis. This application is selected because it has the capability to process and analyse various large datasets. The goal is to gain an understanding of the relations and dependencies between the information and create a basis for making judgmental and informative recommendations.
The study approach used to assess the efficiency of non-structural concrete with waste materials is particularly methodical and expansive. The first objective is to evaluate characteristics of waste materials and their effects on performance mechanisms. This is achieved via a series of experiments that assess the effects of waste materials at various replacement levels. The MATLAB application for data evaluation guarantees that the outcomes are well analysed, and correlations from the dataset are well extracted.
This approach can ensure that the study findings are anchored on a solid foundation of existing knowledge, given that data is sourced from relevant and recent secondary research articles. This research helps in enriching understanding on the use of waste material in non-structural concrete including plastic and tyre waste. This integration has the potential to propagate sustainability and environmentally friendly ways of construction.
Figure 1 shows the research methodological process.
Figure 1.
(a) Plastic aggregate and (b) tyre aggregate.
3. Results and Discussion
3.1. Material Properties of Plastic
3.1.1. Specific Gravity
Two previous studies were considered for specific gravity. The specific gravity of the plastic waste has fluctuations in terms of specific gravity values which has been calculated as shown in Figure 2. On this basis, the mean specific gravity has been calculated to be equal to 1.02, the least being 0.8, and the highest being 1.38. The variation in the specific gravity shows that waste materials in different articles have variable densities. The articles indicate that plastic waste is used in various forms such as in other particle sizes and forms of plastic. The equation y = −0.0003x + 1.0262 represents the relationship between percentage of plastic aggregate (x) and the specific gravity of plastic (y).
Figure 2.
Specific gravity variation of plastic.
3.1.2. Water Absorption
Two studies were considered for water absorption. The research revealed that waste-containing plastic samples were able to absorb 0.18 water, with variations in the degree of 0 to 0.8, as shown in Figure 3. This is due to the poor water absorption characteristic of plastic waste, which enhances the rigidity of concrete. Particle shapes and types of plastics cause water absorption rates to be dissimilar with waste materials. These differences are important to recognize when choosing or combining waste products that will be used to create a concrete mixture [28,29,30,31]. The equation y = 0.00421x − 0.1081 represents the relationship between percentage of plastic aggregate (x) and water absorption of plastic (y).
Figure 3.
Water absorption variation of plastic.
3.1.3. Bulk Density
Here too, two previous studies were considered. The average bulk density of waste plastics is 554.6 kg/m3; it varies between 220 and 855 kg/m3, as shown in Figure 4. This is because of the fact that material varies in bulk density because of the plastic waste material particle size. The range observed is caused by various research studies employing different sizes of plastic wastes. Thus, bulk density is an essential factor in determining the concrete properties that influence its mix design. Effective bulk density is another significant characteristic of concrete, as it depends on its performance and durability [29,30].
Figure 4.
Bulk density variation of plastic.
3.2. Material Properties of Tyre
3.2.1. Specific Gravity
The specific gravity of tyre waste has a mean value of about 1.06, ranging from 0.43 to 1.44, as shown in Figure 5. This variation of specific gravity of tyre waste can be attributed to variation of particle sizes of tyre waste used in concrete mixes by research studies. These differences can be attributed to the various tyre types and the method used in their processing. To concrete performance, specific gravity plays a very vital role. A higher specific gravity represents the particle density; in general, this has an impact on concrete strength and durability [31,32]. The equation y = 0.0024x + 1.035 represents the relationship between the percentage of tyre aggregate (x) and the specific gravity of tyres (y).
Figure 5.
Specific gravity variation of tyre.
3.2.2. Water Absorption
The average water absorption by tyre waste is 2.05, ranging from 0.3 to 5.57, as shown in Figure 6. Because of the differences in the types of tyre waste and the particle size used in the investigations, water absorption values differ. Absorption of water depends on the composition of waste tyres and their processing. Changes in water absorption impact the durability of concrete and its resistance to environmental factors, as shown in Figure 8. This parameter is critical to manage and maintain for proper performance and durability of concrete containing tyre waste [33].
Figure 6.
Water absorption variation of tyre.
3.2.3. Bulk Density
The average bulk density for tyre waste is 730.95 kg/m3, with the values varying between 440 and 1440 kg/m3, as shown in Figure 7. This variation is because of various research studies employing various particle sizes and composition of tyre waste. Particle size distribution of larger tyre waste with lower bulk density value and smaller tyres with increased bulk density values influence concretes characteristics. While using tyre waste in enhancing the performance and properties of concrete that meet non-structural application and sustainability standards, bulk density becomes a critical factor to understand and manage [34,35].
Figure 7.
Bulk density variation of tyre.
3.3. Performance Characteristics
3.3.1. Slump of Concrete Mixture with Plastic
The slump values of plastic integrated concrete vary from 30 mm to 155 mm depending on the percentage of plastic aggregates. Data collections were employed to establish whether it was possible to replace 0% to 20% of plastic. Figure 8. shows that there is no direct relationship between the fluctuation in slump and the fluctuation in plastic percentage. This is due to the fact that different research articles used different grade 20 mix designs in formulating their concrete mix. This graph indicates the relationship between workability and the amount of plastic content. Higher plastic content generally decreases workability, resulting in a lower slump value, which is crucial for understanding the balance between ease of placement and material properties. Concrete can be more or less workable depending on various mix design characteristics—for instance, water content, cement content, and water-cement ratios. Therefore, these observations are supported by that evidence [36,37].
Figure 8.
Slump variation plastic integrated concrete.
3.3.2. Compressive Strength Variation of Concrete Mixture with Plastic
The compressive strength data were collected for plastic percentages between 0% to 30% in grade 20 concrete, as shown in Table 2 and Figure 9. The graph given in the paper presents the fluctuation of the compressive strength numbers over the plastic percentage. With the increase in the percentage of plastic, the 28-day compressive strength of grade 20 concrete reduces from 29. 14 MPa for 0% plastic to 1329 MPa for 30% plastic. These outcomes suggest that the plastic aggregate provides inadequate firmness to the load-bearing surface and is likely to fail under higher bearing loads [34]. Therefore, there is a need to increase the proportion of plastic aggregate in concrete mixes through improving its bonding characteristics. However, given available data, it is not right to infer that a maximum of 10% of plastic can only take the design load of concrete [38].
Table 2.
Average of 28 days of compressive strength variation with the plastic percentage.
Figure 9.
Compressive strength variation for each plastic percentage addition for concrete.
3.3.3. Flexural Strength Variation of Concrete Mixture with Plastic
Investigations on the flexural strength trends show that there is a significant reduction in the strength of plastic integrated concrete as the proportion of the plastic concrete rises, as shown in Table 3 and Figure 10. The average flexural strength of the control mix (no plastic) is measured to be 5.89 MPa. However, this value reduces to 2.95 MPa, as the amount of plastic content is increased to 30%. These observations further support the previously made statement on the low bonding capacity of plastic aggregates [39].
Table 3.
Average of 28 days of flexural strength variation with the plastic percentage, G20 Concrete Average Flexural Strength.
Figure 10.
Flexural strength variation for each plastic percentage addition for concrete.
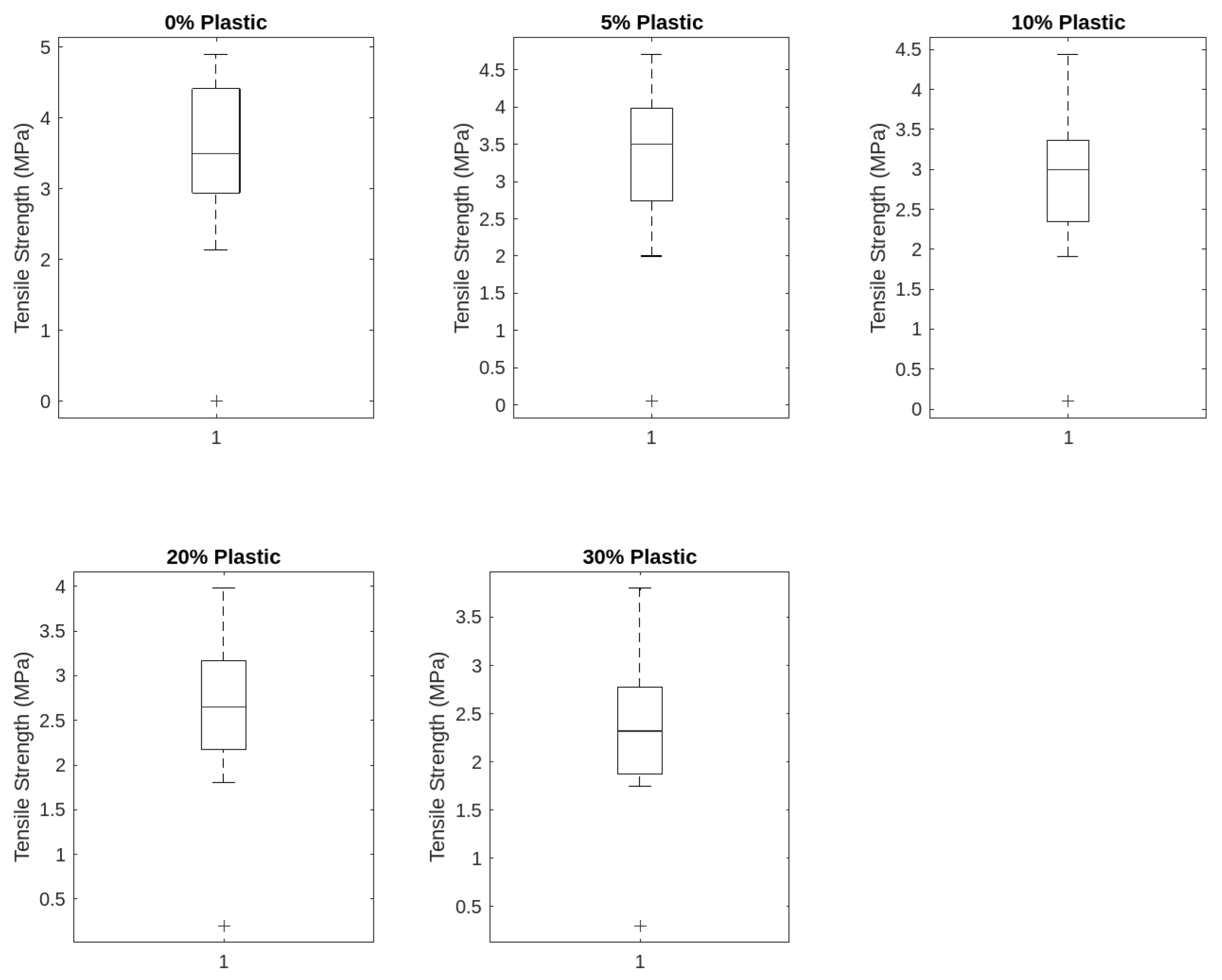
3.3.4. Tensile Strength Variation of Concrete Mixture with Plastic
A high percentage of integrated plastic leads to reduced tensile strength of the plastic-integrated concrete. The mean tensile strength of the plastic mixture with no plastic content is 3.72 MPa, and then it lowers to 2.52 MPa when the content of the plastic is raised to 30%, as shown in Table 4 and Figure 11. The increment of plastic aggregate content reduces the tensile properties of concrete [36].
Table 4.
Average of 28 days of flexural strength variation with the plastic percentage, G20 Concrete Average Tensile Strength.
Figure 11.
Tensile strength variation for each plastic percentage addition for concrete.
3.3.5. Slump Variation of Concrete Mixture with Tyre
The incorporation of tyre waste in concrete has been observed to lead to a reduction in the slump value of the concrete with the increase in tyre content, as shown and Figure 12. This pointed to the fact that as the proportion of tyre aggregates rose, the workability of the concrete reduced. This could be attributed to water absorption and the low-rigidity nature of tyre aggregate. Therefore, improving the properties of the tyre material would increase the controllability of concrete [40].
Figure 12.
Slump variation tyre integrated concrete.
3.3.6. Compressive Strength Variation of Concrete Mixture with Tyre
An increase in tyre content results in a reduction of the compressive strength of the block. Currently the strength has been reduced from 40.36 MPa for a plastic mix with 0% plastic content to 21.66 MPa when the plastic content is increased to 30%, as shown in Table 5 and Figure 13 The tyre aggregate is made of rubber, and it has low stiffness parameters. Consequently, these reductions in strength are observed [41].
Table 5.
Average of 28 days of compressive strength variation with the tyre percentage on G30 concrete.
Figure 13.
Compressive strength variation for each tyre percentage addition for concrete.
3.3.7. Flexural Strength Variation of Concrete Mixture with Tyre
It was also observed that the flexural strength of tyre integrated concrete decreases with increase in tyre content. The mean flexural strength of the controlled mixture (containing 0% tyre) is noted as 6.72 MPa, as shown in Table 6 and Figure 14. However, the above value comes down to 4.18 MPa when the tyre content is increased to 30%. Such observations also support the low stiffness characteristics of tyre aggregates [40,42].
Table 6.
Average of 28 days of flexural strength variation with the tyre percentage on G30 concrete.
Figure 14.
Flexural strength variation for each tyre percentage addition for concrete.
3.3.8. Tensile Strength Variation of Concrete Mixture with Tyre
It was observed that the tensile strength of tyre-integrated concrete reduces as the proportion of tyre content increases. The mean tensile strength of the plastic-free mixture is stated to be 3.26 MPa. However, the value reduces to 2.27 MPa when the tyre content is increased to 30%, as shown in Table 7 and Figure 15. This demonstrates the tensile strength reduction with the addition of tire content to the concrete mixes [40].
Table 7.
Average of 28 days of tensile strength variation with the tyre percentage on G30 concrete.
Figure 15.
Tensile strength variation for each tyre percentage addition for concrete.
3.4. Data Correlation Analysis of Plastic
Slump: The correlation coefficient value resulted in 0.0274 indicates a low positive correlation between percentage of plastic substitution and slump, as shown in Table 8. The above fact reveals that there is a very slight increase in the slump value of the concrete mixture as the percentage of plastic is increased. This may have been implying that the higher the plastic content could improve slightly the of the mix [36].
Table 8.
Pearson correlation coefficient values for the plastic.
Compressive strength: The value of the correlation coefficient of -0.6850 indicates that the higher the usage of plastic, the lower the strength of concrete. This tells us that as the proportion of plastic is increased in the concrete mixture the compressive strength is significantly reduced. The incorporation of plastic in the structure could reduce the load bearing capacity of the concrete in compression, probably due to inherent properties of the plastic material, which is not as rigid as traditional coarse aggregates [29,43].
Flexural Strength: Moreover, the linear correlation coefficient is 0.4408, increase in plastic percentage level has a moderate negative relationship with the flexural strength. This mean that the higher the plastic, the lower the flexural strength would be. Plastic particles lead to the deterioration of bending resistance of a concrete element with an impact on its ability to bear loads [39].
Tensile strength: Let the value be −0.5020 as Table 8 illustrates that there is moderate negative relationship between the amount of addition of plastic and tensile strength as the volume of plastic increase in the concrete mix the tensile strength decrease relative to the increase in the volume of added plastic. The recession of the plastic may cause defects on the concrete and thus it may make the concrete more susceptible of the tensile force and cracking [36].
3.5. Pearson Correlation Analysis of Tyre
The data correlation analyses of tyre properties are shown in Table 9.
Table 9.
Pearson correlation coefficient values for the tyre.
Slump: The significance of the correlation coefficient is −0.0532 showed a very minimum negative correlation between the percentage of tyre rubber content with the slump. This means that with the higher level of tyre rubber in the concrete mix the slump will be slightly low. However, this relation is not very close, and the conclusion can be drawn that the concrete’s workability decreased to some extent with the increase in the rubber content [40].
Compressive strength: Pearson correlation coefficient of −0.6955 is a strong negative relationship between the amount of tyre rubber added and the compressive strength. This shows that as the proportion of the tyre rubber in the mix increases there is a corresponding reduction in the compressive strength. The use of tyre rubber aggregates might lead to the deterioration of the concrete matrix and its ability to withstand compressive loads [40,41].
Flexural strength: With the correlation coefficient of −0.3555 (as shown in in Table 9), a moderate negative relationship between the addition of tyre percentage and the flexural strength was noticed. This means that as the content of tyre rubber rises, the flexural strength is slightly reduced. The coarse aggregates of tyre rubber may hamper the capacity of the concrete to bear the bending stresses that can affect the structural integrity [42].
Tensile strength: Consequently, the correlation coefficient is −0.4613, evidence that the relationship between tyre addition percentages and tensile strength is moderately negative. This indicates that as the percentage of tyre rubber in the concrete mix increases, the rate at which the tensile strength reduces is slower. They have the possibility of forming the weakest phase of the concrete matrix which is more sensitive to tensile stresses and might crack [40].
3.6. Life Cycle Assessment Impact Category Evaluation of Plastic Concrete Mixes
Table 10 and Figure 16 display the life cycle analysis, assessment and evaluyation of plastic concrete mxtures.
Table 10.
Life cycle assessment impact category evaluation of plastic concrete mixes.
Figure 16.
LCA impact category data with different plastic percentages.
Global Warming: Scientific data strongly indicates that the global warming potential varies sharply with different levels of plastic incorporation, defying a straightforward relationship. A striking example is the addition of 30% plastic, which significantly elevates global warming potential to 499.4 kg CO2. This substantial increase suggests that higher plastic content leads to disproportionately higher CO2 emissions, likely due to the energy-intensive processes involved in the management and recycling of plastics. These findings underscore the environmental costs of plastic recycling, particularly when high concentrations are involved, highlighting the need for careful consideration of plastic use and its broader ecological impact [44,45].
Ozone layer depletion: The impact of plastic waste on ozone layer depletion, measured in kg CFC-11 equivalents, remains consistently low across various percentages of plastic incorporation in concrete, ranging from 0.000000092 to 0.0000058. This data suggests that adding plastics to concrete does not significantly threaten the ozone layer, even with varying plastic content. The minimal variation in these values indicates that plastics, when embedded in concrete, contribute far less to ozone depletion compared to other environmental factors. This finding highlights the relatively low ozone-depleting potential of plastic-integrated concrete systems, suggesting that the environmental focus should be on other more impactful pollutants [46,47].
Terrestrial ecotoxicity: The impact of plastic addition on the ecotoxicity of terrestrial ecosystems, measured in kg 1,4-DB equivalents, reveals a nonuniform increase, with lower plastic fractions (0–10%) showing minimal ecotoxicity, while higher fractions (15–30%) result in significantly elevated levels. This non-linear relationship suggests that as plastic content increases, the harmful effects on terrestrial ecosystems intensify disproportionately. This rise in ecotoxicity is likely linked to the leaching of toxic components from plastic particles into the soil, although the exact mechanisms require further investigation. These findings underscore the urgent need to understand and mitigate the environmental risks associated with higher plastic content in materials, particularly in relation to soil health and ecosystem stability [48].
Acidification: The acidification potential of plastic-integrated concrete, measured in kg SO2, exhibits a wave-like pattern similar to that of the global warming potential curve. The lowest acidification potential occurs at plastic concentrations of 0–10%, while the highest is observed at 15–30%. This trend suggests that as the proportion of plastic in the mix increases, the likelihood of acid production also rises. This increase is likely due to the treatment and disposal processes associated with plastic waste, which can release acidic gases, thereby elevating the acidification potential of the concrete. These findings highlight the environmental risks of incorporating higher percentages of plastic into concrete, as it could contribute to soil and water acidification, posing long-term ecological challenges [44,49].
The anomaly in the ozone layer depletion graph can be justified by acknowledging potential experimental variations or interactions between different plastic types at specific concentrations, emphasizing the need for further investigation to verify these findings and suggest additional studies to explore the underlying mechanisms contributing to the observed non-linear trend.
3.7. Life Cycle Assessment Impact Category Evaluation of Tyre Concrete Mixes
Table 11 and Figure 17 display the life cycle analysis, assessment, and evaluation of tyre concrete mixtures.
Table 11.
Life cycle assessment impact category evaluation of tyre concrete.
Figure 17.
LCA impact category data with different tyre percentages.
Global warming: From the data, it is apparent that the global warming potential (kg CO2 eq) increases proportionately with the increased percentage of the tyre rubber added. The graph clearly indicates the increasing trend as the percentage of the additives (30% tyre rubber) increases to its maximum value of 532.75 kg CO2. This means that there is a direct proportion between the percentage of tyre rubber used and the global warming potential whereby a higher percentage of tyre rubber content releases more carbon dioxide equivalents. The processes used in tyre rubber waste management and recycling; could, in fact, be accountable for these emissions. Therefore, focusing on the environmental impacts should be an important aspect for the materials used in concrete mixes [50,51].
Ozone layer depletion: The variation in the effect on ozone layer depletion (kg CFC-11 eq) is insignificant when comparing the various tyre rubber percentages. The values are from 0.00000028 to 0.0000058, and this confirms that the blend of rubber into tyres does not affect the depletion of the ozone layer even if the percentage is raised. This implies that other aspects must have a greater influence on the degradation of the ozone layer than the quantity of rubber in concrete blends [48,50].
Acidification: Higher tyre rubber share corresponds to higher acidification potential (kg SO2 eq). From the tyre content increase, it can be deduced that the abundance of tyre rubber as a component is directly proportional to the extent of acidification potential and thus leading to enhanced acidification potential. The findings that indicate that rubbers in tires, and their waste management, and disposal processes release acidic gases, thus increasing the degree of acidification in concrete mixtures. It is possible that measures to minimize the impact of acidification along with the addition of tyre rubber may be required [49,51].
3.8. Optimal Percentage of Waste Material Identification for Non-Structural Concrete Mix Designs
Optimal percentage of plastic aggregate (10%) was selected for Grade 20 non-structural concrete. A 10% plastic replacement in G20 concrete offers limited sustainability benefits due to the low impact on reducing plastic waste and potential environmental trade-offs in concrete performance. Recycling plastic into containers or other products is likely a more practical and sustainable option, as it maximizes material reuse and supports a circular economy with fewer environmental concerns.
The mechanical properties of the concrete containing 10% of the plastic aggregate were investigated extensively. The results obtained for the former showed that the compressive strength was 22.34 MPa, which conforms to the Grade 20 standard, showing the ability of concrete to take axial force or pressure for confirmation of its suitability for non-structural applications [32,35]. The flexural strength was obtained at 4.30 MPa, which proves that the material effectively resists bending stresses and applies to structures with non-bearing purposes. Furthermore, the tensile strength was determined to be 3.15 MPa, which shows that concrete has minor tensile strength and does not cause the material to distort or break when under this pressure.
LCA also proved significant in defining the right mix design. Thus, the reduction of the concrete mix with 10% plastic aggregate was found to have a global warming potential of 84.6 kg CO2, showing that utilization of waste materials in concrete production has led to the improvement if the environmental bucket. The ozone layer depletion potential was established to be extremely low, equal to zero at 0.000000092 kg CFC-11, which proves that it has very little effect on the depletion of the ozone layer. The terrestrial ecotoxicity was expressed at 0.042 kg 1,4-DB, the mix does not represent a serious danger to the terrestrial environment. Finally, the acidification potential was estimated to be 0.112 kg SO2, putting the concrete mix in the middle of the range as far as the production of acid rain is concerned.
Optimal percentage of tyre aggregate (10%) was selected for Grade 30 non-structural concrete. A 10% tyre replacement in G30 concrete provides minimal sustainability benefits due to its limited impact on reducing overall waste and potential adverse effects on concrete’s mechanical properties. The use of recycled plastics for products like containers offers a more practical and sustainable solution, as it enhances material reuse and reduces environmental impact. Additionally, incorporating even small amounts of lower-quality materials, such as tyres, can degrade concrete’s structural integrity, shifting its application from structural to non-structural uses and diminishing its effectiveness in load-bearing applications.
The optimal percentage of tyre aggregate (10%) has been recommended for Grade 30 non-structural concrete that provides better mechanical property benefits and is also environmentally friendly [32,50,51]. The compressive strength of this concrete mix is affirmed at 30.17 MPa, and it is good against vertical loads and pressure; therefore, it is suitable for non-structural applications that do not need high strength.
Apart from compressive strength, the concrete with 10% tyre aggregate has a flexural strength of 5.64 MPa. This parameter is useful in establishing the concrete’s capacity to handle bending stresses thus suitable for use in pavements, footpath, and precast products. The mix also has a tensile strength of 2.62 MPa which should be enough to prevent deflection or rupture in non-structural applications where tension forces are involved.
In addition to mechanical characteristics, it is also important to consider the environmental effects of employing tyre aggregate in concrete. The concrete mix has a global warming potential of 409.76 kgCO2, less than the embodied CO2 of other conventional methods of producing concrete. This environmental advantage confirms the importance of using waste material in the attempt to minimize the impacts of carbon footprint in constructions.
The mix also indicates low ozone layer depletion potential at 0.00000046 kgCFC-11. This minimal effect on the depletion of the ozone layer contributes to the sustainability objectives of minimizing harm on the environment, and recycling wastes. Furthermore, the acidification potential of the concrete mix is determined to be 0.557 kgSO2, which is a relatively small value, contributing to the formation of acid rains. This also works in favour of environmental sustainability since the mix offers less harm to the environment than the normal concrete.
4. Conclusions
This study has demonstrated the viability of incorporating plastic and tire aggregates into concrete as a means of enhancing sustainability and addressing waste disposal challenges. The research analysed critical performance metrics, including specific gravity, water absorption, bulk density, slump, compressive strength, flexural strength, and tensile strength. The results indicate that the inclusion of these waste materials, particularly at optimal levels of 10% plastic in Grade 20 concrete and 10% tire aggregates in Grade 30 concrete, is feasible for non-structural applications.
However, it is important to note that the introduction of higher waste content generally leads to a reduction in concrete strength, highlighting the need for careful consideration of aggregate proportions based on the intended application. Additionally, the life cycle assessment (LCA) reveals that these modified concretes contribute to environmental benefits, including reductions in global warming potential, ozone depletion, terrestrial eco-toxicity, and acidification.
Ultimately, this study underscores the potential of using waste materials to create concrete that not only meets performance criteria but also aligns with environmental objectives. By optimizing the content of waste aggregates, it is possible to enhance resource efficiency, promote sustainable construction practices, and contribute to the broader goal of reducing the environmental footprint of concrete production. This approach offers a promising pathway for addressing the dual challenges of material sustainability and waste management in the construction industry.
Author Contributions
Project leader and supervision, N.S.M.; writing original draft, A.D.S.; data analysis, A.D.S.; review and editing, A.D.S. and N.S.M.; resources and validation A.D.S. and N.S.M.; funding, N.S.M. All authors have read and agreed to the published version of the manuscript.
Funding
This research received no external funding.
Institutional Review Board Statement
Not applicable.
Informed Consent Statement
Not applicable.
Data Availability Statement
Not applicable.
Acknowledgments
Guidance and support received from the School of Engineering, Edith Cowan University is highly acknowledged.
Conflicts of Interest
The authors declare no conflicts of interest.
References
- SGP; UNDP. Study on Plastic Waste in the Republic of Moldova STUDY on Management Waste from PLASTIC. 2023. Available online: https://www.undp.org/sites/g/files/zskgke326/files/2023-07/study_plastic_waste_in_moldova.pdf (accessed on 21 March 2024).
- Sabău, M.; Vargas, J.R. Use of e-plastic waste in concrete as a partial replacement of coarse mineral aggregate. Comput. Concr. 2018, 21, 377–384. [Google Scholar] [CrossRef]
- TSA. Australian Tyre Consumption and Recovery; Tyre Stewardship Australia: Springfield, VA, USA, 2022. [Google Scholar]
- Almohana, A.I.; Abdulwahid, M.Y.; Galobardes, I.; Mushtaq, J.; Almojil, S.F. Producing sustainable concrete with plastic waste: A review. Environ. Chall. 2022, 9, 100626. [Google Scholar] [CrossRef]
- Pacheco-Torgal, F.; Ding, Y.; Jalali, S. Properties and durability of concrete containing polymeric wastes (tyre rubber and polyethylene terephthalate bottles): An overview. Constr. Build. Mater. 2012, 30, 714–724. [Google Scholar] [CrossRef]
- Li, X.; Ling, T.-C.; Mo, K.H. Functions and impacts of plastic/rubber wastes as eco-friendly aggregate in concrete—A review. Constr. Build. Mater. 2019, 240, 117869. [Google Scholar] [CrossRef]
- Batayneh, M.; Marie, I.; Asi, I. Use of selected waste materials in concrete mixes. Waste Manag. 2006, 27, 1870–1876. [Google Scholar] [CrossRef] [PubMed]
- Kumar, K.S.; Baskar, K. Recycling of E-plastic waste as a construction material in developing countries. J. Mater. Cycles Waste Manag. 2014, 17, 718–724. [Google Scholar] [CrossRef]
- Cwirzen, A. Properties of SCC with industrial by-products as aggregates. Self-Compact. Concr. Mater. Prop. Appl. 2020, 1, 249–281. [Google Scholar] [CrossRef]
- Belmokaddem, M.; Mahi, A.; Senhadji, Y.; Pekmezci, B.Y. Mechanical and physical properties and morphology of concrete containing plastic waste as aggregate. Constr. Build. Mater. 2020, 257, 119559. [Google Scholar] [CrossRef]
- Al-Mansour, A.; Chen, S.; Xu, C.; Peng, Y.; Wang, J.; Ruan, S.; Zeng, Q. Sustainable cement mortar with recycled plastics enabled by the matrix-aggregate compatibility improvement. Constr. Build. Mater. 2022, 318, 125994. [Google Scholar] [CrossRef]
- Sadrmomtazi, A.; Dolati-Milehsara, S.; Lotfi-Omran, O.; Sadeghi-Nik, A. The combined effects of waste Polyethylene Terephthalate (PET) particles and pozzolanic materials on the properties of self-compacting concrete. J. Clean. Prod. 2016, 112, 2363–2373. [Google Scholar] [CrossRef]
- Gheni, A.A.; Alghazali, H.H.; ElGawady, M.A.; Myers, J.J.; Feys, D. Durability properties of cleaner cement mortar with by-products of tire recycling. J. Clean. Prod. 2019, 213, 1135–1146. [Google Scholar] [CrossRef]
- Tran, T.Q.; Thomas, B.S.; Zhang, W.; Ji, B.; Li, S.; Brand, A.S. A comprehensive review on treatment methods for end-of-life tire rubber used for rubberized cementitious materials. Constr. Build. Mater. 2022, 359, 129365. [Google Scholar] [CrossRef]
- Kumar, G.N. Using tyres wastes as aggregates in concrete to form rubcrete—Mix for engineering applications. Int. J. Res. Eng. Technol. 2014, 3, 500–509. [Google Scholar] [CrossRef]
- Eldin, N.N.; Senouci, A.B. Measurement and prediction of the strength of rubberized concrete. Cem. Concr. Compos. 1994, 16, 287–298. [Google Scholar] [CrossRef]
- Sofi, A. Effect of waste tyre rubber on mechanical and durability properties of concrete—A review. Ain Shams Eng. J. 2018, 9, 2691–2700. [Google Scholar] [CrossRef]
- Mohammed, B.S.; Hossain, K.M.A.; Swee, J.T.E.; Wong, G.; Abdullahi, M. Properties of crumb rubber hollow concrete block. J. Clean. Prod. 2012, 23, 57–67. [Google Scholar] [CrossRef]
- Alyousef, R.; Ahmad, W.; Ahmad, A.; Aslam, F.; Joyklad, P.; Alabduljabbar, H. Potential use of recycled plastic and rubber aggregate in cementitious materials for sustainable construction: A review. J. Clean. Prod. 2021, 329, 129736. [Google Scholar] [CrossRef]
- Bhogayata, A.C.; Arora, N.K. Fresh and strength properties of concrete reinforced with metalized plastic waste fibers. Constr. Build. Mater. 2017, 146, 455–463. [Google Scholar] [CrossRef]
- Karunarathna, S.; Linforth, S.; Kashani, A.; Liu, X.; Ngo, T. Effect of recycled rubber aggregate size on fracture and other mechanical properties of structural concrete. J. Clean. Prod. 2021, 314, 128230. [Google Scholar] [CrossRef]
- Nadesan, M.S.; Dinakar, P. Mix design and properties of fly ash waste lightweight aggregates in structural lightweight concrete. Case Stud. Constr. Mater. 2017, 7, 336–347. [Google Scholar] [CrossRef]
- Zhang, S.P.; Zong, L. Evaluation of Relationship between Water Absorption and Durability of Concrete Materials. Adv. Mater. Sci. Eng. 2014, 2014, 650373. [Google Scholar] [CrossRef]
- Horn, R. Aggregate characterization as compared to soil bulk properties. Soil Tillage Res. 1990, 17, 265–289. [Google Scholar] [CrossRef]
- Ismail, Z.Z.; Al-Hashmi, E.A. Use of waste plastic in concrete mixture as aggregate replacement. Waste Manag. 2007, 28, 2041–2047. [Google Scholar] [CrossRef]
- Shaikh, F.U.A.; Luhar, S.; Arel, H.; Luhar, I. Performance evaluation of Ultrahigh performance fibre reinforced concrete—A review. Constr. Build. Mater. 2019, 232, 117152. [Google Scholar] [CrossRef]
- Ahmad, J.; Martínez-García, R.; De-Prado-Gil, J.; Irshad, K.; El-Shorbagy, M.A.; Fediuk, R.; Vatin, N.I. Concrete with Partial Substitution of Waste Glass and Recycled Concrete Aggregate. Materials 2022, 15, 430. [Google Scholar] [CrossRef]
- Goh, P.G.; Maghfouri, M.; Onn, C.C.; Loo, S.C. Life cycle assessment on recycled e-waste concrete. Case Stud. Constr. Mater. 2022, 17, e01412. [Google Scholar] [CrossRef]
- Arnandha, Y.; Satyarno, I.; Awaludin, A.; Irawati, I.S.; Prasetya, Y.; Prayitno, D.A.; Winata, D.C.; Satrio, M.H.; Amalia, A. Physical and Mechanical Properties of WPC Board from Sengon Sawdust and Recycled HDPE Plastic. Procedia Eng. 2017, 171, 695–704. [Google Scholar] [CrossRef]
- Mashaan, N.S.; Chegenizadeh, A.; Nikraz, H. Evaluation of the Performance of Two Australian Waste-Plastic-Modified Hot Mix Asphalts. Recycling 2022, 7, 16. [Google Scholar] [CrossRef]
- Khaloo, A.R.; Dehestani, M.; Rahmatabadi, P. Mechanical properties of concrete containing a high volume of tire–rubber particles. Waste Manag. 2008, 28, 2472–2482. [Google Scholar] [CrossRef]
- Mashaan, N.S.; Ali, A.H.; Karim, M.R.; Abdelaziz, M. Effect of crumb rubber concentration on the physical and rheological properties of rubberised bitumen binders. Int. J. Phys. Sci. 2011, 6, 684–690. [Google Scholar]
- Mashaan, N.S.; Chegenizadeh, A.; Nikraz, H.; Rezagholilou, A. Investigating the engineering properties of asphalt binder modified with waste plastic polymer. Ain Shams Eng. J. 2021, 12, 1569–1574. [Google Scholar] [CrossRef]
- Etefa, G.; Mosisa, A. Waste Rubber Tires: A Partial Replacement for Coarse Aggregate in Concrete Floor Tile Production. Am. J. Civ. Eng. 2020, 8, 57. [Google Scholar] [CrossRef]
- Mashaan, N.S. An overview of crumb rubber modified asphalt. Int. J. Phys. Sci. 2012, 7, 166–170. [Google Scholar] [CrossRef]
- Arivalagan, S. Experimental Study on the Mechanical behaviour of Concrete by Partial Replacement of Waste Iron Powder as Fine Aggregate: A Green Concrete Approach. Int. J. Mod. Trends Sci. Technol. 2020, 6, 126–130. [Google Scholar] [CrossRef]
- Manjunath, B.A. Partial Replacement of E-plastic Waste as Coarse-Aggregate in Concrete. Procedia Environ. Sci. 2016, 35, 731–739. [Google Scholar] [CrossRef]
- Mashaan, N. Engineering Characterisation of Wearing Course Materials Modified with Waste Plastic. Recycling 2022, 7, 61. [Google Scholar] [CrossRef]
- Needhidasan, S.; Ramesh, B.; Prabu, S.J.R. Experimental study on use of E-waste plastics as coarse aggregate in concrete with manufactured sand. Mater. Today Proc. 2019, 22, 715–721. [Google Scholar] [CrossRef]
- Ganjian, E.; Khorami, M.; Maghsoudi, A.A. Scrap-tyre-rubber replacement for aggregate and filler in concrete. Constr. Build. Mater. 2009, 23, 1828–1836. [Google Scholar] [CrossRef]
- Aiello, M.; Leuzzi, F. Waste tyre rubberized concrete: Properties at fresh and hardened state. Waste Manag. 2010, 30, 1696–1704. [Google Scholar] [CrossRef]
- Bravo, M.; de Brito, J. Concrete made with used tyre aggregate: Durability-related performance. J. Clean. Prod. 2012, 25, 42–50. [Google Scholar] [CrossRef]
- Ahmad, F.; Jamal, A.; Mazher, K.M.; Umer, W.; Iqbal, M. Performance Evaluation of Plastic Concrete Modified with E-Waste Plastic as a Partial Replacement of Coarse Aggregate. Materials 2021, 15, 175. [Google Scholar] [CrossRef]
- Ersan, Y.C.; Gulcimen, S.; Imis, T.N.; Saygin, O.; Uzal, N. Life cycle assessment of lightweight concrete containing recycled plastics and fly ash. Eur. J. Environ. Civ. Eng. 2020, 26, 2722–2735. [Google Scholar] [CrossRef]
- Mashaan, N.; Chegenizadeh, A.; Nikraz, H. Laboratory Properties of Waste PET Plastic-Modified Asphalt Mixes. Recycling 2021, 6, 49. [Google Scholar] [CrossRef]
- Javadabadi, M.T. Comparative Life Cycle Assessment of Incorporating Recycled PET Aggregates into Concrete. Master’s Thesis, Norwegian University of Science and Technology, Trondheim, Norway, 2008. [Google Scholar]
- Neo, E.R.K.; Soo, G.C.Y.; Tan, D.Z.L.; Cady, K.; Tong, K.T.; Low, J.S.C. Life cycle assessment of plastic waste end-of-life for India and Indonesia. Resour. Conserv. Recycl. 2021, 174, 105774. [Google Scholar] [CrossRef]
- Shi, X.; Mukhopadhyay, A.; Zollinger, D.; Grasley, Z. Economic input-output life cycle assessment of concrete pavement containing recycled concrete aggregate. J. Clean. Prod. 2019, 225, 414–425. [Google Scholar] [CrossRef]
- Alzard, M.H.; El-Hassan, H.; El-Maaddawy, T. Environmental and Economic Life Cycle Assessment of Recycled Aggregates Concrete in the United Arab Emirates. Sustainability 2021, 13, 10348. [Google Scholar] [CrossRef]
- Medine, M.; Trouzine, H.; Barroso, J.; Djadouni, H. Life cycle assessment of concrete incorporating scrap tire rubber: Comparative study. Rev. Nat. Et Technol. 2020, 12, 2. [Google Scholar]
- Estanqueiro, B.; Dinis Silvestre, J.; De Brito, J.; Duarte Pinheiro, M. Environmental life cycle assessment of coarse natural and recycled aggregates for concrete. Eur. J. Environ. Civ. Eng. 2016, 22, 429–449. [Google Scholar] [CrossRef]
Disclaimer/Publisher’s Note: The statements, opinions and data contained in all publications are solely those of the individual author(s) and contributor(s) and not of MDPI and/or the editor(s). MDPI and/or the editor(s) disclaim responsibility for any injury to people or property resulting from any ideas, methods, instructions or products referred to in the content. |
© 2024 by the authors. Licensee MDPI, Basel, Switzerland. This article is an open access article distributed under the terms and conditions of the Creative Commons Attribution (CC BY) license (https://creativecommons.org/licenses/by/4.0/).
















