A Monotonic Smeared Truss Model to Predict the Envelope Shear Stress—Shear Strain Curve for Reinforced Concrete Panel Elements under Cyclic Shear
Abstract
1. Introduction
2. Efficient RA-STM Procedure
2.1. Equilibrium and Compatibility Equations
2.2. Smeared Constitutive Laws
2.2.1. Concrete
2.2.2. Steel Reinforcement
2.3. Efficient Solution Procedure
2.3.1. Equations for Proportional Loading
2.3.2. Residual Function for the Initial Estimates
2.3.3. Residual Functions for the Efficient RA-STM Procedure
2.3.4. Algorithm for the Efficient RA-STM Procedure
- Specify the initial data: , , , , , , , , , , , , , , , and . The meaning of the new parameters is: is the path’s increment for the principal compressive concrete strain (), and and are the conventional ultimate values for steel reinforcement in tension and concrete in compression, respectively. The first value for the principal compressive strain is defined as (with superscript representing the step number of the calculation procedure).
- Calculate: and from Hooke’s law ( and , respectively); the applied principal tensile stress from Equation (23); and the proportionality coefficients (, and ) from Equations (15) to (17).
- Solve (minimize) the residual function (Equations (28) and (29)) for the variable angle .
- Calculate the average strains (, , and ) from Equations (24) to (26). These values are defined to be the initial estimates (, and ) to compute the first solution point and start the efficient RA-STM procedure.
- Compute, for each step and each incremented strain , the primary variables and by solving (minimizing) the residual functions and (Equations (30) and (31)). For each step , the initial point is defined as the solution point from the previous one ().
- Calculate, for each step , the principal tensile strain from Equation (4), the principal tensile stress in concrete from Equation (10), the principal compressive stress in concrete from Equation (5), and the tensile stresses in the longitudinal () and transverse () steel reinforcements from Equation (11) and recalculate the applied principal tensile stress from Equation (22).
- If one of the failure criteria is reached (, or ), the calculation procedure ends; otherwise, repeat steps 5 and 6.
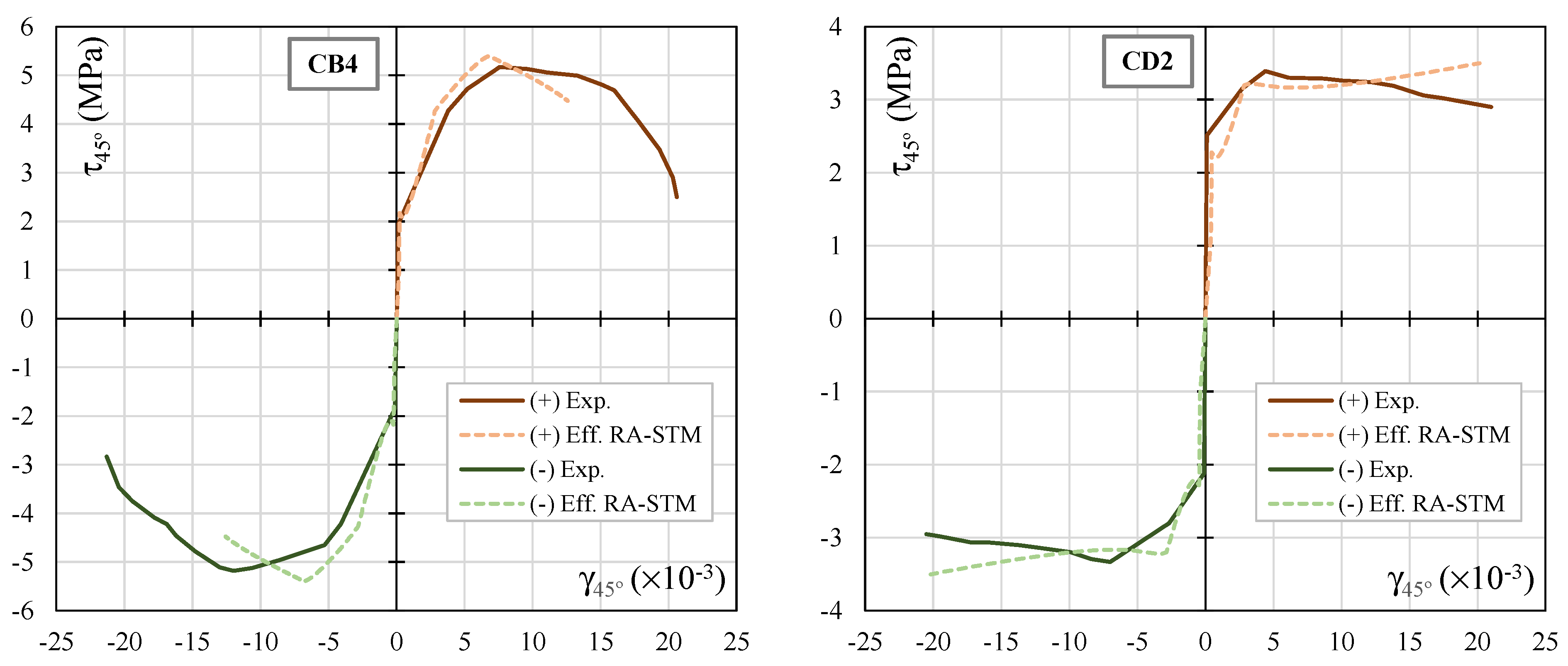
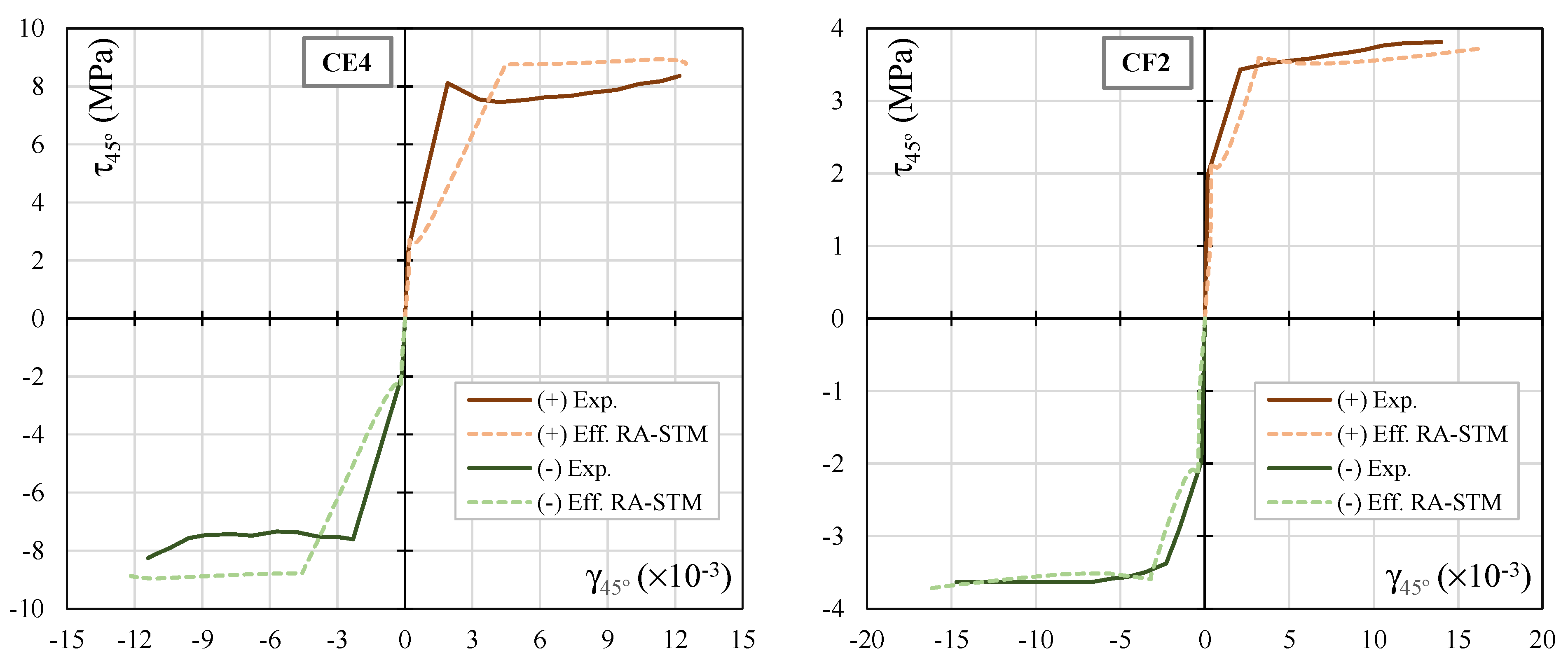
3. Comparative Analysis with Experimental Results
- For RC panels whose failure was imposed by the steel reinforcement in tension, it was observed that the incorporation of the damage coefficient had no noticeable effect on the theoretical envelope curves.
- For RC panels whose failure was imposed by the concrete in compression, the incorporation of the damage coefficient led to some convergence problems after the peak shear stress.
4. Conclusions
- In spite of being a monotonic model, previously proposed and checked for RC panels under monotonic shear, the efficient RA-STM procedure is able to predict with reasonably good agreement the shape of the experimental envelope curves of the studied RC panels under cyclic shear. This is true, at least, until the peak shear stress is reached. The obtained theoretical curves capture well the global experimental envelope response of the RC panels under cyclic shear, including the transition from the uncracked to the cracked stage.
- In particular, the monotonic efficient RA-STM procedure predicts reasonably well some key shear stresses that are important for the design—namely, the cracking shear stress, the yielding shear stress, and the peak shear stress of the RC panels under cyclic shear.
- For the shear strains corresponding to the studied key shear stresses, the monotonic efficient RA-STM procedure showed a higher difficulty in predicting well the experimental values (they tend to be underestimated by the model). However, this drawback can be considered less important, because such parameters are not very important for the design, at least for a first check analysis.
- As a consequence of the stated in the previous point, the monotonic model also showed a higher difficulty in predicting well the ductility of the RC panels under cyclic shear (it tends to be overestimated by the model). This drawback can be considered somewhat relevant, since ductility is a key parameter for the design—namely, for the structures located in seismic areas.
Author Contributions
Funding
Institutional Review Board Statement
Informed Consent Statement
Data Availability Statement
Conflicts of Interest
References
- Hsu, T.T.C.; Mo, Y.L. Unified Theory of Concrete Structures; John Wiley & Sons Ltd.: Chichester, UK, 2010; p. 500. [Google Scholar]
- Vecchio, F.; Collins, M.P. Stress-strain Characteristic of Reinforced Concrete in Pure Shear. IABSE Colloquium, Advanced Mechanics of Reinforced Concrete, Delft, Final Report; International Association of Bridge and Structural Engineering: Zurich, Switzerland, 1981; pp. 221–225. [Google Scholar]
- Vecchio, F.J.; Collins, M.P. Response of Reinforced Concrete to in Plane Shear and Normal Stresses; Report No.82-03; University of Toronto: Toronto, ON, Canada, 1982. [Google Scholar]
- Vecchio, F.J.; Collins, M.P. The modified Compression-Field Theory for Reinforced Concrete Elements Subjected to Shear. ACI J. 1986, 83, 219–231. [Google Scholar]
- Balakrishnan, S.; Murray, D.W. Prediction of R/C Panels and Deep Beam Behavior by NLFEA. J. Struct. Eng. 1988, 114, 2323–2342. [Google Scholar] [CrossRef]
- Crisfield, M.A.; Wills, J. Analysis of R/C Panels Using Different Concrete Models. J. Eng. Mech. 1989, 115, 578–597. [Google Scholar] [CrossRef]
- Kaufmann, W.; Marti, P. Structural Concrete: Cracked Membrane Model. J. Struct. Eng. 1998, 124, 1467–1475. [Google Scholar] [CrossRef]
- Vecchio, F.J. Disturbed Stress Field Model for Reinforced Concrete: Formulation. J. Struct. Eng. 2000, 126, 1070–1077. [Google Scholar] [CrossRef]
- Vecchio, F.J. Disturbed Stress Field Model for Reinforced Concrete: Implementation. J. Struct. Eng. 2001, 127, 12–20. [Google Scholar] [CrossRef]
- Belarbi, A.; Hsu, T.T.C. Constitutive Laws of Concrete in Tension and Reinforcing Bars Stiffened by Concrete. Struct. J. Am. Concr. Inst. 1994, 91, 465–474. [Google Scholar]
- Belarbi, A.; Hsu, T.T.C. Constitutive Laws of Softened Concrete in Biaxial Tension-Compression. Struct. J. Am. Concr. Inst. 1995, 92, 562–573. [Google Scholar]
- Pang, X.B.; Hsu, T.T.C. Behavior of Reinforced Concrete Membrane Elements in Shear. Struct. J. Am. Concr. Inst. 1995, 92, 665–679. [Google Scholar]
- Zhang, L.X.; Hsu, T.T.C. Behavior and Analysis of 100 MPa Concrete Membrane Elements. J. Struct. Eng. 1998, 124, 24–34. [Google Scholar] [CrossRef]
- Pang, X.B.; Hsu, T.T.C. Fixed-Angle softened truss model of reinforced concrete. Struct. J. Am. Concr. Inst. 1996, 93, 197–207. [Google Scholar]
- Hsu, T.T.C.; Zhang, L.X. Nonlinear Analysis of Membrane Elements by Fixed-Angle Softened-Truss Model. Struct. J. Am. Concr. Inst. 1997, 94, 483–492. [Google Scholar]
- Hsu, T.T.C.; Zhu, R.R.H. Softened Membrane Model for Reinforced Concrete Elements in Shear. Struct. J. Am. Concr. Inst. 2002, 99, 460–469. [Google Scholar]
- Zhu, R.H.; Hsu, T.T.C. Poisson Effect of Reinforced Concrete Membrane Elements. Struct. J. Am. Concr. Inst. 2002, 99, 631–640. [Google Scholar]
- Zhu, R.H.; Hsu, T.T.C.; Lee, J.Y. Rational Shear Modulus for Smeared Crack Analysis of Reinforced Concrete. Struct. J. Am. Concr. Inst. 2001, 98, 443–450. [Google Scholar]
- Belletti, B.; Cerioni, R.; Iori, I. Physical Approach for Reinforced-Concrete (PARC) Membrane Elements. J. Struct. Eng. 2001, 127, 1412–1426. [Google Scholar] [CrossRef]
- Stevens, N.J.; Uzumeri, S.M.; Collins, M.P. Reinforced Concrete Subjected to Reversed Cyclic Shear—Experiments and Constitutive Model. Aci Struct. J. 1991, 88, 135–145. [Google Scholar]
- Mansour, M.; Lee, J.Y.; Hsu, T.T.C. Cyclic stress-strain curves of concrete and steel bars in membrane elements. J. Struct. Eng. 2001, 127, 1402–1411. [Google Scholar] [CrossRef]
- Mansour, M. Behavior of Reinforced Concrete Membrane Elements under Cyclic Shear: Experiments to Theory. Ph.D. Thesis, University of Houston, Houston, TX, USA, 2001. [Google Scholar]
- Mansour, M.; Hsu, T.T.C. Behavior of reinforced concrete elements under cyclic shear. I: Experiments. J. Struct. Eng. 2005, 131, 44–53. [Google Scholar] [CrossRef]
- Mansour, M.; Hsu, T.T.C. Behavior of reinforced concrete elements under cyclic shear. II: Theoretical model. J. Struct. Eng. 2005, 131, 54–65. [Google Scholar] [CrossRef]
- Ohmori, N.; Takahashi, T.; Tsuboto, H.; Inoue, N.; Kurihara, K.; Watanabe, S. Experimental studies on nonlinear behavior of reinforced concrete panels subjected to cyclic in-plane shear. J. Struct. Constr. Eng. AIJ 1989, 403, 105–118. (In Japanese) [Google Scholar]
- Hsu, T.T.C.; Belarbi, A.; Pang, X.B. A universal panel tester. J. Test. Eval. 1995, 23, 41–49. [Google Scholar]
- Orakcal, K.; Massone, L.M.; Ulugtekin, D. A Hysteretic Constitutive Model for Reinforced Concrete Panel Elements. Int. J. Concr. Struct. Mater. 2019, 13, 51. [Google Scholar] [CrossRef]
- Greene, G.G.; Belarbi, A. Model for Reinforced Concrete Members under Torsion, Bending, and Shear. I: Theory. J. Eng. Mech. 2009, 135, 961–969. [Google Scholar] [CrossRef]
- Silva, J.; Horowitz, B.; Bernardo, L. Efficient Analysis of Beam Sections Using Softened Truss Model. Aci Struct. J. 2017, 114, 765–774. [Google Scholar] [CrossRef][Green Version]
- Wong, H.F.; Kuang, J.S. Predicting shear strength of RC interior beam-column joints by modified rotating-angle softened-truss model. Comput. Struct. 2014, 133, 12–17. [Google Scholar] [CrossRef]
- Bernardo, L.F.A.; Andrade, J.M.A.; Nunes, N.C.G. Generalized softened variable angle truss-model for reinforcement concrete beams under torsion. Mater. Struct. 2015, 48, 2169–2193. [Google Scholar] [CrossRef]
- Ji, T. A new algorithm for the rotating-angle, softened-truss model of reinforced concrete elements. Mag. Concr. Res. 2005, 57, 353–360. [Google Scholar] [CrossRef]
- Bernardo, L.F.A.; Filho, B.M.V.C.; Horowitz, B. Predicting the behavior of prestressed concrete membrane elements by refined rotating-angle softened-truss model with efficient solution procedure. Struct. Concr. 2020, 21, 934–948. [Google Scholar] [CrossRef]
- Bernardo, L.F.A.; Filho, B.M.V.C.; Horowitz, B. Refinement of the rotating-angle softened truss model with efficient solution for RC membranes. Eng. Struct. 2020, 213, 110552. [Google Scholar] [CrossRef]
- Bernardo, L.F.A.; Filho, B.M.V.C.; Horowitz, B. Predicting the Behavior of FRP-Strengthened RC Membrane Elements with Efficient Rotating-Angle Softened-Truss Model Procedure. Mater. Struct. 2021, in press. [Google Scholar] [CrossRef]
- Jeng, C.H.; Hsu, T.T.C. A softened membrane model for torsion in reinforced concrete members. Eng. Struct. 2009, 31, 1944–1954. [Google Scholar] [CrossRef]
- NP EN 1992–1-1. Eurocode 2: Design of Concrete Structures—Part 1: General Rules and Rules for Buildings; European Committee for Standardization—CEN: Brussels, Belgium, 2010. [Google Scholar]
- MathWorks. MATLAB_R2018a. 2018










| Panel | MPa | % | % | % | ° |
|---|---|---|---|---|---|
| CA2 | 45 | 0.25 | 0.77 | 0.77 | 45 |
| CA3 | 44.5 | 0.24 | 1.7 | 1.7 | 45 |
| CA4 | 45 | 0.28 | 2.7 | 2.7 | 45 |
| CB3 | 48 | 0.26 | 1.7 | 0.77 | 45 |
| CB4 | 47 | 0.24 | 2.7 | 0.67 | 45 |
| CD2 | 44.5 | 0.25 | 0.59 | 0.59 | 68.2 |
| CD3 | 47 | 0.26 | 1.3 | 1.3 | 68.2 |
| CD4 | 43 | 0.24 | 2.0 | 2.0 | 68.2 |
| CE2 | 49 | 0.23 | 0.54 | 0.54 | 90 |
| CE3 | 50 | 0.24 | 1.2 | 1.2 | 90 |
| CE4 | 47 | 0.22 | 1.9 | 1.9 | 90 |
| CF2 | 44 | 0.25 | 5.6 | 5.6 | 79.8 |
| Panel | MPa | MPa | ×10−3 | ×10−3 | MPa | MPa | ×10−3 | ×10−3 | ||||
|---|---|---|---|---|---|---|---|---|---|---|---|---|
| CA2 | 2.46 | 2.32 | 1.06 | 0.16 | 0.44 | 0.37 | 3.55 | 3.53 | 1.01 | 3.94 | 3.13 | 1.26 |
| CA3 | 2.76 | 2.71 | 1.02 | 0.19 | 0.28 | 0.68 | 6.70 | 6.80 | 0.99 | 4.50 | 4.07 | 1.10 |
| CA4 | 2.71 | 2.84 | 0.95 | 0.14 | 0.26 | 0.53 | 10.20 | 10.71 | 0.95 | 5.70 | 5.86 | 0.97 |
| CB3 | 2.30 | 2.40 | 0.96 | 0.11 | 0.33 | 0.34 | 4.52 | 4.27 | 1.06 | 4.80 | 4.24 | 1.13 |
| CB4 | 1.95 | 2.17 | 0.90 | 0.14 | 0.22 | 0.62 | 4.72 | 4.83 | 0.98 | 5.20 | 4.82 | 1.08 |
| CD2 | 2.51 | 2.28 | 1.10 | 0.12 | 0.46 | 0.26 | 3.15 | 2.86 | 1.10 | 2.70 | 2.32 | 1.16 |
| CD3 | 2.67 | 2.73 | 0.98 | 0.14 | 0.31 | 0.45 | 5.91 | 6.40 | 0.92 | 2.60 | 3.97 | 0.65 |
| CD4 | 2.41 | 2.80 | 0.86 | 0.15 | 0.24 | 0.62 | 8.64 | 10.00 | 0.86 | 3.00 | 5.69 | 0.53 |
| CE2 | 1.75 | 2.07 | 0.85 | 0.15 | 0.42 | 0.36 | 2.31 | 3.01 | 0.77 | 2.00 | 2.73 | 0.73 |
| CE3 | 1.95 | 2.22 | 0.88 | 0.17 | 0.27 | 0.63 | 5.31 | 6.11 | 0.87 | 2.20 | 3.96 | 0.56 |
| CE4 | 2.40 | 2.70 | 0.89 | 0.16 | 0.21 | 0.76 | 8.11 | 8.75 | 0.93 | 1.90 | 4.56 | 0.42 |
| CF2 | 1.98 | 2.15 | 0.92 | 0.18 | 0.39 | 0.46 | 3.43 | 3.53 | 0.97 | 2.10 | 3.16 | 0.66 |
| 0.95 | 0.51 | 0.95 | 0.86 | |||||||||
| 0.08 | 0.16 | 0.09 | 0.29 | |||||||||
| 8.5% | 31.3% | 9.4% | 34.2% |
| Panel | MPa | MPa | ×10−3 | ×10−3 | |||||
|---|---|---|---|---|---|---|---|---|---|
| CA2 | 3.85 | 4.00 | 0.96 | 23.00 | 25.22 | 0.91 | 7.54 | 8.06 | 0.94 |
| CA3 | 7.59 | 7.23 | 1.05 | 15.70 | 17.34 | 0.91 | 4.18 | 4.53 | 0.92 |
| CA4 | 10.54 | 10.72 | 0.98 | 7.50 | 7.51 | 1.00 | 1.99 | 1.80 | 1.10 |
| CB3 | 5.02 | 4.98 | 1.01 | 15.30 | 16.47 | 0.93 | 4.83 | 4.22 | 1.14 |
| CB4 | 5.17 | 5.39 | 0.96 | 7.60 | 6.82 | 1.11 | 2.92 | 2.61 | 1.12 |
| CD2 | 3.39 | 3.50 | 0.97 | 4.40 | 20.15 | 0.22 | 7.77 | 8.69 | 0.89 |
| CD3 | 6.64 | 6.77 | 0.98 | 6.60 | 17.18 | 0.38 | 5.38 | 4.32 | 1.24 |
| CD4 | 9.66 | 10.04 | 0.96 | 7.80 | 7.87 | 0.99 | 4.80 | 1.90 | 2.53 |
| CE2 | 2.73 | 3.27 | 0.83 | 12.50 | 18.60 | 0.67 | 10.45 | 6.80 | 1.54 |
| CE3 | 6.45 | 6.75 | 0.96 | 21.00 | 22.40 | 0.94 | 9.54 | 5.86 | 1.63 |
| CE4 | 8.36 | 8.94 | 0.94 | 12.20 | 11.47 | 1.06 | 6.42 | 2.74 | 2.34 |
| CF2 | 3.81 | 3.72 | 1.03 | 14.00 | 16.16 | 0.87 | 6.66 | 5.11 | 1.30 |
| 0.97 | 0.83 | 1.39 | |||||||
| 0.05 | 0.27 | 0.54 | |||||||
| 5.5% | 32.8% | 38.8% |
| Panel | MPa | MPa | ×10−3 | ×10−3 | MPa | MPa | ×10−3 | ×10−3 | ||||
|---|---|---|---|---|---|---|---|---|---|---|---|---|
| CA2 | −2.60 | −2.33 | 1.12 | −0.19 | −0.44 | 0.44 | −3.50 | −3.53 | 0.99 | −3.96 | −3.13 | 1.27 |
| CA3 | −2.63 | −2.72 | 0.97 | −0.18 | −0.28 | 0.65 | −6.61 | −6.85 | 0.97 | −4.80 | −4.08 | 1.18 |
| CA4 | −2.81 | −2.85 | 0.99 | −0.18 | −0.23 | 0.78 | −10.10 | −10.67 | 0.95 | −5.60 | −5.80 | 0.96 |
| CB3 | −2.10 | −2.40 | 0.88 | −0.13 | −0.33 | 0.40 | −4.37 | −4.26 | 1.03 | −4.20 | −4.14 | 1.01 |
| CB4 | −1.85 | −2.18 | 0.85 | −0.13 | −0.22 | 0.58 | −4.65 | −4.83 | 0.96 | −5.30 | −4.82 | 1.10 |
| CD2 | −2.12 | −2.28 | 0.93 | −0.11 | −0.46 | 0.24 | −2.80 | −3.20 | 0.88 | −2.67 | −2.86 | 0.93 |
| CD3 | −2.06 | −2.61 | 0.79 | −0.13 | −0.33 | 0.39 | −5.35 | −6.41 | 0.84 | −2.70 | −3.97 | 0.68 |
| CD4 | −2.50 | −2.80 | 0.89 | −0.16 | −0.24 | 0.67 | −8.59 | −10.00 | 0.86 | −3.10 | −5.69 | 0.54 |
| CE2 | −1.78 | −2.07 | 0.86 | −0.18 | −0.42 | 0.43 | −2.68 | −3.01 | 0.89 | −1.88 | −2.74 | 0.69 |
| CE3 | −1.96 | −2.20 | 0.89 | −0.12 | −0.28 | 0.44 | −5.10 | −6.11 | 0.83 | −1.98 | −3.96 | 0.50 |
| CE4 | −1.98 | −2.30 | 0.86 | −0.14 | −0.17 | 0.82 | −7.60 | −8.78 | 0.87 | −2.30 | −4.57 | 0.50 |
| CF2 | −1.97 | −2.15 | 0.92 | −0.21 | −0.39 | 0.53 | −3.38 | −3.59 | 0.94 | −2.30 | −3.19 | 0.72 |
| 0.91 | 0.53 | 0.92 | 0.84 | |||||||||
| 0.08 | 0.17 | 0.06 | 0.27 | |||||||||
| 9.2% | 32.6% | 7.0% | 32.0% |
| Panel | MPa | MPa | ×10−3 | ×10−3 | |||||
|---|---|---|---|---|---|---|---|---|---|
| CA2 | −3.91 | −4.00 | 0.98 | −26.40 | −25.24 | 1.05 | 8.15 | 8.07 | 1.01 |
| CA3 | −6.83 | −7.23 | 0.94 | −15.60 | −17.34 | 0.90 | 3.66 | 4.53 | 0.81 |
| CA4 | −10.20 | −10.69 | 0.95 | −7.70 | −7.55 | 1.02 | 1.66 | 1.82 | 0.91 |
| CB3 | −5.10 | −4.98 | 1.02 | −14.00 | −16.42 | 0.85 | 5.24 | 4.32 | 1.21 |
| CB4 | −5.18 | −5.39 | 0.96 | −12.00 | −6.82 | 1.76 | 2.95 | 2.61 | 1.13 |
| CD2 | −3.33 | −3.50 | 0.95 | −7.00 | −20.19 | 0.35 | 7.68 | 7.06 | 1.09 |
| CD3 | −5.92 | −6.67 | 0.89 | −4.40 | −15.12 | 0.29 | 5.82 | 3.80 | 1.53 |
| CD4 | −9.10 | −10.04 | 0.91 | −4.50 | −7.87 | 0.57 | 4.39 | 1.90 | 2.31 |
| CE2 | −3.60 | −3.27 | 1.10 | −19.00 | −18.65 | 1.02 | 10.53 | 6.81 | 1.55 |
| CE3 | −6.29 | −6.75 | 0.93 | −18.00 | −22.40 | 0.80 | 9.10 | 5.85 | 1.55 |
| CE4 | −8.26 | −8.96 | 0.92 | −11.40 | −11.25 | 1.01 | 4.96 | 2.68 | 1.85 |
| CF2 | −3.63 | −3.72 | 0.98 | −14.70 | −16.19 | 0.91 | 6.39 | 5.07 | 1.26 |
| 0.96 | 0.88 | 1.35 | |||||||
| 0.06 | 0.38 | 0.43 | |||||||
| 5.9% | 43.3% | 31.8% |
Publisher’s Note: MDPI stays neutral with regard to jurisdictional claims in published maps and institutional affiliations. |
© 2021 by the authors. Licensee MDPI, Basel, Switzerland. This article is an open access article distributed under the terms and conditions of the Creative Commons Attribution (CC BY) license (http://creativecommons.org/licenses/by/4.0/).
Share and Cite
Bernardo, L.; Sadieh, S. A Monotonic Smeared Truss Model to Predict the Envelope Shear Stress—Shear Strain Curve for Reinforced Concrete Panel Elements under Cyclic Shear. Appl. Mech. 2021, 2, 174-194. https://doi.org/10.3390/applmech2010011
Bernardo L, Sadieh S. A Monotonic Smeared Truss Model to Predict the Envelope Shear Stress—Shear Strain Curve for Reinforced Concrete Panel Elements under Cyclic Shear. Applied Mechanics. 2021; 2(1):174-194. https://doi.org/10.3390/applmech2010011
Chicago/Turabian StyleBernardo, Luís, and Saffana Sadieh. 2021. "A Monotonic Smeared Truss Model to Predict the Envelope Shear Stress—Shear Strain Curve for Reinforced Concrete Panel Elements under Cyclic Shear" Applied Mechanics 2, no. 1: 174-194. https://doi.org/10.3390/applmech2010011
APA StyleBernardo, L., & Sadieh, S. (2021). A Monotonic Smeared Truss Model to Predict the Envelope Shear Stress—Shear Strain Curve for Reinforced Concrete Panel Elements under Cyclic Shear. Applied Mechanics, 2(1), 174-194. https://doi.org/10.3390/applmech2010011
