Design, Testing and Validation of a Cost Effective and Sustainable Bamboo Prosthetic Foot
Abstract
1. Introduction
2. Materials and Methods
2.1. Commercial Reference Model
2.2. Bamboo Laminate
2.3. Epoxy Resin DP490 Adhesive
2.4. Prosthetic Testing Setup
2.5. Bamboo Laminate Prosthetic Foot Design Method
- The thickness of the adhesive resin layers, for a optimal adhesive performance it is suggested to design structural subcomponents using thin adhesive layers, approximately 0.2 mm.
- The thickness of the bamboo laminate panels, commercially available in few thicknesses
2.6. Sole-Keel Hybrid Bonded-Bolted Joint
3. Prototype Fabrication
4. Results and Discussion
4.1. Commercial Prothesis Performance According to the ISO 22675 (2016)
4.2. Final Prototype Geometry and Dimensions Evaluations
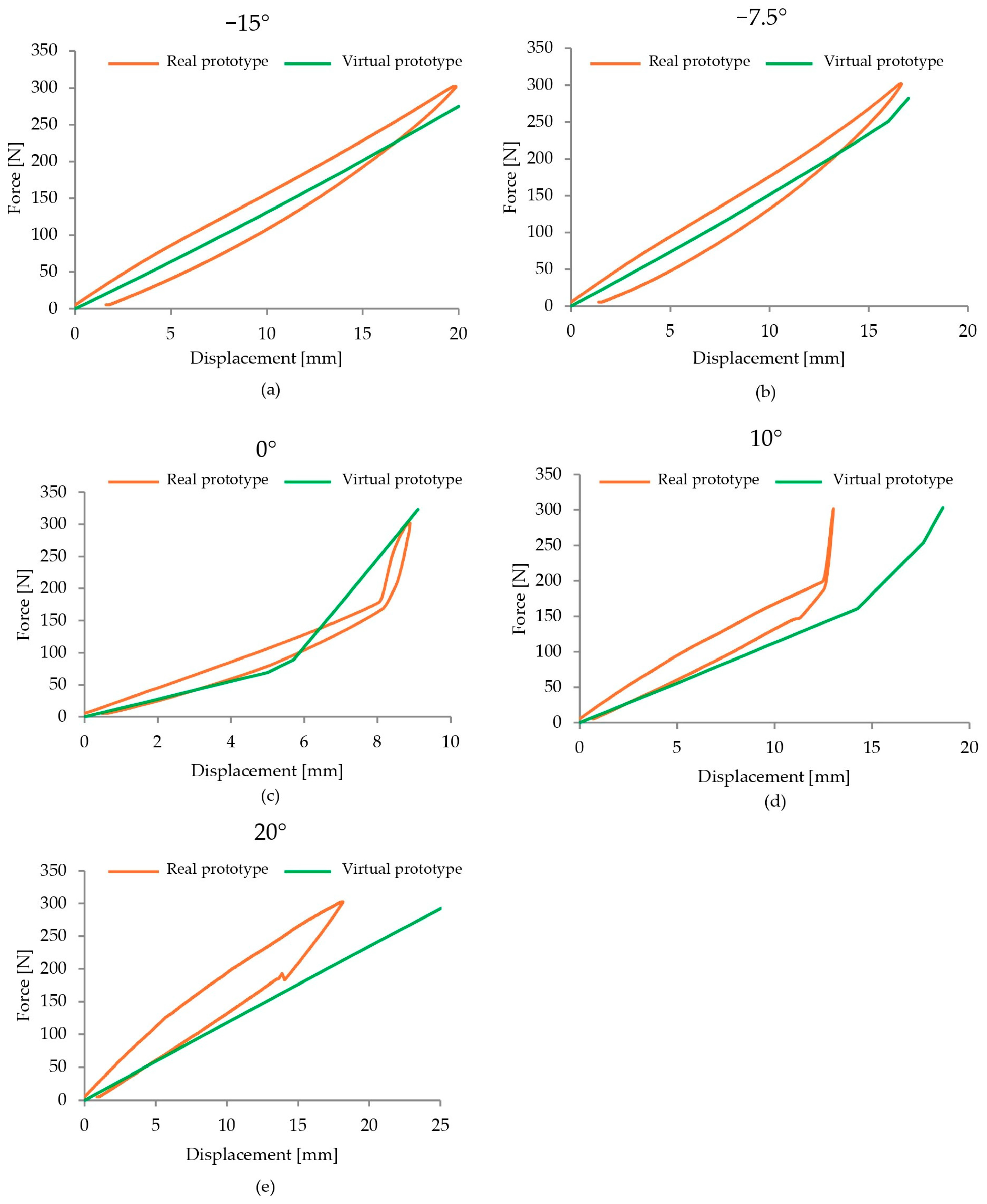
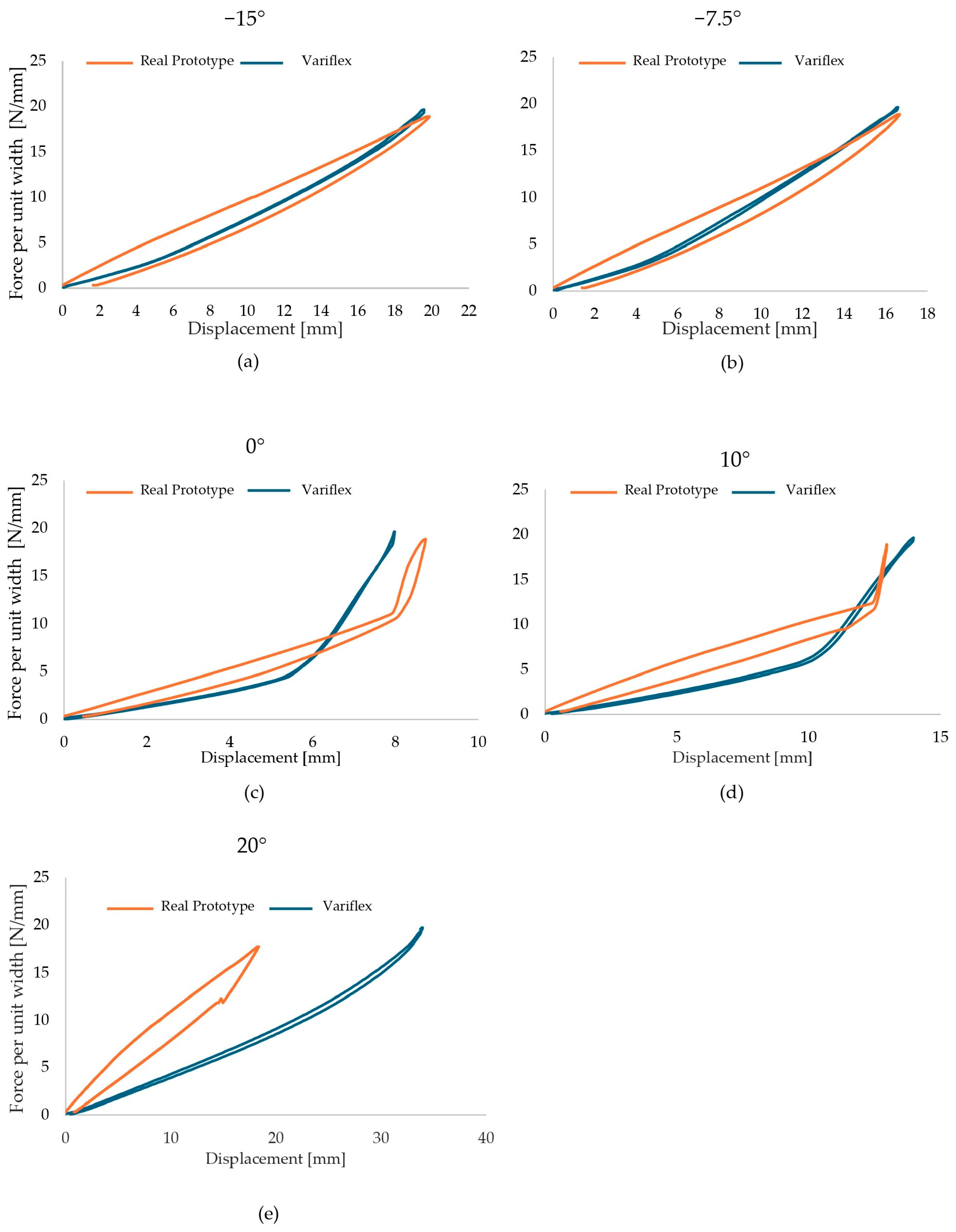
4.3. Bamboo Laminate Prosthetic Foot Prototype Testing and Validation Against the Commercial Model
- The excessive thickness of the keel, which reduces the flexibility of the anterior portion of the structure.
- Irregular adhesive layer thicknesses between the bamboo sheets, compromising the overall mechanical uniformity of the component.
5. Conclusions
Author Contributions
Funding
Institutional Review Board Statement
Informed Consent Statement
Data Availability Statement
Conflicts of Interest
References
- Kim, G.M.; Powell, J.E.; Lacey, S.A.; Butkus, J.A.; Smith, D.G. Current and emerging prostheses for partial hand amputation: A narrative review. PM&R 2023, 15, 392–401. [Google Scholar]
- Faraci, E.; Folli, E. Analisi Comparativa di Piedi Protesici Mediante Modellazione e Simulazione Dinamica dell’Amputato Transtibiale; Politecnico di Milano: Milan, Italy, 2020. [Google Scholar]
- Brunelli, S.; Bonanni, C.; Foti, C.; Traballesi, M. A literature review of the quality of life, health status and prosthesis satisfaction in older patients with a trans-tibial amputation. Can. Prosthet. Orthot. J. 2020, 2, 33640. [Google Scholar] [CrossRef] [PubMed]
- Zagoya-López, J.; Zúñiga-Avilés, L.A.; Vilchis-González, A.H.; Ávila-Vilchis, J.C. Foot/Ankle Prostheses Design Approach Based on Scientometric and Patentometric Analyses. Appl. Sci. 2021, 11, 5591. [Google Scholar] [CrossRef]
- Lathouwers, E.; Díaz, M.A.; Maricot, A.; Tassignon, B.; Cherelle, C.; Cherelle, P.; Meeusen, R.; De Pauw, K. Therapeutic benefits of lower limb prostheses: A systematic review. J. Neuroeng. Rehabil. 2023, 20, 4. [Google Scholar] [CrossRef]
- Sahoo, S.; Mohanty, R.K.; Mohapatra, A.K. A systematic review of energy storing dynamic response foot for prosthetic rehabilitation. Proc. Inst. Mech. Eng. Part H J. Eng. Med. 2024, 238, 1069–1090. [Google Scholar] [CrossRef]
- Liu, J.; Liu, J.; Cheah, P.Y.; Al Kouzbary, M.; Al Kouzbary, H.; Yao, S.X.; Shasmin, H.N.; Arifin, N.; Razak, N.A.A.; Abu Osman, N.A. Design and preliminary verification of a novel powered ankle–foot prosthesis: From the perspective of lower-limb biomechanics compared with ESAR foot. PLoS ONE 2024, 19, e0303397. [Google Scholar] [CrossRef] [PubMed]
- Adamczyk, P.G.; Kuo, A.D. Mechanical and energetic consequences of rolling foot shape in human walking. J. Exp. Biol. 2013, 216, 2722–2731. [Google Scholar] [CrossRef] [PubMed]
- Kaufman, K.R.; Bernhardt, K. Functional performance differences between carbon fiber and fiberglass prosthetic feet. Prosthet. Orthot. Int. 2021, 45, 205–213. [Google Scholar] [CrossRef]
- Al-Saleh, M.H.; Sundararaj, U. Review of the mechanical properties of carbon nanofiber/polymer composites. Compos. Part A Appl. Sci. Manuf. 2011, 42, 2126–2142. [Google Scholar] [CrossRef]
- Luxmed. Proprietà del Piede Protesico in Fibra di Carbonio. 2023. Available online: https://luxmedprotez.com/en/carbon-foot-prosthetic (accessed on 5 October 2024).
- Ramachandran, K.; Gnanasagaran, C.L.; Vekariya, A. Life cycle assessment of carbon fiber and bio-fiber composites prepared via vacuum bagging technique. J. Manuf. Process. 2023, 89, 124–131. [Google Scholar] [CrossRef]
- Hansen, A.H.; Meier, M.R.; Sessoms, P.H.; Childress, D.S. The effects of prosthetic foot roll-over shape arc length on the gait of trans-tibial prosthesis users. Prosthet. Orthot. Int. 2006, 30, 286–299. [Google Scholar] [CrossRef]
- Falbriard, M.; Huot, G.; Janier, M.; Chandran, R.; Rechsteiner, M.; Michaud, V.; Cugnoni, J.; Botsis, J.; Schönenberger, K.; Aminian, K. A functional approach towards the design, development, and test of an affordable dynamic prosthetic foot. PLoS ONE 2022, 17, e0266656. [Google Scholar] [CrossRef]
- Johnson, W.B.; Prost, V.; Mukul, P.; Winter, V.A.G. Design and evaluation of a high-performance, low-cost prosthetic foot for developing countries. J. Med. Devices 2022, 17, 011003. [Google Scholar] [CrossRef]
- Pandit, S.; Godiyal, A.K.; Vimal, A.K.; Singh, U.; Joshi, D.; Kalyanasundaram, D. An affordable insole-sensor-based trans-femoral prosthesis for normal gait. Sensors 2018, 18, 706. [Google Scholar] [CrossRef] [PubMed]
- Ryu, S.; Kim, J.; Sim, W.; Kim, S.H. Development of an elastic storage-release prosthetic foot that mimics the metatarsal bone head and midtarsal joint. J. Mech. Sci. Technol. 2023, 37, 2109–2117. [Google Scholar] [CrossRef]
- Martulli, L.M.; Sala, R.; Rollo, G.; Kostovic, M.; Lavorgna, M.; Sorrentino, A.; Gruppioni, E.; Bernasconi, A. Preliminary stiffnessdriven redesign of a laminated prosthetic component using additive manufacturing. Polymers 2023, 15, 346. [Google Scholar] [CrossRef]
- Ali, S.M.; Mahmood, S.S. Design and manufacturing of a low-cost prosthetic foot. Ing. Investig. 2023, 43, 1–11. [Google Scholar] [CrossRef]
- Holmes, J.W.; Brøndsted, P.; Sørensen, B.F.; Jiang, Z.; Sun, Z.; Chen, X. Development of a bamboo-based composite as a sustainable green material for wind turbine blades. Wind Eng. 2009, 33, 197–210. [Google Scholar] [CrossRef]
- Zea Escamilla, E. Development of Simplified Life Cycle Assessment (LCA) Methodology for Construction Materials and Buildings Outside of the European Context Through the Use of Geographic Information Systems. Ph.D. Thesis, ETH Zurich, Zurich, Switzerland, 2015. [Google Scholar]
- Gan, J.; Chen, M.; Semple, K.; Liu, X.; Dai, C.; Tu, Q. Life cycle assessment of bamboo products: Review and harmonization. Sci. Total Environ. 2023, 849, 157937. [Google Scholar] [CrossRef]
- Kampragkou, P.; Dabekaussen, M.; Kamperidou, V.; Stefanidou, M. Bio-additives in lime-based mortars: An investigation of the morphology performance. Constr. Build. Mater. 2025, 474, 141177. [Google Scholar] [CrossRef]
- Chung, M.-J.; Wang, S.-Y. Mechanical Properties of Oriented Bamboo Scrimber Boards Made of Phyllostachys pubescens (Moso Bamboo) from Taiwan and China as a Function of Density. Holzforschung 2018, 72, 151–158. [Google Scholar] [CrossRef]
- Zhang, J.; Fu, Y.J.; Yu, H.X.; Yuan, S.F. Mechanical properties of bamboo ply panels when exposed to artificial and outdoor aging. Adv. Mater. Res. 2013, 753–755, 823–828. [Google Scholar] [CrossRef]
- Össur. Prosthetic Feet. Available online: https://www.ossur.com/it-it/protesi/piedi/vari-flex (accessed on 21 June 2025).
- Elejoste, A.; Arevalillo, A.; Gabilondo, N.; Butron, A.; Peña-Rodriguez, C. Cristina Peña-Rodriguez Morphological Analysis of Several Bamboo Species with Potential Structural Applications. Polymers 2021, 13, 2126. [Google Scholar] [CrossRef] [PubMed]
- Ahmad, Y.; Hamzah, S.F. Study on specimens shapes for tensile test of Malaysia bamboo. In Proceedings of the 12th International Civil Engineering Post Graduate Conference (SEPKA), The 3rd International Symposium on Expertise of Engineering Design (ISEED), Johor, Malaysia, 27–28 August 2018. [Google Scholar]
- Dauletbek, A.; Li, H.; Lorenzo, R. A review of mechanical behavior of structural laminated bamboo lumber connections. Compos. Struct. 2023, 313, 116898. [Google Scholar] [CrossRef]
- Shi, J.; Li, Z.; Chen, H.; Wu, Z.; Ji, J.; Xia, C.; Zhong, T. Tunable bending characteristics of bamboo by regulating moisture content for bamboo curved component manufacturing. Ind. Crop. Prod. 2024, 221, 119365. [Google Scholar] [CrossRef]
- ISO 23478:2022; Bamboo Structures—Engineered Bamboo Products—Test Methods for Determination of Physical and Mechanical Properties. ISO: Geneva, Switzerland, 2022.
- Zhang, H.; Li, H.; Hong, C.; Xiong, Z.; Lorenzo, R.; Corbi, I.; Corbi, O. Size Effect on the Compressive Strength of Laminated Bamboo Lumber. J. Mater. Civ. Eng. 2021, 33, 04021161. [Google Scholar] [CrossRef]
- Caglar, H.; Idapalapati, S.; Sharma, M.; Sin, C.K. Stress analysis of glass fiber-reinforced polymer lap joints with modified adhesives at various temperatures. J. Compos. Sci. 2024, 8, 406. [Google Scholar] [CrossRef]
- Bernardin, P.; Sedlacek, F.; Kozak, J.; Kucerova, L.; Lasova, V. Identification of the cohesive parameters for modelling of bonded joints between flat composite adherends with thick layer of adhesive. Materials 2024, 17, 4880. [Google Scholar] [CrossRef]
- Carboni, M.; Panerai, A. Monitoring crack tip position in Cracked Lap Shear Specimens subjected to fatigue loading. Res. Rev. J. Nondestruct. Test. 2023, 1, 1–6. [Google Scholar] [CrossRef] [PubMed]
- ISO 22675:2024; Prosthetics—Testing of Ankle-Foot Devices and Foot Units—Requirements and Test Methods. International Organization for Standardization: Geneva, Switzerland, 2024.
- EN ISO 10326:2016; Mechanical Vibration—Testing of Vehicle Seats. CEN: Brussels, Belgium, 2016.
- Minuto, M.; Gruppioni, E.; Frascio, M. Design and Optimization of Bamboo-Laminate Prosthetic Feet: A Sustainable, Cost-Effective Alternative to Carbon Fiber Models; Sage: Thousand Oaks, CA, USA, 2024. [Google Scholar]
- Maggiore, S.; Banea, M.D.; Stagnaro, P.; Luciano, G. A review of structural adhesive joints in hybrid joining processes. Polymers 2021, 13, 3961. [Google Scholar] [CrossRef]
- Wright, R.S.; Bond, B.H.; Chen, Z. Steam bending of wood; Embellishments to an ancient technique. BioResources 2013, 8, 4793–4796. [Google Scholar] [CrossRef]
- Varga, D.; van der Zee, M.E. Influence of steaming on selected wood properties of four hardwood species. Eur. J. Wood Wood Prod. 2007, 66, 11–18. [Google Scholar] [CrossRef]
- Li, X.; Qu, P.; Kong, H.; Zhu, Y.; Hua, C.; Guo, A.; Wang, S. Multi-scale numerical analysis of damage modes in 3D stitched composites. Int. J. Mech. Sci. 2024, 266, 108983. [Google Scholar] [CrossRef]















| Tensile Modulus ∥ | Tensile Modulus ⊥ | Flexural Modulus |
|---|---|---|
| 8.8 GPa | 85 GPa | 14.8 GPa |
| Configuration angle | −15° | −7.5° | 0° | 10° | 20° |
| Displacement [mm] | 18 | 15 | 6 | 13.5 | 30 |
| Force reaction [N] | 1173 | 1173 | 1173 | 1173 | 1173 |
| Angle | −15° | −7.5° | 0° | 10° | 20° |
| Displacement [mm] | 18 | 15 | 6 | 13.5 | 30 |
| Target force [N] | 1173 | 1173 | 1173 | 1173 | 1173 |
| Weight [g] | Height [mm] | Apparent Stiffness [N/mm] | |
|---|---|---|---|
| Reference foot | 481 | 152 | 79.37 |
| Bamboo foot | 440 | 158 | 76.65 |
| Variation | −8.5% | +3.9% | −7.70% |
Disclaimer/Publisher’s Note: The statements, opinions and data contained in all publications are solely those of the individual author(s) and contributor(s) and not of MDPI and/or the editor(s). MDPI and/or the editor(s) disclaim responsibility for any injury to people or property resulting from any ideas, methods, instructions or products referred to in the content. |
© 2025 by the authors. Licensee MDPI, Basel, Switzerland. This article is an open access article distributed under the terms and conditions of the Creative Commons Attribution (CC BY) license (https://creativecommons.org/licenses/by/4.0/).
Share and Cite
Baldassari, L.; Minuto, M.; Gruppioni, E.; Frascio, M. Design, Testing and Validation of a Cost Effective and Sustainable Bamboo Prosthetic Foot. Prosthesis 2025, 7, 124. https://doi.org/10.3390/prosthesis7050124
Baldassari L, Minuto M, Gruppioni E, Frascio M. Design, Testing and Validation of a Cost Effective and Sustainable Bamboo Prosthetic Foot. Prosthesis. 2025; 7(5):124. https://doi.org/10.3390/prosthesis7050124
Chicago/Turabian StyleBaldassari, Luca, Matilde Minuto, Emanuele Gruppioni, and Mattia Frascio. 2025. "Design, Testing and Validation of a Cost Effective and Sustainable Bamboo Prosthetic Foot" Prosthesis 7, no. 5: 124. https://doi.org/10.3390/prosthesis7050124
APA StyleBaldassari, L., Minuto, M., Gruppioni, E., & Frascio, M. (2025). Design, Testing and Validation of a Cost Effective and Sustainable Bamboo Prosthetic Foot. Prosthesis, 7(5), 124. https://doi.org/10.3390/prosthesis7050124

