RadonFAN: Intelligent Real-Time Radon Mitigation Through IoT, Rule-Based Logic, and AI Forecasting
Abstract
1. Introduction
2. Materials and Methods
2.1. System Deployment
2.2. Dataset
2.2.1. Dataset Description
2.2.2. Preliminary Analysis of Time Series
2.3. Rule System
2.3.1. System Description
- If , then activate the fan.
- If , then deactivate the fan.
- If , then:
- –
- if , then activate the fan;
- –
- if , then deactivate the fan;
- –
- otherwise, maintain current fan state.
2.3.2. Preliminary Analysis of System Behavior
2.4. Deep Learning System
2.4.1. Model Architecture
2.4.2. Data Preprocessing
2.4.3. Training and Evaluation
2.5. Performance Metrics for Control Systems
3. Results and Discussion
3.1. AI Model Performance and Efficiency
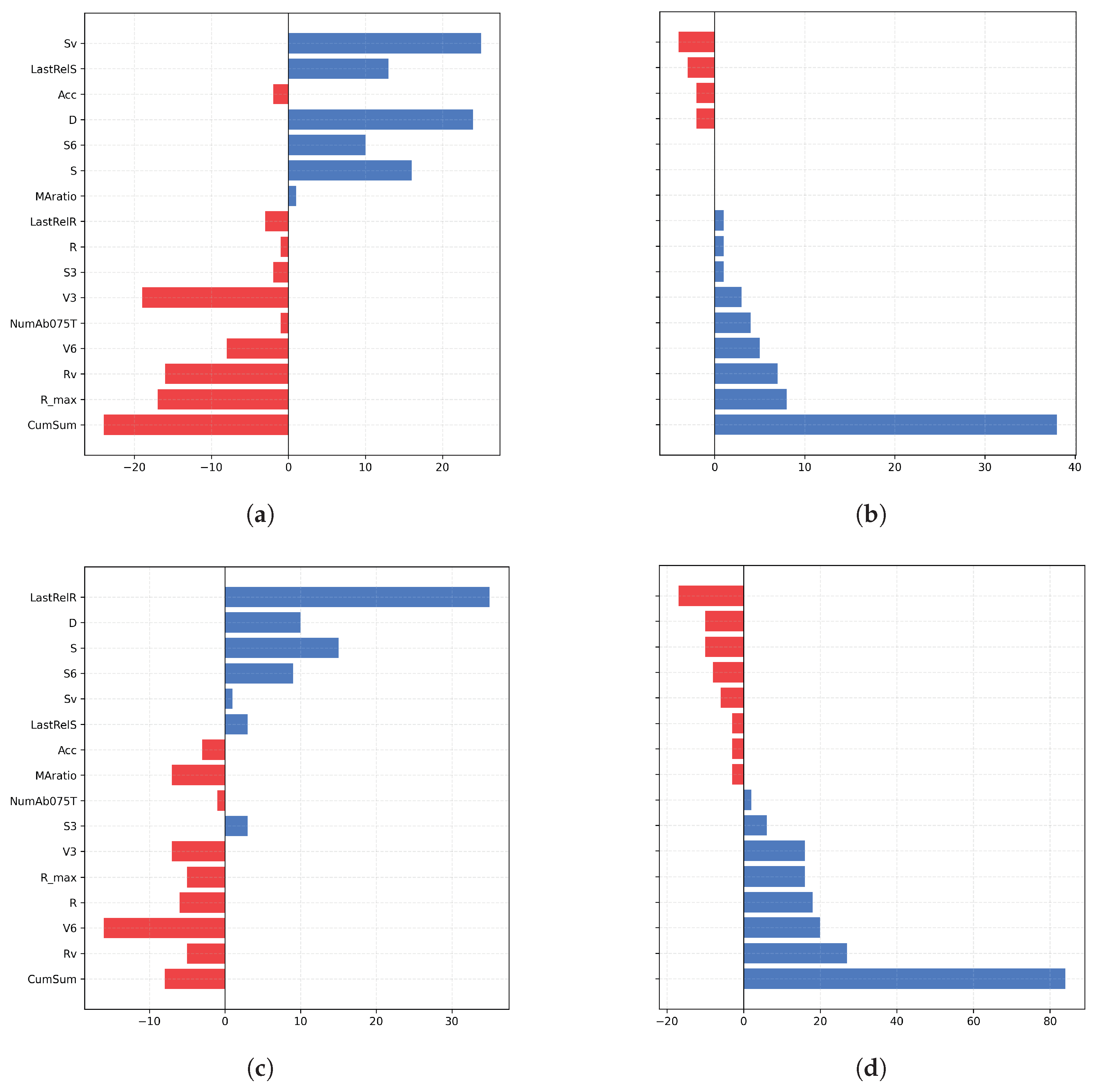
3.2. Model Component Analysis
3.3. System Performance
3.4. Comparative Analysis with Existing Systems
4. Conclusions
Author Contributions
Funding
Institutional Review Board Statement
Informed Consent Statement
Data Availability Statement
Acknowledgments
Conflicts of Interest
Abbreviations
| AI | Artificial Intelligence |
| DL | Deep Learning |
| LSTM | Long Short Time Memory |
| MQTT | Message Queuing Telemetry Transport |
| GPIO | General Purpose Input/Output |
| ACF | AutoCorrelation Function |
| PACF | Partial AutoCorrelation Function |
| ADF | Augmented Dickey–Fuller |
| KPSS | Kwiatkowski–Phillips–Schmidt–Shin |
| ARIMA | Autoregressive Integrated Moving Average |
| kNN | k-Nearest Neighbor |
| RS | Rule System |
| DC | Direct Classification |
| R2C | Regression-to-Classification |
| 1D-CNN | One-Dimensional Convolutional Neural Network |
| MLP | MultiLayer Perceptron |
| MSE | Mean Squared Error |
| BCE | Binary Cross Entropy |
| BiLSTM | Bidirectional Long Short Time Memory |
Appendix A

Appendix B


Appendix C
| Model | G1 | G2 | ||||||
|---|---|---|---|---|---|---|---|---|
| Pr | Rec | F1 | Brier | Pr | Rec | F1 | Brier | |
| DC | 0.645 | 0.979 | 0.778 | 0.039 | 0.929 | 0.980 | 0.954 | 0.024 |
| [0.583–0.709] | [0.951–1.000] | [0.778–0.778] | [0.039–0.039] | [0.907–0.950] | [0.967–0.991] | [0.954–0.954] | [0.024–0.024] | |
| DCMP | 0.662 | 0.986 | 0.792 | 0.039 | 0.924 | 0.978 | 0.950 | 0.026 |
| [0.598–0.725] | [0.963–1.000] | [0.792–0.792] | [0.039–0.039] | [0.903–0.947] | [0.964–0.989] | [0.950–0.950] | [0.026–0.026] | |
| DCRes | 0.634 | 0.993 | 0.774 | 0.042 | 0.923 | 0.981 | 0.951 | 0.023 |
| [0.569–0.695] | [0.976-1.000] | [0.774–0.774] | [0.042–0.042] | [0.902–0.944] | [0.969–0.992] | [0.951–0.951] | [0.023–0.023] | |
| DCBN | 0.712 | 0.951 | 0.814 | 0.030 | 0.967 | 0.968 | 0.968 | 0.019 |
| [0.647–0.775] | [0.910–0.982] | [0.814–0.814] | [0.030–0.030] | [0.950–0.982] | [0.953–0.982] | [0.968–0.968] | [0.019–0.019] | |
| DCnDp | 0.653 | 0.972 | 0.781 | 0.037 | 0.939 | 0.972 | 0.955 | 0.023 |
| [0.588–0.718] | [0.944–0.994] | [0.781–0.781] | [0.037–0.037] | [0.918–0.958] | [0.957–0.985] | [0.955–0.955] | [0.023–0.023] | |
| DCF16 | 0.668 | 1.000 | 0.801 | 0.035 | 0.933 | 0.981 | 0.957 | 0.023 |
| [0.605–0.734] | [1.000–1.000] | [0.801–0.801] | [0.035–0.035] | [0.912–0.953] | [0.970–0.992] | [0.957–0.957] | [0.023–0.023] | |
| DCF4 | 0.630 | 1.000 | 0.773 | 0.045 | 0.923 | 0.974 | 0.948 | 0.028 |
| [0.566–0.692] | [1.000–1.000] | [0.773–0.773] | [0.045–0.045] | [0.901–0.944] | [0.961–0.987] | [0.948–0.948] | [0.028–0.028] | |
| DCfc12 | 0.691 | 0.777 | 0.731 | 0.066 | 0.955 | 0.948 | 0.951 | 0.032 |
| [0.638–0.746] | [0.723–0.833] | [0.731–0.731] | [0.066–0.066] | [0.937–0.972] | [0.931–0.965] | [0.951–0.951] | [0.032–0.032] | |
| DCfc3 | 0.752 | 0.910 | 0.824 | 0.033 | 0.965 | 0.981 | 0.973 | 0.015 |
| [0.692–0.810] | [0.869–0.951] | [0.824–0.824] | [0.033–0.033] | [0.949–0.979] | [0.968–0.991] | [0.973–0.973] | [0.015–0.015] | |
| DClb24 | 0.598 | 1.000 | 0.749 | 0.050 | 0.919 | 0.968 | 0.943 | 0.029 |
| [0.537–0.657] | [1.000–1.000] | [0.749–0.749] | [0.050–0.050] | [0.895–0.942] | [0.954–0.981] | [0.943–0.943] | [0.029–0.029] | |
| DClb6 | 0.670 | 0.965 | 0.791 | 0.034 | 0.935 | 0.978 | 0.956 | 0.022 |
| [0.604–0.730] | [0.932–0.993] | [0.791–0.791] | [0.034–0.034] | [0.914–0.953] | [0.965–0.989] | [0.956–0.956] | [0.022–0.022] | |
| G1 | G2 | |||||
|---|---|---|---|---|---|---|
| Soft Prec ↑ | Soft Rec ↑ | Soft F1 ↑ | Soft Prec ↑ | Soft Rec ↑ | Soft F1 ↑ | |
| R2C | 0.470 | 1.000 | 0.640 | 0.634 | 1.000 | 0.776 |
| DC | 0.659 | 1.000 | 0.794 | 0.939 | 0.990 | 0.964 |
| DCMP | 0.671 | 1.000 | 0.803 | 0.936 | 0.990 | 0.962 |
| DCRes | 0.638 | 1.000 | 0.779 | 0.935 | 0.994 | 0.964 |
| DCndp | 0.671 | 1.000 | 0.803 | 0.946 | 0.980 | 0.963 |
| DCF16 | 0.668 | 1.000 | 0.801 | 0.943 | 0.993 | 0.967 |
| DCF4 | 0.630 | 1.000 | 0.773 | 0.932 | 0.984 | 0.957 |
| DCfc12 | 0.723 | 0.813 | 0.766 | 0.963 | 0.957 | 0.960 |
| DCfc3 | 0.815 | 0.986 | 0.893 | 0.977 | 0.992 | 0.985 |
| DClb24 | 0.598 | 1.000 | 0.749 | 0.931 | 0.980 | 0.955 |
| DClb6 | 0.694 | 1.000 | 0.819 | 0.945 | 0.989 | 0.966 |
References
- Kholopo, M.; Rathebe, P.C. Radon exposure assessment in occupational and environmental settings: An overview of instruments and methods. Sensors 2024, 24, 2966. [Google Scholar] [CrossRef] [PubMed]
- World Health Organization. Radon and Health. Online Fact Sheet. 2023. Available online: https://www.who.int/news-room/fact-sheets/detail/radon-and-health (accessed on 3 February 2026).
- Rizo-Maestre, C.; Echarri-Iribarren, V.; Prado-Govea, R.; Pujol-López, F. Radon Gas as an Indicator for Air Quality Control in Buried Industrial Architecture: Rehabilitation of the Old Británica Warehouses in Alicante for a Tourist Site. Sustainability 2019, 11, 4692. [Google Scholar] [CrossRef]
- Rizo Maestre, C.; Echarri Iribarren, V. The Importance of Checking Indoor Air Quality in Underground Historic Buildings Intended for Tourist Use. Sustainability 2019, 11, 689. [Google Scholar] [CrossRef]
- Hamza, Z.M.; Jasim, A.S.; Heydaryan, K.; Kadhim, S.A. Quantitative Assessment of Uranium and Alpha-Emitting Radionuclides in Lung Cancer Patients Using CR-39 Detectors: Influence of Gender and Smoking Behavior. Appl. Radiat. Isot. 2025, 225, 112069. [Google Scholar] [CrossRef]
- Lorenzo-Gonzalez, M.; Ruano-Ravina, A.; Torres-Duran, M.; Kelsey, K.T.; Provencio, M.; Parente-Lamelas, I.; Piñeiro-Lamas, M.; Varela-Lema, L.; Perez-Rios, M.; Fernandez-Villar, A.; et al. Lung cancer risk and residential radon exposure: A pooling of case-control studies in northwestern Spain. Environ. Res. 2020, 189, 109968. [Google Scholar] [CrossRef]
- Council of the European Union. Council Directive 2013/59/Euratom of 5 December 2013 Laying Down Basic Safety Standards for Protection Against the Dangers Arising from Exposure to Ionising Radiation; Council of the European Union: Brussels, Belgium, 2014; Article 74. [Google Scholar]
- Antignani, S.; Venoso, G.; Ampollini, M.; Caprio, M.; Carpentieri, C.; Di Carlo, C.; Caccia, B.; Hunter, N.; Bochicchio, F. A 10-year follow-up study of yearly indoor radon measurements in homes, review of other studies and implications on lung cancer risk estimates. Sci. Total Environ. 2021, 762, 144150. [Google Scholar] [CrossRef]
- Sicilia, I.; Aparicio, S.; González, M.; Anaya, J.J.; Frutos, B. Radon Transport, Accumulation Patterns, and Mitigation Techniques Applied to Closed Spaces. Atmosphere 2022, 13, 1692. [Google Scholar] [CrossRef]
- Abad, L.; Ramonet, F.; Ortega, J.; Sanz-Honrado, P.; Gonzalez, M.; Anaya, J.J.; Aparicio, S. Sensor Calibration in Drone-Based Environmental Monitoring: A Machine Learning Approach. In Proceedings of the IEEE International Conference on Cyber Humanities (IEEE CH), Florence, Italy, 8–10 September 2025. [Google Scholar]
- Idrees, Z.; Zheng, L. Low cost air pollution monitoring systems: A review of protocols and enabling technologies. J. Ind. Inf. Integr. 2020, 17, 100123. [Google Scholar] [CrossRef]
- Alvarellos, A.; Gestal, M.; Dorado, J.; Rabuñal, J.R. Developing a Secure Low-Cost Radon Monitoring System. Sensors 2020, 20, 752. [Google Scholar] [CrossRef]
- Alvarellos, A.; Chao, A.; Rabuñal, J.; García-Vidaurrázaga, M.; Pazos, A. Development of an Automatic Low-Cost Air Quality Control System: A Radon Application. Appl. Sci. 2021, 11, 2169. [Google Scholar] [CrossRef]
- Blanco-Novoa, O.; Fernández-Caramés, T.M.; Fraga-Lamas, P.; Castedo, L. A Cost-Effective IoT System for Monitoring Indoor Radon Gas Concentration. Sensors 2018, 18, 2198. [Google Scholar] [CrossRef]
- Box, G.E.; Jenkins, G.M.; Reinsel, G.C.; Ljung, G.M. Time Series Analysis: Forecasting and Control; John Wiley & Sons: Hoboken, NJ, USA, 2015. [Google Scholar]
- Hyndman, R.J.; Athanasopoulos, G. Forecasting: Principles and Practice; OTexts: Melbourne, Australia, 2018. [Google Scholar]
- Gasperis, G.D.; Facchini, S.D. A Comparative Study of Rule-Based and Data-Driven Approaches in Industrial Monitoring. arXiv 2025, arXiv:2509.15848. [Google Scholar] [CrossRef]
- Rumelhart, D.E.; Hinton, G.E.; Williams, R.J. Learning representations by back-propagating errors. Nature 1986, 323, 533–536. [Google Scholar] [CrossRef]
- LeCun, Y.; Boser, B.; Denker, J.S.; Henderson, D.; Howard, R.E.; Hubbard, W.; Jackel, L.D. Backpropagation applied to handwritten zip code recognition. Neural Comput. 1989, 1, 541–551. [Google Scholar] [CrossRef]
- Bahdanau, D.; Cho, K.; Bengio, Y. Neural machine translation by jointly learning to align and translate. arXiv 2014, arXiv:1409.0473. [Google Scholar]
- Vaswani, A.; Shazeer, N.; Parmar, N.; Uszkoreit, J.; Jones, L.; Gomez, A.N.; Kaiser, Ł.; Polosukhin, I. Attention is all you need. In Advances in Neural Information Processing Systems, Proceedings of the 31st Conference on Neural Information Processing Systems (NIPS 2017), Long Beach, CA, USA, 4–7 December 2017; Curran Associates Inc.: Red Hook, NY, USA, 2017; Volume 30. [Google Scholar]
- Subramaniam, S.; Raju, N.; Ganesan, A.; Rajavel, N.; Chenniappan, M.; Prakash, C.; Pramanik, A.; Basak, A.K.; Dixit, S. Artificial Intelligence Technologies for Forecasting Air Pollution and Human Health: A Narrative Review. Sustainability 2022, 14, 9951. [Google Scholar] [CrossRef]
- Lim, B.; Zohren, S. Time-series forecasting with deep learning: A survey. Philos. Trans. R. Soc. A 2021, 379, 20200209. [Google Scholar] [CrossRef]
- Kök, İ.; Şimşek, M.U.; Özdemir, S. A deep learning model for air quality prediction in smart cities. In Proceedings of the 2017 IEEE International Conference on Big Data (Big Data), Boston, MA, USA, 11–14 December 2017; pp. 1983–1990. [Google Scholar] [CrossRef]
- Reddy, V.N.; Mohanty, S. Deep Air: Forecasting Air Pollution in Beijing, China. Environ. Sci. 2017. Available online: https://www.ischool.berkeley.edu/sites/default/files/sproject_attachments/deep-air-forecasting_final.pdf (accessed on 3 February 2026).
- Bui, T.C.; Le, V.D.; Cha, S.K. A Deep Learning Approach for Forecasting Air Pollution in South Korea Using LSTM. arXiv 2018, arXiv:1804.07891. [Google Scholar] [CrossRef]
- Mpinga, V.; Rosado da Cruz, A.M.; Lopes, S. Forecasting Short-Term Indoor Radon: A Machine Learning Approach Using LSTM Networks. In Proceedings of the 2023 18th Iberian Conference on Information Systems and Technologies (CISTI), Aveiro, Portugal, 20–23 June 2023. [Google Scholar] [CrossRef]
- Khan, S. Application of Deep Learning LSTM and ARIMA Models in Time Series Forecasting: A Methods Case Study analyzing Canadian and Swedish Indoor Air Pollution Data. Austin. J. Med. Oncol. 2022, 9, 1073. [Google Scholar] [CrossRef]
- Ismail Fawaz, H.; Forestier, G.; Weber, J.; Idoumghar, L.; Muller, P.A. Deep learning for time series classification: A review. Data Min. Knowl. Discov. 2019, 33, 917–963. [Google Scholar] [CrossRef]
- Hoshen, Y. Time Series Anomaly Detection by Cumulative Radon Features. arXiv 2022, arXiv:2202.04067. [Google Scholar] [CrossRef]
- Cerqueira, V.; Torgo, L. Exceedance Probability Forecasting via Regression for Significant Wave Height Prediction. arXiv 2024, arXiv:2206.09821. [Google Scholar] [CrossRef]
- Sjösten, L. A Comparative Study of the KPSS and ADF Tests in Terms of Size and Power. Bachelor’s Thesis, Uppsala University, Uppsala, Sweden, 2022. [Google Scholar]
- Hamilton, J.D. Time Series Analysis; Princeton University Press: Princeton, NJ, USA, 2020. [Google Scholar]
- Valcarce, D.; Alvarellos, A.; Rabuñal, J.R.; Dorado, J.; Gestal, M. Machine Learning-Based Radon Monitoring System. Chemosensors 2022, 10, 239. [Google Scholar] [CrossRef]
- Welsing, A.; Nienkötter, A.; Jiang, X. Exponential Weighted Moving Average of Time Series in Arbitrary Spaces with Application to Strings. In Structural, Syntactic, and Statistical Pattern Recognition: Joint IAPR International Workshops, S+SSPR 2020, Padua, Italy, 21–22 January 2021; Springer: Berlin/Heidelberg, Germany, 2021; pp. 45–54. [Google Scholar] [CrossRef]
- Kirichenko, P.; Ibrahim, M.; Balestriero, R.; Bouchacourt, D.; Vedantam, R.; Firooz, H.; Wilson, A.G. Understanding the Detrimental Class-level Effects of Data Augmentation. arXiv 2023, arXiv:2401.01764. [Google Scholar] [CrossRef]
- Loshchilov, I.; Hutter, F. Decoupled weight decay regularization. arXiv 2017, arXiv:1711.05101. [Google Scholar]
- He, K.; Zhang, X.; Ren, S.; Sun, J. Delving Deep into Rectifiers: Surpassing Human-Level Performance on ImageNet Classification. arXiv 2015, arXiv:1502.01852. [Google Scholar] [CrossRef]
- Kannan, A. Benefits of Multiobjective Learning in Solar Energy Prediction. arXiv 2023, arXiv:2301.12282. [Google Scholar] [CrossRef]
- Reihanifar, M.; Danandeh Mehr, A.; Tur, R.; Ahmed, A.T.; Abualigah, L.; Dąbrowska, D. A New Multi-Objective Genetic Programming Model for Meteorological Drought Forecasting. Water 2023, 15, 3602. [Google Scholar] [CrossRef]
- Terven, J.; Cordova-Esparza, D.M.; Romero-González, J.A.; Ramírez-Pedraza, A.; Chávez-Urbiola, E. A comprehensive survey of loss functions and metrics in deep learning. Artif. Intell. Rev. 2025, 58, 195. [Google Scholar] [CrossRef]
- Salles, R.; Lima, J.; Reis, M.; Coutinho, R.; Pacitti, E.; Masseglia, F.; Akbarinia, R.; Chen, C.; Garibaldi, J.; Porto, F.; et al. SoftED: Metrics for soft evaluation of time series event detection. Comput. Ind. Eng. 2024, 198, 110728. [Google Scholar] [CrossRef]
- Ismail Fawaz, H.; Lucas, B.; Forestier, G.; Pelletier, C.; Schmidt, D.F.; Weber, J.; Webb, G.I.; Idoumghar, L.; Muller, P.A.; Petitjean, F. InceptionTime: Finding AlexNet for time series classification. Data Min. Knowl. Discov. 2020, 34, 1936–1962. [Google Scholar] [CrossRef]







| Gallery | Period | RS System | Mean | Median | Std | Min | Max |
|---|---|---|---|---|---|---|---|
| G1 | Oct 2019–Dec 2024 | Mixed | 136.94 | 111.00 | 136.33 | 10.73 | 1895.14 |
| Apr–Jun 2024 | On | 114.98 | 103.60 | 66.11 | 12.58 | 639.73 | |
| Jan–Mar 2024 | Off | 103.13 | 87.32 | 77.79 | 10.73 | 551.30 | |
| G2 | Oct 2019–Dec 2024 | Mixed | 148.65 | 125.00 | 120.99 | 7.00 | 1187.00 |
| Apr–Jun 2024 | On | 109.97 | 104.00 | 58.19 | 12.00 | 359.00 | |
| Jan–Mar 2024 | Off | 218.41 | 145.00 | 212.71 | 7.00 | 1187.00 |
| Dataset | Series | Lag | ADF Statistic | ADF p-Value | KPSS Statistic | KPSS p-Value |
|---|---|---|---|---|---|---|
| G1 | X | 12 | −8.601 | 0.000 | 7.565 | 0.010 |
| 36 | −9.079 | 0.000 | 3.002 | 0.010 | ||
| 144 | −9.079 | 0.000 | 1.184 | 0.010 | ||
| 360 | −9.079 | 0.000 | 0.681 | 0.015 | ||
| 12 | −26.165 | 0.000 | 0.018 | 0.100 | ||
| 36 | −17.899 | 0.000 | 0.016 | 0.100 | ||
| 144 | −16.414 | 0.000 | 0.056 | 0.100 | ||
| 360 | −16.414 | 0.000 | 0.070 | 0.100 | ||
| G2 | X | 12 | −9.588 | 0.000 | 12.158 | 0.010 |
| 36 | −9.267 | 0.000 | 4.961 | 0.010 | ||
| 144 | −3.029 | 0.000 | 2.107 | 0.010 | ||
| 360 | −3.308 | 0.000 | 1.045 | 0.010 | ||
| 12 | −22.495 | 0.000 | 0.008 | 0.100 | ||
| 36 | −18.943 | 0.000 | 0.007 | 0.100 | ||
| 144 | −13.172 | 0.000 | 0.040 | 0.100 | ||
| 360 | −11.093 | 0.000 | 0.043 | 0.100 |
| Dataset | AR Order | Coefficients () | Residual Variance () | |
|---|---|---|---|---|
| G1 | 1 | 0.9879 | 151.0 | 0.9879 |
| 2 | 0.8132, 0.1770 | 146.3 | 0.9902 | |
| 3 | 0.8173, 0.1957, −0.0231 | 146.2 | 0.9899 | |
| G2 | 1 | 0.9953 | 412.5 | 0.9953 |
| 2 | 1.3780, −0.3844 | 351.5 | 0.9936 | |
| 3 | 1.3005, −0.1065, −0.2017 | 337.2 | 0.9923 |
| Dataset | s | w | Fan Usage (%) | ||
|---|---|---|---|---|---|
| G1 | 0.50 | 0.3 | 0.5 | 1.500 | 17.16 |
| 0.95 | 0.3 | 0.5 | −3.305 | −39.46 | |
| 2/3 | 0.1 | 0.5 | −0.926 | −0.59 | |
| 2/3 | 0.5 | 0.5 | 1.000 | −1.44 | |
| 2/3 | 0.3 | 0.1 | −0.780 | −4.52 | |
| 2/3 | 0.3 | 0.9 | −1.755 | 3.21 | |
| G2 | 0.50 | 0.3 | 0.5 | 1.449 | 18.38 |
| 0.95 | 0.3 | 0.5 | −3.113 | −21.16 | |
| 2/3 | 0.1 | 0.5 | −0.343 | −0.43 | |
| 2/3 | 0.5 | 0.5 | 1.215 | 1.24 | |
| 2/3 | 0.3 | 0.1 | −0.013 | 3.79 | |
| 2/3 | 0.3 | 0.9 | −0.804 | 0.52 |
| Technique | Description | p (+/−) | f (+/−) | Formula |
|---|---|---|---|---|
| Jittering | Add Gaussian noise | 0.75/0.25 | 2.5/1 | |
| Scaling | Multiply signal by random factor | 0.75/0.25 | 2.5/1 | |
| Time warping | Remove points (window of 3 before/after random point) and interpolate using smooth nonlinear function | 0.75/0.25 | 2.5/1 | |
| Magnitude warping | Locally scale segments of 4 points | 0.75/0.25 | 2.5/1 | |
| Masking | Remove random points from last quarter of the sequence to prevent reliance on recent points; add variability | 0.25/0.10 | - |
| G1 | G2 | Param. (M) ↓ | Size (MB) ↓ | FLOPs (M) ↓ | |||||||
|---|---|---|---|---|---|---|---|---|---|---|---|
| Pr↑ | Rec↑ | F1↑ | Brier↓ | Pr↑ | Rec↑ | F1↑ | Brier↓ | ||||
| IT [43] | 0.825 | 0.968 | 1.604 | 10.094 | |||||||
| [0.883–0.963] | [0.765–0.880] | [0.801–0.884] | [0.026–0.044] | [0.961–0.987] | [0.932–0.954] | [0.961–0.981] | [0.015–0.030] | ||||
| R2C | 0.470 | 0.640 | 0.111 | 0.630 | 0.770 | 0.149 | 3.963 | 0.015 | 40.800 | ||
| [0.415–0.526] | [1.000–1.000] | [0.588–0.687] | [0.105–0.117] | [0.598–0.657] | [0.984–0.998] | [0.744–0.793] | [0.141–0.157] | ||||
| DC | 0.645 | 0.979 | 0.778 | 0.039 | 0.929 | 0.980 | 0.954 | 0.024 | 3.956 | ||
| [0.583–0.709] | [0.951–1.000] | [0.778–0.778] | [0.039–0.039] | [0.907–0.950] | [0.967–0.991] | [0.954–0.954] | [0.024–0.024] | ||||
| G1 | G2 | Param. (M) ↓ | Size (MB) ↓ | FLOPs (M) ↓ | |||||||
|---|---|---|---|---|---|---|---|---|---|---|---|
| Pr↑ | Rec↑ | F1↑ | Brier↓ | Pr↑ | Rec↑ | F1↑ | Brier↓ | ||||
| DC | 0.645 | 0.979 | 0.778 | 0.039 | 0.929 | 0.980 | 0.954 | 0.024 | 3.956 | 0.015 | 6.800 |
| DCMP | +0.017 | +0.007 | +0.014 | +0.000 | −0.005 | −0.002 | −0.004 | +0.002 | −2.655 | ||
| DCRes | −0.011 | +0.014 | −0.004 | +0.003 | −0.006 | +0.001 | −0.003 | −0.001 | +0.032 | +0.000 | +0.098 |
| DCBN | +0.067 | −0.028 | +0.036 | −0.012 | +0.014 | −0.005 | +0.064 | +0.000 | +0.786 | ||
| DCnDp | +0.008 | −0.007 | +0.003 | −0.002 | +0.010 | −0.008 | +0.001 | −0.001 | +0.000 | +0.000 | −0.001 |
| DCF16 | +0.023 | +0.023 | −0.004 | +0.004 | +0.001 | +0.003 | −0.001 | +0.720 | +0.003 | +4.423 | |
| DCF4 | −0.015 | +0.021 | −0.005 | +0.006 | −0.006 | −0.006 | −0.006 | +0.004 | +0.144 | +0.001 | +0.884 |
| DCfc12 | +0.046 | −0.202 | −0.047 | +0.027 | +0.026 | −0.032 | −0.003 | +0.008 | +0.000 | +0.000 | −0.001 |
| DCfc3 | -0.069 | −0.006 | +0.036 | +0.000 | +0.000 | −0.001 | |||||
| DClb24 | −0.047 | +0.021 | −0.029 | +0.011 | −0.010 | −0.012 | −0.011 | +0.005 | +3.072 | +0.012 | +6.782 |
| DClb6 | +0.025 | −0.014 | +0.013 | −0.005 | +0.006 | −0.002 | +0.002 | −0.002 | −1.536 | −0.006 | |
| Study | Description | Monitoring | Mitigation | Prediction | Algorithm | RT | Advantages | Disadvantages |
|---|---|---|---|---|---|---|---|---|
| [12] | Alert system | ✓ | ✗ | ✗ | Rule-based | ✓ | Low-cost, IoT | No mitigation, only alerts |
| [13] | Continuation of [12] | ✓ | ✓ | ✗ | Rule-based | ✓ | Low-cost, IoT | No forecasting, rule-based |
| [14] | Alert and mitigation system | ✓ | ✓ | ✗ | Rule-based | ✓ | Low-cost, IoT | No forecasting, rule-based |
| [27] | Short-term prediction | ✗ | ✗ | ✓ Reg | LSTM, BiLSTM | ✗ | Forecast horizon analysis | No mitigation |
| [28] | Long-term prediction | ✗ | ✗ | ✓ Reg | ARIMA, LSTM | ✗ | Long-term radon analysis | No mitigation, no IoT integration |
| RadonFAN-DC | This work | ✓ | ✓ | ✓ Cl | 1D-CNN | ✓ | Unified IoT + AI + mitigation, low-cost | Not deployed |
Disclaimer/Publisher’s Note: The statements, opinions and data contained in all publications are solely those of the individual author(s) and contributor(s) and not of MDPI and/or the editor(s). MDPI and/or the editor(s) disclaim responsibility for any injury to people or property resulting from any ideas, methods, instructions or products referred to in the content. |
© 2026 by the authors. Licensee MDPI, Basel, Switzerland. This article is an open access article distributed under the terms and conditions of the Creative Commons Attribution (CC BY) license.
Share and Cite
Abad, L.; Ramonet, F.; González, M.; Anaya, J.J.; Aparicio, S. RadonFAN: Intelligent Real-Time Radon Mitigation Through IoT, Rule-Based Logic, and AI Forecasting. AI 2026, 7, 67. https://doi.org/10.3390/ai7020067
Abad L, Ramonet F, González M, Anaya JJ, Aparicio S. RadonFAN: Intelligent Real-Time Radon Mitigation Through IoT, Rule-Based Logic, and AI Forecasting. AI. 2026; 7(2):67. https://doi.org/10.3390/ai7020067
Chicago/Turabian StyleAbad, Lidia, Fernando Ramonet, Margarita González, José Javier Anaya, and Sofía Aparicio. 2026. "RadonFAN: Intelligent Real-Time Radon Mitigation Through IoT, Rule-Based Logic, and AI Forecasting" AI 7, no. 2: 67. https://doi.org/10.3390/ai7020067
APA StyleAbad, L., Ramonet, F., González, M., Anaya, J. J., & Aparicio, S. (2026). RadonFAN: Intelligent Real-Time Radon Mitigation Through IoT, Rule-Based Logic, and AI Forecasting. AI, 7(2), 67. https://doi.org/10.3390/ai7020067

