Quantum Anomalies as Intrinsic Algebraic Curvature: A Unified AQFT Interpretation of Renormalization Ambiguities
Abstract
1. Introduction and Motivation
1.1. Quantum Anomalies Versus Experimental Discrepancies
- Scope clarification.
1.2. AQFT, Renormalization as an Extension Problem, and the Stückelberg–Petermann Group
- Not a “solution” of renormalization.
- Renormalizability versus renormalization.
1.3. From Renormalization Freedom to Hochschild Cohomology
1.4. Interpretation as Intrinsic Algebraic Curvature
- What “curvature” is not
1.5. Relation to Known Anomaly Mechanisms
1.6. Ward–Takahashi Identities and Vertex Structures
1.7. Phenomenological Impetus and Scope
1.8. Main Contributions
- We construct, within pAQFT, a deformation of the observable product induced by infinitesimal changes of renormalization prescription and prove that is a Hochschild 2-cocycle. The cohomology class is identified as an intrinsic algebraic curvature associated with the net of local algebras.
- We establish conditions ensuring preservation of the ∗-structure, positivity on a dense domain, and locality to the first order in , and we derive a sufficient criterion for the Ward–Takahashi identities to hold up to .
- We develop a functorial bridge between and standard anomaly cohomology (axial, trace, gravitational) via the structure of time-ordered products and BRST complexes, thereby unifying several anomaly mechanisms at the algebraic level.
- We formulate dimensionless correlation relations among low-energy observables that follow from the tensorial decomposition of , and we outline how a single calibration of leads to predictions for other channels with controlled uncertainties.
1.9. Organization of the Paper
- Notation and conventions. We work in four spacetime dimensions with signature . Unless stated otherwise, . The formal parameter tracks the first-order deformation of the product induced by changes in renormalization prescription; it is distinct from any kinetic-mixing or phenomenological parameter bearing the same letter in other contexts.
2. Preliminaries on AQFT and Renormalization Ambiguities
2.1. Local Nets, States, and Dynamics
- Isotony: .
- Locality (Einstein causality): If (spacelike separated), then for all .
- Covariance: There exists an action of the isometry group (Poincaré in Minkowski) by automorphisms with .
- Time-slice axiom: If O contains a Cauchy surface for , then .
2.2. Microcausal Functionals and the Free-Field Star Product
2.3. Time-Ordered Products and Causal Factorization
2.4. Microlocal Extension and the Epstein–Glaser Program
- Existence: exists for all n with the stated axioms, by induction on n.
- Finite renormalization freedom: At each order, ambiguities correspond to local counterterms supported on diagonals, with the dimension bounded by the degree of divergence .
2.5. Normalization Conditions and Renormalization Schemes
- N0.
- Symmetry: is symmetric in its arguments.
- N1.
- Causal factorization (as above).
- N2.
- Unit: and for linear F.
- N3.
- Covariance: is natural with respect to isometries/embeddings.
- N4.
- Microlocal spectrum: wavefront set bounds are consistent with Hadamard structure.
- N5.
- Scaling: scaling degree bounds are compatible with canonical dimensions.
- N6.
- Unitarity: (causal unitarity).
- N7.
- Field independence: functional derivatives commute appropriately with .
2.6. The Stückelberg–Petermann Renormalization Group
2.7. Retarded Products and the Algebra of Interacting Observables
2.8. Example: in Four Dimensions
2.9. Summary of Structural Consequences
- A functorial assignment with time-ordered products encoding interactions and retarded products encoding dynamics.
- A finite-dimensional space of renormalization ambiguities at each order, localized on diagonals and controlled by scaling degree.
- A global, group-theoretic organization of scheme changes via , acting by formal local redefinitions on interactions and composite operators.
3. Algebraic Curvature as Hochschild Cohomology
3.1. Hochschild Cochains, Differential, and Gerstenhaber Bracket
3.2. First-Order Deformations and Classification by
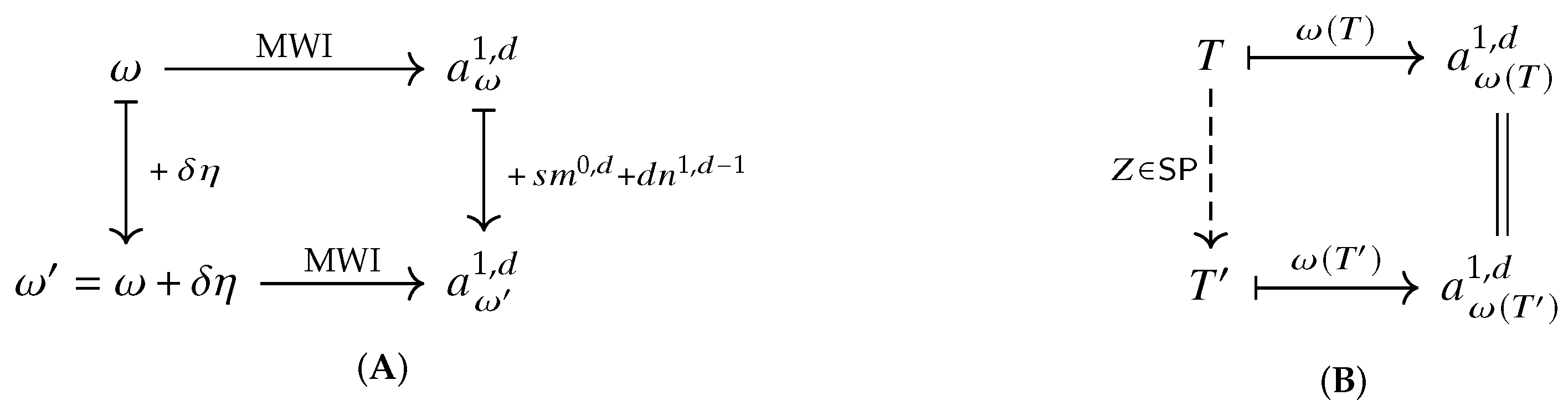
3.3. Scheme Changes ⇒ Hochschild 2-Cocycles
3.4. Locality, ∗-Structure, and Microcausality at First Order
3.5. Explicit Local Form of in pAQFT
3.6. Biderivations and Ward Identities at
3.7. Comparison with Standard Deformation Quantizations
3.8. Summary of the Cohomological Picture
4. Explicit Constructions of the Cocycle
4.1. Renormalization Maps as Local Differential Operators
4.2. Scalar Fields: Wick Monomials and Time-Ordered Products
- A worked example:
- Further scalar examples.
4.3. Dirac Fields: Currents and Spinor Bilinears
4.4. Curved Backgrounds and Curvature Dependence
4.5. Compatibility with the -Structure and Microcausality
4.6. Associativity Check on Generators
4.7. On the Nontriviality of
4.8. A No-Go Lemma for Trivialization by Local 1-Cochains
- Set-up and notation.
- Admissible local 1-cochains.
- (L1)
- Locality and covariance: is given on local generators by a finite sum of differential operators on the test function jets with locally covariant coefficient tensors (as in (20)). In particular, is contained in and is natural under isometric embeddings.
- (L2)
- Unit and field independence: and commutes with functional differentiation on microcausal functionals in the sense induced by the normalization N7 of time-ordered products (no explicit dependence on external test functions beyond the functional’s integrands).
- (L3)
- Filtration (no degree drop to 0): For any W with , the central component of vanishes, i.e., . Equivalently, whenever .
- (L4)
- Scaling bound: respects the scaling-degree bounds implied by the EG extension at the order considered (so the total derivative order is bounded by the degree of divergence, as in Proposition 3).
4.9. Summary
5. Ward–Takahashi Identities and Deformed Vertices
5.1. Setup: Background-Coupled Current and Relative S-Matrix
5.2. Master Ward Identity at First Order
5.3. Normalization of Contact Terms in the Ward–Takahashi Identity
- (i)
- A redefinition of the current by a local improvement term
- (ii)
- A finite wavefunction renormalization of the Dirac field,
5.4. Momentum Space WTI and the Vertex Decomposition
5.5. How Feeds the Transverse Form Factors
5.6. CP, P, and T Properties of
5.7. Example: Contact Terms and On-Shell Normalization
5.8. Comparison with Standard Star-Product Models
5.9. BRST/Slavnov–Taylor Generalization
5.10. Summary
6. Anomalies from Algebraic Curvature: The BRST/BV Bridge
6.1. Local BRST Bicomplex and Wess–Zumino Consistency
6.2. Anomalous Master Ward Identity in pAQFT
6.3. Constructing the Anomaly from the Cocycle
6.4. Definition of the Local Hochschild Complex and Construction of
- Local Hochschild complex.
- Locality means, for with mutually disjoint supports, ; equivalently, is supported on the total diagonal in configuration space.
- Covariance means is natural under embeddings of spacetimes , in the sense of locally covariant QFT [14]. In particular, for isometries h.
- Definition of .
- Well-definedness on cohomology.
- (i)
- If with , then for some local , hence .
- (ii)
- If T and are two renormalization schemes related by a Stückelberg–Petermann map Z, their cocycles lie in the same cohomology class and .
- Homomorphism property.
- Functoriality under embeddings.
- Summary.
6.5. Gauge, Mixed, and Weyl Anomalies
- Abelian and non-Abelian gauge anomalies.
- Mixed gauge–gravitational and pure gravitational anomalies.
- Weyl (trace) anomalies.
6.6. Descent and Index: Factoring Through Characteristic Classes
6.7. Scheme Independence and One-Loop Exactness
6.8. Examples: Recovering Known Anomaly Structures
- ABJ anomaly in .
- Weyl anomaly in .
6.9. Summary
7. Phenomenological Applications: Calibration and Correlation Laws
7.1. Observables and Form-Factor Normalizations
7.2. From Algebraic Curvature to Effective Operators
7.3. RG Evolution from to the Experimental Scales
7.4. Calibration of and Propagation
- Concreteness and testability.
7.5. Flavor Textures and Universal Correlation Laws
- Texture U (flavor-universal). independent of ℓ. Then and :
- Texture Y (Yukawa-aligned/MFV). with . Then and :
7.6. Rigorous Statements and Proofs
7.7. Uncertainty Propagation and Inference of
7.8. Beyond Dipoles: Additional Transverse Structures
- Anapole form factor (axialvector coupling), which contributes to parity-violating Møller and atomic observables. The cocycle components acting on axial currents generate local operators of the form in LEFT; these are suppressed by but can be relevant at Z-pole energies.
- Four-fermion operators mixing into under RG, e.g., ; their leading effect is encoded in the second line of (57) and is modeled by the same through the -tensor structure in the matter sector.
7.9. Consistency Checks: Dimensions, Limits, and Decoupling
7.10. Illustrative Worked Example (Symbolic)
7.11. Remarks on Hadronic and SM Backgrounds
7.12. Application to the Muon : Calibration and Predictions
- Texture U (flavor-universal): .
- Texture Y (Yukawa-aligned/MFV): with .
7.13. Vector-Portal (“Dark-Photon”) Foil: Loop Structure, Scaling, and Discriminants
- Qualitative comparison to algebraic curvature.
- Sign structure. Curvature can accommodate either sign for (through ), and different flavors can in principle have opposite signs. The minimal vector gives a positive contribution to all ℓ.
- EDM correlation. Curvature predicts (Equation (59)), so a nonzero phase forces a correlated EDM. The minimal dark photon has at one loop. Hence, any robust nonzero aligned with favors curvature over a pure dark photon.
- Flavor correlations. Curvature gives the mass ratio laws in Section 7.12 (Texture U or Y). For a dark photon, the flavor pattern is governed by : with f the loop integral in (70).
- Discriminant table (derived properties).
| Algebraic Curvature (This Work) | Vector Portal (Foil) | |
| Scaling in coupling | ||
| EDM at leading order | (CP–even) | |
| Sign of | model–dependent (both signs allowed) | positive (vector) |
| Flavor pattern | mass–ratio laws (U or Y textures) | loop |
| On–shell signatures | none required (no mediator) | visible/missing–energy signals |
- Notation note. We use exclusively for the algebraic curvature deformation and for kinetic mixing to avoid confusion.
8. Limitations and Extensions
8.1. Scope and Standing Assumptions
- A local, covariant associative product deformation with ;
- Preservation of the ∗-structure and microcausality at under the hypotheses of Section 4;
- Compatibility with Ward–Takahashi identities (WTIs) at modulo local contact terms fixed by normalization, Section 5;
- Afunctorial map to local anomaly classes, Section 6.
8.2. Higher Orders: Maurer–Cartan Tower and Obstructions in
8.3. Hypotheses for the Existence of a Local
- (H1)
- ω is a local Hochschild 2 cocycle supported on diagonals, covariant under embeddings, and a biderivation modulo local contacts (as in Section 3.6);
- (H2)
- The obstruction is locally δ-exact in the sense above, i.e., with χ itself local and covariant.
- Diagrammatic summary.
8.4. Net-Level and Wedge-Local Deformations
8.5. Operadic and Factorization-Algebra Lifts
8.6. Hopf-Algebraic Renormalization and the Curvature Class
8.7. Gravitational and Cosmological Sectors
- Two-parameter deformation.
- Decoupling and backreaction.
8.8. Outlook of This Section
9. Outlook and Conceptual Perspectives
9.1. Geometry on the Renormalization Torsor
9.2. Index Theory, Descent, and Anomaly Inflow
9.3. Anomalies as Invertible Field Theories and Categorical Lifts
9.4. Information Geometry, Modular Theory, and “Quantum Curvature”
9.5. Beyond Perturbation Theory and Low Dimensions
9.6. Programmatic Experimental Targets
- EDM– phase relation (63): , robust under running and matching.
- Flavor-scaling laws (Table 1): distinguish Texture U (universal) from Texture Y (Yukawa-aligned) by comparing to and to .
- Parity-violating observables: anapole contributions controlled by axial pieces of can be probed in polarized Møller scattering and atomic parity violation; correlations with dipoles test the tensor decomposition of .
9.7. Open Problems and Roadmap
- Higher orders: Prove the existence of local solutions to the obstruction equations in (72) for interacting models and classify under pAQFT axioms.
- BRST compatibility: Construct preserving biderivation properties relative to the BRST differential beyond the first order; relate to the renormalized BV Quantum Master Equation.
- Bulk refinement: Define a functor from to the spectrum classifying invertible -dimensional field theories, making fully functorial (beyond the local symbol).
- Modular geometry: Develop a rigorous link between and modular Berry/Uhlmann curvature for families of local KMS states; explore monotonicity constraints.
- Nonperturbative tests: Implement first-order deformations in wedge-local/integrable models and compute observable shifts.
- Gravitational decoupling: Construct and analyze Weyl anomalies purely from algebraic curvature, including conditions for scheme independence in curved backgrounds.
9.8. Concluding Perspective
Funding
Data Availability Statement
Conflicts of Interest
Appendix A. Microlocal Preliminaries and Explicit Constructions of ω
Appendix A.1. Wavefront Sets, Scaling Degree, and Microcausal Functionals
Appendix A.2. Free-Field Star Product, Time-Ordered Products, and EG Extension
Appendix A.3. Scalar Model: :ϕ2: and :ϕ3: Examples (Full Details)
- The calculation.
- The calculation.
- Cocycle check.
Appendix A.4. Dirac Fields: Current–Field and Current–Current Products
Appendix A.5. Curvature Dependence via Hadamard Coefficients
Appendix B. Associativity to Second Order and Obstructions in HH 3
Appendix B.1. Gerstenhaber Calculus and the Maurer–Cartan Tower
Appendix B.2. Second-Order Obstruction and Locality
Appendix B.3. Preservation of ∗-Structure and Microcausality
Appendix B.4. Biderivations Modulo Contact Terms and WTIs
Appendix C. Anomalous Master Ward Identity in pAQFT
Appendix C.1. BV Setup and Renormalized Time-Ordered Products
Appendix C.2. Quantum Master Equation and the MWI
Appendix C.3. Effect of the Product Deformation
Appendix C.4. Current WTIs as a Special Case
Appendix D. SMEFT → LEFT Matching and RG Evolution for Dipoles
Appendix D.1. Warsaw Basis, Electroweak Breaking, and Photon Dipole
Appendix D.2. One-Loop Running in SMEFT (Symbolic Form)
Appendix D.3. QED Running in LEFT
Appendix D.4. Pipeline Summary
Appendix E. Phenomenological Tables, Units, and Uncertainty Propagation
Appendix E.1. Masses, Kinematic Factors, and Unit Conversions
Appendix E.2. Texture Predictions in Terms of Δaμ
- Texture U (universal).
- Texture Y (Yukawa-aligned).
Appendix E.3. Uncertainty Propagation
Appendix E.4. Illustrative Tables (Symbolic)
| Texture U | 1 | ||
| Texture Y |
References
- Adler, S.L. Axial-vector vertex in spinor electrodynamics. Phys. Rev. 1969, 177, 2426–2438. [Google Scholar] [CrossRef]
- Bell, J.S.; Jackiw, R. A PCAC puzzle: π0→γγ in the σ-model. Nuovo Cim. A 1969, 60, 47–61. [Google Scholar] [CrossRef]
- Duff, M.J. Twenty years of the Weyl anomaly. Class. Quantum Grav. 1994, 11, 1387–1404. [Google Scholar] [CrossRef]
- Wess, J.; Zumino, B. Consequences of anomalous Ward identities. Phys. Lett. B 1971, 37, 95–97. [Google Scholar] [CrossRef]
- Alvarez-Gaumé, L.; Witten, E. Gravitational anomalies. Nucl. Phys. B 1984, 234, 269–330. [Google Scholar] [CrossRef]
- Brunetti, R.; Fredenhagen, K. Microlocal analysis and interacting quantum field theories: Renormalization on physical backgrounds. Commun. Math. Phys. 2000, 208, 623–661. [Google Scholar] [CrossRef]
- Rejzner, K. Perturbative Algebraic Quantum Field Theory: An Introduction for Mathematicians; Mathematical Physics Studies; Springer: Berlin/Heidelberg, Germany, 2016. [Google Scholar]
- Hollands, S.; Wald, R.M. Local Wick polynomials and time ordered products of quantum fields in curved spacetime. Commun. Math. Phys. 2001, 223, 289–326. [Google Scholar] [CrossRef]
- Hollands, S.; Wald, R.M. Existence of local covariant time ordered products of quantum fields in curved spacetime. Commun. Math. Phys. 2002, 231, 309–345. [Google Scholar] [CrossRef]
- Stueckelberg, E.C.G.; Petermann, A. La normalisation des constantes dans la théorie des quanta. Helv. Phys. Acta 1953, 26, 499–520. [Google Scholar]
- Brunetti, R.; Dütsch, M.; Fredenhagen, K. Perturbative algebraic quantum field theory and the renormalization groups. Adv. Theor. Math. Phys. 2009, 13, 1541–1599. [Google Scholar] [CrossRef]
- Gerstenhaber, M. On the deformation of rings and algebras. Ann. Math. 1964, 79, 59–103. [Google Scholar] [CrossRef]
- Haag, R. Local Quantum Physics: Fields, Particles, Algebras, 2nd ed.; Springer: Berlin/Heidelberg, Germany, 1996. [Google Scholar]
- Brunetti, R.; Fredenhagen, K.; Verch, R. The generally covariant locality principle—A new paradigm for local quantum physics. Commun. Math. Phys. 2003, 237, 31–68. [Google Scholar] [CrossRef]
- Hörmander, L. The Analysis of Linear Partial Differential Operators I; Springer: Berlin/Heidelberg, Germany, 1983. [Google Scholar]
- Scharf, G. Finite Quantum Electrodynamics: The Causal Approach, 2nd ed.; Springer: Berlin/Heidelberg, Germany, 1995. [Google Scholar]
- Steinmann, O. Perturbation Expansions in Axiomatic Field Theory; Lecture Notes in Physics 11; Springer: Berlin/Heidelberg, Germany, 1971. [Google Scholar]
- Bär, C.; Fredenhagen, K. (Eds.) Quantum Field Theory on Curved Spacetimes: Concepts and Mathematical Foundations; Lecture Notes in Physics 786; Springer: Berlin/Heidelberg, Germany, 2009. [Google Scholar]
- Radzikowski, M.J. Micro-local approach to the Hadamard condition in quantum field theory on curved space-time. Commun. Math. Phys. 1996, 179, 529–553. [Google Scholar] [CrossRef]
- Hochschild, G. On the cohomology groups of an associative algebra. Ann. Math. 1945, 46, 58–67. [Google Scholar] [CrossRef]
- Cartan, H.; Eilenberg, S. Homological Algebra; Princeton University Press: Princeton, NJ, USA, 1956. [Google Scholar]
- Gerstenhaber, M. The cohomology structure of an associative ring. Ann. Math. 1963, 78, 267–288. [Google Scholar] [CrossRef]
- Nijenhuis, A.; Richardson, R.W., Jr. Cohomology and deformations in algebraic structures. Bull. Am. Math. Soc. 1966, 72, 1–29. [Google Scholar] [CrossRef]
- Loday, J.-L.; Vallette, B. Algebraic Operads; Grundlehren der Mathematischen Wissenschaften 346; Springer: Berlin/Heidelberg, Germany, 2012. [Google Scholar]
- Epstein, H.; Glaser, V. The role of locality in perturbation theory. Ann. Inst. H. Poincaré A 1973, 19, 211–295. [Google Scholar]
- Bayen, F.; Flato, M.; Fronsdal, C.; Lichnerowicz, A.; Sternheimer, D. Deformation theory and quantization. Ann. Phys. 1978, 111, 61–151. [Google Scholar] [CrossRef]
- Fedosov, B.V. A simple geometrical construction of deformation quantization. J. Diff. Geom. 1994, 40, 213–238. [Google Scholar] [CrossRef]
- Kontsevich, M. Deformation quantization of Poisson manifolds. Lett. Math. Phys. 2003, 66, 157–216. [Google Scholar] [CrossRef]
- Rieffel, M.A. Deformation Quantization for Actions of Rd; American Mathematical Society: Providence, RI, USA, 1993; Volume 106. [Google Scholar]
- Grosse, H.; Lechner, G. Wedge-local quantum fields and noncommutative Minkowski space. Commun. Math. Phys. 2007, 276, 491–508. [Google Scholar] [CrossRef]
- Buchholz, D.; Lechner, G.; Summers, S.J. Warped convolutions, Rieffel deformations and the construction of quantum field theories. Commun. Math. Phys. 2011, 304, 95–123. [Google Scholar] [CrossRef]
- Dappiaggi, C.; Hack, T.-P.; Pinamonti, N. The extended algebra of observables for Dirac fields and the trace anomaly of their stress-energy tensor. Rev. Math. Phys. 2009, 21, 1241–1312. [Google Scholar] [CrossRef]
- Zahn, J. The renormalized locally covariant Dirac field. Rev. Math. Phys. 2014, 26, 1330012. [Google Scholar] [CrossRef]
- Hollands, S. The operator product expansion for perturbative quantum field theory in curved spacetime. Commun. Math. Phys. 2007, 273, 1–36. [Google Scholar] [CrossRef]
- Hollands, S.; Wald, R.M. Quantum field theory in curved spacetime, the operator product expansion, and dark energy. Gen. Relativ. Gravit. 2008, 40, 2051–2059. [Google Scholar] [CrossRef]
- Ward, J.C. An identity in quantum electrodynamics. Phys. Rev. 1950, 78, 182. [Google Scholar] [CrossRef]
- Takahashi, Y. On the generalized Ward identity. Nuovo Cim. 1957, 6, 371–375. [Google Scholar] [CrossRef]
- Piguet, O.; Sorella, S.P. Algebraic Renormalization: Perturbative Renormalization, Symmetries and Anomalies; Lecture Notes in Physics Monographs 28; Springer: Berlin/Heidelberg, Germany, 1995. [Google Scholar]
- Barnich, G.; Brandt, F.; Henneaux, M. Local BRST cohomology in gauge theories. Phys. Rep. 2000, 338, 439–569. [Google Scholar] [CrossRef]
- Bardeen, W.A.; Zumino, B. Consistent and covariant anomalies in gauge and gravitational theories. Nucl. Phys. B 1984, 244, 421–453. [Google Scholar] [CrossRef]
- Mañes, J.; Stora, R.; Zumino, B. Algebraic study of chiral anomalies. Commun. Math. Phys. 1985, 102, 157–174. [Google Scholar] [CrossRef]
- Sorella, S.P. Algebraic characterization of the Wess–Zumino consistency conditions in gauge theories. Commun. Math. Phys. 1993, 157, 231–243. [Google Scholar] [CrossRef]
- Deser, S.; Schwimmer, A. Geometric Classification of Conformal Anomalies in Arbitrary Dimensions. Phys. Lett. B 1993, 309, 279–284. [Google Scholar] [CrossRef]
- Rejzner, K. BV quantization in perturbative algebraic QFT. arXiv 2020, arXiv:2004.14272. [Google Scholar]
- Brunetti, R.; Dütsch, M.; Fredenhagen, K.; Rejzner, K. Unitary, anomalous Master Ward Identity and its connections to the Wess–Zumino condition, BV formalism and L∞-algebras. Ann. Henri Poincaré 2024, 25, 2547–2583. [Google Scholar] [CrossRef]
- Fujikawa, K. Path-Integral Measure for Gauge-Invariant Fermion Theories. Phys. Rev. Lett. 1979, 42, 1195. [Google Scholar] [CrossRef]
- Fujikawa, K. Path integral for gauge theories with fermions. Phys. Rev. D 1980, 21, 2848, Erratum in: Phys. Rev. D 1980, 22, 1499.. [Google Scholar] [CrossRef]
- Fredenhagen, K.; Rejzner, K. Batalin–Vilkovisky formalism in perturbative algebraic quantum field theory. Commun. Math. Phys. 2013, 317, 697–725. [Google Scholar] [CrossRef]
- Grzadkowski, B.; Iskrzyński, M.; Misiak, M.; Rosiek, J. Dimension-Six Terms in the Standard Model Lagrangian. J. High Energy Phys. 2010, 10, 085. [Google Scholar] [CrossRef]
- Jenkins, E.E.; Manohar, A.V.; Trott, M. Renormalization Group Evolution of the Standard Model Dimension Six Operators I: Formalism and λ Dependence. J. High Energy Phys. 2013, 10, 087. [Google Scholar] [CrossRef]
- Jenkins, E.E.; Manohar, A.V.; Trott, M. Renormalization Group Evolution of the Standard Model Dimension Six Operators II: Yukawa Dependence. J. High Energy Phys. 2014, 1, 35. [Google Scholar] [CrossRef]
- Alonso, R.; Jenkins, E.E.; Manohar, A.V.; Trott, M. Renormalization Group Evolution of the Standard Model Dimension Six Operators III: Gauge Coupling Dependence and Phenomenology. J. High Energy Phys. 2014, 04, 159. [Google Scholar] [CrossRef]
- Bennett, G.W. Muon g–2 Collaboration. Final Report of the Muon E821 Anomalous Magnetic Moment Measurement at BNL. Phys. Rev. D 2006, 73, 072003. [Google Scholar] [CrossRef]
- Abi, B.; Muon g–2 Collaboration. Measurement of the Positive Muon Anomalous Magnetic Moment to 0.46 ppm. Phys. Rev. Lett. 2021, 126, 141801. [Google Scholar] [CrossRef]
- Aoyama, T.; Asmussen, N.; Benayoun, M.; Bijnens, J.; Blum, T.; Bruno, M.; Caprini, I.; Calame, C.M.C.; Cè, M.; Colangelo, G.; et al. The anomalous magnetic moment of the muon in the Standard Model. Phys. Rep. 2020, 887, 1–166. [Google Scholar] [CrossRef]
- Jegerlehner, F.; Nyffeler, A. The Muon g-2. Phys. Rep. 2009, 477, 1–110. [Google Scholar] [CrossRef]
- Hanneke, D.; Fogwell, S.; Gabrielse, G. New Measurement of the Electron Magnetic Moment and the Fine Structure Constant. Phys. Rev. Lett. 2008, 100, 120801. [Google Scholar] [CrossRef]
- Morel, L.; Yao, Z.; Cladé, P.; Guellati-Khélifa, S. Determination of the fine-structure constant with an accuracy of 81 parts per trillion. Nature 2020, 588, 61–65. [Google Scholar] [CrossRef]
- Drinfel’d, V.G. Quantum groups. In Proceedings of the International Congress of Mathematicians, Berkeley, CA, USA, 3–11 August 1986; Volume 1, pp. 798–820. [Google Scholar]
- Majid, S. Foundations of Quantum Group Theory; Cambridge University Press: Cambridge, MA, USA, 1995. [Google Scholar]
- Aschieri, P.; Blohmann, C.; Dimitrijević, M.; Meyer, F.; Schupp, P.; Wess, J. A gravity theory on noncommutative spaces. Class. Quantum Grav. 2005, 22, 3511–3532. [Google Scholar] [CrossRef]
- Chaichian, M.; Kulish, P.P.; Nishijima, K.; Tureanu, A. On a Lorentz-invariant interpretation of noncommutative space-time and its implications on noncommutative QFT. Phys. Lett. B 2004, 604, 98–102. [Google Scholar] [CrossRef]
- Lechner, G. Construction of quantum field theories with factorizing S-matrices. Commun. Math. Phys. 2008, 277, 821–860. [Google Scholar] [CrossRef]
- Markl, M.; Shnider, S.; Stasheff, J. Operads in Algebra, Topology and Physics; Mathematical Surveys and Monographs 96; American Mathematical Society (AMS): Providence, RI, USA, 2002. [Google Scholar]
- Getzler, E. Lie theory for nilpotent L∞-algebras. Ann. Math. 2009, 170, 271–301. [Google Scholar] [CrossRef]
- Pirashvili, T. Hodge decomposition for higher order Hochschild homology. Ann. Sci. Éc. Norm. Supér. 2000, 33, 151–179. [Google Scholar] [CrossRef]
- Ginot, G. Higher order Hochschild cohomology. C. R. Math. Acad. Sci. Paris 2008, 346, 625–628. [Google Scholar] [CrossRef]
- Ayala, D.; Francis, J. Factorization homology of topological manifolds. J. Topol. 2015, 8, 1045–1084. [Google Scholar] [CrossRef]
- Costello, K.; Gwilliam, O. Factorization Algebras in Quantum Field Theory; Cambridge University Press: Cambridge, MA, USA, 2016; Volume 1. [Google Scholar]
- Connes, A.; Marcolli, M. Noncommutative Geometry, Quantum Fields and Motives; AMS Colloquium Publications 55; American Mathematical Society (AMS): Providence, RI, USA, 2007. [Google Scholar]
- Ebrahimi-Fard, K.; Guo, L.; Kreimer, D. Spitzer’s identity and the algebraic Birkhoff decomposition in pQFT. J. Phys. A 2004, 37, 11037–11052. [Google Scholar] [CrossRef]
- Atiyah, M.F.; Singer, I.M. The index of elliptic operators I. Ann. Math. 1968, 87, 484–530. [Google Scholar] [CrossRef]
- Berline, N.; Getzler, E.; Vergne, M. Heat Kernels and Dirac Operators; Springer: Berlin/Heidelberg, Germany, 1992. [Google Scholar]
- Callan, C.G., Jr.; Harvey, J.A. Anomalies and fermion zero modes on strings and domain walls. Nucl. Phys. B 1985, 250, 427–436. [Google Scholar] [CrossRef]
- Zumino, B. Chiral anomalies and differential geometry. In Relativity, Groups and Topology II; Les Houches 1983; DeWitt, B.S., Stora, R., Eds.; North-Holland: Amsterdam, The Netherlands, 1984. [Google Scholar]
- Freed, D.S. Anomalies and invertible field theories. Proc. Symp. Pure Math. 2014, 88, 25–45. [Google Scholar]
- Freed, D.S.; Hopkins, M.J. Reflection positivity and invertible topological phases. Geom. Topol. 2021, 25, 1165–1330. [Google Scholar] [CrossRef]
- Witten, E. Global gravitational anomalies. Commun. Math. Phys. 1985, 100, 197–229. [Google Scholar] [CrossRef]
- Uhlmann, A. Parallel transport for density matrices. Rep. Math. Phys. 1986, 24, 229–240. [Google Scholar] [CrossRef]
- Petz, D. Monotone metrics on matrix spaces. Linear Algebra Appl. 1996, 244, 81–96. [Google Scholar] [CrossRef]
- Araki, H. Relative entropy of states of von Neumann algebras. Publ. RIMS Kyoto 1976, 11, 809–833. [Google Scholar] [CrossRef]
- Bratteli, O.; Robinson, D.W. Operator Algebras and Quantum Statistical Mechanics II, 2nd ed.; Springer: Berlin/Heidelberg, Germany, 1997. [Google Scholar]
- Zamolodchikov, A.B. Irreversibility of the flux of the renormalization group in a 2D field theory. JETP Lett. 1986, 43, 730–732. [Google Scholar]
- Beilinson, A.; Drinfeld, V. Chiral Algebras; AMS Colloquium Publications 51; American Mathematical Society (AMS): Providence, RI, USA, 2004. [Google Scholar]
- Lurie, J. On the Classification of Topological Field Theories. Curr. Dev. Math. 2008, 2008, 129–280. [Google Scholar] [CrossRef]
- Bogoliubov, N.N.; Parasiuk, O.S. On the multiplication of the causal function in the quantum theory of fields. Acta Math. 1957, 97, 227–266. [Google Scholar]
- Hepp, K. Proof of the Bogoliubov-Parasiuk theorem on renormalization. Commun. Math. Phys. 1966, 2, 301–326. [Google Scholar] [CrossRef]
- Zimmermann, W. Convergence of Bogoliubov’s method of renormalization in momentum space. Commun. Math. Phys. 1969, 15, 208–234. [Google Scholar] [CrossRef]
- Connes, A.; Kreimer, D. Hopf algebras, renormalization and noncommutative geometry. Commun. Math. Phys. 1998, 199, 203–242. [Google Scholar] [CrossRef]
- Connes, A.; Kreimer, D. Renormalization in quantum field theory and the Riemann–Hilbert problem I: The Hopf algebra structure of graphs and the main theorem. Commun. Math. Phys. 2000, 210, 249–273. [Google Scholar] [CrossRef]
- Bogoliubov, N.N.; Shirkov, D.V. Introduction to the Theory of Quantized Fields; Wiley–Interscience: Hoboken, NJ, USA, 1959. [Google Scholar]
- Peierls, R. The commutation laws of relativistic field theory. Proc. R. Soc. Lond. A 1952, 214, 143–157. [Google Scholar] [CrossRef]
- Peskin, M.E.; Schroeder, D.V. An Introduction to Quantum Field Theory; Addison–Wesley: Boston, MA, USA, 1995. [Google Scholar]
- D’Ambrosio, G.; Giudice, G.F.; Isidori, G.; Strumia, A. Minimal Flavor Violation: An Effective Field Theory Approach. Nucl. Phys. B 2002, 645, 155–187. [Google Scholar] [CrossRef]
- Pospelov, M.; Ritz, A. Electric dipole moments as probes of new physics. Ann. Phys. 2005, 318, 119–169. [Google Scholar] [CrossRef]
- Engel, J.; Ramsey-Musolf, M.J.; van Kolck, U. Electric Dipole Moments of Nucleons, Nuclei, and Atoms: The Standard Model and Beyond. Prog. Part. Nucl. Phys. 2013, 71, 21–74. [Google Scholar] [CrossRef]
- Chupp, T.; Fierlinger, P.; Ramsey-Musolf, M.; Singh, J. Electric Dipole Moments of Atoms, Molecules, Nuclei, and Particles. Rev. Mod. Phys. 2019, 91, 015001. [Google Scholar] [CrossRef]
- Gerstenhaber, M. On the deformation of rings and algebras II. Ann. Math. 1966, 84, 1–19. [Google Scholar] [CrossRef]
- Gerstenhaber, M. On the deformation of rings and algebras III. Ann. Math. 1968, 88, 1–34. [Google Scholar] [CrossRef]
- Gerstenhaber, M. On the deformation of rings and algebras IV. Ann. Math. 1974, 99, 257–276. [Google Scholar] [CrossRef]
- Gerstenhaber, M. On the deformation of rings and algebras V. Ann. Math. 1974, 99, 277–301. [Google Scholar] [CrossRef]
- Yekutieli, A. Deformation Quantization in Algebraic Geometry. Adv. Math. 2005, 198, 383–432. [Google Scholar] [CrossRef]
- Kontsevich, M. Deformation quantization of Poisson manifolds, I. In ICM 1998 Proceedings; Birkhäuser: Basel, Switzerland, 1998. [Google Scholar]
- Fredenhagen, K.; Rejzner, K. Perturbative algebraic quantum field theory. In Mathematical Aspects of Quantum Field Theories; Springer: Berlin/Heidelberg, Germany, 2015. [Google Scholar]
- Brivio, I.; Trott, M. The Standard Model as an Effective Field Theory. Phys. Rep. 2019, 793, 1–98. [Google Scholar] [CrossRef]
- Aebischer, J.; Brivio, I.; Celis, A.; Evans, J.A.; Jiang, Y.; Kumar, J.; Pan, X.; Porod, W.; Rosiek, J.; Shih, D.; et al. WCxf: An exchange format for Wilson coefficients beyond the Standard Model. Comput. Phys. Commun. 2018, 232, 71–83. [Google Scholar] [CrossRef]
- Manohar, A.V.; Wise, M.B. Heavy Quark Physics; Cambridge Monographs on Particle Physics; Cambridge University Press: Cambridge, MA, USA, 2000. [Google Scholar]
- Particle Data Group. Review of Particle Physics. Prog. Theor. Exp. Phys. 2024, 2024, 083C01. [Google Scholar]
- Marciano, W.J.; Masiero, A.; Paradisi, P.; Passera, M. Contributions to aμ in and beyond the Standard Model. In Lepton Dipole Moments; World Scientific: Singapore, 2010. [Google Scholar]
- Hörmander, L. The Analysis of Linear Partial Differential Operators II; Springer: Berlin/Heidelberg, Germany, 1983. [Google Scholar]
- Duistermaat, J.J. Fourier Integral Operators; Birkhäuser: Basel, Switzerland, 1996. [Google Scholar]
- Khavkine, I.; Moretti, V. Algebraic QFT in curved spacetime and microlocal analysis. In Advances in Algebraic Quantum Field Theory; Springer: Berlin/Heidelberg, Germany, 2015. [Google Scholar]
- Hollands, S.; Wald, R.M. Quantum field theory in curved spacetime, the operator product expansion, and perturbative quantum gravity. Commun. Math. Phys. 2010, 293, 85–125. [Google Scholar] [CrossRef]
- Rejzner, K. Perturbative Algebraic Quantum Field Theory; Springer Briefs in Mathematical Physics; Springer: Berlin/Heidelberg, Germany, 2016. [Google Scholar]




| Texture | |||
|---|---|---|---|
| U (flavor-universal) | |||
| Y (Yukawa-aligned/MFV) |
| Aspect | Status/Condition |
|---|---|
| Associativity at | (Hochschild 2-cocycle) |
| Associativity at | in ; choose local |
| ∗-structure and microcausality | Local preserving causal unitarity ⇒ (15) to each order |
| WTIs/ST identities | Biderivation modulo contact terms; contact terms renormalized away at first order |
| Net/wedge locality | Composed deformations additive at first order (Proposition 14) |
| Operadic lift | Maurer–Cartan in deformation complex (Proposition 15) |
| Gravity/cosmology | Separate parameter ; no single-parameter universality (Proposition 17) |
Disclaimer/Publisher’s Note: The statements, opinions and data contained in all publications are solely those of the individual author(s) and contributor(s) and not of MDPI and/or the editor(s). MDPI and/or the editor(s) disclaim responsibility for any injury to people or property resulting from any ideas, methods, instructions or products referred to in the content. |
© 2026 by the author. Licensee MDPI, Basel, Switzerland. This article is an open access article distributed under the terms and conditions of the Creative Commons Attribution (CC BY) license.
Share and Cite
Patrascu, A.T. Quantum Anomalies as Intrinsic Algebraic Curvature: A Unified AQFT Interpretation of Renormalization Ambiguities. Quantum Rep. 2026, 8, 3. https://doi.org/10.3390/quantum8010003
Patrascu AT. Quantum Anomalies as Intrinsic Algebraic Curvature: A Unified AQFT Interpretation of Renormalization Ambiguities. Quantum Reports. 2026; 8(1):3. https://doi.org/10.3390/quantum8010003
Chicago/Turabian StylePatrascu, Andrei T. 2026. "Quantum Anomalies as Intrinsic Algebraic Curvature: A Unified AQFT Interpretation of Renormalization Ambiguities" Quantum Reports 8, no. 1: 3. https://doi.org/10.3390/quantum8010003
APA StylePatrascu, A. T. (2026). Quantum Anomalies as Intrinsic Algebraic Curvature: A Unified AQFT Interpretation of Renormalization Ambiguities. Quantum Reports, 8(1), 3. https://doi.org/10.3390/quantum8010003
