Applications of Artificial Intelligence in Dental Malocclusion: A Scoping Review of Recent Advances (2020–2025)
Abstract
1. Introduction
2. Methods
2.1. Eligibility Criteria
2.2. Information Sources and Search Strategy
2.3. Study Selection
2.4. Data Extraction
2.5. Data Synthesis
3. Results
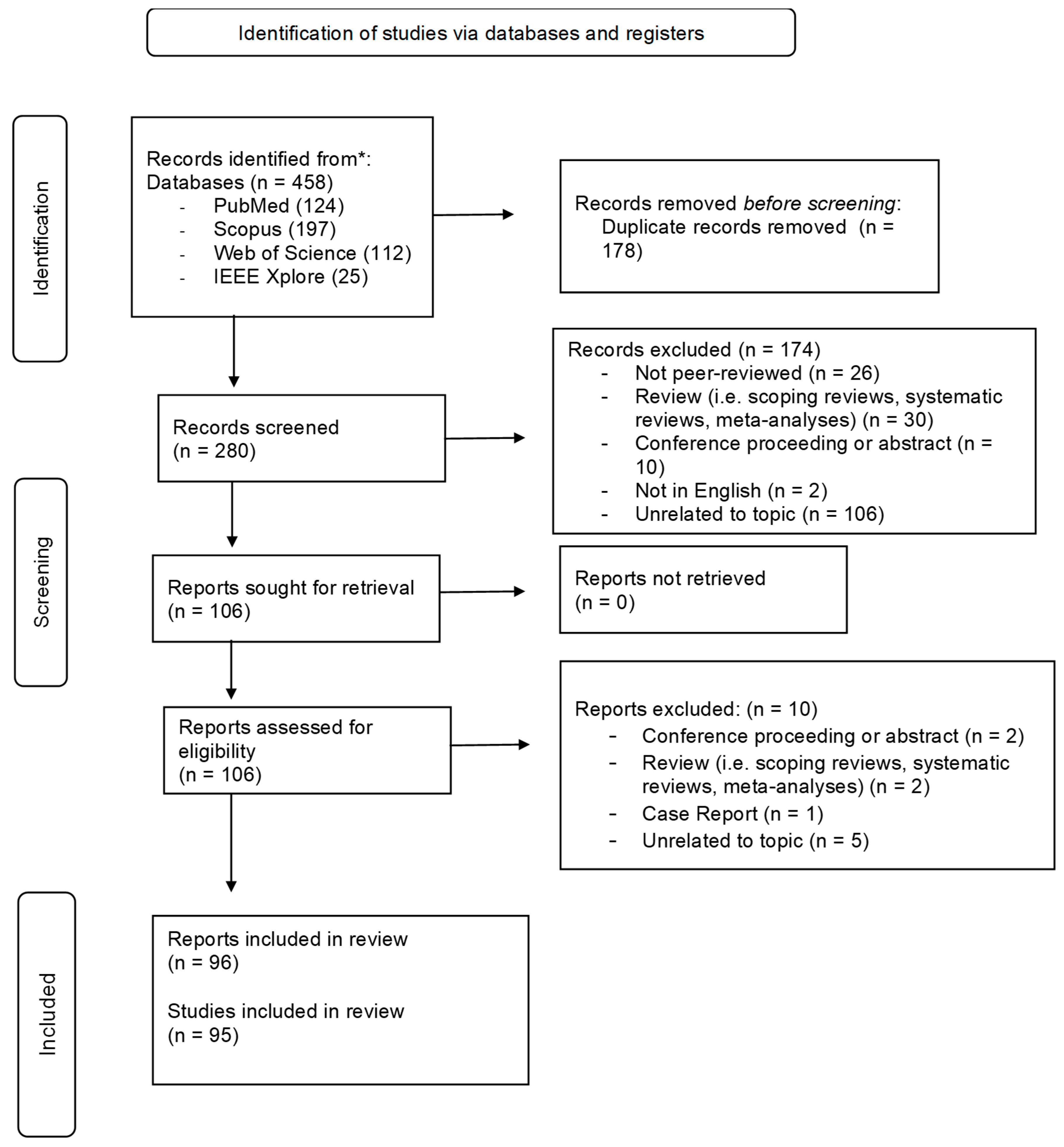
3.1. Overview of Study Selection
3.2. Publication Trends and Geographic Distribution
3.3. AI Techniques Used in Malocclusion Research
3.4. Clinical Applications of AI
3.5. Types of Malocclusion Conditions Studied
3.6. Key Themes and Patterns Identified
3.7. Performance of AI Models
3.8. Methodological Trends
3.9. Evidence Gaps and Limitations
4. Discussion
4.1. Summary of Findings
4.2. Comparison with Prior Reviews or Traditional Methods
4.3. Methodological Considerations in the Reviewed Studies
4.4. Clinical Implications
4.5. Limitations
4.6. Research Gaps and Future Directions
4.7. Conclusions
Author Contributions
Funding
Institutional Review Board Statement
Informed Consent Statement
Data Availability Statement
Acknowledgments
Conflicts of Interest
Appendix A. List of the 95 Reviewed Studies
| Author (Year) | Study Population | AI Type | Condition | Clinical Application | Outcomes and Notes |
| [12] | 16–45 years old | Machine learning (non-neural)-Random forest regression | Class III malocclusion | Overjet was the key predictor of craniofacial changes; most cephalometric measures showed significant postsurgical changes except SNA, A to NP, overbite, and lower lip to E-plane. | Overjet was a major predictor of post-surgical changes, strongly forecasting shifts in overjet and overbite. |
| [13] | Age not reported | Clinical software (AI-assisted) | Anterior Open Bite | The software efficiently diagnosed anterior open bite with 82.2% agreement to conventional methods, offering greater comprehensiveness and paving the way for future AI advancements. | The DFO software showed 82.2% agreement with conventional diagnosis (CFO); considered more comprehensive and reliable than CFO. |
| [14] | 15–30 years old | Deep learning-based segmentation models | Class I malocclusion | AI-based segmentation using CephX provides valid and reliable 3D tooth models. The authors recommended its clinical use in mild malocclusion cases where restorations are minimal | The AI-generated 3D tooth models showed high agreement with IOS and CBCT images. AI-based segmentation using CephX was efficient, reliable, and clinically applicable |
| [50] | 12–14 years old | Clinical software (AI-assisted) | Class III malocclusion | AI-based segmentation with CephX yields valid, reliable 3D tooth models and is recommended for clinical use in mild malocclusions with minimal restorations. | AI-driven analysis using Webceph was effective in detecting morphological differences |
| [15] | 13–14 years old | Commercial AI (undisclosed) | Classes I–III malocclusion | Right mandibular body length is a key marker for Class III malocclusion, with right-sided mandibular deviation more common. Webceph AI showed excellent repeatability (ICC > 0.97) and can assist in classification and aesthetic evaluation by detecting subtle asymmetries. | The Webceph AI tool reliably identified right mandibular body length and deviation direction as key malocclusion markers in Saudi females. |
| [16] | Age not reported | Machine-learning-based AI model | Mild, moderate, and severe malocclusion cases | AI models moderately predict orthodontic treatment outcomes, performing better for mild-to-moderate cases, and should complement clinical expertise. | AI models showed promise but struggled with complex cases, indicating they should support, not replace, clinical judgment. |
| [25] | Age not reported | Hybrid DL model | Conditions studied included mild, moderate, and severe dental crowding based on arch length discrepancy | The hybrid deep learning model with unsharp masking performed best. Image enhancement improved efficiency but without significant differences. The model shows diagnostic potential but needs larger dataset validation. | The hybrid DL model outperformed DenseNet201 and EfficientNetV2 in accuracy and precision across all enhancement methods. |
| [26] | Age not reported | Deep learning | Crowded vs. noncrowded dentition (no Angle classification) | Deep learning, especially MobileNetV3 Small with CLAHE, accurately classified dental crowding (90.7% accuracy), outperforming junior orthodontists. Image enhancements like CLAHE boosted performance. Future work should use larger datasets and multiple image types. | MobileNetV3 Small with CLAHE consistently outperformed other models and junior orthodontists, showing strong potential for clinical decision support in identifying dental crowding from occlusal images. |
| [52] | 18–60 years old | Deep learning based on Convolutional Neural Networks | Not specified | The program accurately detected nine facial measurements for automated orthognathic surgery analysis, though middle third and lower lip vermillion showed notable discrepancies. | The models were effective for automated facial analysis but limited by database size. |
| [42] | Age not reported | Deep learning-Fully Convolutional Neural Network | Class I, Class II (including half-cusp Class II), Super Class I, Class III, and unclassifiable | AI outperformed clinicians in malocclusion classification with high agreement but needs improvement in overjet/overbite measurements. Its multiphasic architecture is efficient but depends on strong initial training. | The AI outperformed clinicians in malocclusion classification but struggled with overjet and overbite measurements. |
| [97] | 18–32 years old | Deep-learning | Skeletal Class III malocclusion | Models accurately and reproducibly analyzed condyles in Class III patients, reducing operator variability. | The models effectively segmented and analyzed remodeling, showing significant regional changes despite minimal overall alterations. |
| [98] | 12–18 years old | Deep learning and convolutional neural networks | Classes I–III malocclusion | The AI provided faster, more consistent, and repeatable cephalometric analysis with reduced human error compared to manual tracing. | WeDoCeph results aligned more consistently with orthodontists, whereas WebCeph and CephX showed greater variability. |
| [47] | 4–60 years old | Deep learning | Classes I–III malocclusion | Hyperparameter tuning and augmentation improved model accuracy, while explainable AI enhanced transparency and clinical trust. | The model’s accuracy was 0.63–0.64 with hyperparameter tuning, improving 5–10% with augmentation; sensitivity ranged 0.59–0.65, specificity 0.80–0.81, and precision 0.61–0.62. |
| [27] | Age not reported | Deep learning, Convolutional Neural Network | Anterior crossbite | ResNet18 CNN accurately detects anterior crossbite in images and videos, supporting early malocclusion detection and remote screening. | ResNet18 CNN matched expert accuracy in classifying anterior crossbite from intraoral images and smartphone videos, offering high specificity and visualization-supported decisions. |
| [37] | 14–55 years old | Deep learning model | Classes I–III malocclusion | The models boosted diagnostic accuracy, reduced manual effort, and improved orthodontic screening efficiency. | The SPMA network robustly enhanced orthodontic diagnosis by improving efficiency and accuracy in malocclusion classification. |
| [74] | 12–25 years old | Vision-based machine learning | Spacing issues and misalignments but specific class of malocclusion not described | The model provides automated dental anomaly detection, reduces orthodontists’ workload, and enhances diagnostic accuracy. | The AI system demonstrated high agreement with orthodontist evaluations, suggesting strong clinical applicability. |
| [78] | 12–49 years old | Deep learning model, transformer models, and Minkowski convolutional neural networks | Focused on tooth and jaw relationships, but no specific class was assigned | The model allows 3D monitoring without extra radiation, faster and more efficient than manual analysis, improved patient safety, treatment accuracy, and potential for remote orthodontic monitoring. | The model developed a cross-temporal multimodal fusion system for orthodontic monitoring, achieving high segmentation accuracy and precision, significantly reducing clinical workload, and enabling future remote monitoring. |
| [35] | 18 years and older | Deep learning model based on Transformer architecture (VSP transformer) | Classes I–III malocclusion | The VSP transformer accurately predicted jaw repositioning with errors of 1.34 mm—much lower than previous ~5 mm—incorporating soft tissue features for better performance and clinical interpretability, aiding surgical planning. | The VSP transformer achieved better generalization than other models. MAE: 1.34 mm; R2 score: 0.5159 on the clinical test set. 94.89% of predictions within ±3 mm error margin. |
| [28] | 18 years and older | Machine learning (non-neural)—Random forest and decision tree models | Class III malocclusion | The models efficiently identified key smile asymmetric parameters, helping prioritize treatment focus areas through machine learning. | The models analyzed smile changes post-surgical-orthodontic treatment for skeletal Class III malocclusion and identified factors affecting outcomes. |
| [21] | Age not reported | Deep learning model using a cascaded neural network | Classes I–III malocclusion | The surgery-first approach matched traditional methods in facial asymmetric correction, supported by reliable AI-assisted automated cephalometric analysis. | AI-assisted cephalometric analysis showed high agreement (interrater reliability 0.90) and effectively automated landmark tracing, reducing manual variability. |
| [99] | 15 years and older | Web-based AI platform (WebCeph), deep learning-based automatic landmark detection | Classes I–III malocclusion | AI-based WebCeph offers reliable, efficient cephalometric analysis with clinically acceptable differences from manual measurements, though precision in complex landmarks needs improvement. It can streamline orthodontic workflows. | AI-based WebCeph provides clinically acceptable accuracy for most cephalometric measurements but requires improvement for condylion-related landmarks. |
| [92] | Age not reported | Deep learning-Convolutional neural network (CNN) for automated CBCT segmentation | Classes II–III malocclusion | AI improved CBCT analysis efficiency, reduced segmentation time, minimized interobserver variability, and enhanced surgical planning accuracy. | The AI-assisted workflow improved segmentation accuracy and enabled detailed condylar morphology analysis |
| [44] | 18 years and older | Machine learning | General occlusal factors related to TMD; not classified by Angle Class | The Random Forest model using seven features accurately predicted TMD risk, supporting early clinical assessment and prevention. | The Random Forest model showed excellent TMD risk prediction in adults, with SHAP analysis enhancing interpretability for clinical use. |
| [100] | 18 years and older | Machine learning-assisted | General malocclusion, not class-specific | The nomogram showed high predictive accuracy and clinical relevance, with an online tool enabling real-time TMD risk assessment for university students to guide early preventive interventions. | The constructed nomogram accurately predicts TMD risk in university students, supporting personalized orthodontic screening and early intervention. |
| [91] | 10–45 years old | Deep learning | Maxillary Transverse Deficiency (MTD) focus; no Angle classification | The models demonstrated clinical applicability for faster and more reliable MTD diagnosis in orthodontics | The deep learning model accurately detected basal bone width landmarks with near-clinical precision, significantly reducing orthodontic diagnostic time. |
| [55] | 16 years and older | Machine learning | Classes II–III malocclusion | Machine learning, especially combined models, predicts orthognathic surgery needs accurately; consensus diagnoses are easier to predict than final treatments, with Class III discrepancies predicted more reliably than Class II. | The combined ML approach successfully predicted orthognathic surgery necessity, performing better for Class III cases. Witts and ANB were the most influential cephalometric variables. |
| [45] | Age not reported | Deep learning facial landmark detection; rule-based heuristic classification | Class III malocclusion | AI-based skeletal Class III detection from profile images using heuristic rules is feasible, with a mobile-friendly model supporting early referral and screening. | Method 3 best balanced Class III detection and Class I/II misclassification, proving AI-driven malocclusion screening feasible using profile photos alone. |
| [79] | 18–39 years old | Deep learning | Classes I–III malocclusion | IFOP may serve as a clinical predictor in orthodontic treatment planning for APMP-related cases. | IFOP inclination showed the strongest correlation with APMP indicators and was the most reliable predictor of mandibular positioning in deep learning 3D models. |
| [19] | 16–22 years old | Rule-Based Decision Support System (non–machine learning) | Deepbite malocclusion (vertical discrepancy focus) | The rule-based AI DSS achieved 94.4% agreement with clinical treatments, maintaining 82% at the patient level, showing promise as a practical orthodontic decision support tool pending further validation. | The computerized DSS provided highly reliable and clinically acceptable deepbite treatment plans, closely matching actual orthodontic treatment outcomes |
| [41] | 34–64 years old | Deep learning | Not specified (focused on segmentation for all dental anatomies, including cases with missing teeth and artifacts) | The model accurately segmented teeth, bone, and PDL spaces with robust performance on noisy CBCT data, enabling efficient tooth separation and direct use in finite element simulations. | The deep learning model accurately and reliably segmented teeth and bone structures, preserving critical periodontal ligament gaps suitable for realistic orthodontic finite element modeling |
| [56] | 18–65 years old | Deep learning—Whisper AI speech detection, facial landmark tracking | General skeletal conditions | AI-based speech analysis is feasible and reliable for future clinical use in dental diagnostics. | AI systems effectively captured real-time mandibular movement during speech, revealing clear differences across occlusal parameters and age, showing strong clinical potential. |
| [101] | 18–65 years old | Deep learning, AI-driven speech processing, and facial landmark tracking | Not stated | AI-based tracking reduced operator errors and enabled real-time, radiation-free speech articulation mapping, with potential in prosthodontic planning and early orthodontic assessment. | Reliable tool for tracking jaw and facial movement during speech. Robust performance despite not reporting traditional AI metrics. |
| [102] | Age not reported for patients studied | Tree-based models. Neural networks. Instance-based learning. Margin-based classifiers. Linear models | Angle Class I, II, III, Open Bite, Mandibular Deviation | ARIA demonstrated strong real-world performance, with extremely accurate, sensitive, and reliable diagnostics. There was stable output across 3000 cycles: low error rates in real-time conditions | ARIA demonstrated strong real-world performance, with extremely accurate, sensitive, and reliable diagnostics. |
| [75] | Age not reported for patients studied | Tree-based models. Neural networks, Instance-based learning. Margin-based classifiers, Linear models. Probabilistic models | The study classified the need for surgery, not to classify by traditional malocclusion types. | Machine learning reliably predicts orthodontic surgery needs, enabling faster and more consistent treatment planning. | Decision Tree and Gradient Boosting provided excellent results for classifying surgical needs, showing high accuracy, sensitivity, and robustness even with small sample size. |
| [43] | 12–30 years old | Machine learning-Regression models. Support vector machine. Random forest | Skeletal Class II malocclusion | Machine learning models offer a new tool to assist orthodontists and patients in better planning treatment strategies. | The Random Forest model was the most effective and reliable method for predicting posttreatment facial esthetics in skeletal Class II camouflage extraction patients, providing clinically useful prediction accuracy. |
| [57] | 14–50 years old | Deep learning-Convolutional neural networks, Dynamic graph convolutional networks | Various malocclusions, unspecified | DC-Net segments 3D intraoral scans faster and more accurately than prior methods. Dynamic local feature learning (EdgeConv) boosts digital dentistry, with plans to add boundary smoothing and extend to implants and prosthetics. | DC-Net enabled fast (24 s vs. 5–15 min), accurate, and reliable 3D tooth segmentation, significantly reducing manual labor and errors in orthodontic workflows. |
| [58] | Age not reported for patients studied | Deep learning-Convolutional Neural Network | Classes I–III malocclusion | Cut-out preprocessing plus CNN modeling is a promising direction for more efficient malocclusion diagnosis for Class I, Class II, and Class III | Cut-out preprocessing plus CNN modeling is a promising direction for more efficient malocclusion diagnosis. |
| [54] | 6–12 years old | Deep learning models. nnU-Net. U-Net | General malocclusions (crowding, spacing, supernumerary teeth); no Angle Classifications | Model achieved expert-level classification and segmentation of CBCT scans, significantly improved workflow efficiency, strong robustness, and generalizability; future improvements needed for rare cases | AI significantly enhanced dental CBCT interpretation speed and accuracy, especially aiding junior dentists, with consistent performance across multiple clinical sites. |
| [29] | Age not reported for patients studied | Machine learning (non-neural)-Decision Tree, Random Forest, Support Vector Machine, Multilayer Perceptron | Malocclusions classified by Angle’s and skeletal classification; crowding, overjet, overbite, incisor inclination, vertical growth pattern, facial profile considered | Machine learning enhances clinical decision support but cannot replace orthodontist expertise. | The Decision Tree reliably predicted extraction decisions; machine learning aids feature identification but should complement, not replace, clinical judgment. |
| [34] | 10 years and older | Automatic segmentation model, unspecified deep learning architecture | General malocclusion patients were studied; no specific Angle Class (I, II, III) reported | A new 3D partitioning method using AI and intraoral scans was successfully developed to measure ERR. | AI-assisted methods reliably detected and quantified ERR in 3D with greater precision than traditional CBCT, offering valuable clinical orthodontic monitoring. |
| [32] | 3–69 years old | Deep learning-Convolutional Neural Networks | Classes I–III malocclusion | Deep learning CNNs (especially Inception-ResNetV2) can accurately predict skeletal parameters from lateral profile photographs. | The CNN predicted skeletal discrepancies from non-radiographic images with reasonable accuracy, offering a radiation-free preliminary orthodontic screening tool. |
| [59] | Age not reported for patients studied | Deep learning-Convolutional Neural Networks, GoogLeNet and VGG-16 architectures | General dentofacial deformities; specific Angle Classifications (Class II, III) referenced but not separated in analysis | Deep learning models assist residents in diagnosing condylar OA from panoramic TMJ images, helping overcome inexperience in clinical settings. | Both deep learning models significantly outperformed inexperienced dental residents in diagnosing condylar OA on Con-Pa and Open-TMJ images (p < 0.01). Open-TMJ images provided the best diagnostic performance for deep learning models (AUC 0.89). |
| [66] | 19–28 years old | Deep learning-Convolutional Neural Network | General dentofacial dysmorphosis including facial asymmetry, retrognathism, and prognathism | CNNs using facial photos effectively predict orthognathic surgery needs, aiding early skeletal screening but not replacing full clinical evaluations. | CNNs predicted orthognathic surgery needed from photos, highlighting lips, teeth, and chin as key discriminative features. |
| [85] | Age not reported for patients studied | Deep learning-DenseNet convolutional neural network | Skeletal Class I Class II and Class III | Deep learning CNNs can classify skeletal classes I, II, and III using cranio-spinal structures. DenseNet effectively extracts diagnostic features beyond the jawbone, enabling AI-driven classification without traditional landmarking. | CNNs classified skeletal classes using cranio-spinal features alone, with DenseNet effectively extracting key non-jawbone structures for accurate classification. |
| [86] | 6–50 years old | Deep learning-Two-stage Convolutional Neural Networks | Various malocclusions; not separated by specific Angle Classifications | CephNet achieved highly accurate automatic cephalometric landmark detection with clinically acceptable errors (<1 mm), showing robustness across malocclusion types and imaging conditions, supporting clinical use in orthodontic planning and monitoring. | CephNet accurately localized cephalometric landmarks across different machines, malocclusions, and image qualities, improving orthodontic diagnostic efficiency. |
| [60] | Age not reported for patients studied | Deep learning-Convolutional Neural Network | Skeletal Class I, Class II, and Class III (based on ANB angle measurements) | ResNet-101 classifies skeletal malocclusions from cephalometric radiographs without manual landmarking, enhancing clinical efficiency; further external validation is needed. | The AI model accurately classified skeletal relationships without manual landmarks, enabling faster orthodontic diagnosis support. |
| [61] | 10–40 years old | Deep learning-Convolutional Neural Network | Skeletal Class I, Class II, and Class III malocclusion | Deep learning (OCLU-NET) classifies skeletal occlusion from 3D dental scans more accurately than traditional models, supporting clinical orthodontic planning. Larger datasets and real-world testing are needed. | OCLU-NET outperformed traditional models in occlusion classification, showing strong potential to aid clinical orthodontic diagnosis despite preliminary status. |
| [38] | Age not reported for patients studied | Deep learning-Convolutional Neural Networks | Skeletal Class I, Class II, and Class III occlusions | Deep learning CNNs, especially Inception and DenseNet, accurately classify dental occlusion from 2D projections of 3D models, enabling automated, standardized diagnosis and faster treatment planning. Larger datasets and multicenter validation are required for clinical use. | Inception CNN balanced accuracy, precision, and recall best, reliably automating occlusion classification for clinical support. |
| [62] | 7–25 years old | Distance-Weighted Discrimination classifiers | Skeletal Class III Malocclusion | Class III malocclusion subtypes were identified using statistical learning (DWD method); mandibular prognathic subtype had higher surgery and failure rates, while maxillary deficient subtypes responded better to nonsurgical treatment. The SPM3 model shows promise for early prognosis prediction. | The SPM3 model predicted Class III subtypes’ surgical needs and treatment outcomes, enabling more personalized orthodontic care. treatment planning. |
| [33] | 5–12 years old | Machine learning (non-neural) Logistic Regression, Random Forest, Gradient Boosting | Skeletal Class I, Class II Division 1, Class II Division 2, and Class III malocclusion | A mobile app using machine learning effectively pre-screens skeletal malocclusions from profile photos, aiding early Class III detection and timely consultation. Logistic Regression with bagging performed best. Broader validation across ethnicities and devices is recommended. | The ML-based mobile app effectively supports early malocclusion detection, especially Class III, but requires professional orthodontic confirmation after screening. |
| [103] | Age not reported for patients studied | Machine learning-Random Forest, Classification and Regression Trees, Conditional Inference Tree, Linear Discriminant Analysis, Support Vector Machine, K-Nearest Neighbor | Skeletal Class III Malocclusion | Machine learning models (Random Forest, CART, CTREE) accurately predict chin relapses after two-jaw surgery, with ramus inclination change as the key predictor, aiding personalized surgical planning and monitoring. | Random Forest, CART, and CTREE effectively predicted chin relapse post two-jaw surgery, with ramus inclination change—especially clockwise rotation over 3.7°—as the strongest relapse predictor. |
| [73] | 6–8 years old | Clinical software (AI-assisted) | Classes I–III malocclusion | Digital cast analysis, manual or automatic, is clinically valid and faster than plaster methods. CS Model+ automates analysis, saving time but lacks accuracy in some categories. AI tools need further improvement for full clinical use. | Manual digital analysis aligns well with plaster models for most measurements, while automatic digital analysis is faster but less reliable for some categorical variables. midline alignment. |
| [48] | 8–10 years old | Deep learning-Convolutional Neural Network | Skeletal Class I Malocclusion | The GP-GCNN model predicts short-term craniofacial hard-tissue growth with clinical precision, but chin-area soft-tissue predictions remain error-prone. AI growth models hold promise for early orthodontic planning but need broader validation, especially for Class II/III and diverse populations over longer follow-ups. | The AI-assisted GP-GCNN model accurately predicted most hard-tissue craniofacial growth but struggled with chin-area soft-tissue landmarks, needing further refinement. |
| [22] | 0–40 years old | Machine learning-Random Forest, Logistic Regression, Support Vector Machine | Classes I–III malocclusion | Machine learning moderately predicts orthodontic extraction patterns from demographic and cephalometric data; larger datasets, clearer labels, and external validation are needed for improvement. | Random Forest best predicted U4 and U/L4 extractions, but machine learning struggled with less common extraction patterns. |
| [23] | 16–67 years old | Two-Stage Mesh Deep Learning (TS-MDL) system | Class I malocclusion with anterior crowding or spacing | Deep learning automation (TS-MDL) accurately tracked 3D malalignment correction with Invisalign. While no single tooth movement predicted treatment time, combined factors and pretreatment PAR scores correlated strongly. AI-assisted imaging enhances orthodontic analysis efficiency and reliability. | Deep learning automation enabled precise tracking of malocclusion correction over time, minimizing manual effort and errors in Invisalign treatment monitoring. |
| [70] | Age not reported | Diffusion Probabilistic Models with MeshMAE and PointNet++ feature extraction | General malocclusion (crowding, spacing, overjet, overbite, etc.) | TADPM with diffusion probabilistic models enhances automated tooth arrangement by combining 3D mesh and point cloud features, reliably predicting final occlusion—even in severe cases—with clinical validation confirming orthodontic standards. | TADPM achieved state-of-the-art results and markedly improved clinical acceptability for automated tooth alignment planning over previous methods. |
| [88] | 7–18 years old | Deep learning-Convolutional Neural Network | General malocclusion development; not limited to any one class | Dental arch dimensions vary by sex and region among Chinese adolescents, with peak growth at 13.7 years for males and 13.1 for females. Latitude correlates with arch width—northerners have wider arches. AI-assisted CNN measurement enables detailed orthodontic research, supporting region-specific treatment planning. | CNN-assisted segmentation reliably enabled large-scale 3D dental arch measurements, supporting valid growth curve analysis and regional comparisons. |
| [89] | 20–70 years old | Artificial Intelligence–based statistical modeling system | General prosthetic cases | AI-designed zirconia crowns were clinically acceptable, reproducible, and matched standards for occlusal contact and marginal fit, reducing manual variation. Larger trials are needed for full validation. | AI-designed crowns showed high surface accuracy, good marginal fit, and clinically acceptable occlusion, matching digital designs with greater reproducibility. |
| [90] | 18–35 years old | Rule-based geometry algorithm | Class III malocclusion | Automated design saved significant time, with AI and digital splints showing comparable surgical outcomes; vertical precision needs improvement for complex occlusions. | AI-generated splints matched manual digital splints in surgical simulation and live cases, reducing design time from minutes to about 10 s. |
| [104] | 19–28 years old | Deep learning-Transfer Learning with Convolutional Neural Networks | Skeletal Class III | The machine learning model measured a 21% facial symmetry improvement post-orthognathic surgery. Xception CNN with constant-value augmentation showed top classification accuracy. The web system improved doctor-patient communication and surgical outcome consistency, with potential for real-time planning and broader facial assessments. | The model quantified a 21% average 3D facial symmetry improvement post-surgery, enhancing surgical evaluation and communication. |
| [46] | 18 years old and up | Machine learning-Random Forest, AdaBoost, Multi-Layer Perceptron | Skeletal Class I, Class II, and Class III; Hypodivergent, Normodivergent, and Hyperdivergent | Machine learning, especially Random Forest, accurately discriminated skeletal discrepancies from 3D facial scans, with sagittal discrepancies identified better than vertical. PCA showed 87% of 3D facial variation is sagittal, highlighting soft tissue features as a promising non-invasive diagnostic tool. | Machine learning accurately classified skeletal discrepancies from 3D facial scans, with sagittal discrepancies easier to detect than vertical based on soft tissue morphology. |
| [63] | 18 years old | Machine learning-Random Forest, Gradient Boosting, Decision Tree, SVM, K-Nearest Neighbors, Logistic Regression, Artificial Neural Network | Skeletal Class I, Class II, and Class III | Random Forest predicted skeletal Class I–III malocclusions with 74% accuracy from CBCT airway landmarks, achieving highest sensitivity for Class III (77%) and precision for Class II (80%). The method shows clinical promise but needs further validation. | Random Forest outperformed Gradient Boosting, Logistic Regression, Decision Tree, SVM, KNN, and ANN in predicting skeletal class using airway and cephalometric data. |
| [67] | 7–44 years old | AI not specified | Classes II–III malocclusion | AI-assisted diagnosis could improve individualized orthodontic planning. | AI-assisted diagnosis could improve individualized orthodontic planning. |
| [53] | 6–18 years old | Neural network | Classes I–III malocclusion | The CFOD AI system achieved 100% agreement with orthodontists on key malocclusion decisions, improved referrals (GPs 10×, pediatric dentists 2×), and proved efficient and reliable for managing orthodontic referrals in public healthcare. | There was 100% agreement with expert orthodontists for cases in the A-P, transverse, and vertical diagnostic planes. |
| [31] | 4–14 years old | Deep learning, specifically 4 SOTA (state of the art) convolutional neural network (CNN) models | Classes I–III malocclusion | Deep learning models, especially DenseNet-121, accurately classified sagittal skeletal patterns in children, showing excellent performance for Class III malocclusions and potential for early orthodontic screening and treatment planning. | The DenseNet-121 AI program achieved over 90% accuracy and ~96.8% AUC with lateral cephalograms, showing strong potential as a reliable tool for diagnosing pediatric skeletal malocclusions. |
| [30] | Ages not reported for patients studied | Deep learning-CNN models (Conventional neural networks) | Frontal crossbite (KIG M4) and Lateral crossbite (KIG K4) | High crossbite detection accuracy on 2D photos, enabling remote diagnosis, virtual monitoring, and improved early referral by dentists and pediatricians. | CNN models (Xception, DenseNet, MobileNet) accurately detected crossbites on 2D intraoral images, with excellent binary classification performance and slightly lower accuracy for frontal vs. lateral cases, showing strong potential for AI-assisted orthodontic screening and triage. |
| [39] | Ages not reported for patients studied | AI-supported automated tracing technology designed for orthodontic applications. | Classes II–III malocclusion | AudaxCeph® AI reliably identifies cephalometric landmarks in severe Class II and III cases, though clinicians should verify less reliable points like Gonion and Porion. AI can streamline diagnostics, but oversight is essential. | AudaxCeph® showed clinically acceptable accuracy, with most landmark discrepancies within 2 mm of orthodontists’ manual tracings, aside from a few exceptions. |
| [68] | 5–49 years old | Machine learning (non-neural)-Support Vector Machines, K-Nearest Neighbors, Random Forest, Classification and Regression Trees, Linear Discriminant Analysis, and Generalized Linear Models | Classes I–III malocclusion | Machine learning, particularly a GLM using only SNA, SNB, and ML-NSL angles, reliably diagnosed skeletal Class I and III malocclusions in a German population, emphasizing mandibular sagittal and vertical positioning. The study recommended broader validation and integration of Class II diagnoses. | Certain models were able to achieve strong clinical accuracy |
| [64] | 18 years old and up | Deep learning model based on a U-Net architecture | Class II malocclusion | A CNN-based AI model reliably predicted cephalometric changes after nonextraction Class II treatment, showing high accuracy for maxillary and incisor landmarks and moderate accuracy for mandibular changes. Heatmap visualizations aid treatment planning and patient communication. Future research should expand generalizability and include extraction cases. | AI-assisted outcome prediction holds strong orthodontic potential, needing broader validation and inclusion of extraction cases in future research. |
| [65] | 21–26 years old | Back-propagation artificial neural network | Classes I–II malocclusion | A BP-ANN model reliably predicted pre-treatment dental and facial changes, with incisors easier to forecast than soft tissue. Key variables like lip position, Z angle, incisor inclinations, and facial convexity influenced aesthetics. Machine learning can aid personalized planning and extraction decisions. | The AI model achieved strong predictive accuracy. |
| [105] | 4–22 years old | General machine learning techniques focused on feature selection and dimensionality reduction | Class III malocclusion | Machine learning combined with Boruta and LASSO effectively predicted Class III malocclusion progression, highlighting overlooked cephalometric variables like SN-PP and L1-MP angles as key prognostic tools for early risk stratification. | After ten-fold cross-validation, the model achieved 79.13% accuracy, with Boruta identifying L1-MP, PP-SN, and SNB angles as key predictors. |
| [[81] | 13–27 years old | Linear regression and k-Nearest neighbor | These measurements are related to arch form and width, making the study relevant to malocclusion prevention but not tied to a specific malocclusion class like Class II or Class III. | k-Nearest neighbor effectively predicts dental arch measurements from incisor widths, enhancing diagnosis and personalized treatment to reduce anterior crowding. The study supports AI integration in orthodontics, urging broader validation for clinical use. | The k-Nearest neighbor algorithm outperformed linear regression, achieving ~99% accuracy with high correlation and minimal errors. |
| [106] | 7–12 years old | Artificial neural network | Classes I–III malocclusion | Thumb sucking, especially its duration, strongly associates with anterior open bite development. | The AI tool achieved an ROC AUC of 0.889, 77.8% sensitivity, and 100% specificity, with no false positives and a 22.2% false negative rate. |
| [87] | 14–18 years old | Convolutional neural networks | Classes I–III malocclusion | WebCeph™ and Cephio™ matched manual tracing for most measurements but require caution, especially for SNA, SN-PP, IMPA, and nasolabial angle. Automated AI tracing benefits diagnosis but needs refinement for critical landmarks to improve precision. | Automated cephalometric measurements by WebCeph™ and Cephio™ were clinically acceptable. |
| [107] | Ages not reported for patients studied | Deep learning | This study did not treat a specific class of malocclusion directly, but it was highly relevant to orthodontic and orthognathic surgical planning, including malocclusions typically addressed with cephalometric evaluations like Class II and Class III skeletal discrepancies | A lightweight deep learning model accurately and quickly detected diverse 3D cephalometric landmarks across varied datasets, showing clinical robustness and potential for integration into automated orthodontic and surgical planning to enhance efficiency and standardization. | The AI system had mean localization errors of ~1.96 mm (Finnish) and ~1.99 mm (Thai), with 61.7–64.3% of landmarks within 2 mm clinically acceptable limits; cephalometric characteristic accuracy was even higher. |
| [108] | 20–26 years old | Software-assisted landmark autodigitization system | Class III malocclusion | Cleft patients showed less predictable soft tissue movement, posteriorly positioned landmarks, and wider nasal structures compared to controls. Though bimaxillary surgery improved esthetics in both groups, cleft patients’ unique responses highlight the need for adjunctive procedures. AI-assisted 3D analysis aids in detecting these nuanced outcomes. | AI-assisted ON3D software reliability confirmed by consistent landmark identification in repeated digitization, though conventional metrics like accuracy and sensitivity were not reported. |
| [49] | 9–12 years old | Deep learning-based 3D convolutional neural network | Class II malocclusion | Both Twin Block and Functional Regulator II appliances effectively stimulated mandibular and condylar growth in skeletal Class II cases, with no significant differences in growth, volume, or positional changes, indicating comparable effectiveness. | In terms of performance, the 3D UX-Net segmentation achieved good accuracy. The AI- based segmentation also allowed for rapid model generation. |
| [109] | 19–29 years old | Convolutional neural networks | Classes II–III malocclusion | A deep learning model accurately predicted the need for orthognathic surgery from cephalometric images, showing strong potential as a screening tool in dental and surgical practice. | The AI tool achieved 95.4% accuracy, 84.4% sensitivity, and 99.3% specificity, demonstrating strong performance. |
| [110] | Ages not reported for patients studied | A modified convolutional neural network architecture based on SqueezeNet. | Classes I–III malocclusion | The DB4 Dental Classifier and Smart Search Engine outperformed Google in dental image recognition and classification, showing high accuracy and strong clinical and research potential. | The AI program achieved 93% categorical accuracy using the DB4 Smart Search Engine, with top-k categorical accuracy of 100% in training and validation, indicating excellent performance. |
| [111] | Ages not reported for patients studied | A fully convolutional deep neural network called the “You Only Look Once” (YOLO) model | Classes I–III malocclusion | The AI engine accurately detected and localized orthodontic issues from intraoral images, showing promise for orthodontic screening and expanding access through automated assessments. | The AI program achieved 99.99% accuracy, 99.79% precision, 100% recall, and an F1 score of 1.00, demonstrating excellent performance. |
| [20] | 7–12 years old | Artificial neural network | Classes I–III malocclusion | Thumb sucking and its duration were strongly linked to anterior open bite in children, while other factors showed no significance in the ANN model. | The AI tool achieved an AUC of 0.889, 77.8% sensitivity, 100% specificity, no false positives, and a 22.2% false negative rate. |
| [77] | 16–29 years old | Logistic Regression, Support Vector Machine (SVM), Multilayer Perceptron (MLP), k-Nearest Neighbor (kNN), Random Forest, Convolutional Neural Network (CNN), and Extreme Gradient Boosting (XGBoost). | Class III malocclusion | Key cephalometric measures—Wits appraisal, overjet, and Mx/Md ratio—were most influential in distinguishing surgical from non-surgical needs in adult Class III cases, aiding treatment planning. | The XGBoost model showed strong predictive reliability for both treatment groups. |
| [76] | 12–68 years old | Decision tree algorithms | Classes I–III malocclusion | AI decision processes improved patient compliance and behavior, while dental monitoring tools proved valuable for remote evaluation. | The AI tool improved patient interaction and discipline but showed no significant aligner tracking improvement for men. |
| [72] | Ages not reported for patients studied | Symbolic AI and machine learning | Classes I–II malocclusion | SmileMate AI showed only slight to moderate agreement with clinical assessments, making it unreliable for diagnosing malocclusions without clinician supervision. | The performance of the AI program in terms of outcomes showed an overall sensitivity of 72% and specificity of 54%. |
| [40] | Ages not reported for patients studied | Convolutional neural networks (CNNs) and Transformers | Classes I–III malocclusion | The study highlighted AI’s potential to revolutionize orthodontics by streamlining design and improving outcomes, while noting the need for further research in AI-assisted tooth alignment. | The AI tool showed promise in enhancing the efficiency and accuracy of orthodontic treatment planning, paving the way for further advancements in AI-assisted orthodontics. |
| [112] | Ages not reported for patients studied | XGBoost, AdaBoost, and ExtraTrees, as well as linear regression models. | Classes I–III malocclusion | Nine cephalometric features—covering tooth position, jaw alignment, and soft tissue morphology—significantly influenced expert evaluations. Machine learning showed potential to enhance accuracy and efficiency in orthodontic treatment assessment. | The XGBoost model achieved an MAE of 0.267, RMSE of 0.341, and Pearson’s r of 0.683 with nine features, indicating high predictive accuracy. |
| [71] | 14–45 years old | Not specified | Classes I–III malocclusion | Automated digital setup systems improved efficiency and showed clinical potential but still need refinement to match manual precision. | AI tool performance was evaluated against manual setups using linear and angular movement errors and the Peer Assessment Rating index. |
| [69] | 11–16 years old | Least squares regression, ridge regression, lasso regression, elastic net regression, XGBoost, random forest, and a neural network | Class I malocclusion | Early mandibular length, maxillary length, and lower face height best predicted post-pubertal mandibular length; Y-axis growth was predicted by prior Y-axis values, lower face height, and mandibular plane angle. Machine learning effectively predicted craniofacial growth, aiding orthodontic planning. | AI models predicted mandibular length with 95.8–97.6% accuracy and Y-axis growth with 96.6–98.3% accuracy. |
| [113] | Ages not reported for the patients studied | Deep learning | Not listed | AI can predict the maxillomandibular relationship from digitized teeth scans with reasonable accuracy, but clinical use is limited by errors above acceptable thresholds and reliance on stone cast–based training. | The AI showed discrepancies under 1.5° and 1.3 mm—feasible, but not yet clinically acceptable. |
| [36] | 12–65 years old | Convolutional neural networks | Classes I–III malocclusion | The study showed that lateral photographs can classify skeletal malocclusions without radiography, with AI outperforming orthodontists, especially in severe cases, and offering potential for early detection and self-health management in family medicine. | Model5 achieved 84.5% accuracy, 77.32% sensitivity, and 88.44% specificity, with all metrics for Class III malocclusion exceeding 90%. |
| [24] | 8–14 years old | Convolutional neural networks | Class III malocclusion | The deep learning model accurately predicted mandibular growth trends, outperforming junior orthodontists, by focusing on key cephalometric regions—the chin, mandible edge, incisor area—and unexpectedly, the airway, revealing new research opportunities. | The AI tool achieved 85% accuracy, 0.95 sensitivity, 0.75 specificity, and a 0.9775 AUC, outperforming junior orthodontists. |
| [114] | 4–14 years old | Gaussian Process Regression, Radial Basis Function Support Vector Machine, Quadratic Discriminant Analysis, Linear SVM, and others. Recursive Feature Elimination | Class III malocclusion | Machine learning, especially Gaussian Process Regression, can effectively classify pediatric Class III malocclusions using key cephalometric features—SN-GoMe, U1-NA, Overjet, and ANB—highlighting AI’s potential to improve early orthodontic diagnosis and treatment planning. | The GPR model achieved the best performance, with an AUC value of 0.879. Specific accuracies for dental, skeletal, and functional classifications varied, with dental Class III malocclusions achieving the highest accuracy at 87.50%. |
References
- Różańska-Perlińska, D.; Jaszczur-Nowicki, J.; Kruczkowski, D.; Bukowska, J.M. Dental Malocclusion in Mixed Dentition Children and Its Relation to Podal System and Gait Parameters. Int. J. Environ. Res. Public Health 2023, 20, 2716. [Google Scholar] [CrossRef]
- Lombardo, G.; Vena, F.; Negri, P.; Pagano, S.; Barilotti, C.; Paglia, L.; Colombo, S.; Orso, M.; Cianetti, S. Worldwide prevalence of malocclusion in the different stages of dentition: A systematic review and meta-analysis. Eur. J. Paediatr. Dent. 2020, 21, 115–122. [Google Scholar] [CrossRef]
- Jafari, A.K.; Baniasad, N.; Asadi, E.; Nadafpour, N. Effect of malocclusion severity on oral health and its correlation with socioeconomical status in Iranian adolescents. BMC Oral Health 2024, 24, 1301. [Google Scholar] [CrossRef]
- Almudhi, A.; Almohammad, I.; Alswayyed, S.; Eldwakhly, E.; Almugairin, S. The Efficacy of Diagnostic Plaster Models in Orthodontic Diagnosis and Treatment Planning. Diagnostics 2024, 14, 2124. [Google Scholar] [CrossRef]
- Bajwa, J.; Munir, U.; Nori, A.; Williams, B. Artificial intelligence in healthcare: Transforming the practice of medicine. Future Health J. 2021, 8, e188–e194. [Google Scholar] [CrossRef]
- Kazimierczak, N.; Kazimierczak, W.; Serafin, Z.; Nowicki, P.; Nożewski, J.; Janiszewska-Olszowska, J. AI in Orthodontics: Revolutionizing Diagnostics and Treatment Planning-A Comprehensive Review. J. Clin. Med. 2024, 13, 344. [Google Scholar] [CrossRef] [PubMed]
- Liu, J.; Zhang, C.; Shan, Z. Application of Artificial Intelligence in Orthodontics: Current State and Future Perspectives. Healthcare 2023, 11, 2760. [Google Scholar] [CrossRef] [PubMed]
- Jovel, J.; Greiner, R. An Introduction to Machine Learning Approaches for Biomedical Research. Front. Med. 2021, 8, 771607. [Google Scholar] [CrossRef] [PubMed]
- Esteva, A.; Chou, K.; Yeung, S.; Naik, N.; Madani, A.; Mottaghi, A.; Liu, Y.; Topol, E.; Dean, J.; Socher, R. Deep learning-enabled medical computer vision. npj Digit. Med. 2021, 4, 5. [Google Scholar] [CrossRef]
- Lindroth, H.; Nalaie, K.; Raghu, R.; Ayala, I.N.; Busch, C.; Bhattacharyya, A.; Moreno Franco, P.; Diedrich, D.A.; Pickering, B.W.; Herasevich, V. Applied Artificial Intelligence in Healthcare: A Review of Computer Vision Technology Application in Hospital Settings. J. Imaging 2024, 10, 81. [Google Scholar] [CrossRef]
- Nordblom, N.F.; Büttner, M.; Schwendicke, F. Artificial Intelligence in Orthodontics: Critical Review. J. Dent. Res. 2024, 103, 577–584. [Google Scholar] [CrossRef]
- Abdillah, M.I.; Hsin-Chung Cheng, J.; De-Shing Chen, D.; Li-Sheng Chen, S.; Ruslin, M.; Ranggang, B.M. Factors influencing craniofaciadental changes in skeletal Class III orthognathic surgery by using machine learning. J. Dent. Sci. 2025, 20, 919–926. [Google Scholar] [CrossRef]
- Akl, H.E.; Mostafa, Y.A. Digitization and validation of the open bite checklist manifesto: A step toward artificial intelligence. Angle Orthod. 2024, 94, 51–58. [Google Scholar] [CrossRef]
- Al-Ubaydi, A.S.; Al-Groosh, D. The Validity and Reliability of Automatic Tooth Segmentation Generated Using Artificial Intelligence. Sci. World J. 2023, 2023, 5933003. [Google Scholar] [CrossRef] [PubMed]
- Alam, M.K.; Alfawzan, A.A. Artificial Intelligence-based Assessment of Facial Symmetry Aesthetics of Saudi Arabian Population. Facial Plast. Surg. 2025, 41, 677–688. [Google Scholar] [CrossRef]
- Aljabri, M.; Aljameel, S.S.; Min-Allah, N.; Alhuthayfi, J.; Alghamdi, L.; Alduhailan, N.; Alfehaid, R.; Alqarawi, R.; Alhareky, M.; Shahin, S.Y.; et al. Canine impaction classification from panoramic dental radiographic images using deep learning models. Inform. Med. Unlocked 2022, 30, 100918. [Google Scholar] [CrossRef]
- Munn, Z.; Pollock, D.; Khalil, H.; Alexander, L.; McLnerney, P.; Godfrey, C.M.; Peters, M.; Tricco, A.C. What are scoping reviews? Providing a formal definition of scoping reviews as a type of evidence synthesis. JBI Evid. Synth. 2022, 20, 950–952. [Google Scholar] [CrossRef]
- Tricco, A.C.; Lillie, E.; Zarin, W.; O’Brien, K.K.; Colquhoun, H.; Levac, D.; Moher, D.; Peters, M.D.J.; Horsley, T.; Weeks, L.; et al. PRISMA Extension for Scoping Reviews (PRISMA-ScR): Checklist and Explanation. Ann. Intern. Med. 2018, 169, 467–473. [Google Scholar] [CrossRef]
- El-Dawlatly, M.M.; Abdelmaksoud, A.R.; Amer, O.M.; El-Dakroury, A.E.; Mostafa, Y.A. Evaluation of the efficiency of computerized algorithms to formulate a decision support system for deepbite treatment planning. Am. J. Orthod. Dentofac. Orthop. 2021, 159, 512–521. [Google Scholar] [CrossRef]
- Tanny, L.; Huang, B.; Shaweesh, A.; Currie, G. Characterisation of anterior open bite in primary school-aged children: A preliminary study with artificial neural network analysis. Int. J. Paediatr. Dent. 2021, 31, 576–582. [Google Scholar] [CrossRef] [PubMed]
- Choi, J.W.; Park, H.; Kim, B.S.I.; Kim, N.; Kwon, S.M.; Lee, J.Y. Surgery-First Orthognathic Approach to Correct Facial Asymmetry: Artificial Intelligence-Based Cephalometric Analysis. Plast. Reconstr. Surg. 2022, 149, 496e–499e. [Google Scholar] [CrossRef]
- Leavitt, L.; Volovic, J.; Steinhauer, L.; Mason, T.; Eckert, G.; Dean, J.A.; Dundar, M.M.; Turkkahraman, H. Can we predict orthodontic extraction patterns by using machine learning? Orthod. Craniofac. Res. 2023, 26, 552–559. [Google Scholar] [CrossRef]
- Lee, S.; Wu, T.H.; Deguchi, T.; Ni, A.; Lu, W.E.; Minhas, S.; Murphy, S.; Ko, C.C. Assessment of malalignment factors related to Invisalign treatment time aided by automated imaging processes. Angle Orthod. 2023, 93, 144–150. [Google Scholar] [CrossRef]
- Zhang, J.N.; Lu, H.P.; Hou, J.; Wang, Q.; Yu, F.Y.; Zhong, C.; Huang, C.Y.; Chen, S. Deep learning-based prediction of mandibular growth trend in children with anterior crossbite using cephalometric radiographs. BMC Oral Health 2023, 23, 28. [Google Scholar] [CrossRef]
- Alsubhi, R.; Alsharif, H.; Barashi, M.; Kadi, H. Classification of Dental Crowding Severity Using Hybrid Deep Learning Model. J. Int. Dent. Med. Res. 2024, 17, 1642–1649. [Google Scholar]
- Alsubhi, R.; Alsharif, H.; Kadi, H.; Barashi, M. Dental Crowding Prediction from Occlusal View Images Using Deep Learning. In Proceedings of the 2024 IEEE International Conference on Automatic Control and Intelligent Systems (I2CACIS), Shah Alam, Malaysia, 29 June 2024; pp. 95–100. [Google Scholar] [CrossRef]
- Chai, Z.; Wu, Z.; Zhang, C.; Song, J. Automated detection of anterior crossbite on intraoral images and videos utilizing deep learning. Int. J. Comput. Dent. 2024, 28, 193. [Google Scholar] [CrossRef]
- Chiang, P.C.; Hsin-Chung Cheng, J.; De-Shing Chen, D.; Hsu, C.C.; Cruz Moreira, R.A.; Chou, M.Y. Changes in smile parameters after surgical-orthodontic treatment for skeletal Class III malocclusion. J. Dent. Sci. 2024, 19, 1477–1485. [Google Scholar] [CrossRef]
- Huang, J.; Chan, I.-T.; Wang, Z.; Ding, X.; Jin, Y.; Yang, C.; Pan, Y. Evaluation of four machine learning methods in predicting orthodontic extraction decision from clinical examination data and analysis of feature contribution. Front. Bioeng. Biotechnol. 2024, 12, 1483230. [Google Scholar] [CrossRef]
- Noeldeke, B.; Vassis, S.; Sefidroodi, M.; Pauwels, R.; Stoustrup, P. Comparison of deep learning models to detect crossbites on 2D intraoral photographs. Head Face Med. 2024, 20, 45. [Google Scholar] [CrossRef]
- Nan, L.; Tang, M.; Liang, B.; Mo, S.; Kang, N.; Song, S.; Zhang, X.; Zeng, X. Automated Sagittal Skeletal Classification of Children Based on Deep Learning. Diagnostics 2023, 13, 1719. [Google Scholar] [CrossRef]
- Ito, S.; Mine, Y.; Urabe, S.; Yoshimi, Y.; Okazaki, S.; Sano, M.; Koizumi, Y.; Peng, T.Y.; Kakimoto, N.; Murayama, T.; et al. Prediction of a Cephalometric Parameter and Skeletal Patterns from Lateral Profile Photographs: A Retrospective Comparative Analysis of Regression Convolutional Neural Networks. J. Clin. Med. 2024, 13, 6346. [Google Scholar] [CrossRef]
- Kılıç, B.; İbrahim, A.H.; Aksoy, S.; Sakman, M.C.; Demircan, G.S.; Önal-Süzek, T. A family-centered orthodontic screening approach using a machine learning-based mobile application. J. Dent. Sci. 2024, 19, 186–195. [Google Scholar] [CrossRef]
- Huang, J.; Wang, M.; Tang, X.; Zheng, L.; Yang, C. Three-dimensional partitioning and quantification of orthodontic root resorption via automatic root extraction from cone-beam computed tomography. BMC Oral Health 2025, 25, 348. [Google Scholar] [CrossRef]
- Cheng, M.; Zhang, X.; Wang, J.; Yang, Y.; Li, M.; Zhao, H.; Huang, J.; Zhang, C.; Qian, D.; Yu, H. Prediction of orthognathic surgery plan from 3D cephalometric analysis via deep learning. BMC Oral Health 2023, 23, 161. [Google Scholar] [CrossRef]
- Zhang, H.; Liu, C.; Yang, P.; Yang, S.; Yu, Q.; Liu, R. The concept of AI-assisted self-monitoring for skeletal malocclusion. Health Inform. J. 2024, 30, 14604582241274511. [Google Scholar] [CrossRef]
- Chang, Q.; Bai, Y.; Wang, S.; Wang, F.; Liang, S.; Xie, X. Automated orthodontic diagnosis via self-supervised learning and multi-attribute classification using lateral cephalograms. Biomed. Eng. Online 2025, 24, 9. [Google Scholar] [CrossRef]
- Juneja, M.; Saini, S.K.; Kaur, H.; Jindal, P. Application of Convolutional Neural Networks for Dentistry Occlusion Classification. Wirel. Pers. Commun. 2024, 136, 1749–1767. [Google Scholar] [CrossRef]
- O’Friel, K.; Chapple, A.; Ballard, R.; Armbruster, P. Assessing AudaxCeph®’s cephalometric tracing technology versus a semi-automated approach for analyzing severe Class II and Class III skeletons. Int. Orthod. 2024, 22, 100926. [Google Scholar] [CrossRef]
- Wang, S.; Lei, C.; Liang, Y.; Sun, J.; Xie, X.; Wang, Y.; Zuo, F.; Bai, Y.; Li, S.; Liu, Y.-J. A 3D dental model dataset with pre/post-orthodontic treatment for automatic tooth alignment. Sci. Data 2024, 11, 1277. [Google Scholar] [CrossRef]
- Xu, P.; Gholamalizadeh, T.; Moshfeghifar, F.; Darkner, S.; Erleben, K. Deep-Learning-Based Segmentation of Individual Tooth and Bone With Periodontal Ligament Interface Details for Simulation Purposes. IEEE Access 2023, 11, 102460–102470. [Google Scholar] [CrossRef]
- Bardideh, E.; Lal Alizadeh, F.; Amiri, M.; Ghorbani, M. Designing an artificial intelligence system for dental occlusion classification using intraoral photographs: A comparative analysis between artificial intelligence-based and clinical diagnoses. Am. J. Orthod. Dentofac. Orthop. 2024, 166, 125–137. [Google Scholar] [CrossRef]
- Guo, R.; Tian, Y.; Li, X.; Li, W.; He, D.; Sun, Y. Facial profile evaluation and prediction of skeletal class II patients during camouflage extraction treatment: A pilot study. Head Face Med. 2023, 19, 51. [Google Scholar] [CrossRef]
- Cui, Y.; Kang, F.; Li, X.; Shi, X.; Zhang, H.; Zhu, X. Predicting temporomandibular disorders in adults using interpretable machine learning methods: A model development and validation study. Front. Bioeng. Biotechnol. 2024, 12, 1459903. [Google Scholar] [CrossRef]
- Demircan, G.S.; Kılıç, B.; Önal-Süzek, T. Early Diagnosis and Prediction of Skeletal Class III Malocclusion from Profile Photos Using Artificial Intelligence. In Proceedings of the 8th European Medical and Biological Engineering Conference, Portorož, Slovenia, 29 November–3 December 2020; Jarm, T., Cvetkoska, A., Mahnič-Kalamiza, S., Miklavcic, D., Eds.; Springer International Publishing: Cham, Switzerland, 2021; pp. 434–448. [Google Scholar]
- Mao, B.; Tian, Y.; Xiao, Y.; Li, J.; Zhou, Y.; Wang, X. Classification of skeletal discrepancies by machine learning based on three-dimensional facial scans. Int. J. Oral Maxillofac. Surg. 2025, 54, 747–756. [Google Scholar] [CrossRef]
- Cejudo Grano de Oro, J.E.; Koch, P.J.; Krois, J.; Garcia Cantu Ros, A.; Patel, J.; Meyer-Lueckel, H.; Schwendicke, F. Hyperparameter Tuning and Automatic Image Augmentation for Deep Learning-Based Angle Classification on Intraoral Photographs-A Retrospective Study. Diagnostics 2022, 12, 1526. [Google Scholar] [CrossRef]
- Larkin, A.; Kim, J.S.; Kim, N.; Baek, S.H.; Yamada, S.; Park, K.; Tai, K.; Yanagi, Y.; Park, J.H. Accuracy of artificial intelligence-assisted growth prediction in skeletal Class I preadolescent patients using serial lateral cephalograms for a 2-year growth interval. Orthod. Craniofac Res. 2024, 27, 535–543. [Google Scholar] [CrossRef]
- Shihabi, R.; Liu, Y.; Kusaibati, A.M.; Maraabeh, F.; Zhan, J.; Zhang, J.; Hu, L. Three-dimensional analysis of mandibular and condylar growth using artificial intelligence tools: A comparison of twin-block and Frankel II Appliances. BMC Oral Health 2025, 25, 254. [Google Scholar] [CrossRef]
- Alam, M.K.; Alfawzan, A.A. Evaluation of Sella Turcica Bridging and Morphology in Different Types of Cleft Patients. Front. Cell Dev. Biol. 2020, 8, 656. [Google Scholar] [CrossRef]
- Alam, M.K.; Alanazi, D.S.A.; Alruwaili, S.R.F.; Alderaan, R.A.I. Assessment of AI Models in Predicting Treatment Outcomes in Orthodontics. J. Pharm. Bioallied Sci. 2024, 16, S540–S542. [Google Scholar] [CrossRef]
- Barbosa, L.M.; Silva JÂ, A.; da Silva, J.I.S.; Ren, T.I.; Vasconcelos, B.; Filho, J.R.L. Artificial Neural Network-Assisted Facial Analysis for Planning of Orthognathic Surgery. J. Clin. Exp. Dent. 2024, 16, e1386–e1392. [Google Scholar] [CrossRef]
- Mohamed, M.; Ferguson, D.; Venugopal, A.; Alam, M.; Makki, L.; Vaiid, N. An artificial intelligence based referral application to optimize orthodontic referrals in a public oral healthcare system. Semin. Orthod. 2021, 27, 157–163. [Google Scholar] [CrossRef]
- Hu, Y.; Liu, C.; Liu, W.; Xiong, Y.; Zeng, W.; Chen, J.; Li, X.; Guo, J.; Tang, W. Fully automated method for three-dimensional segmentation and fine classification of mixed dentition in cone-beam computed tomography using deep learning. J. Dent. 2024, 151, 105398. [Google Scholar] [CrossRef]
- de Oliveira, P.H.J.; Li, T.; Li, H.; Gonçalves, J.R.; Santos-Pinto, A.; Gandini Junior, L.G.; Cevidanes, L.S.; Toyama, C.; Feltrin, G.P.; Campanha, A.A.; et al. Artificial intelligence as a prediction tool for orthognathic surgery assessment. Orthod. Craniofac. Res. 2024, 27, 785–794. [Google Scholar] [CrossRef]
- Farook, T.H.; Haq, T.M.; Ramees, L.; Dudley, J. Predictive modelling of freeway space utilising clinical history, normalised muscle activity, dental occlusion, and mandibular movement analysis. Sci. Rep. 2024, 14, 16423. [Google Scholar] [CrossRef]
- Hao, J.; Liao, W.; Zhang, Y.L.; Peng, J.; Zhao, Z.; Chen, Z.; Zhou, B.W.; Feng, Y.; Fang, B.; Liu, Z.Z.; et al. Toward Clinically Applicable 3-Dimensional Tooth Segmentation via Deep Learning. J. Dent. Res. 2022, 101, 304–311. [Google Scholar] [CrossRef]
- Harun, M.F.; Samah, A.A.; Shabuli, M.I.A.; Majid, H.A.; Hashim, H.; Ismail, N.A.; Abdullah, S.M.; Alias, A. Incisor Malocclusion Using Cut-out Method and Convolutional Neural Network. Prog. Microbes Mol. Biol. 2022, 5, a0000279. [Google Scholar] [CrossRef]
- Iwase, Y.; Sugiki, T.; Kise, Y.; Nishiyama, M.; Nozawa, M.; Fukuda, M.; Ariji, Y.; Ariji, E. Deep learning classification performance for diagnosing condylar osteoarthritis in patients with dentofacial deformities using panoramic temporomandibular joint projection images. Oral Radiol. 2024, 40, 538–545. [Google Scholar] [CrossRef]
- Johannes, T.; Akhilanand, C.; Joachim, K.; Shankeeth, V.; Anahita, H.; Saeed Reza, M.; Mohammad, B.; Hossein, M.R. Evaluation of AI Model for Cephalometric Landmark Classification (TG Dental). J. Med. Syst. 2023, 47, 92. [Google Scholar] [CrossRef]
- Juneja, M.; Singla, R.; Saini, S.K.; Kaur, R.; Bajaj, D.; Jindal, P. OCLU-NET for occlusal classification of 3D dental models. Mach. Vis. Appl. 2020, 31, 52. [Google Scholar] [CrossRef]
- Khosravi-Kamrani, P.; Qiao, X.; Zanardi, G.; Wiesen, C.A.; Slade, G.; Frazier-Bowers, S.A. A machine learning approach to determine the prognosis of patients with Class III malocclusion. Am. J. Orthod. Dentofac. Orthop. 2022, 161, e1–e11. [Google Scholar] [CrossRef]
- Marya, A.; Inglam, S.; Chantarapanich, N.; Wanchat, S.; Rithvitou, H.; Naronglerdrit, P. Development and validation of predictive models for skeletal malocclusion classification using airway and cephalometric landmarks. BMC Oral Health 2024, 24, 1064. [Google Scholar] [CrossRef]
- Park, J.H.; Kim, Y.-J.; Kim, J.; Kim, J.; Kim, I.-H.; Kim, N.; Vaid, N.R.; Kook, Y.-A. Use of artificial intelligence to predict outcomes of nonextraction treatment of Class II malocclusions. Semin. Orthod. 2021, 27, 87–95. [Google Scholar] [CrossRef]
- Peng, J.; Zhang, Y.; Zheng, M.; Wu, Y.; Deng, G.; Lyu, J.; Chen, J. Predicting changes of incisor and facial profile following orthodontic treatment: A machine learning approach. Head Face Med. 2025, 21, 22. [Google Scholar] [CrossRef]
- Jeong, S.H.; Yun, J.P.; Yeom, H.-G.; Lim, H.J.; Lee, J.; Kim, B.C. Deep learning based discrimination of soft tissue profiles requiring orthognathic surgery by facial photographs. Sci. Rep. 2020, 10, 16235. [Google Scholar] [CrossRef]
- Midlej, K.; Watted, N.; Awadi, O.; Masarwa, S.; Lone, I.M.; Zohud, O.; Paddenberg, E.; Krohn, S.; Kuchler, E.; Proff, P.; et al. Lateral cephalometric parameters among Arab skeletal classes II and III patients and applying machine learning models. Clin. Oral Investig. 2024, 28, 511. [Google Scholar] [CrossRef]
- Paddenberg-Schubert, E.; Midlej, K.; Krohn, S.; Schröder, A.; Awadi, O.; Masarwa, S.; Lone, I.M.; Zohud, O.; Kirschneck, C.; Watted, N.; et al. Machine learning models for improving the diagnosing efficiency of skeletal class I and III in German orthodontic patients. Sci. Rep. 2025, 15, 12738. [Google Scholar] [CrossRef]
- Wood, T.; Anigbo, J.O.; Eckert, G.; Stewart, K.T.; Dundar, M.M.; Turkkahraman, H. Prediction of the Post-Pubertal Mandibular Length and Y Axis of Growth by Using Various Machine Learning Techniques: A Retrospective Longitudinal Study. Diagnostics 2023, 13, 1553. [Google Scholar] [CrossRef]
- Lei, C.; Xia, M.; Wang, S.; Liang, Y.; Yi, R.; Wen, Y.-H.; Liu, Y.-J. Automatic tooth arrangement with joint features of point and mesh representations via diffusion probabilistic models. Comput. Aided Geom. Des. 2024, 111, 102293. [Google Scholar] [CrossRef]
- Woo, H.; Jha, N.; Kim, Y.-J.; Sung, S.-J. Evaluating the Accuracy of Automated Orthodontic Digital Setup Models. Semin. Orthod. 2023, 29, 60–67. [Google Scholar] [CrossRef]
- Vaughan, M.; Mheissen, S.; Cobourne, M.; Ahmed, F. Diagnostic accuracy of artificial intelligence for dental and occlusal parameters using standardized clinical photographs. Am. J. Orthod. Dentofac. Orthop. 2025, 167, 733–740. [Google Scholar] [CrossRef]
- Lam, M.; Hajdarević, A.; Čirgić, E.; Sabel, N. Validity of digital analysis versus manual analysis on orthodontic casts. J. World Fed. Orthod. 2024, 13, 221–228. [Google Scholar] [CrossRef] [PubMed]
- Chattopadhyay, J.; Deb, A.; Sharma, K.; Nawaid, K.A.; Gandhi, R.; Joshi, P.; Makkad, R.S. Creating and Testing a New Computer Vision System for Detecting Dental Problems in Orthodontic Patients. J. Pharm. Bioallied Sci. 2024, 16, S466–S468. [Google Scholar] [CrossRef]
- Ferro-Sánchez, C.; Romero-Cano, V.; Campo, O.; González-Vargas, A.; Díaz-Laverde, C. Machine Learning for the Classification of Surgical Patients in Orthodontics. In Proceedings of the Latin American Conference on Biomedical Engineering Brazilian Congress on Biomedical Engineering, Panama City, Panama, 2–5 October 2024; pp. 207–217. [Google Scholar]
- Thurzo, A.; Kurilová, V.; Varga, I. Artificial Intelligence in Orthodontic Smart Application for Treatment Coaching and Its Impact on Clinical Performance of Patients Monitored with AI-TeleHealth System. Healthcare 2021, 9, 1695. [Google Scholar] [CrossRef]
- Taraji, S.; Atici, S.F.; Viana, G.; Kusnoto, B.; Allareddy, V.S.; Miloro, M.; Elnagar, M.H. Novel Machine Learning Algorithms for Prediction of Treatment Decisions in Adult Patients With Class III Malocclusion. J. Oral Maxillofac. Surg. 2023, 81, 1391–1402. [Google Scholar] [CrossRef]
- Chen, H.; Qu, Z.; Tian, Y.; Jiang, N.; Qin, Y.; Gao, J.; Zhang, R.; Ma, Y.; Jin, Z.; Zhai, G. A cross-temporal multimodal fusion system based on deep learning for orthodontic monitoring. Comput. Biol. Med. 2024, 180, 109025. [Google Scholar] [CrossRef]
- Du, B.; Li, K.; Shen, Z.; Cheng, Y.; Yu, J.; Pan, Y.; Huang, Z.; Hu, F.; Rausch-Fan, X.; Zhu, Y.; et al. Feasibility of occlusal plane in predicting the changes in anteroposterior mandibular position: A comprehensive analysis using deep learning-based three-dimensional models. BMC Oral Health 2025, 25, 42. [Google Scholar] [CrossRef]
- Rao, R.S.; Kumar, C.G.; Prakasham, R.S.; Hobbs, P.J. The Taguchi methodology as a statistical tool for biotechnological applications: A critical appraisal. Biotechnol. J. 2008, 3, 510–523. [Google Scholar] [CrossRef]
- Rauf, A.M.; Mahmood, T.M.A.; Mohammed, M.H.; Omer, Z.Q.; Kareem, F.A. Orthodontic Implementation of Machine Learning Algorithms for Predicting Some Linear Dental Arch Measurements and Preventing Anterior Segment Malocclusion: A Prospective Study. Medicina 2023, 59, 1973. [Google Scholar] [CrossRef]
- Bichu, Y.M.; Hansa, I.; Bichu, A.Y.; Premjani, P.; Flores-Mir, C.; Vaid, N.R. Applications of artificial intelligence and machine learning in orthodontics: A scoping review. Prog. Orthod. 2021, 22, 18. [Google Scholar] [CrossRef]
- Monill-González, A.; Rovira-Calatayud, L.; d’Oliveira, N.G.; Ustrell-Torrent, J.M. Artificial intelligence in orthodontics: Where are we now? A scoping review. Orthod. Craniofac. Res. 2021, 24, 6–15. [Google Scholar] [CrossRef]
- Nayak, A.A.; Venugopala, P.S.; Ashwini, B.; Padmashree, G. A Study on AI Applications for Orthodontics and Malocclusion Detection Approaches. In Proceedings of the 2024 IEEE International Conference on Distributed Computing, VLSI, Electrical Circuits and Robotics (DISCOVER), Mangaluru, India, 18–19 October 2024; pp. 273–278. [Google Scholar] [CrossRef]
- Jeong, S.H.; Yun, J.P.; Yeom, H.G.; Kim, H.K.; Kim, B.C. Deep-Learning-Based Detection of Cranio-Spinal Differences between Skeletal Classification Using Cephalometric Radiography. Diagnostics 2021, 11, 591. [Google Scholar] [CrossRef]
- Jiang, F.; Guo, Y.; Yang, C.; Zhou, Y.; Lin, Y.; Cheng, F.; Quan, S.; Feng, Q.; Li, J. Artificial intelligence system for automated landmark localization and analysis of cephalometry. Dentomaxillofac. Radiol. 2023, 52, 20220081. [Google Scholar] [CrossRef]
- Sadek, M.; Alaskari, O.; Hamdan, A. Accuracy of web-based automated versus digital manual cephalometric landmark identification. Clin. Oral Investig. 2024, 28, 621. [Google Scholar] [CrossRef]
- Liu, C.; Chen, J.; Cui, M.; Wang, Z.; Shi, W.; Du, S.; Feng, Y.; Zhang, M.; Li, Z.; Ge, S.; et al. Dental Arch Development of Chinese Adolescents: A Retrospective Cross-Sectional Study. Int. Dent. J. 2025, 75, 1482–1492. [Google Scholar] [CrossRef]
- Liu, C.-M.; Lu, T.-Y.; Wang, C.-S.; Feng, S.-W.; Lin, Y.-C.; Lee, S.-Y.; Lin, W.-C. Evaluation of the accuracy, occlusal contact and clinical applications of zirconia crowns using artificial intelligence design versus human design. J. Dent. Sci. 2025, 20, 1665–1672. [Google Scholar] [CrossRef] [PubMed]
- Liu, Z.; Xu, C.; Zhu, Z.; Tai, Y.; Liu, Y.; Luo, E. Artificial Intelligence Splint in Orthognathic Surgery for Skeletal Class III Malocclusion: Design and Application. J. Craniofac. Surg. 2023, 34, 698–703. [Google Scholar] [CrossRef] [PubMed]
- Dai, J.; Guo, X.; Zhang, H.; Xie, H.; Huang, J.; Huang, Q.; Huang, B. Cone-beam CT landmark detection for measuring basal bone width: A retrospective validation study. BMC Oral Health 2024, 24, 1091. [Google Scholar] [CrossRef]
- Committeri, U.; Monarchi, G.; Gilli, M.; Caso, A.R.; Sacchi, F.; Abbate, V.; Troise, S.; Consorti, G.; Giovacchini, F.; Mitro, V.; et al. Artificial Intelligence in the Surgery-First Approach: Harnessing Deep Learning for Enhanced Condylar Reshaping Analysis: A Retrospective Study. Life 2025, 15, 134. [Google Scholar] [CrossRef]
- Liu, X.; Cruz Rivera, S.; Moher, D.; Calvert, M.J.; Denniston, A.K. Reporting guidelines for clinical trial reports for interventions involving artificial intelligence: The CONSORT-AI extension. Lancet Digit. Health 2020, 2, e537–e548. [Google Scholar] [CrossRef]
- Collins, G.S.; Moons, K.G.M.; Dhiman, P.; Riley, R.D.; Beam, A.L.; Van Calster, B.; Ghassemi, M.; Liu, X.; Reitsma, J.B.; van Smeden, M.; et al. TRIPOD+AI statement: Updated guidance for reporting clinical prediction models that use regression or machine learning methods. BMJ 2024, 385, e078378. [Google Scholar] [CrossRef] [PubMed]
- Tejani, A.S.; Klontzas, M.E.; Gatti, A.A.; Mongan, J.T.; Moy, L.; Park, S.H.; Kahn, C.E., Jr. Checklist for Artificial Intelligence in Medical Imaging (CLAIM): 2024 Update. Radiol. Artif. Intell. 2024, 6, e240300. [Google Scholar] [CrossRef]
- Pratticò, D.; Carlo, D.D.; Silipo, G.; Laganà, F. Hybrid FEM-AI Approach for Thermographic Monitoring of Biomedical Electronic Devices. Computers 2025, 14, 344. [Google Scholar] [CrossRef]
- Barone, S.; Cevidanes, L.; Bianchi, J.; Goncalves, J.R.; Giudice, A. Deep Learning-Based Three-Dimensional Analysis Reveals Distinct Patterns of Condylar Remodelling After Orthognathic Surgery in Skeletal Class III Patients. Orthod. Craniofac. Res. 2025, 28, 441–448. [Google Scholar] [CrossRef] [PubMed]
- Bor, S.; Ciğerim, S.; Kotan, S. Comparison of AI-assisted cephalometric analysis and orthodontist-performed digital tracing analysis. Prog. Orthod. 2024, 25, 41. [Google Scholar] [CrossRef]
- Çoban, G.; Öztürk, T.; Hashimli, N.; Yağci, A. Comparison between cephalometric measurements using digital manual and web-based artificial intelligence cephalometric tracing software. Dent. Press. J. Orthod. 2022, 27, e222112. [Google Scholar] [CrossRef]
- Cui, Y.; Kang, F.; Li, X.; Shi, X.; Zhu, X. A nomogram for predicting the risk of temporomandibular disorders in university students. BMC Oral Health 2024, 24, 1047. [Google Scholar] [CrossRef]
- Farook, T.H.; Ramees, L.; Dudley, J. Relationship between anterior occlusion, arch dimension, and mandibular movement during speech articulation: A three-dimensional analysis. J. Prosthet. Dent. 2025, 133, 881–887. [Google Scholar] [CrossRef]
- Feng, H.; Song, W.; Li, R.; Yang, L.; Chen, X.; Guo, J.; Liao, X.; Ni, L.; Zhu, Z.; Chen, J.; et al. A Fully Integrated Orthodontic Aligner With Force Sensing Ability for Machine Learning-Assisted Diagnosis. Adv. Sci. 2024, 12, e2411187. [Google Scholar] [CrossRef] [PubMed]
- Kim, Y.H.; Kim, I.; Kim, Y.J.; Kim, M.; Cho, J.H.; Hong, M.; Kang, K.H.; Lim, S.H.; Kim, S.J.; Kim, N.; et al. The prediction of sagittal chin point relapse following two-jaw surgery using machine learning. Sci. Rep. 2023, 13, 17005. [Google Scholar] [CrossRef] [PubMed]
- Lo, L.J.; Yang, C.T.; Ho, C.T.; Liao, C.H.; Lin, H.H. Automatic Assessment of 3-Dimensional Facial Soft Tissue Symmetry Before and After Orthognathic Surgery Using a Machine Learning Model: A Preliminary Experience. Ann. Plast. Surg. 2021, 86, S224–S228. [Google Scholar] [CrossRef]
- Perillo, L.; Auconi, P.; d’Apuzzo, F.; Grassia, V.; Scazzocchio, M.; Nucci, L.; McNamara, J.A.; Franchi, L. Machine learning in the prognostic appraisal of Class III growth. Semin. Orthod. 2021, 27, 96–108. [Google Scholar] [CrossRef]
- Revilla-León, M.; Kois, D.E.; Zeitler, J.M.; Att, W.; Kois, J.C. An overview of the digital occlusion technologies: Intraoral scanners, jaw tracking systems, and computerized occlusal analysis devices. J. Esthet. Restor. Dent. 2023, 35, 735–744. [Google Scholar] [CrossRef] [PubMed]
- Sahlsten, J.; Järnstedt, J.; Jaskari, J.; Naukkarinen, H.; Mahasantipiya, P.; Charuakkra, A.; Vasankari, K.; Hietanen, A.; Sundqvist, O.; Lehtinen, A.; et al. Deep learning for 3D cephalometric landmarking with heterogeneous multi-center CBCT dataset. PLoS ONE 2024, 19, e0305947. [Google Scholar] [CrossRef] [PubMed]
- Seo, J.; Yang, I.H.; Choi, J.Y.; Baek, S.H. Three-Dimensional Facial Soft Tissue Changes After Orthognathic Surgery in Cleft Patients Using Artificial Intelligence-Assisted Landmark Autodigitization. J. Craniofac. Surg. 2021, 32, 2695–2700. [Google Scholar] [CrossRef]
- Shin, W.; Yeom, H.-G.; Lee, G.H.; Yun, J.P.; Jeong, S.H.; Lee, J.H.; Kim, H.K.; Kim, B.C. Deep learning based prediction of necessity for orthognathic surgery of skeletal malocclusion using cephalogram in Korean individuals. BMC Oral Health 2021, 21, 130. [Google Scholar] [CrossRef]
- Talaat, S.; Kaboudan, A.; Talaat, W.; Kusnoto, B.; Sanchez, F.; Elnagar, M.H.; Ghoneima, A.; Bourauel, C. Improving the accuracy of publicly available search engines in recognizing and classifying dental visual assets using convolutional neural networks. Int. J. Comput. Dent. 2020, 23, 211–218. [Google Scholar]
- Talaat, S.; Kaboudan, A.; Talaat, W.; Kusnoto, B.; Sanchez, F.; Elnagar, M.H.; Bourauel, C.; Ghoneima, A. The validity of an artificial intelligence application for assessment of orthodontic treatment need from clinical images. Semin. Orthod. 2021, 27, 164–171. [Google Scholar] [CrossRef]
- Wang, X.; Zhao, X.; Song, G.; Niu, J.; Xu, T. Machine Learning-Based Evaluation on Craniodentofacial Morphological Harmony of Patients After Orthodontic Treatment. Front. Physiol. 2022, 13, 862847. [Google Scholar] [CrossRef]
- Wu, J.; Yuen, K.H.; Lee, Y.H.; Liu, Y.; Tsoi, J.K.H.; Lam, W.Y.H. The use of artificial intelligence in predicting maximal intercuspal position: A feasibility study. J. Prosthodont. Res. 2025, 69, 389–393. [Google Scholar] [CrossRef]
- Zhao, L.; Chen, X.; Huang, J.; Mo, S.; Gu, M.; Kang, N.; Song, S.; Zhang, X.; Liang, B.; Tang, M. Machine Learning Algorithms for the Diagnosis of Class III Malocclusions in Children. Children 2024, 11, 762. [Google Scholar] [CrossRef]

| Inclusion Criteria | Exclusion Criteria |
|---|---|
|
|
| Database & Search Date | Search Strategy & Filters | Number of Studies Found |
|---|---|---|
| PubMed 14 April 2025 | (“Artificial Intelligence” [Mesh] OR “Artificial Intelligence” [tiab] OR “AI” [tiab] OR “Machine Intelligence” [tiab] OR “Machine Learning” [tiab] OR “Computer Vision” [tiab] OR “Deep learning” [tiab]) AND (“Malocclusion” [Mesh] OR “Malocclusion” [tiab] OR “Occlusion” [tiab]) AND (“Dent*”) Filters: English & Publication Date | 124 |
| Scopus 14 April 2025 | TITLE-ABS ((“Artificial Intelligence” OR “AI” OR “Machine Intelligence” OR “Machine Learning” OR “Computer Vision” OR “Deep learning”) AND (“Malocclusion” OR “Occlusion”)) AND ALL ((“Dent*”)) AND PUBYEAR > 2019 AND PUBYEAR < 2026 AND (LIMIT-TO (LANGUAGE, “English”)) Filters: English & Publication Date | 197 |
| Web of Science 14 April 2025 | (TS = ((“Artificial Intelligence” OR “AI” OR “Machine Intelligence” OR “Machine Learning” OR “Computer Vision” OR “Deep learning”) AND (“Malocclusion” OR “Occlusion”))) AND ALL = ((“Dent*”)) Filters: English & Publication Date | 112 |
| IEEE Xplore 14 April 2025 | (“Artificial Intelligence” OR “AI” OR “Machine Intelligence” OR “Machine Learning” OR “Computer Vision” OR “Deep learning”) AND (“Malocclusion” OR “Occlusion”) AND (“Dent*”) Filters: English & Publication Date | 25 |
| Years | Total Number of Studies | Top Contributing Countries: Number of Studies |
|---|---|---|
| 2020–2021 | 16 | South Korea: 5, Saudi Arabia: 1, Australia: 1, Taiwan: 1, Turkey: 1, USA: 1, Germany: 2, India: 1, Egypt: 1, UAE: 1, Slovakia: 1 |
| 2022–2023 | 26 | China: 8, Saudi Arabia: 1, Germany: 2, South Korea: 3, Turkey: 1, Malaysia: 1, USA: 5, Iraq: 2, Denmark: 1, Australia: 1, Iran: 1 |
| 2024–2025 | 53 | Egypt: 1, Saudi Arabia: 3, Iraq: 1, Brazil: 2, Iran: 1, Turkey: 2, China: 20, India: 2, Taiwan: 3, Australia: 2, Colombia: 1, Japan: 2, Sweden: 1, South Korea: 1, Israel: 1, Denmark: 1, USA: 2, UAE: 1, Thailand: 2, Italy: 2, Germany: 1, UK: 1 |
| AI Type | Number of Studies | % of Total |
|---|---|---|
| CNN | 36 | 37.9% |
| Support Vector Machine, Random Forest | 35 | 36.8% |
| Deep learning | 15 | 15.8% |
| Hybrid/Ensemble methods | 1 | 1.1% |
| Others | 8 | 8.4% |
| Total | 95 | 100.0% |
| Clinical Application | Number of Studies * | Common AI Models Used |
|---|---|---|
| Diagnosis/classification | 55 | Deep learning-based segmentation models Convolutional Neural Networks (CNNs) WebCeph software |
| Treatment planning | 27 | WebCeph software 3D Slicer software Deep learning with transformer architectures |
| Severity assessment | 26 | EfficientNetV2 and DenseNet201 Custom CNNs YOLO-based models |
| Growth prediction | 3 | Vision Transformer Self-supervised pre-training architectures Hybrid deep learning models |
| Condition Category | Number of Studies * | Notes |
|---|---|---|
| Angle classification (I/II/III) | 56 | Includes any mention of Class I, II, or III malocclusion. |
| Anterior open bite | 2 | Specifically mentions of open bite. |
| Crossbite, crowding, asymmetry | 10 | Includes references to spacing, crowding, asymmetry, or crossbite. |
| Mixed/Other | 30 | Studies with general or unspecified malocclusion descriptions or where classification was unclear. |
| Category | Key Findings |
|---|---|
| Emerging patterns |
|
| Performance metrics | Accuracy Most AI tools achieved 80–95% accuracy [37,38], with multiple models exceeding 90% for malocclusion classification, cephalometric tracing, and 3D segmentation [39,40]. Top accuracy results included:
Sensitivity & Specificity Sensitivity and specificity were generally high, especially for clear-cut skeletal Class III and crossbite cases. Examples include:
Precision Several models showed high precision, especially those with preprocessing or task-specific architectures [38]. Reported values include:
Stability Many models demonstrated consistent performance across validation folds and test sets [47].
|
| Overall Outcomes | Across studies, AI tools consistently supported accurate diagnosis, faster workflows, and reduced manual effort [12,50,51,52,53].
|
| Methodological trends |
|
| Evidence Gaps | |
| Recommendations |
|
| Checklist Domain | Minimum Item to Report | Examples/Notes |
|---|---|---|
| Clinical aim | Intended use and clinical task | Screening vs. diagnosis vs. planning vs. monitoring; target malocclusion traits. |
| Population | Eligibility criteria and phenotype definitions | Define Angle class and other traits (overjet/overbite, crowding, asymmetry). |
| Data provenance | Source, centers, dates, and sample size | Single vs. multi-center; number of patients/images; missing data handling. |
| Demographics | Age/sex/ethnicity distribution | Report and justify; note representativeness of target population. |
| Imaging protocol | Device/protocol metadata and acquisition settings | Modality, vendor/model, geometry, resolution; exposure where applicable. |
| Reference standard | Labeling process and annotator expertise | Who labeled, guidelines used; inter-/intra-rater reliability. |
| Preprocessing | Preprocessing and augmentation pipeline | Normalization/CLAHE; augmentation types; applied only on training folds. |
| Data splitting | Train/validation/test strategy and leakage controls | Patient-level split; nested cross-validation when tuning; no overlap across splits. |
| Model details | Architecture and training configuration | Backbone, loss, optimizer, epochs, batch size; initialization/transfer learning. |
| Hyperparameters | Tuning strategy and search space | Grid/random/Bayesian; stopping rules; design of experiment/Taguchi as systematic option. |
| Evaluation | Primary metrics with uncertainty | Task-appropriate metrics, confidence intervals; calibration for probabilistic outputs. |
| External validity | External and cross-domain validation | Testing across sites/devices; domain shift analysis; harmonization/adaptation methods. |
| Subgroup analysis | Phenotype- and demographic-stratified performance | Rare phenotypes; fairness across demographics; error analysis and failure modes. |
| Interpretability & safety | Explanation method and clinical use | Grad-CAM/SHAP; how explanations are presented; safety monitoring plan. |
| Clinical workflow | Prospective workflow/user evaluation | Usability, chair time, acceptance; impact on decisions; reporting of adverse events. |
Disclaimer/Publisher’s Note: The statements, opinions and data contained in all publications are solely those of the individual author(s) and contributor(s) and not of MDPI and/or the editor(s). MDPI and/or the editor(s) disclaim responsibility for any injury to people or property resulting from any ideas, methods, instructions or products referred to in the content. |
© 2025 by the authors. Licensee MDPI, Basel, Switzerland. This article is an open access article distributed under the terms and conditions of the Creative Commons Attribution (CC BY) license.
Share and Cite
Hung, M.; Cohen, O.; Beasley, N.; Ziebarth, C.; Schwartz, C.; Parry, A.; Lipsky, M.S. Applications of Artificial Intelligence in Dental Malocclusion: A Scoping Review of Recent Advances (2020–2025). AI 2026, 7, 10. https://doi.org/10.3390/ai7010010
Hung M, Cohen O, Beasley N, Ziebarth C, Schwartz C, Parry A, Lipsky MS. Applications of Artificial Intelligence in Dental Malocclusion: A Scoping Review of Recent Advances (2020–2025). AI. 2026; 7(1):10. https://doi.org/10.3390/ai7010010
Chicago/Turabian StyleHung, Man, Owen Cohen, Nicholas Beasley, Cairo Ziebarth, Connor Schwartz, Alicia Parry, and Martin S. Lipsky. 2026. "Applications of Artificial Intelligence in Dental Malocclusion: A Scoping Review of Recent Advances (2020–2025)" AI 7, no. 1: 10. https://doi.org/10.3390/ai7010010
APA StyleHung, M., Cohen, O., Beasley, N., Ziebarth, C., Schwartz, C., Parry, A., & Lipsky, M. S. (2026). Applications of Artificial Intelligence in Dental Malocclusion: A Scoping Review of Recent Advances (2020–2025). AI, 7(1), 10. https://doi.org/10.3390/ai7010010

