Quantum Electromagnetic Finite-Difference Time-Domain Solver
Abstract
1. Introduction
2. Numerical Canonical Quantization
3. Quantization of Electromagnetic Fields in the Coordinate Space
3.1. Relation between Mode- and Coordinate-Ladder Operators
3.2. Hamiltonian Operator in the Coordinate Space
3.3. Electric Field Operator in the Coordinate Space
4. Quantum Finite-Difference Time-Domain Scheme
5. Initial Quantum States for Few Photons
6. Initial Conditions of Quantum Finite-Difference Time-Domain Scheme
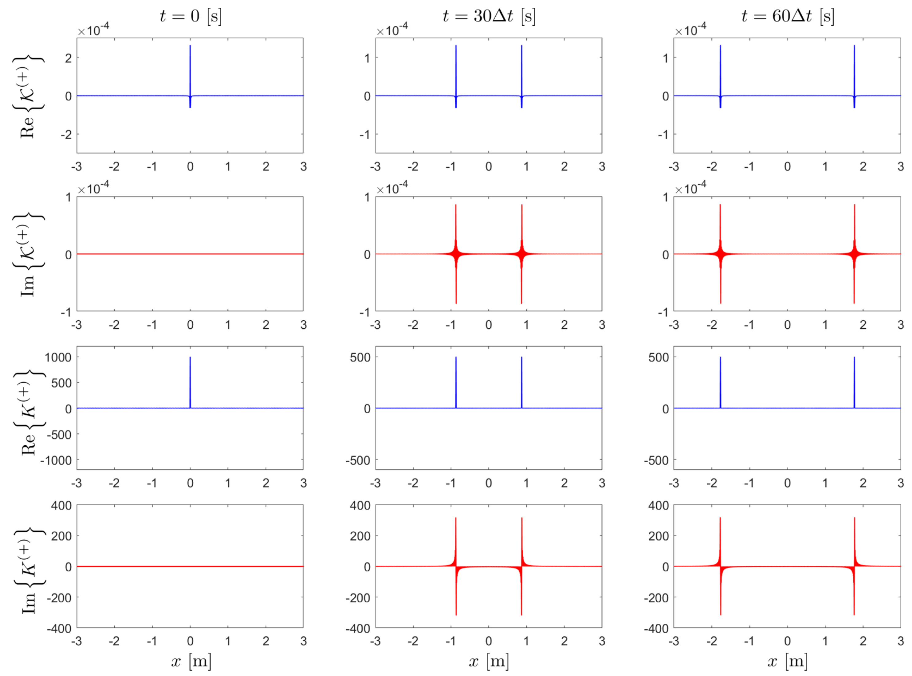
7. Numerical Simulations of Quantum Beam Splitter
8. Conclusions
Author Contributions
Funding
Acknowledgments
Conflicts of Interest
References
- Chew, W.C.; Liu, A.Y.; Salazar-Lazaro, C.; Sha, W.E.I. Quantum electromagnetics: A new look-Part I. IEEE J. Multiscale Multiphys. Comput. Tech. 2016, 1, 73–84. [Google Scholar] [CrossRef]
- Chew, W.C.; Liu, A.Y.; Salazar-Lazaro, C.; Sha, W.E.I. Quantum electromagnetics: A new look-Part II. IEEE J. Multiscale Multiphys. Comput. Tech. 2016, 1, 85–97. [Google Scholar] [CrossRef]
- Cohen-Tannoudji, C.; Dupont-Roc, J.; Grynberg, G. Atom-Photon Interactions: Basic Processes and Applications; Wiley-VCH: New York, NY, USA, 1988. [Google Scholar]
- Mandel, L.; Wolf, E. Optical Coherence and Quantum Optics; Cambridge University Press: Cambridge, UK, 1995. [Google Scholar]
- Scheel, S.; Buhmann, S.Y. Macroscopic Quantum Electrodynamics. Acta Phys. Slov. 2008, 58, 675–809. [Google Scholar]
- Dirac, P.A.M.; Bohr, N.H.D. The quantum theory of the emission and absorption of radiation. Proc. R. Soc. Lond. Ser. A Contain. Pap. Math. Phys. Character 1927, 114, 243–265. [Google Scholar]
- Scully, M.O.; Zubairy, M.S. Quantum Optics; American Association of Physics Teachers (AAPT): College Park, MD, USA, 1999. [Google Scholar]
- Loudon, R. The Quantum Theory of Light; OUP Oxford: Oxford, UK, 2000. [Google Scholar]
- Gerry, C.; Knight, P. Introductory Quantum Optics; Cambridge University Press: Cambridge, UK, 2004. [Google Scholar]
- Vogel, W.; Welsch, D.G. Quantum Optics; John Wiley & Sons: Hoboken, NJ, USA, 2006. [Google Scholar]
- Walls, D.F.; Milburn, G.J. Quantum Optics; Springer Science & Business Media: Berlin, Germany, 2007. [Google Scholar]
- Garrison, J.; Chiao, R. Quantum Optics; Oxford University Press: Oxford, UK, 2008. [Google Scholar]
- Grynberg, G.; Aspect, A.; Fabre, C.; Cohen-Tannoudji, C. Introduction to Quantum Optics: From the Semi-Classical Approach to Quantized Light; Cambridge University Press: Cambridge, UK, 2010. [Google Scholar]
- Chew, W.C. Quantum Mechanics Made Simple: Lecture Notes; CreateSpace Independent Publishing Platform: Scotts Valley, CA, USA, 2015. [Google Scholar]
- Milonni, P. An Introduction to Quantum Optics and Quantum Fluctuations; Oxford Graduate Texts; Oxford University Press: Oxford, UK, 2019. [Google Scholar]
- Jauch, J.M.; Watson, K.M. Phenomenological Quantum-Electrodynamics. Phys. Rev. 1948, 74, 950–957. [Google Scholar] [CrossRef]
- Glauber, R.J.; Lewenstein, M. Quantum optics of dielectric media. Phys. Rev. A 1991, 43, 467–491. [Google Scholar] [CrossRef]
- Knöll, L.; Vogel, W.; Welsch, D.G. Action of passive, lossless optical systems in quantum optics. Phys. Rev. A 1987, 36, 3803–3818. [Google Scholar] [CrossRef]
- Huttner, B.; Barnett, S.M. Quantization of the electromagnetic field in dielectrics. Phys. Rev. A 1992, 46, 4306–4322. [Google Scholar] [CrossRef]
- Gruner, T.; Welsch, D.G. Green-function approach to the radiation-field quantization for homogeneous and inhomogeneous Kramers-Kronig dielectrics. Phys. Rev. A 1996, 53, 1818–1829. [Google Scholar] [CrossRef]
- Dalton, B.J.; Guerra, E.S.; Knight, P.L. Field quantization in dielectric media and the generalized multipolar Hamiltonian. Phys. Rev. A 1996, 54, 2292–2313. [Google Scholar] [CrossRef]
- Dung, H.T.; Knöll, L.; Welsch, D.G. Three-dimensional quantization of the electromagnetic field in dispersive and absorbing inhomogeneous dielectrics. Phys. Rev. A 1998, 57, 3931–3942. [Google Scholar] [CrossRef]
- Crenshaw, M.E. Comparison of quantum and classical local-field effects on two-level atoms in a dielectric. Phys. Rev. A 2008, 78, 053827. [Google Scholar] [CrossRef]
- Philbin, T.G. Canonical quantization of macroscopic electromagnetism. New J. Phys. 2010, 12, 123008. [Google Scholar] [CrossRef]
- Sha, W.E.I.; Liu, A.Y.; Chew, W.C. Dissipative Quantum Electromagnetics. J. Multiscale Multiphys. Comput. Tech. 2018, 3, 198–213. [Google Scholar] [CrossRef]
- Smith, B.J.; Raymer, M.G. Photon wave functions, wave-packet quantization of light, and coherence theory. New J. Phys. 2007, 9, 414. [Google Scholar] [CrossRef]
- Barton, G. Elements of Green’s Functions and Propagation: Potential, Diffusion, and Waves; Clarendon Press: Oxford, UK, 1989. [Google Scholar]
- Nevels, R.; Jeong, J. The time domain Green’s function and propagator for Maxwell’s equations. IEEE Trans. Antennas Propag. 2004, 52, 3012–3018. [Google Scholar] [CrossRef]
- Hong, C.K.; Ou, Z.Y.; Mandel, L. Measurement of subpicosecond time intervals between two photons by interference. Phys. Rev. Lett. 1987, 59, 2044–2046. [Google Scholar] [CrossRef]
- Santori, C.; Fattal, D.; Vuckovic, J.; Solomon, G.S.; Yamamoto, Y. Indistinguishable photons from a single-photon device. Nature 2002, 419, 594–597. [Google Scholar] [CrossRef]
- Beugnon, J.; Jones, M.P.A.; Dingjan, J.; Darquié, B.; Messin, G.; Browaeys, A.; Grangier, P. Quantum interference between two single photons emitted by independently trapped atoms. Nature 2006, 440, 779–782. [Google Scholar] [CrossRef]
- Zhou, L.; Gong, Z.R.; Liu, Y.X.; Sun, C.P.; Nori, F. Controllable Scattering of a Single Photon inside a One-Dimensional Resonator Waveguide. Phys. Rev. Lett. 2008, 101, 100501. [Google Scholar] [CrossRef] [PubMed]
- Longo, P.; Schmitteckert, P.; Busch, K. Dynamics of photon transport through quantum impurities in dispersion-engineered one-dimensional systems. J. Opt. A Pure Appl. Opt. 2009, 11, 114009. [Google Scholar] [CrossRef]
- Yee, K. Numerical solution of initial boundary value problems involving maxwell’s equations in isotropic media. IEEE Trans. Antennas Propag. 1966, 14, 302–307. [Google Scholar] [CrossRef]
- Taflove, A.; Hagness, S.C. Computational Electrodynamics: The Finite-Difference Time-Domain Method, 3rd ed.; Artech House: Norwood, MA, USA, 2005. [Google Scholar]
- Na, D.Y.; Zhu, J.; Teixeira, F.L.; Chew, W.C. Quantum Information Propagation Preserving Computational Electromagnetics. arXiv 2019, arXiv:1911.00947. [Google Scholar]
- Joannopoulos, J.D.; Johnson, S.G.; Winn, J.N.; Meade, R.D. Photonic Crystals: Molding the Flow of Light, 2nd ed.; Princeton University Press: Princeton, NJ, USA, 2008. [Google Scholar]
- Jackson, J.D. Classical Electrodynamics, 3rd ed.; Wiley: New York, NY, USA, 1999. [Google Scholar]
- Chew, W.C. Waves and Fields in Inhomogeneous Media; IEEE Press: Piscataway, NJ, USA, 1996. [Google Scholar]
- Miller, D.A. Quantum Mechanics for Scientists and Engineers; Cambridge University Press: Cambridge, UK, 2008. [Google Scholar]
- Kusminskiy, S.V. Quantum Magnetism, Spin Waves, and Light. arXiv 2018, arXiv:1807.10626. [Google Scholar]
- Shin, J. Time-Domain Propagator Full-Wave Numerical Method for Electromagnetic Fields. Ph.D. Thesis, Texas A&M University, Uvalde, TX, USA, 2018. [Google Scholar]
- Itzykson, C.; Zuber, J. Quantum Field Theory; International Series In Pure and Applied Physics; McGraw-Hill: New York, NY, USA, 1980. [Google Scholar]
- Hawton, M. Maxwell quantum mechanics. Phys. Rev. A 2019, 100, 012122. [Google Scholar] [CrossRef]
- Prasad, S.; Scully, M.O.; Martienssen, W. A quantum description of the beam splitter. Opt. Commun. 1987, 62, 139–145. [Google Scholar] [CrossRef]
- Hanbury-Brown, R.; Twiss, R. Interferometry of the intensity fluctuations in light—I. Basic theory: The correlation between photons in coherent beams of radiation. Proc. R. Soc. Lond. Ser. A Math. Phys. Sci. 1957, 242, 300–324. [Google Scholar]
- Glauber, R.J. The Quantum Theory of Optical Coherence. Phys. Rev. 1963, 130, 2529–2539. [Google Scholar] [CrossRef]




© 2020 by the authors. Licensee MDPI, Basel, Switzerland. This article is an open access article distributed under the terms and conditions of the Creative Commons Attribution (CC BY) license (http://creativecommons.org/licenses/by/4.0/).
Share and Cite
Na, D.-Y.; Chew, W.C. Quantum Electromagnetic Finite-Difference Time-Domain Solver. Quantum Rep. 2020, 2, 253-265. https://doi.org/10.3390/quantum2020016
Na D-Y, Chew WC. Quantum Electromagnetic Finite-Difference Time-Domain Solver. Quantum Reports. 2020; 2(2):253-265. https://doi.org/10.3390/quantum2020016
Chicago/Turabian StyleNa, Dong-Yeop, and Weng Cho Chew. 2020. "Quantum Electromagnetic Finite-Difference Time-Domain Solver" Quantum Reports 2, no. 2: 253-265. https://doi.org/10.3390/quantum2020016
APA StyleNa, D.-Y., & Chew, W. C. (2020). Quantum Electromagnetic Finite-Difference Time-Domain Solver. Quantum Reports, 2(2), 253-265. https://doi.org/10.3390/quantum2020016

