Design and Implementation of a Position-Based Coordinated Formation System for Underwater Multiple Small Spherical Robots
Abstract
1. Introduction
2. Overview of the Underwater Small Spherical Robot
2.1. Underwater Small Spherical Robot System
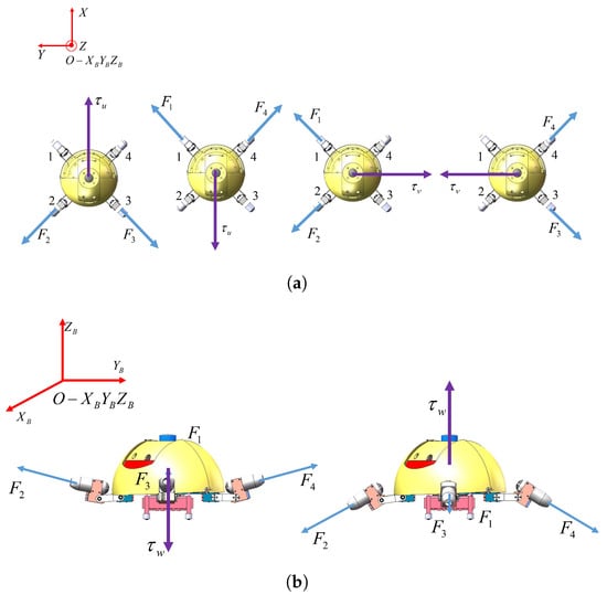
2.2. “X”-Shaped Motion Mode of the Underwater Small Spherical Robot
3. Position-Based Coordinated Formation Mechanism
3.1. Formation Scheme Based on Virtual Linkage Strategy
3.1.1. Mathematical Model of the Virtual Linkage
3.1.2. Position of the Left Virtual Linkage Structure
3.1.3. Position of the Right Virtual Linkage Structure
3.1.4. Formation Mechanism Based on the Virtual Linkage
3.2. Local Position Planning Strategy Based on Artificial Potential Field and Improved Consensus Method
3.2.1. The Local Point Planning Based on Artificial Potential Field
3.2.2. The Local Point Planning Based on the Improved Consensus
| Algorithm 1 The local position planning method combining the artificial potential field and the improved consensus |
|
3.3. Active Disturbance Rejection-Based Position Tracking Control Law
4. Simulation Results
4.1. Parameters Setting for Simulations
4.2. Verification of the Improved Consensus Algorithm for Local Point Planning
4.3. Verification of the APF for Local Point Planning
4.3.1. Avoiding Collision Among Robots
4.3.2. Avoiding Obstacles
4.4. Three-Dimensional Formation of Multiple Spherical Robots
4.4.1. Three-Dimensional Formation of Multi-Spherical Robot System in the Complex Environment
4.4.2. Formation Transformation of Multiple Spherical Robots in the Three-Dimensional Environment
5. Experimental Results and Analysis
5.1. Experiment Setting
5.2. Formation Experiment Result
6. Discussion
7. Conclusions and Future Work
Author Contributions
Funding
Institutional Review Board Statement
Informed Consent Statement
Data Availability Statement
Conflicts of Interest
References
- Dai, S.; Wu, Z.; Zhang, P.; Tan, M.; Yu, J. Distributed Formation Control for a Multirobotic Fish System with Model-Based Event-Triggered Communication Mechanism. IEEE Trans. Ind. Electron. 2023, 70, 11433–11442. [Google Scholar] [CrossRef]
- Zhou, Z.; Liu, J.; Yu, J. A Survey of Underwater Multi-Robot Systems. IEEE/CAA J. Autom. Sin. 2022, 9, 1–18. [Google Scholar] [CrossRef]
- Elmokadem, T.; Zribi, M.; Youcef-Toumi, K. Control for Dynamic Positioning and Way-point Tracking of Underactuated Autonomous Underwater Vehicles Using Sliding Mode Control. J. Intell. Robot. Syst. 2018, 95, 1113–1132. [Google Scholar] [CrossRef]
- Guo, J.; Liu, Z.; Song, Y.; Yang, C.; Liang, C. Research on Multi-UAV Formation and Semi-Physical Simulation with Virtual Structure. IEEE Access 2023, 11, 126027–126039. [Google Scholar] [CrossRef]
- He, S.; Wang, M.; Dai, S.L.; Luo, F. Leader-Follower Formation Control of USVs with Prescribed Performance and Collision Avoidance. IEEE Trans. Ind. Inform. 2018, 15, 572–581. [Google Scholar] [CrossRef]
- Rani, M.; Kumar, N. A neural network based efficient leader–follower formation control approach for multiple autonomous underwater vehicles. Eng. Appl. Artif. Intell. 2023, 122, 106102. [Google Scholar] [CrossRef]
- Wang, J.; Wang, C.; Wei, Y.; Zhang, C. Sliding mode based neural adaptive formation control of underactuated AUVs with leader-follower strategy. Appl. Ocean. Res. 2020, 94, 101971. [Google Scholar] [CrossRef]
- Tan, K.H.; Lewis, M.A. Virtual structures for high-precision cooperative mobile robotic control. In Proceedings of the IEEE/RSJ International Conference on Intelligent Robots and Systems, Osaka, Japan, 8 November 1996; Volume 1, pp. 132–139. [Google Scholar]
- Heshmati-alamdari, S.; Karras, G.C.; Kyriakopoulos, K.J. A Distributed Predictive Control Approach for Cooperative Manipulation of Multiple Underwater Vehicle Manipulator Systems. In Proceedings of the 2019 International Conference on Robotics and Automation (ICRA), Montreal, QC, Canada, 20–24 May 2019; pp. 4626–4632. [Google Scholar]
- Yan, X.; Jiang, D.; Miao, R.; Li, Y. Formation Control and Obstacle Avoidance Algorithm of a Multi-USV System Based on Virtual Structure and Artificial Potential Field. J. Mar. Sci. Eng. 2021, 9, 161. [Google Scholar] [CrossRef]
- Pan, W.; Jiang, D.; Pang, Y.; Qi, Y.; Luo, D. Distributed Formation Control of Autonomous Underwater Vehicles Based on Flocking and Consensus Algorithms. In Proceedings of the International Conference on Intelligent Robotics and Applications, Wuhan, China, 16–18 August 2017. [Google Scholar]
- Yan, T.; Xu, Z.; Yang, S.X. Consensus Formation Tracking for Multiple AUV Systems Using Distributed Bioinspired Sliding Mode Control. IEEE Trans. Intell. Veh. 2023, 8, 1081–1092. [Google Scholar] [CrossRef]
- Mokhtari, M.; Taghizadeh, M.; Mazare, M. Distributed consensus and formation control of multi-AUV systems under actuator faults and switching topology. Eur. J. Control 2024, 79, 101006. [Google Scholar] [CrossRef]
- Zhang, J.; Sha, J.; Han, G.; Liu, J.; Qian, Y. A Cooperative-Control-Based Underwater Target Escorting Mechanism with Multiple Autonomous Underwater Vehicles for Underwater Internet of Things. IEEE Internet Things J. 2020, 8, 4403–4416. [Google Scholar] [CrossRef]
- Xia, G.; Zhang, Y.; Yang, Y. Control Method of Multi-AUV Circular Formation Combining Consensus Theory and Artificial Potential Field Method. In Proceedings of the 2020 Chinese Control And Decision Conference (CCDC), Hefei, China, 22–24 August 2020; pp. 3055–3061. [Google Scholar] [CrossRef]
- Zhen, Q.; Wan, L.; Zhang, Y.; Jiang, D. Consensus-Based Formation Control and Gyroscopic Obstacle Avoidance for Multiple Autonomous Underwater Vehicles on SE(3). J. Mar. Sci. Eng. 2024, 12, 2350. [Google Scholar] [CrossRef]
- Hao, K.; Zhao, J.; Li, Z.; Liu, Y.L.; Zhao, L. Dynamic path planning of a three-dimensional underwater AUV based on an adaptive genetic algorithm. Ocean. Eng. 2022, 263, 112421. [Google Scholar] [CrossRef]
- Fan, X.; Guo, Y.; Liu, H.; Wei, B.; Lyu, W. Improved Artificial Potential Field Method Applied for AUV Path Planning. Math. Probl. Eng. 2020, 2020, 1–21. [Google Scholar] [CrossRef]
- Liu, Y.; Gao, J.; Liu, C.; Zhao, F.; Zhao, J. Reconfigurable Formation Control of Multi-Agents Using Virtual Linkage Approach. Appl. Sci. 2018, 8, 1109. [Google Scholar] [CrossRef]
- Yin, H.; Guo, S.; Liu, M. A Virtual Linkage-Based Dual Event-Triggered Formation Control Strategy for Multiple Amphibious Spherical Robots in Constrained Space with Limited Communication. IEEE Sens. J. 2022, 22, 13395–13406. [Google Scholar] [CrossRef]
- Hou, X.; Xing, H.; Guo, S.; Shi, H.; Yuan, N. Design and Implementation of a Model Predictive Formation Tracking Control System for Underwater Multiple Small Spherical Robots. Appl. Sci. 2024, 14, 294. [Google Scholar] [CrossRef]
- Wang, J.; Hu, X. Distributed Consensus in Multi-vehicle Cooperative Control: Theory and Applications. IEEE Control Syst. Mag. 2010, 30, 85–86. [Google Scholar]
- Li, A.; Guo, S.; Li, C. An Improved Motion Strategy with Uncertainty Perception for the Underwater Robot Based on Thrust Allocation Model. IEEE Robot. Autom. Lett. 2025, 10, 64–71. [Google Scholar] [CrossRef]
- Han, J. From PID to Active Disturbance Rejection Control. IEEE Trans. Ind. Electron. 2009, 56, 900–906. [Google Scholar] [CrossRef]
- Xing, H.; Guo, S.; Shi, L.; He, Y.; Su, S.; Chen, Z.; Hou, X. Hybrid Locomotion Evaluation for a Novel Amphibious Spherical Robot. Appl. Sci. 2018, 8, 156. [Google Scholar] [CrossRef]





















| Items | Parameters |
|---|---|
| Dimension (Width × Length × Height) | 30 cm × 60 cm × 30 cm |
| Mass in air | 6.5 kg |
| Max thrust | 3.8 N |
| Sensors | Pressure sensor (MS5803-14BA) IMU (3DM-GX5-45) Stereo camera Acoustic communication module (Micron Sonar) |
| Power | 7.4 V rechargeable Ni-MH batteries (13,200 mAh) |
| Operation time | Average 100 min |
| — | Robot1 | Robot2 | Robot3 |
|---|---|---|---|
| (m) | 0.076 | 0.168 | 0.079 |
| (m) | 0.076 | 0.085 | 0.081 |
| (m) | 0.054 | 0.054 | 0.054 |
| Robot ID | (m) | (m) |
|---|---|---|
| 1 | 0.05 | 0.09 |
| 2 | 0.09 | 0.12 |
| 1-2 | 0.09 | 0.13 |
Disclaimer/Publisher’s Note: The statements, opinions and data contained in all publications are solely those of the individual author(s) and contributor(s) and not of MDPI and/or the editor(s). MDPI and/or the editor(s) disclaim responsibility for any injury to people or property resulting from any ideas, methods, instructions or products referred to in the content. |
© 2025 by the authors. Licensee MDPI, Basel, Switzerland. This article is an open access article distributed under the terms and conditions of the Creative Commons Attribution (CC BY) license (https://creativecommons.org/licenses/by/4.0/).
Share and Cite
Hou, X.; Guo, S.; Li, Z.; Shi, H.; Yuan, N.; Xing, H. Design and Implementation of a Position-Based Coordinated Formation System for Underwater Multiple Small Spherical Robots. Oceans 2025, 6, 21. https://doi.org/10.3390/oceans6020021
Hou X, Guo S, Li Z, Shi H, Yuan N, Xing H. Design and Implementation of a Position-Based Coordinated Formation System for Underwater Multiple Small Spherical Robots. Oceans. 2025; 6(2):21. https://doi.org/10.3390/oceans6020021
Chicago/Turabian StyleHou, Xihuan, Shuxiang Guo, Zan Li, Huimin Shi, Na Yuan, and Huiming Xing. 2025. "Design and Implementation of a Position-Based Coordinated Formation System for Underwater Multiple Small Spherical Robots" Oceans 6, no. 2: 21. https://doi.org/10.3390/oceans6020021
APA StyleHou, X., Guo, S., Li, Z., Shi, H., Yuan, N., & Xing, H. (2025). Design and Implementation of a Position-Based Coordinated Formation System for Underwater Multiple Small Spherical Robots. Oceans, 6(2), 21. https://doi.org/10.3390/oceans6020021
