Next Article in Journal
Fusion of Simulation and AI Methods for Understanding HOV/HOT Lane Operational Flow Dynamics
Next Article in Special Issue
Time-Varying Feedback for Rigid Body Attitude Control
Previous Article in Journal
A Low-Cost Fault-Ride-Through Strategy for Electric Vehicle Inverters Using Four-Switch Topology
Previous Article in Special Issue
Flight Routing Optimization with Maintenance Constraints
 
 
Font Type:
Arial Georgia Verdana
Font Size:
Aa Aa Aa
Line Spacing:
Column Width:
Background:
Article

Modeling and Control of Distributed-Propulsion eVTOL UAV Hovering Flight

1
School of Aeronautics, Northwestern Polytechnical University, Xi’an 710072, China
2
National Key Laboratory of Aircraft Configuration Design, Xi’an 710072, China
*
Author to whom correspondence should be addressed.
These authors contributed equally to this work.
Vehicles 2025, 7(4), 138; https://doi.org/10.3390/vehicles7040138
Submission received: 26 August 2025 / Revised: 6 November 2025 / Accepted: 25 November 2025 / Published: 26 November 2025
(This article belongs to the Special Issue Air Vehicle Operations: Opportunities, Challenges and Future Trends)

Abstract

For vertical takeoff and landing (VTOL) control of distributed-propulsion, fixed-wing UAVs exhibiting strong nonlinearity and aerodynamic/propulsive coupling, traditional linearization methods incur significant modeling errors in pitch–roll coupling and vortex interference scenarios due to neglected high-order nonlinearities, leading to inherent control law limitations. This study focuses on a non-tilting, distributed-propulsion VTOL UAV featuring integrated airframe-propulsion design. Each of its four propulsion units contains six ducted rotors, arranged in tandem wing configuration on both fuselage sides. A revised propulsion–aerodynamic coupling model was established and validated through bench tests and CFD data, enabling the design of an Incremental Nonlinear Dynamic Inversion (INDI) control architecture. The UAV dynamics model was constructed in Matlab/Simulink incorporating this revised model. An INDI-based attitude control law was developed with cascade controllers (angular rate inner-loop/attitude outer-loop) for VTOL mode, integrated with propulsion-system and control-surface allocation strategies. Digital simulations validated the controller’s effectiveness and robustness. Finally, tethered flight tests with physical prototypes confirmed the method’s applicability for high-precision control of strongly nonlinear distributed-propulsion UAVs.

1. Introduction

According to data released by the International Air Transport Association (IATA), carbon dioxide emissions from the aviation industry account for 2.5% of global total emissions and are increasing annually. Meanwhile, intensifying global competition is pressuring manufacturing enterprises to reduce energy costs. In response to growing international calls for carbon reduction in aviation, many aircraft manufacturers have shifted their production goals toward energy efficiency and low-carbon technologies [1,2,3,4,5].
Against the backdrop of current advancements in aviation emission reduction technologies, the distributed hybrid electric propulsion architecture has attracted significant attention as a promising solution to environmental challenges. This innovative propulsion system employs a conventional thermal engine to drive generators, which in turn power multiple distributed electric propulsion units (motor/propeller assemblies) along the aircraft’s wings or fuselage to perform primary or complete propulsion tasks [2,3,6,7,8,9,10]. Compared to traditional propulsion systems, this distributed layout not only reshapes the aerodynamic configuration of the aircraft, but also significantly increases the effective bypass ratio through flow field optimization, thus enhancing propulsion efficiency, reducing fuel consumption and pollutant emissions [6,7,8,9], and generating lower noise levels [11]. Another example is that electrified/hybrid propulsion coupled with distributed propulsion can significantly improve the efficiency of propulsion–wing coupling, thereby reducing fuel consumption and contributing to noise reduction, given the right architecture and energy management [12]. Generally speaking, research on fixed-wing unmanned aerial vehicles typically employs small interference linearization analysis methods. However, during the transitional flight phase, the dynamics of distributed drones evolve into a multi-state, coupled nonlinear model. Such strongly nonlinear systems are typically characterized by coupled high-order differential equations, requiring mathematical models that incorporate aerodynamic derivatives, inertial coupling terms, and propulsion system dynamics within a nonlinear state-space framework. Traditional linearized analysis methods, which neglect higher-order nonlinear coupling terms, result in significant modeling errors under typical conditions such as pitch–roll coupling and vortex interference, leading to fundamental flaws in control law design.
Meanwhile, as a vital carrier of modern aviation technology, UAV systems have demonstrated significant application value in national defense reconnaissance, ecological data collection, emergency supply delivery, and other fields [11,13]. In this context, enhancing mission execution accuracy in complex operational scenarios has become a focal point of research in flight control. As a core component of the flight control system, attitude regulation technology plays a decisive role in maintaining the operational stability of aerial platforms [11]. Optimizing this technology is not only crucial for achieving basic UAV performance metrics but also directly affects the reliability of aerospace equipment under extreme conditions. To ensure precise task execution by UAVs, extensive research has been conducted globally on attitude control methods [14,15,16,17]. Common methods include Proportional–Integral–Derivative (PID) control [16], backstepping control [17], sliding mode control [18], and Nonlinear Dynamic Inversion (NDI) [15]. However, these methods exhibit notable limitations when addressing multi-state coupled nonlinear systems: PID control struggles with tuning parameters in the presence of strong inter-channel coupling and lacks robustness [19]; backstepping control is highly dependent on accurate dynamic models, leading to performance degradation under unmodeled dynamics [20]; sliding mode control, although robust, suffers from chattering, which accelerates actuator wear [20]; adaptive control allows online parameter tuning but is computationally intensive and often lags behind rapid system changes [21]. These limitations fundamentally stem from the reliance of traditional control methods on accurate mathematical models. When confronted with the highly coupled nonlinear dynamics of transitional flight phases, control laws based on linear assumptions or simplified models cannot effectively compensate for time-varying aerodynamic parameters or nonlinear actuator saturation. While NDI simplifies control laws by mathematically inverting system dynamics to construct a linearized equivalent system for closed-loop control, it demands accurate models and invertible control input matrices, limiting its applicability [16].
The above analysis reveals that a key contradiction in traditional control approaches lies in their reliance on precise models versus the intrinsic nonlinearity and uncertainty of real-world systems. To address this issue, Incremental Nonlinear Dynamic Inversion (INDI) has garnered increasing interest in recent years. Derived from classical NDI theory [22,23], INDI introduces an incremental control strategy and utilizes sensor measurements to replace model-dependent components, significantly reducing dependence on precise system models while enhancing robustness. This method is particularly suitable for high-precision UAV control in complex dynamic environments [15,16,22,23].
In conclusion, distributed propulsion UAVs offer vast application prospects due to their unique configuration and performance advantages. However, this configuration also presents a series of unresolved issues in flight mechanics and control. To date, only limited studies have addressed the complex aerodynamic/propulsion coupling disturbances, and experimental validation on physical prototypes remains scarce. Therefore, this paper focuses on modeling the hovering dynamics of distributed propulsion UAVs, constructing aerodynamic and coupled propulsion component models, analyzing dynamic characteristics, and developing a reliable control allocation scheme to address these research gaps.
The structure of this article is as follows: (1) A dynamic modeling approach is proposed based on the description of the dynamics of unmanned institutions. (2) Considering the multi-variable, nonlinear, strongly coupled, high-order, and uncertain characteristics of the system, an INDI-based control scheme is developed. (3) Design suspension test to verify the precise control and anti-interference ability of INDI controller on real UAV. (4) Summarized the work of this article and provided prospects for future research.

2. Dynamic Modeling

2.1. Design Features

Figure 1a,b shows the vertical view and side view of the VTOL mode of the object under study in this paper, in which the orange and yellow areas are the power part, in which the power differential in the orange area realizes the transverse heading control, the power differential in the yellow area realizes the longitudinal control, the blue area is the rudder surface, which is also divided into the light blue and dark blue areas according to the demand of the longitudinal and transverse heading control. The green area is the induced wing, which is positioned at the duct exit to deflect the jet flow from the duct. By redirecting the thrust vector, the induced wing enables control over the direction of the propulsive force, thereby facilitating vertical takeoff and landing (VTOL) capability. The aircraft employs a tandem wing layout with a V-tail, and the ducted fan propulsors are embedded directly into the wings, enabling a highly integrated propulsion–wing design.
The UAV power unit itself does not tilt, but the induced wing deflects the thrust direction to realize vertical takeoff and landing. Throughout the flight, the control surface deflection and induced wing inclination range from 10 ° to 40 ° and 0 ° to 55 ° , respectively. In the VTOL mode, the control surface deflection angle is set to 25 ° , and the induced wing tilt angle is 55 ° . The propulsion units are aligned with the fuselage axis. Because the induced wings can deflect the ducted thrust by approximately 45 degrees, the aircraft is designed to assume an initial pitch attitude of about 45 degrees during hover so that the resultant thrust becomes vertical, ensuring balanced forces for vertical takeoff and landing. Each propulsion unit consists of six ducted fans.
The overall parameters of the drone are shown in Table 1.

2.2. Definition and Transformation of Coordinate Systems

The UAV configuration studied in this work is illustrated in Figure 2a, which presents the aircraft state in hover mode. This is a distributed propulsion vertical takeoff and landing (VTOL) fixed-wing UAV with a passive tilting mechanism. It features an integrated design of passive tilt, distributed propulsion, and a power-integrated fuselage. Each propulsion wing unit consists of six ducted rotors, with four propulsion wing units mounted in tandem on both sides of the fuselage. To ensure the general applicability of the model, both the ground coordinate system o g x g y g z g and the body-fixed coordinate system o b x b y b z b are defined. The ground frame is fixed to the Earth, with its origin at a certain point on the ground. Its vertical axis o g z g points toward the Earth’s center, while the other two axes o g x g and o g y g lie in the horizontal plane and are orthogonal to each other. Typically, the o g z g = H represents flight altitude. The body frame is fixed to the UAV, with its origin at the UAV’s center of mass. The x b lies within the plane of symmetry and points forward; the z b is perpendicular to the x b and points downward; the y b is perpendicular to the x z plane and points to the starboard wing.
Figure 2b presents a mechanical diagram of the center point of the duct jet of the propulsion wing unit. A dual control surface (upper and lower) is employed to achieve vertical takeoff and landing. During the VTOL process, the ducted jet flow must be deflected to generate vertical lift. Therefore, deflection vanes are added at the nozzle to change the airflow direction. In addition to the effect of the deflection vanes on the jet direction, the upper and lower control surfaces also contribute to deflection. The diagram includes quantities such as total lift ( L u ), total drag ( D u ), thrust of the duct ( T u ), resultant force magnitude ( F a ), and resultant force direction ( ξ T ). δ f and δ e represent the deflection of the induced wing and control surfaces, respectively.
The UAV’s attitude, position, and velocity are represented differently in different coordinate systems. Thus, the transformation relationships between coordinate systems must be clarified before establishing motion equations. The transformation from the ground frame to the body frame is expressed as
R = cos θ cos ψ cos θ sin ψ sin θ sin θ cos ψ sin ϕ sin ψ cos ϕ sin θ sin ψ sin ϕ + cos ψ cos ϕ cos θ sin ϕ sin θ cos ψ cos ϕ + sin ψ sin ϕ sin θ sin ψ cos ϕ cos ψ sin ϕ cos θ cos ϕ
Taking the inverse of the above gives the transformation matrix from the body frame to the ground frame, where θ is the pitch, ϕ is the roll, and ψ is the yaw.

2.3. UAV Motion Equations

This section derives the motion equations of the UAV. The focus of this study is on the vertical takeoff, landing, and hovering phases; therefore, lateral–directional motion equations are omitted. Under the assumption of coordinated horizontal flight (no sideslip), the nonlinear dynamics of the fixed-wing UAV are modeled in continuous time.
Firstly, the following assumptions need to be given as UAVs are affected by complex factors in the actual flight environment:
(1)
The Earth is taken as an inertial reference frame, assumed to be non-rotating and with negligible curvature. Gravitational acceleration is constant.
(2)
The UAV is treated as a rigid body with no deformation under external forces, and its center of mass is fixed.
(3)
The UAV’s mass and moment of inertia are constant.
Based on the above assumptions and a force analysis of the UAV, the Newton–Euler equations yield the following:
F = d d t ( m v ) E
M = d H d t ] E
where F is the total external force, m is the mass, V is the velocity vector, M is the total external torque, and H is the angular momentum.
Expanding (2), we obtain the translational motion differential equations:
X ¯ + F T m g sin θ = m ( u ˙ + q w r v ) Y ¯ + m g sin ϕ cos θ = m ( v ˙ + r u p w ) Z ¯ + m g cos ϕ cos θ = m ( w ˙ + p v q u )
where X ¯ , Y ¯ , Z ¯ are the forces in the three-axis direction, F T is the propulsion, p, q, r is the three-axis angular velocity, and u ˙ , v ˙ , w ˙ is the three-axis velocity.
Expanding (3), we obtain the rotational motion differential equations:
L ¯ + L T = p ˙ I x r ˙ I x z + q r ( I x I z ) p q I x z M ¯ + M T = q ˙ I y + p q ( I x I z ) + ( p 2 r 2 ) I x z N ¯ + N T = r ˙ I z p ˙ I x z + p q ( I y I x ) + q r I x z
where L ¯ , M ¯ , N ¯ is the Three-axis torque, L T , M T , N T is the Three-axis component of propulsion torque, I x , I y , I z is the Three-axis inertia, I x z is the product of inertia of x-axis and z-axis.
Retaining only the equations related to longitudinal motion and rearranging, we derive the UAV’s longitudinal dynamic model:
V ˙ = T cos α D m g sin γ a γ ˙ a = T sin α + L m V g cos γ a V α ˙ = q γ ˙ a q ˙ = M I y
where γ a is the flight path angle, α is the angle of attack, and the pitch angle θ = α + γ a .

2.4. Propulsion Wing and Deflection Surface System Model

The distributed electric propulsion VTOL UAV studied in this work incorporates deflection surfaces downstream of the ducted propulsion wings. These surfaces deflect high-speed jets from the propulsion system to generate aerodynamic forces for VTOL, reducing energy consumption during vertical operations. Moreover, by deflecting the thrust vector via these surfaces, aircraft maneuverability is improved [4]. This section presents the propulsion wing–deflection surface unit model under powered input, followed by system-level modeling.
The model proposed by Zhao et al. [4] is suitable for the conceptual design phase of UAVs. It integrates various data inputs to construct a computationally efficient, low-fidelity model capable of rapidly establishing a unified propulsive–aerodynamic–kinematic coupling framework under varying inflow conditions and thrust states. Given that the research subject of this paper aligns with that of Zhao et al., their approach is adopted herein to derive the lift model as follows:
L = γ T ρ A p V p V o sin ( δ ¯ f + α ) + ρ A V 2 sin ε γ T ρ A o V 2 sin ( δ ¯ f + α )
δ ¯ f = K f δ f + K e δ e
where α is the freestream angle of attack, ρ is the atmospheric density, γ T is the thrust correction factor, δ ¯ f is the deflection vane flow angle, ε is the duct flow deflection angle, A o is the area of the jet stream when fully developed, A P is the rotor disk area, and A is the freestream cross-sectional area. The first term on the right represents thrust deflection by the deflection surface, the second term is the lift from freestream flow without power input, and the third term accounts for volume blockage effects by the jet stream.
Similarly, the axial thrust generated by the unit is
T c = γ T T t cos ( δ ¯ f + α ) A ρ V 2 ( 1 cos ε ) γ T T t ( 1 cos ( δ ¯ f + α ) ) V V o
The first term represents the axial component of deflected duct thrust, the second term is drag under no power input, and the third term is additional drag due to the jet flow. Notably, when freestream velocity is zero (i.e., in hover), the deflection surface mainly serves to redirect thrust.
The aerodynamic model of the power wing-induced airfoil unit is obtained from the previous section, and the overall distributed power wing-induced airfoil system is now modeled. Wang Kelei et al. [3] proposed that the spreading distribution of the power wing-induced airfoil units mainly brings two effects: (1) adjacent power suction induction between the propulsion units arranged along the spreading direction, resulting in a localized increase in intake flow rate of the increase, resulting in a decrease in power thrust. Due to this interference effect, the thrust output and energy conversion efficiency of each unit of the distributed-propulsion system will have a 6–8% degradation. (2) Under the interference condition of wingtip vortex field, the distribution law of lift along the spreading direction of the distributed propulsion airfoil and its fluctuation range are highly similar to that of the conventional airfoil. For the power loss due to adjacent power pumping induction, it can be corrected by the thrust correction factor γ T . For the effect of the change of lift distribution in the spreading direction, the following corrections can be made to the distributed power wing-induced airfoil model with reference to the relationship between the aerodynamic characteristics of the three-dimensional airfoil and the two-dimensional airfoil:
L = N L c 1 + τ c
where L is the total lift of the corrected system; N is the number of unit spreading distribution; L c is the unit lift; τ c is the lift correction factor.
Similarly, due to the change in lift, there is a change in induced drag, so the system thrust can be corrected as
T = N T c N L c π e A R ( τ c 1 + τ c )
where T is the modified total system thrust; T c is the unit thrust; A R is the wing spread ratio; and e is the Oswald factor.

2.5. Propulsion Wing Unit Bench Test

Although lift and drag models have been derived, UAVs exhibit nonlinear, strongly coupled, and uncertain parameter characteristics, making precise modeling difficult. Thus, a bench test was conducted to calibrate the mathematical model based on measured lift characteristics. Figure 3 shows the schematic of the bench test system: The propulsion wing unit was mounted on a balance using connectors and connected to the external regulated power supply, the signals required for the sweeping experiment are set up in advance on the computer, and finally, the data are collected with the data collector on the balance.
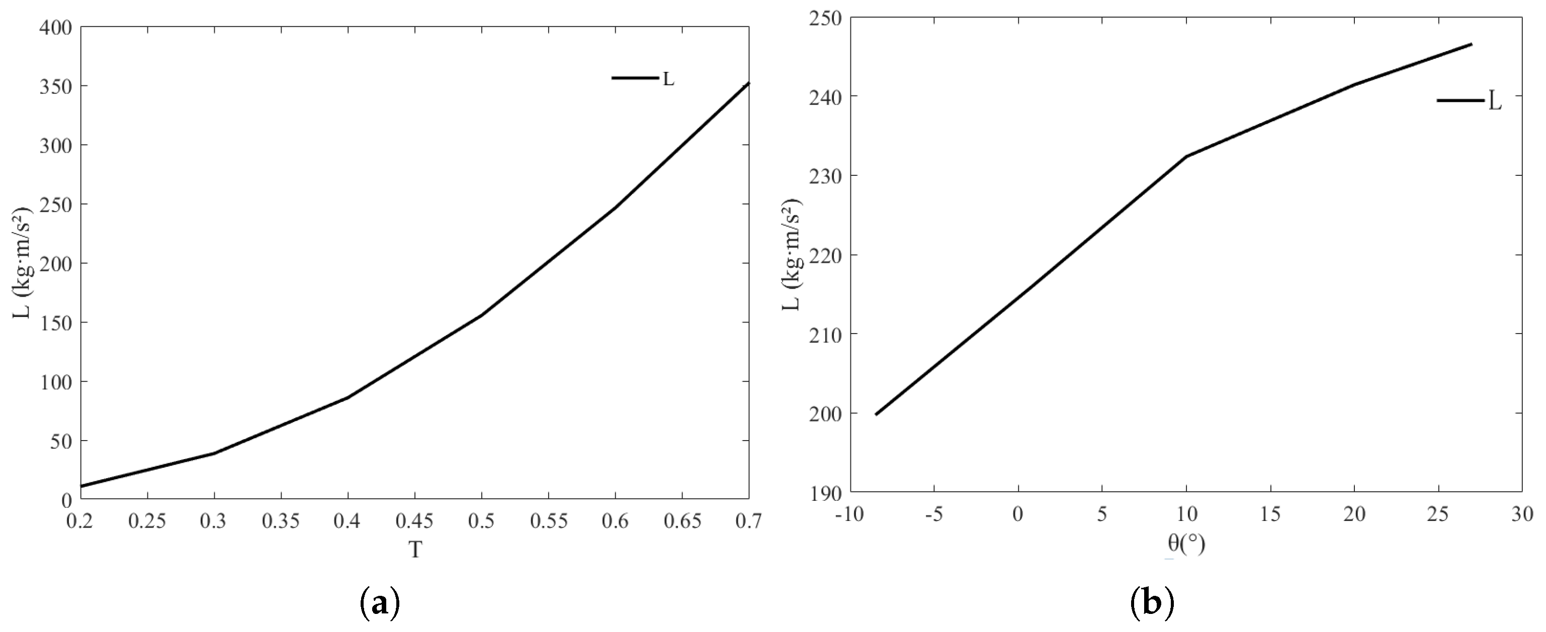
Figure 4 presents the actual experimental setup. The duct, control surfaces, induced wing of the propulsion wing unit and balance, control hub, and visual angle sensor are visible in the figure. Setting different induced wing angles, control surface angles, and throttles, the output of the balance is recorded and the lift characteristics of the power wing unit are obtained through the conversion of the axis system. The resulting lift characteristics are shown below, where T is the throttle and L is the lift.
Figure 5a shows the lift generated in hover mode, with the induced wing deflected 54° downward and the control surface at 27°. Hover is achieved at 65% throttle, producing a lift of 250 N. Figure 5b illustrates the control effectiveness of the control surface at 60% throttle. The rudder affects the ducted jet flow in a manner similar to the induced wing; however, because of its shorter chord length and because it is not fully immersed in the jet stream, its influence on the ducted flow is relatively small. When the rudder is deflected, it slightly alters the thrust direction. Specifically, if the baseline thrust is oriented horizontally forward, downward rudder deflection gradually redirects the thrust vector toward the vertical direction. When this redirected thrust is resolved into lift and drag components, the vertical component, which is lift, experiences a modest increase. Under this throttle setting, the baseline lift is 220 N, and the control surface deflection ranges from −10° to +25°. A maximum control input yields an additional force of 50 N, which is sufficient for stable hover control.
Further analysis was conducted to examine the influence of both induced vane deflection and control surface deflection on the ducted fan thrust vector angle. Figure 6a,b illustrate the relationship between the deflection angles of the induced vane and control surface, respectively, and the resultant thrust vector angle at throttle settings of 0.5, 0.6, and 0.7. The figures indicate that, during hover, the magnitude of the throttle has a minimal impact on the direction of the thrust vector. Instead, this direction is primarily influenced by the deflections of the control surface and the induced vane, and these relationships are linear. The model developed in this section accurately captures these characteristics.

3. INDI Controller Design and Simulation Verification

3.1. INDI Controller

According to Liu et al. [23], Incremental Nonlinear Dynamic Inversion (INDI) is essentially a feedback linearization method that compensates nonlinear and coupling terms in the system to achieve a decoupled linear transfer relationship. In this section, the INDI control law will be given according to the literature [15].
Consider a nonlinear system:
x ˙ = f ( x ) + g ( x ) u y = h ( x )
where x is the state vector, u is the input vector, and y is the output vector. The conventional NDI control law is
u = g 1 ( x ) v f ( x )
where v denotes the desired output response of the system. It can be seen that conventional NDI requires an accurate global nonlinear model, but in distributed systems, f ( x ) (Coriolis force, gyroscopic effect, etc.), it is difficult to model accurately. Its robustness deteriorates when there are parameter ingressions and uncertainties. And according to the literature [15,24,25,26], the control law of INDI is
u = g 1 ( x 0 ) ( v x ˙ ^ 0 ) + u 0
where x 0 and u 0 are the previous state and control input, and x ˙ ^ 0 is the estimated control effectiveness for x ˙ 0 . From the above equation, it can be seen that the INDI control law does not depend on f ( x ) , the relevant information of the controlled object model is replaced by the filter measurements x ˙ ^ 0 that can be made. Therefore, INDI control has a low dependence on the model and is more robust to model uncertainties and disturbances. The longitudinal INDI control system is constructed from the above equation as shown in Figure 7:
The overall system includes an altitude linear controller and an attitude INDI controller.
In order to eliminate the static error of altitude tracking, a linear PI controller is used in the altitude outer loop, whose inputs are the desired altitude and the current altitude, and the altitude controller calculates the error between them and outputs the longitudinal velocity command c m d V y in the ground coordinate system. In addition, to enhance the robustness of the system to atmospheric perturbations (e.g., ground effects) and sensor drift, an auxiliary feedback to the estimated rate of change of altitude is H ^ also introduced. And then, together with the horizontal velocity command c m d V x , it is fed into the velocity controller, which uses a linear gain structure to produce rejection of the velocity error and outputs the desired rate of change of velocity d e s V ˙ e for acceleration level regulation. The current estimated velocity V ^ e is used as a feedback signal during the control process to calculate the desired acceleration d e s V ˙ e and compared to produce an error signal input to the attitude control module.
The attitude control system needs to stabilize the tracking of the attitude angle command output from the front circuit system, in order to ensure the tracking accuracy, the attitude control system is divided into the attitude angle outer loop and the angular velocity inner loop. The attitude angle outer loop is composed of a linear PID controller that inputs the attitude angle corresponding to the desired acceleration ( d e s V ˙ e solved by the control matrix) and outputs the desired angular velocity, while the angular velocity inner loop adopts INDI control, and the core role of the inner loop INDI is to solve the angular acceleration command by using the current control effectiveness model (i.e., the real-time estimated control allocation matrix B ^ p 1 , B ^ p 2 , which represents the effect of the control inputs on the angular acceleration of the airframe) and the sensor data, using the error between the desired and the actual feedback angular acceleration as the input, pseudo-inverse control quantities y 1 to improve robustness to aerodynamic disturbances by directly compensating for disturbances through the dynamic inverse model. The input feedback signal is the angular acceleration error.Control quantities and control matrices are solved to form a control system mixer, use the pseudo-inverse control volume output from the attitude INDI controller as an input signal, and the pseudo-inverse signal is solved into the thrust increment U 1 , U 2 and rudder deflection commands θ c m d of 4 power wing units (one group on the same side) through the control allocation matrix, so as to realize the attitude control of the UAV.
This control system architecture realizes the problem of controlling the distribution and strong coupling characteristics of a distributed electric propulsion multi-input system through hierarchical decoupling and introducing the anti-jamming capability of the INDI inner loop, combined with the real-time solving of the control allocation of distributed power.

3.2. Digital Simulation Verification

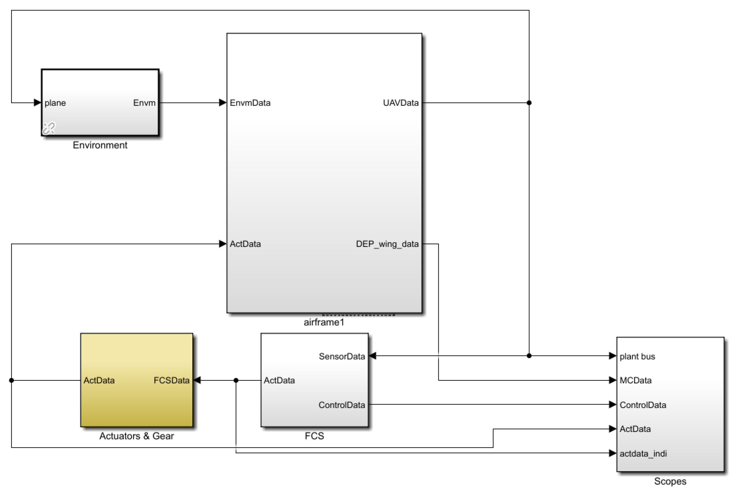
MATLAB 2022b and Simulink 5.1 are used to build the UAV simulation system, shown in Figure 8.
The simulation system includes the UAV model, mixed controller, environment model, control bus system, and oscilloscope. The UAV model comprises a 6-DOF model, aerodynamic model, and propulsion model. The Commander state flow initializes and manages simulation conditions, while oscilloscopes record real-time states. The simulation initial conditions and simulation state settings are shown in Table 2, where the wind disturbance is directly applied as a torque to the dynamics model, which can directly verify the anti-disturbance capability of the attitude controller.
Table 3 summarizes UAV performance parameters. To verify the designed INDI controller, simulations were conducted under disturbance and actuator failure scenarios.

3.2.1. Disturbance Rejection Simulation

To match typical electric motor dynamics of small UAVs, a first-order inertial element with time constant 0.1 s is used. The simulation investigates vertical transition from takeoff to hover. Initially, the UAV rests on the ground with a pitch angle of 45 ° , then ascends vertically to 20 m and hovers. To verify robustness, a 50 N · m pitch disturbance is added after hovering stabilizes. Figure 9 shows flight states.
The UAV is able to take off vertically and smoothly under the designed control scheme, with an altitude overshoot of no more than 1 m, a pitch angle fluctuation of 1.5 ° or less and throttle levels within control bounds (Throttle 1–3 are in the same group, and 4–6 are in the same group, so only dt3 and dt6 are shown, as follows). X-axis speed fluctuates are within 0.5 m/s during takeoff, while Y-axis speed remains zero, confirming vertical lift-off capability. After applying disturbance at 15 s, height remains steady, speed deviation is witnin 0.1 m/s, pitch within 1 ° , all recovering within 5 s—demonstrating strong anti-interference capability and fast adjustment speed.
The longitudinal control and anti-jamming capability of the UAV was verified above. Further, to test attitude control, a 10 ° yaw command is issued after stabilization, followed by a 10 ° roll command. A 50 N · m lateral disturbance is continuously applied. Figure 10 shows flight states.
As shown in Figure 11, after applying lateral and directional disturbance moments during stable hover, both roll and yaw angles promptly return to stability with fluctuations not exceeding 2 ° . Furthermore, when attitude angle commands were applied at 20 s and 30 s, respectively, the UAV accurately tracked the commands with less than 1 ° overshoot and steady-state error. Control surface deflections remained within acceptable limits while altitude maintained stability throughout. These results validate the INDI controller’s precise attitude control and strong disturbance rejection capabilities.

3.2.2. Power Failure Simulation

In actual flight, propulsion failure represents a typical fault that distributed-propulsion UAVs must address. The ability to rapidly recover attitude stability during sudden propulsion failure serves as a critical metric for evaluating controller robustness. As previously described, the six thrusters are divided into two groups (Thrusters 1–3 and 4–6) in the simulation. This test verifies the strong robustness of the INDI controller by deactivating one thruster in each group. Specific procedure: After achieving stable hover, Thruster 2 was deactivated at 10 s, followed by Thruster 5 at 20 s, with all thrusters reactivated at 30 s. Simulation results are shown in Figure 10.
The UAV’s pitch angle exhibits fluctuations within 4 ° after propulsion failure. Nevertheless, the controller enables rapid command tracking, maintaining post-recovery tracking error below 1 ° . Altitude remains stable throughout, while forward velocity experiences approximately 3 m/s fluctuations during failure (within acceptable limits), recovering to zero immediately after propulsion restoration to reestablish hover. Figure 10d demonstrates that after single-thruster failure, the remaining thrusters respond rapidly with maximum throttle commands not exceeding 0.83. This confirms maintained control redundancy during single-point failures and validates the strong robustness of the INDI (Incremental Nonlinear Dynamic Inversion) controller.

4. Suspension Test and Conclusion

For actual flight validation where parameters (e.g., moment of inertia, thrust efficiency) differ from simulation, tether-assisted hanging tests were conducted to verify attitude control. Test environment: wind speed 5 m/s, temperature 30 ° . The physical platform parameters matched those in Table 3, except that the reference pitch angle was set at 48 ° due to center-of-gravity configuration. Figure 12a shows the tethered system hardware: UAV, suspension frame, remote emergency cutoff switch, and ground station system (including communication link, real-time kinematic (RTK) base station, etc.). The UAV was suspended via steel cables, ensuring exclusive longitudinal tension. Flight states were monitored and recorded by the ground station, while the emergency cutoff switch enabled immediate braking during contingencies. When an emergency occurs during the test, the test can be terminated in time by shutting down the power supply of the UAV, thus effectively guaranteeing the safety of the testers and the UAV and avoiding the risk of falling caused by control instability. Figure 12b shows the principle of the suspension test, the prototype of the UAV is fixed on the hanging device, and the flight controller carried by the UAV obtains the attitude and state information of the UAV in real time through the sensors on the one hand, and completes the control algorithm and outputs the actuator control commands on the other hand. At the same time, the pilot can not only obtain the real-time data of the UAV through the ground station, but it also directly observes the flight status through visual means and utilizes the remote control to implement the control of the UAV, thus realizing the comprehensive monitoring and safety control of the test process. The procedure is as follows: (1) Elevate tethered UAV to preset altitude; (2) After ground station unlocking, commence operator-controlled takeoff; (3) Transition to hover mode at target altitude; (4) Automatic data logging by flight control system. The tests proceeded under wind-disturbed conditions to concurrently evaluate disturbance rejection. Three phases comprised the following: (a) Hover tests validating VTOL capability and flight logic; (b) Forward impulse tests assessing attitude controller’s disturbance rejection; (c) Propulsion-failure tests verifying robustness of the INDI (Incremental Nonlinear Dynamic Inversion) controller.

4.1. Hover Test

The hover test lasted 70 s. As shown in Figure 13a, the UAV takes off manually from a height of 0.8 m. At 10 s, the system switches to a stabilized mode, during which a sudden pitch-down command of approximately 6 ° occurs. The INDI controller compensates, stabilizing the aircraft and allowing it to ascend. At 22 s, the UAV switches to altitude-hold mode with altitude variations within 0.2 m. From 30 to 50 s, the UAV maintains hover before switching back to manual mode and ascending for the next test. Throughout the process, the UAV remains stable. Figure 13b shows that the pitch angle closely follows the command, with fluctuations within 3 ° , excluding mode transitions. Figure 13c indicates continuous roll angle fluctuations within 4 ° due to wind interference. Roll command tracking shows a 1 s delay, acceptable for the UAV’s limited control authority. Figure 13d shows yaw changing from 20 ° to 5 ° , initially offset due to mechanical asymmetry and gradually corrected after takeoff. Some overshoot and latency are observed due to wind and control limitations. Figure 13e indicates throttle usage never exceeds 0.7 (maximum defined as 1), suggesting sufficient control margin.

4.2. Forward Impulse Test

Surge test data (Figure 14) indicate three consecutive tethered surges initiated at 20 s, 40 s, and 60 s respectively. Constrained by the tether mechanism, forward velocity was limited to ≤0.5 m/s. Pitch response curves (Figure 14b) demonstrate rapid command tracking with low latency, maintaining < 5 ° deviation during surges. Height variations during each surge event remained ≤ 0.1 m (Figure 14c). Throttle commands never exceeded 80% throughout the test (Figure 14d), with thruster differential magnitude merely 0.05 (full-scale reference: 1.0) during surges.

4.3. Power Failure Test

Following hover and surge tests validating the INDI controller’s flight logic and disturbance rejection, propulsion-failure tests were conducted to evaluate robustness. In these tests, one thruster unit in each of the left-rear (L-R) and right-front (R-F) positions was deactivated (six units total), while UAV flight states were monitored. Safety measures included tethering the UAV at an increased altitude of 2 m. The procedure involved a vertical takeoff to hover, triggering the thruster failure, transitioning to operator-controlled manual mode, and recording the flight parameters.
Figure 15 shows that, at 10 s during stable hover, sudden thruster failure caused 1.5 m altitude drop due to lift deficit. Subsequent throttle increase restored altitude while maintaining pitch oscillations < 8 ° . Differential throttle commands emerged in failure-affected thruster groups (Figure 15d) to counteract disturbance moments from asymmetric thrust. During surge simulation initiated at 30 s, pitch angle maintained precise command tracking despite acceptable latency/error, with maximum throttle at 80% confirming control margin.
Suspension tests demonstrate that the INDI controller achieves disturbance rejection in physical flights, maintains control accuracy under dual modes, and preserves attitude stability plus maneuverability post-failure. This verifies bounded-disturbance robustness with control redundancy ensuring operational reliability.

4.4. Limitations of the Work

This study addresses the flight control design and analysis of a distributed-propulsion VTOL UAV in hover mode under a limited set of disturbance conditions. Several limitations of the present work should be recognized. First, the current analysis considers only a subset of disturbance types and does not fully capture the controller’s performance under realistic wind gusts or coupled environmental and operational perturbations. Second, although the aircraft is intended to operate across multiple flight modes, including the transition between hover and forward flight, the present investigation is confined to hover-phase control with fixed induced-wing deflection angles. Future efforts should therefore focus on extending the control framework to incorporate dynamic actuation of the induced wings during transition flight and to evaluate the stability and performance over the entire flight envelope, thereby ensuring safe and robust operation across a wide range of flight conditions.

5. Conclusions

This paper presents a comprehensive approach to modeling and control of a non-tilting distributed electric propulsion VTOL UAV during hover flight. By accounting for strong aerodynamic–propulsion coupling and high-order nonlinearities often neglected in conventional models, we developed an accurate dynamic model and implemented an Incremental Nonlinear Dynamic Inversion (INDI) control strategy, which was validated through both simulation and real-world tethered flight tests.
The main conclusions are as follows:
  • An INDI-based attitude controller with a cascaded structure (attitude outer loop and angular rate inner loop) was designed, significantly reducing dependence on precise system models while maintaining high control accuracy and robustness.
  • A coordinated control allocation strategy was developed to manage 24 ducted rotors across four fixed propulsion units together with deflected control surfaces and induced wings, enabling effective attitude regulation without tilting the motors.
  • Both digital simulations and tethered flight experiments on a physical prototype confirmed the effectiveness of the proposed method, demonstrating its capability to achieve precise hover control under real-world disturbances and model uncertainties.
This work presents a practical and validated control framework for distributed-propulsion VTOL UAVs, in which the tight integration of propulsion and aerodynamic surfaces results in strong propulsion–aerodynamic coupling. The proposed approach addresses this coupling explicitly and demonstrates robust performance in hover, thereby laying a foundation for future applications in urban air mobility and other advanced aerial platforms.

Author Contributions

Conceptualization, Q.Z. and Y.Z.; methodology, Q.Z. and R.W.; software, Y.Z.; validation, Y.Z.; formal analysis, Q.Z. and Y.Z.; investigation, Y.Z.; resources, Y.Z.; data curation, Q.Z. and Y.Z.; writing—original draft preparation, Y.Z.; writing—review and editing, Q.Z.; visualization, Q.Z. and Y.Z.; supervision, Q.Z.; project administration, R.W.; funding acquisition, Z.Z. All authors have read and agreed to the published version of the manuscript.

Funding

This research was funded by the Pre-Research Project for Equipment Development (Program No. 50911040803) and Aeronautical Science Foundation of China (Program No. 2024Z006053001).

Data Availability Statement

The original contributions presented in this study are included in the article. Further inquiries can be directed to the corresponding author.

Conflicts of Interest

The authors declare no conflicts of interest.

References

  1. She, Y.; Fu, K.; Diao, B.; Sun, M. Experimental Validation of a Rule-Based Energy Management Strategy for Low-Altitude Hybrid Power Aircraft. Aerospace 2025, 12, 758. [Google Scholar] [CrossRef]
  2. Shan, W.; Bao, S.; Lin, S.; Kang, L. Hybrid Electric Propulsion Design and Analysis Based on Regional Aircraft Mission. World Electr. Veh. J. 2025, 16, 212. [Google Scholar] [CrossRef]
  3. Wang, K.; Zhou, Z.; Guo, J.; Li, M. Propulsive/aerodynamic coupled characteristics of distributed-propulsion-wing during forward flight. Hangkong Xuebao/Acta Aeronaut. Astronaut. Sin. 2024, 45, 128643. [Google Scholar] [CrossRef]
  4. Zhao, Q.; Zhou, Z.; Li, M.; Xu, D. Propulsion/aerodynamic coupling modeling for distributed-propulsion-wing with induced wing configuration. Hangkong Xuebao/Acta Aeronaut. Astronaut. Sin. 2024, 45, 150–164. [Google Scholar] [CrossRef]
  5. Xiao, N.; Qiao, X.; Chen, X.; Li, B. Reliability Analysis of Multi-Rotor Drone Electric Propulsion System Considering Controllability and FDEP. Drones 2025, 9, 572. [Google Scholar] [CrossRef]
  6. Wang, K.; Zhou, Z. Aerodynamic design, analysis and validation of a small blended-wing-body unmanned aerial vehicle. Aerospace 2022, 9, 36. [Google Scholar] [CrossRef]
  7. Zhu, B.; Yang, X.; Zong, J.; Deng, X. Review of distributed hybrid electric propulsion aircraft technology. ACTA Aeronaut. Astronaut. Sin. 2022, 43, 25556. [Google Scholar] [CrossRef]
  8. Li, Z.; Yang, X.; Sun, K.; Xiong, J.; Shi, S. Aerodynamic configuration of distributed ducted fan with complex strong interference effect and performance influence. Acta Aeronaut. Astronaut. Sin. 2025, 46, 130805. [Google Scholar] [CrossRef]
  9. Guo, J.; Zhou, Z. Multi-objective design of a distributed ducted fan system. Aerospace 2022, 9, 165. [Google Scholar] [CrossRef]
  10. Hu, X.; Zou, C.; Tang, X.; Liu, T.; Hu, L. Cost-Optimal Energy Management of Hybrid Electric Vehicles Using Fuel Cell/Battery Health-Aware Predictive Control. IEEE Trans. Power Electron. 2020, 35, 382–392. [Google Scholar] [CrossRef]
  11. Raza, W.; Stansbury, R.S. Noise Prediction and Mitigation for UAS and eVTOL Aircraft: A Survey. Drones 2025, 9, 577. [Google Scholar] [CrossRef]
  12. Brelje, B.J.; Martins, J.R.R.A. Electric, Hybrid, and Turboelectric Fixed-Wing Aircraft: A Review of Concepts, Models, and Design Approaches. Prog. Aerosp. Sci. 2019, 104, 1–19. [Google Scholar] [CrossRef]
  13. He, H.; Zhao, Z.; Kong, F. Longitudinal control of fixed-wing UAV based on deep reinforcement learning. J. Beijing Univ. Aeronaut. Astronaut. 2024. (In Chinese) [Google Scholar] [CrossRef]
  14. Steinert, A.; Raab, S.; Hafner, S.; Holzapfel, F.; Hong, H. From fundamentals to applications of incremental nonlinear dynamic inversion: A survey on INDI–Part I. Chin. J. Aeronaut. 2025, 38, 103553. [Google Scholar] [CrossRef]
  15. Wang, R.; Zhou, Z.; Lungu, M.; Li, L. PSD INDI and wake gradient based control of high aspect ratio UAVs’ close formation flight. Aerosp. Sci. Technol. 2025, 162, 110198. [Google Scholar] [CrossRef]
  16. Yu, Z.Q.; Zhang, Y.M.; Jiang, B. PID-type fault-tolerant prescribed performance control of fixed-wing UAV. J. Syst. Eng. Electron. 2021, 32, 1053–1061. [Google Scholar] [CrossRef]
  17. Zheng, F.Y.; Zhen, Z.Y.; Gong, H.J. Observer-based backstepping longitudinal control for carrier-based UAV with actuator faults. J. Syst. Eng. Electron. 2017, 28, 322–377. [Google Scholar] [CrossRef]
  18. Lee, S.; Lee, J.; Lee, S.; Choi, H.; Kim, Y.; Kime, S.; Suk, J. Sliding mode guidance and control for UAV carrier landing. IEEE Trans. Aerosp. Electron. Syst. 2018, 55, 951–966. [Google Scholar] [CrossRef]
  19. Sheng, Z.; Yang, H.; Wang, J.; Zhang, T. Robust Convergency Indicator using MIMO-PI Controller in the presence of disturbances. J. Frankl. Inst. 2025, 362, 108152. [Google Scholar] [CrossRef]
  20. Zhao, J.; Zhao, H.; Song, Y.; Sun, Z.; Yu, D. Fast finite-time consensus protocol for high-order nonlinear multi-agent systems based on event-triggered communication scheme. Appl. Math. Comput. 2026, 508, 129631. [Google Scholar] [CrossRef]
  21. Feuer, A.; Goodwin, G.C. Linear deterministic adaptive control: Fundamental limitations? Syst. Control Lett. 2003, 49, 5–8. [Google Scholar] [CrossRef]
  22. Sun, S.; Dong, H.; Zhao, Z.; Li, W.; Wang, Y. Single rotor failure control of tilt-rotor eVTOL based on Incremental Nonlinear Dynamic Inversion. Propuls. Technol. 2025, 46, 249–262. (In Chinese) [Google Scholar] [CrossRef]
  23. Liu, S.; Lin, Z.; Liu, W.; Yan, B.; Huang, W. Transition mode control scheme of tilt rotor UAV based on INDI. Hangkong Xuebao/Acta Aeronaut. Astronaut. Sin. 2024, 45, 236–250. [Google Scholar] [CrossRef]
  24. Steffensen, R.; Steinert, A.; Smeur, E.J.J. Nonlinear dynamic inversion with actuator dynamics: An incremental control perspective. J. Guid. Control Dyn. 2022, 46, 709–717. [Google Scholar] [CrossRef]
  25. Liu, Z.; Zhang, Y.; Liang, J.J.; Chen, H. Application of the improved incremental nonlinear dynamic inversion in fixed-wing UAV flight tests. J. Aerosp. Eng. 2022, 35, 04022091. [Google Scholar] [CrossRef]
  26. Ahmadi, K.; Asadi, D.; Nabavi-Chashmi, S.Y.; Tutsoy, O. Modified adaptive discrete-time incremental nonlinear dynamic inversion control for quadrotors in the presence of motor faults. Mech. Syst. Signal Process. 2023, 188, 109989. [Google Scholar] [CrossRef]
Figure 1. Configuration design of the UAV: (a) Vertical view. (b) Side view.
Figure 1. Configuration design of the UAV: (a) Vertical view. (b) Side view.
Vehicles 07 00138 g001
Figure 2. Schematic layout of the UAS: (a) Hover mode. (b) Propulsion wing unit.
Figure 2. Schematic layout of the UAS: (a) Hover mode. (b) Propulsion wing unit.
Vehicles 07 00138 g002
Figure 3. Schematic diagram of the bench test system.
Figure 3. Schematic diagram of the bench test system.
Vehicles 07 00138 g003
Figure 4. Partial certification of bench test systems.
Figure 4. Partial certification of bench test systems.
Vehicles 07 00138 g004
Figure 5. Lift and rudder effect characteristics: (a) Lift. (b) Rudder Effect.
Figure 5. Lift and rudder effect characteristics: (a) Lift. (b) Rudder Effect.
Vehicles 07 00138 g005
Figure 6. Relationship between control surface and force direction angles and resultant thrust vector angle at various throttle settings: (a) Induced wing. (b) Control surface.
Figure 6. Relationship between control surface and force direction angles and resultant thrust vector angle at various throttle settings: (a) Induced wing. (b) Control surface.
Vehicles 07 00138 g006
Figure 7. Vertical control system.
Figure 7. Vertical control system.
Vehicles 07 00138 g007
Figure 8. Digital simulation system.
Figure 8. Digital simulation system.
Vehicles 07 00138 g008
Figure 9. Simulation state: (a) Velocity. (b) Height. (c) Pitch. (d) Throttle.
Figure 9. Simulation state: (a) Velocity. (b) Height. (c) Pitch. (d) Throttle.
Vehicles 07 00138 g009
Figure 10. Simulation state: (a) Height. (b) Pitch. (c) Velocity. (d) Throttle.
Figure 10. Simulation state: (a) Height. (b) Pitch. (c) Velocity. (d) Throttle.
Vehicles 07 00138 g010
Figure 11. Simulation state: (a) Height. (b) Yaw. (c) Roll. (d) Rudder angle.
Figure 11. Simulation state: (a) Height. (b) Yaw. (c) Roll. (d) Rudder angle.
Vehicles 07 00138 g011
Figure 12. Suspension test: (a) Suspension test bench. (b) Principle of suspension test.
Figure 12. Suspension test: (a) Suspension test bench. (b) Principle of suspension test.
Vehicles 07 00138 g012
Figure 13. Simulation state: (a) Height. (b) Pitch. (c) Yaw. (d) Roll. (e) Throttle.
Figure 13. Simulation state: (a) Height. (b) Pitch. (c) Yaw. (d) Roll. (e) Throttle.
Vehicles 07 00138 g013
Figure 14. Simulationstate: (a) Vx. (b) Pitch. (c) Height. (d) Throttle.
Figure 14. Simulationstate: (a) Vx. (b) Pitch. (c) Height. (d) Throttle.
Vehicles 07 00138 g014
Figure 15. Simulation state: (a) Height. (b) Pitch. (c) Vx. (d) Throttle.
Figure 15. Simulation state: (a) Height. (b) Pitch. (c) Vx. (d) Throttle.
Vehicles 07 00138 g015
Table 1. UAV overall parameters.
Table 1. UAV overall parameters.
ParametersNumerical Value
Mass/kg100
Wingspan/m3
Fuselage length/m2
Duct Diameter/m0.25
Number of duct24
Table 2. Simulation settings.
Table 2. Simulation settings.
ParameterInitial ConditionsTarget Setting
Height/m220
Attitude angle/°(0, 45, 0)(10, 45, 10)
Wind interference/ N · m (50, 50, 50)
Induced wing declination/°54
Rudder declination/°27
Table 3. UAV Performance Parameters.
Table 3. UAV Performance Parameters.
ParametersNumerical Value
Mass/kg100
Wingspan/m3
Fuselage length/m2
Duct Diameter/m0.25
( J x , J y , J z )/( kg · m 2 ) (40.56, 44.46, 69.68)
J x z /( kg · m 2 ) 12.35
Disclaimer/Publisher’s Note: The statements, opinions and data contained in all publications are solely those of the individual author(s) and contributor(s) and not of MDPI and/or the editor(s). MDPI and/or the editor(s) disclaim responsibility for any injury to people or property resulting from any ideas, methods, instructions or products referred to in the content.

Share and Cite

MDPI and ACS Style

Zhao, Q.; Zhang, Y.; Wang, R.; Zhou, Z. Modeling and Control of Distributed-Propulsion eVTOL UAV Hovering Flight. Vehicles 2025, 7, 138. https://doi.org/10.3390/vehicles7040138

AMA Style

Zhao Q, Zhang Y, Wang R, Zhou Z. Modeling and Control of Distributed-Propulsion eVTOL UAV Hovering Flight. Vehicles. 2025; 7(4):138. https://doi.org/10.3390/vehicles7040138

Chicago/Turabian Style

Zhao, Qingfeng, Yawen Zhang, Rui Wang, and Zhou Zhou. 2025. "Modeling and Control of Distributed-Propulsion eVTOL UAV Hovering Flight" Vehicles 7, no. 4: 138. https://doi.org/10.3390/vehicles7040138

APA Style

Zhao, Q., Zhang, Y., Wang, R., & Zhou, Z. (2025). Modeling and Control of Distributed-Propulsion eVTOL UAV Hovering Flight. Vehicles, 7(4), 138. https://doi.org/10.3390/vehicles7040138

Article Metrics

Back to TopTop