Next Article in Journal
Development of a Ready-to-Drink (RTD) Beverage Formulated with Whey and Beetroot Juice
Previous Article in Journal
Coconut Fatty Acid Distillate Ca-Soap with Different Calcium Sources: Effects of Varied Proportions of Protected and Unprotected Fat Supplementation in Dairy Rations
 
 
Font Type:
Arial Georgia Verdana
Font Size:
Aa Aa Aa
Line Spacing:
Column Width:
Background:
Article

Fat Profiles of Milk and Butter Obtained from Different Dairy Systems (High and Low Pasture) and Seasons (Spring and Fall): Focus on Healthy Fatty Acids and Technological Properties of Butter

1
Departamento de Ciencias Veterinarias y Agrarias, Cenur Litoral Norte, Universidad de la República (UdelaR), Ruta 3 km 363, Paysandú 60000, Uruguay
2
Departamento de Ciencia y Tecnología de Alimentos, Facultad de Química, Universidad de la República (UdelaR), Av. General Flores 2124, Montevideo 11800, Uruguay
3
Unidad Tecnológica de Lácteos, Departamento de Alimentos, Universidad Tecnológica del Uruguay (UTEC), Camino Alejandro Malcolm s/n, La Paz Colonia Piamontesa, Colonia 70200, Uruguay
4
Carrera Tecnólogo Químico, Departamento de Alimentos, Universidad Tecnológica del Uruguay (UTEC), Calle 17 Saladero Santa María casi Av de las Américas, Paysandú 60000, Uruguay
*
Authors to whom correspondence should be addressed.
Dairy 2024, 5(3), 555-575; https://doi.org/10.3390/dairy5030042
Submission received: 23 July 2024 / Revised: 7 September 2024 / Accepted: 11 September 2024 / Published: 13 September 2024
(This article belongs to the Section Milk Processing)

Abstract

This study aimed to evaluate the fatty acid (FA) profile in milk from commercial farms with varying pasture levels in the diet during spring and fall, and to investigate the physical and chemical properties of butter to assess the impact of FAs on technological and nutritional properties. Milk sampling was conducted biweekly from six farms, categorized into high (HP) and low (LP) pasture treatments based on pasture intake: >60% and <35%, respectively. Butter was made from a pasture-based system (GRZ) and a confined system (C). No differences were observed in milk fat percentage between HP and LP in either season. High pasture had 85–66% more conjugated linoleic acid (CLA, p = 0.01), 74–48% more trans-vaccenic acid (TVA, p = 0.01), and 21–15% more branched-chain FAs (BCFAs, p = 0.006) than LP in spring and fall, respectively. In fall, butter from C had lower saturated FAs (SFAs, p = 0.005), higher unsaturated FAs (UFA, p = 0.008), and a lower spreadability index (SI, p = 0.005) than GRZ, resulting in softer butter. In conclusion, HP in both seasons had higher contents of FAs considered healthy for consumers compared to LP. Contrary to expectations, in fall, C showed higher UFAs and lower SFAs in butter, leading to better technological characteristics than GRZ.

1. Introduction

Milk and dairy products hold significant nutritional value in the human diet, supplying essential energy, protein, vitamins, and minerals [1,2,3,4]. Various factors influence milk composition, including diet, breed, parity, environmental conditions, feeding and management practices, season, and lactation state [5,6]. Among these factors, lipids constitute the most variable fraction of milk and are highly responsive to dietary modifications in terms of composition and concentration [1,3]. The chain length and degree of unsaturation of fatty acids (FAs) are critical determinants of milk fat quality concerning human health. These factors are closely linked to lipid digestion in bovine species. Lipids in the diet undergo lipolysis and biohydrogenation processes mediated by rumen bacteria, leading to the saturation of most consumed unsaturated FAs (UFAs). The progression of this process is influenced by the characteristics (type and quantity) of lipids and the type of diet [1,4,7]. Moreover, it should be noted that some natural fatty materials, such as fat from meat and ruminant milk, contain trans FAs, including vaccenic acid (TVA) and conjugated linoleic acid (CLA). Conjugated linoleic acid comprises a family of positional and geometric isomers, all of which are conjugated dienes of linoleic acid (18:2). These FAs have been reported to offer beneficial health effects, including hypocholesterolemic, anticarcinogenic, antiatherogenic properties, modulation of the immune response, and improvement of bone mineralization [8,9,10]. It has been reported that the consumed amount of CLA needed to produce observable health benefits ranges from 0.8 to 3.0 g/d [11]. TVA, an intermediate in CLA formation, also possesses beneficial health properties, including the reduction of cardiovascular disease risk and potential inhibition of tumor growth [12]. Additionally, oleic acid and TVA found in milk have also been shown to have beneficial effects on human health, similar to CLA. Oleic acid reduces total cholesterol and low-density lipoprotein (LDL) [13], while TVA is desaturated to CLA in the human body at a rate of 19% [14]. Furthermore, odd- and branched-chain FAs (OBCFAs) are unique components of ruminant fat, representing the primary contribution of BFAs to human nutrition. The quantification of milk BFAs has garnered significant interest in recent years. Due to their origin and the correlations observed between diet and ruminal microbial population, OBCFAs are considered potential biological indicators of ruminal function [15]. The potential inhibitory effects on tumor cells [16] and the reduced risk of cardiovascular disease, associated with the consumption of these FAs further underscore their beneficial effects on human health, including a lower risk of developing type 2 diabetes [17]. Specifically, 15:0 and 17:0 iso and anteiso have been found to enhance the fluidity of cell membranes [18]. The concentration and composition of milk fat can be readily modified through dietary adjustments [19]. For example, increasing the proportion of forage in the diet compared to concentrate results in higher concentrations of OBCFAs in the milk. Similarly, a diet rich in grass silage could elevate the total content of OBCFAs in milk. The profile of OBCFAs in cow’s milk is primarily influenced by the FAs in the diet and FA metabolism in the rumen [20]. Therefore, understanding the origin of OBCFAs in milk and manipulating the diet of dairy cows to produce milk enriched with odd- and branched-chain FAs can be important both scientifically and industrially.
Prior studies have investigated milk FAs and their correlation with human health using certain indices. The atherogenic index (AI) is indicative of the risk impact on cardiovascular diseases. A higher AI suggests a greater risk of such diseases [21]. Additionally, the ratio between hypocholesterolemic (18:1, 18:2, and 18:3) and hypercholesterolemic FAs (12:0; 14:0, and 16:0), denoted as H/H, is associated with AI [22]. Another index associated with human health is the n-6/n-3 ratio [23]. Excessive levels of n-6, commonly found in Western diets, can hinder human enzymatic systems, contributing to the development of certain diseases. Conversely, higher levels of n-3 can have the opposite effects [23,24]. Furthermore, the technological potential of milk for butter production was assessed using the spreadability index (SI) [25].
Moreover, pasture-based systems are regarded as more environmentally friendly, animal welfare-conscious, and sustainable, compared to confinement systems [26]. Additionally, milk and dairy products from these systems offer potential nutritional benefits and market opportunities due to their improved composition, compared to those derived from total mixed ration (TMR) systems [27,28]. Pasture-based systems are commonly employed in regions with mild climates like South America and Oceania, owing to their low production costs, which are favored by climate conditions and forage accessibility [29]. However, even in these systems, the use of reserves and concentrates is necessary to ensure the fulfillment of energy requirements and nutrient quality [29,30]. In Uruguay, pasture utilization is crucial for reducing production costs and maintaining satisfactory production levels [29]. Furthermore, it has been widely reported that including pasture improves the FA profile (FAP) in milk and dairy products [31,32]. For instance, milk and dairy products from systems with a high proportion of pasture exhibit higher levels of UFAs and CLA, and lower proportions of saturated fatty acids (SFAs), compared to systems with low levels or no access to pasture [25,33,34,35,36,37,38]. Therefore, the ability to modify the composition of milk fat through pasture utilization and strategic supplementation can serve as a tool to differentiate dairy products, resulting in milk and dairy products with a healthier FAP for human consumption. It is important to consider that this management approach has its limitations. For instance, the addition of UFAs to the diet increases CLA production, but excessive amounts can result in a lower percentage of milk fat by reducing the production of new FAs in the udder [7,39]. Moreover, seasonality, particularly in pasture-based systems, affects the FAP in milk and dairy products. Climate factors influencing the thermal comfort of cows, primarily heat stress in summer, impact the lipid catabolism of the animals [40]. Additionally, seasonality impacts the quality of pastures [41], thus significantly influencing the quality of milk fat. In this regard, higher levels of monounsaturated FAs (MUFAs), polyunsaturated FAs (PUFAs), and CLA, along with a lower n-6/n-3 ratio and palmitic acid content, have been reported in milk and cheeses in spring compared to fall [42,43,44]. This may result from lower pasture availability and increased utilization of preserved forages in temperate countries during fall, leading to decreased FA quality in the cows’ diet [29,43].
In the past, the consumption of dairy fat (such as milk cream, butter, or cheese) raised concerns among consumers due to its high levels of SFAs, which had been linked to elevated cholesterol levels, arteriosclerosis, and cardiovascular diseases [21,45]. However, recent reviews and meta-analyses have concluded that milk consumption has at least a neutral effect on various health outcomes, and cow’s milk consumption may even be beneficial for osteoporosis, cardiovascular disease, stroke, type II diabetes, and certain cancers [46,47,48]. Regarding organoleptic characteristics, it has been reported that modifications in the FAP result in changes in the texture, sensory, and nutritional quality of butter [49]. In this regard, butter from pasture-based systems has shown better nutritional and rheological quality, compared to butter from confinement systems using TMR [50]. Additionally, higher levels of PUFAs, including CLA, and a higher yellow index have been reported in milk from pasture-based systems compared to TMR systems [51].
This study aimed to evaluate the FAP (mainly OBCFAs) in milk obtained from farms located in the northwest region of Uruguay, using feeding strategies with varying pasture content (classified as high and low pasture in the diet) during two seasons (spring and fall). The physical and chemical properties of butter were investigated to assess the impact of varying FAs profiles on the technological and nutritional properties of high-fat dairy products.

2. Materials and Methods

2.1. Experimental Design, Localization, and Sample Analysis

Six dairy farms located in the northwest region of Uruguay (Salto, Paysandú and Río Negro provinces) were selected according to the pasture intake, milk production, and somatic cell count from the previous year. Two treatments were created according to pasture intake: High Pasture (HP) (>65% pasture of total dry matter intake: DMI) and Low Pasture (LP) (<35% pasture of total DMI).
The study was conducted during two seasons: spring 2021 and fall 2022. Milk samples were collected from bulk tanks (if there were multiple tanks, a proportional mixture was prepared based on the volumes of each tank), considering that the milk originated from two or four milkings. Sampling was conducted fortnightly, completing a total of five periods for each season. The samples were extracted in 15 mL Falcon tubes, frozen for transfer, and subsequently analyzed in the laboratory of Food Technology at the School of Chemistry, Universidad de la República. Concurrently, feed samples (provided to dairy cows), including pasture and supplements (concentrate and reserves), were collected. In each dairy farm, the following records were kept: herd management, milk production, feeding routine (type of supplement, quantity, and composition), type of pasture (allocation, availability, and species), milk production, and number of milking cows.
During the spring, the HP treatment had an average of 74% pasture and 26% supplement, with a forage/concentrate ratio of 79:21, while the LP treatment had 10% pasture and 90% supplement, with a forage/concentrate ratio of 68:32. In the fall, the HP had an average of 45% pasture and 55% supplement, with a forage/concentrate ratio of 76:24, while the LP had 3% pasture and 97% supplement, with a forage/concentrate ratio of 61:39.
Pastures consisted of a variety of grass species (Festuca arundinacea, Avena sativa) and legumes (Medicago sativa, Lotus corniculatus, Trifolium pretense, Trifolium repens), as well as natural grassland. The ingredients used in commercial dairies varied over time, depending on available conserved forage and the market availability of grains and by-products for concentrate. The most commonly used conserved forages were whole-plant maize or sorghum silage, as well as grass hay, silage, or haylage (such as oat, lucerne, and moha). Concentrate mixes could include ground corn grain, rice bran, soybean expeller, soybean meal, barley rootlets, urea, yeast, and minerals.
Daily pasture DMI (kg DM/cow) was estimated using the energy balance method according to National Research Council (NRC) [52] guidelines, as the amount of pasture required to provide the remaining energy needed to meet the cow’s net energy (NE) requirement, not supplied by supplements (reserves and concentrates). Cow NE requirements were estimated as the sum of maintenance and milk production requirements [53]. The average data for neutral detergent fiber (NDF), acid detergent fiber (ADF), and ether extract (EE) of each group (pasture and supplement) are presented in Table 1.
Table 2 shows the FAP of pasture and supplement in each treatment (HP and LP) (averaged over the experimental period).

Butter Production

Butter was produced from two contrasting dairy farms based on diet and management: grazing + supplement (GRZ) and confinement cows with total mixed ration (TMR) (C: confined). At the time of milk extraction for butter production, a sample of feed (pasture and supplement) was obtained from each producer in each season. For the C dairy farm in spring and fall, the total mixed ration consisted of ground corn grain and soybean expeller for concentrate, haylage (Medicago sativa) as conserved forage, urea, and minerals. For the GRZ dairy farm in spring and fall, the supplement comprised corn grain and barley rootlet. Pastures consisted of Avena sativa and Medicago sativa in the fall, and Trifolium pretense and Lolium multiflorum. The FAP in the diet of cows from each farm (GRZ and C) is shown in Table 3.
For both producers (contrasting conditions: GRZ and C), in each season (spring and fall), two butter productions were carried out on consecutive days in triplicate. For each butter production, 60 L of bulk milk (MilkB) was obtained and immediately transported under refrigerated conditions (4 °C) to the dairy pilot plant of the Universidad Tecnológica del Uruguay (UTEC) (La Paz, Colonia, Uruguay) for processing. Two batches of fresh cream (5 L each; 40–42% fat) were separated at 45 °C from pre-pasteurized milk. The cream was then stored overnight at 10 °C for maturation. Subsequently, both cream samples were churned in a rotary churn (Edibon España) at 26 rpm and 13 °C. After grain formation, the butter was washed with 1.7 L of water at 4 °C, and finally, it was kneaded until it formed into butter. Portions of butter were clarified for further analysis using the British Standards Method 769 (BSI 1961 54) [54].

2.2. Sample Analysis

2.2.1. Fatty Acid Profile in Milk and Butter

Milk and butter samples (3 g each) were extracted using the Rose-Gottlieb technique [55]. Analyses were conducted in triplicate, and FAs methyl esters were prepared following the IUPAC 2.301 protocol, [56] and analyzed by gas chromatography, according to the AOCS Ce 1c-89 and AOCS Ce 1f-96 protocols [57]. The gas chromatograph was a Shimadzu (Kyoto, Japan) model 2014 equipped with a Supelco (Bellefonte, PA, USA) SP 2560 (100 m × 0.25 mm × 0.2 mm) capillary column and a flame ionization detector (FID). The injection volume of the samples was 1 μL. The temperature program used was as follows: an initial temperature of 90 °C for 2 min, then an increase to 175 °C at a rate of 20 °C/min, maintained for 35 min, followed by an increase to 240 °C at a rate of 15 °C/min, maintained for 25 min. Peak identification was achieved through the analysis of authentic standards. Standards and reagents used for the analysis were supplied by Sigma-Aldrich (Burlington, MA, USA). The milk fat compositions were expressed in grams of each individual FA per 100 g of total fat. The atherogenicity index (AI) was calculated as (12:0 + 4 × 14:0 + 16:0)/(MUFAs + PUFAs) [21], and the hypocholesterolemic/hypercholesterolemic FA (H/H) ratio was calculated as (18:1 cis + 18:2 cis + 18:3 cis)/(12:0 + 14:0 + 16:0) [22]. The spreadability index (SI) was calculated as the ratio of 16:0 to 18:1, as proposed by O’Callaghan et al. [25].

2.2.2. Fatty Acid Profile in Pasture and Supplement

Fat was extracted from the different samples (1 g each) using the Hara and Radin [58] technique, with a mixture of hexane and isopropanol (3:2). Initially, approximately 1 g of milled samples was weighed into a tube, and 20 mL of the solvent mixture was added. Extraction was conducted at room temperature (20 °C) with magnetic stirring for 90 min. Subsequently, centrifugation was performed (Hermle, model Z 200 A, Gosheim, Germany) at 3000 rpm for 15 min. Following centrifugation, 5 mL of the solvent mixture was added for complete lipid extraction. Finally, the total solvent mixture was removed using a nitrogen flow at 40 °C until the weight of the lipids remained constant. Analyses were conducted in triplicate, and the FAP was determined as previously described for milk and butter.

2.2.3. Butter Firmness

The firmness of butter was measured at 10 °C using a Texture Analyzer (Brookfield CT3 50k, MA, USA) following the procedure previously described [59], with modifications. The procedure consisted of testing the cutting force at a depth of 16 mm applied to a given sample, which was stored at 10 °C for 12 h, at a speed of 2 mm/s using a TA53 cutting wire probe. The force of cutting between 8 and 16 mm was reported as the firmness of the sample. Each sample was measured six times.

2.2.4. Differential Scanning Calorimeter (DSC)

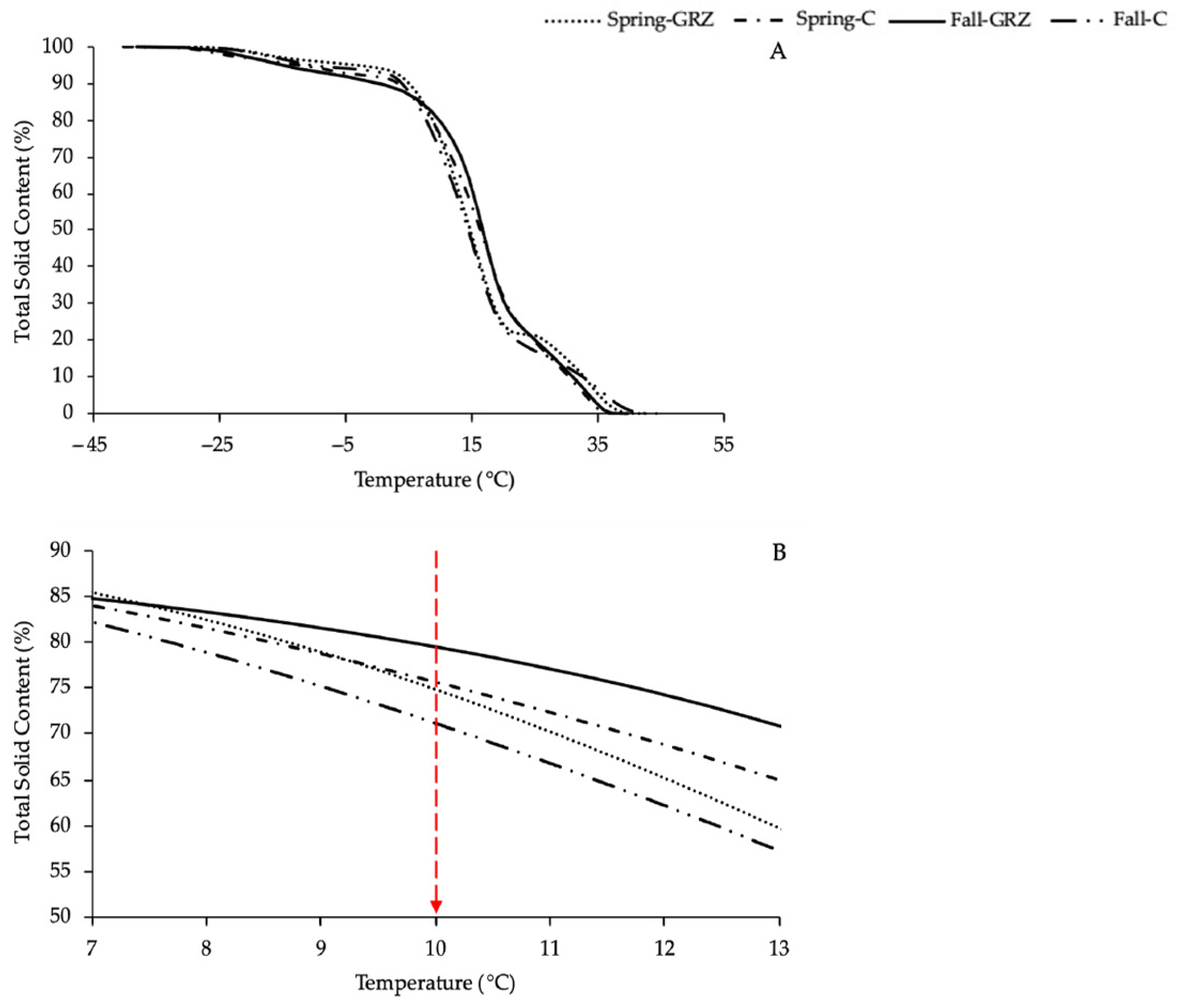
A Shimadzu differential scanning calorimeter (DSC-60A plus, Shimadzu Co., Kyoto, Japan) was used to examine the melting and crystallization properties of milk fat from butter. Oxygen (99.999% purity) was used as the purge gas. The DSC was calibrated using high-purity indium (m.p. 156.6 °C, ∆Hf = 28.45 J g−1), according to standard DSC procedures. Clarified butter samples of about 10 mg were placed in open aluminum pans and inserted into the heating chamber of the DSC cell, with an empty aluminum pan as the reference. Prior to analysis, the samples were heated at 50 °C for 5 min to melt all crystals and nuclei. Subsequently, they were tempered in a freezer at −20 °C for 48 h. The final crystallization was carried out in the DSC by cooling from 2 °C to −50 °C and left at −50 °C for 30 min. After that time, the melting was studied by heating the sample at 5 °C/min from −50 °C to 60 °C. At least duplicate determinations were carried out. Characteristic data were obtained using the Shimadzu DSC-TA 60A plus Version 2.21 software. The thermograms were integrated using the TA60 Version 2.21 software. From this integration, the fraction of liquid formed for each temperature was determined, and the curve of solids percentage vs. temperature was constructed.

2.2.5. Color

Clarified butter was measured at 50 °C using a Minolta Chroma-Meter CR-400 colorimeter. The parameters L*, a*, and b* were recorded in triplicate (Chiyodaku, Tokyo, Japan).

2.3. Statistical Analysis

For each season, data on fat content, FAP, and nutritional quality indices (AI, H/H, n-6/n-3) in milk were analyzed using repeated measures ANOVA with PROC GLIMMIX of SAS 9.04 (SAS Institute Inc., Cary, NC, USA). The statistical models included treatment (HP and LP), period (1 to 5), and the interaction between treatment and period. Farms within each treatment were considered as random effects. The Kenward–Roger approximation was utilized to calculate the denominator degrees of freedom for the fixed-effects tests of the model. Least squares (LS) means were generated using the LSMEANS/DIFF option, and post hoc comparisons were conducted with the Tukey test.
For butter variables (FAP, SI, firmness, and color), analyses were performed using one-way ANOVA, followed by post hoc Tukey tests, to compare the two contrasting farms (GRZ and C) in each season. Results were considered significant at p ≤ 0.05. Data are presented as mean ± SEM (standard error of the mean). The temperature and fusion enthalpy variables obtained from the DSC were analyzed using descriptive statistics. The mean ± SD data for both variables are shown. All variables were performed using SAS software 9.04. (SAS Institute Inc., Cary, NC, USA).

3. Results

3.1. Milk Fat and Fatty Acid Profile in Commercial Dairy Farms

In spring, the HP treatment had a milk fat content of 3.71 ± 0.06%, and the LP had 3.78 ± 0.06%. In fall, the HP had fat values of 3.84 ± 0.08%, and LP had fat values of 3.89 ± 0.08%. In spring, there were no treatment or period effects, and no interaction between the treatments and period was observed. In fall, there was no treatment effect and no interaction between treatments and period, but there was a period effect. In period 1, the milk fat content was 4.08 ± 0.10%, whereas in period 2, it was 3.65 ± 0.10% (p = 0.037).
There were no differences between treatments (HP and LP) in total SFAs or the total sum (Table 4) in both seasons. Additionally, the presence of branched-chain FAs (BCFAs) was noted, with the most prevalent being the 15:0 anteiso and 17:0 anteiso (odd-chain FAs; Table 5). On the other hand, SFAs had the highest percentage (Table 4) compared to MUFAs and PUFAs (Table 6 and Table 7). Regarding SFAs, it was observed that about 10% were short-chain (especially butyric acid 4:0 and caproic acid 6:0), and the three most abundant FAs in this lipid fraction of milk were palmitic acid 16:0, myristic acid 14:0, and stearic acid 18:0.
There was a treatment effect on most of the iso and anteiso BCFAs (p < 0.05; Table 5) in both seasons (spring and fall). In fall, the BCFAs were higher in HP compared to LP (p = 0.007). Among the BCFAs, the OBCFAs 15:0 anteiso, 17:0 iso, and 17:0 anteiso were in higher proportions (Table 5). The HP treatment showed a higher proportion of iso FAs compared to the LP (p < 0.05), particularly in spring, while in fall this was observed only for 15:0 iso (p = 0.003; Table 5).
There were no significant differences in MUFA content between treatments in either season (Table 6). Oleic acid (18:1 cis) was the most abundant of the MUFAs, with a content ranging from 19.68% to 21.74% in both HP and LP, across both seasons. For TVA, there was a difference between treatments in spring (p = 0.012). The HP treatment had a higher proportion of TVA (4.11% vs. 2.36%) compared to LP (Table 6). Regarding total PUFAs, in spring, there were no differences in linoleic acid (18:2 cis) content between treatments (HP and LP); however, in fall, LP had higher total PUFAs than HP and 18:2 cis tended to be higher than HP (Table 7). The content of α-linolenic acid (18:3 n-3 cis) was higher in HP compared to LP in spring (p = 0.01). Regarding CLA content, milk from HP was higher than LP in both spring (p = 0.014) and fall (p = 0.033, Table 7).
Regarding the indicators of nutritional quality, the atherogenic index (AI) showed no significant differences between the different treatments (HP vs. LP) in either spring or fall. The values obtained for HP were 3.1 ± 0.2 and 3.3 ± 0.3 in spring and fall, respectively, while LP presented values of 2.9 ± 0.2 and 2.7 ± 0.3 in spring and fall, respectively. For the H/H index, we also found no differences between treatments in either season. The values obtained for HP were 0.5 ± 0.03 in both spring and fall, while LP presented values of 0.5 ± 0.03 and 0.6 ± 0.07 in spring and fall, respectively. Regarding the n-6/n-3 ratio, in fall, the HP was lower than the LP treatment (2.8 ± 0.4 vs. 5.8 ± 0.4; p = 0.05), while in spring, there were no differences between treatments.

3.2. Butter Production from Two Farms (GRZ and C)

3.2.1. Fatty Acid Profile in Butter

In spring, the butter made from GRZ had higher content of CLA, 18:2 cis, and TVA, and lower total MUFA content, primarily represented by 14:1, 16:1 compared to C (Table 8). Regarding SFA, although there were no differences in total content, GRZ butter had a higher proportion of 11:0, 12:0 and BCFAs 14:0 iso, 15:0 anteiso compared to C (Table 8). In fall, GRZ butter showed a higher proportion of total SFA and BCFA compared to C, showing differences in almost all individual SFAs (Table 8). Regarding UFAs, GRZ butter had lower MUFAs and PUFAs compared to C, primarily represented by TVA, 18:1 cis, and 18:2 cis (Table 8). The FAs that showed differences between treatments (GRZ vs. C) in butter, both in spring and fall, were consistent with those observed in MilkB. Table 8 shows a transfer in CLA, 18:1 trans-vaccenic, total PUFAs cis and total BCFAs content from MilkB to butter, demonstrating that the butter processing procedure did not negatively affect the content of these beneficial FAs.

3.2.2. Techno-Functional Characteristics of Butter from Two Farms (GRZ and C)

  • Butter Firmness
There were no differences in firmness between GRZ and C in spring. However, in fall, butter from C showed lower firmness compared to GRZ butter (p = 0.008; Figure 1).
  • Differential Scanning Calorimetry (DSC)
The thermograms obtained from the Differential Scanning Calorimeter (DSC) are shown in Figure 2, for anhydrous milk fat from GRZ and C. The thermal behaviors are very similar, exhibiting two peaks that can be associated with groups of triglycerides with different melting ranges [60]. These are represented by the two peaks observed in the respective thermograms.
The temperature for the peak corresponding to the triglyceride group with the lower melting point (peak 1) ranged from 14.9 to 16.7 °C, while for the triglycerides with the higher melting point (peak 2), the temperature ranged from 32.7 to 34.1 °C (Table 9). Additionally, the enthalpies of fusion for the anhydrous milk fat ranged between 89.4 J/g and 112.9 J/g, as shown in Table 9.
The curves of percentage of solids for each of the anhydrous milk fats (Figure 3A) show very little difference between them. However, significant differences were observed at −5 °C and between 9 °C and 20 °C, where the percentage solids decreased rapidly (Figure 3B). It is worth noting that firmness and the percentage solids values at 10 °C, (the temperature at which firmness was determined), showed the same trend. Anhydrous milk fat Fall-C, which exhibited the lowest firmness at 10 °C, also had the lowest percentage of solids at that temperature. Conversely, Fall-GRZ anhydrous milk fat, which showed the highest firmness, had the highest percentage of solids compared to the other samples (Figure 3B), consistent with its higher firmness (Figure 1).
  • Color
Regarding color parameters, no differences were observed between GRZ and C butter in spring. In fall, there were no differences in L and a* parameters. Nevertheless, butter from GRZ had higher b* values than those from C (p = 0.003; Table 10).

4. Discussion

4.1. Fatty Acid Profile in Milk

When it comes to the proportion of the main groups of FAs composing milk fat, our results align with findings reported by other authors, where 60–70% corresponds to SFAs, 20–25% to MUFAs, and 3–4% to PUFAs [36,61,62]. Among the SFAs, the most abundant found in this study were palmitic acid (16:0), myristic acid (14:0), and stearic acid (18:0), which also coincides with reports from other authors in similar dairy cow production systems [63,64]. The fact that these are the most abundant SFAs in cow’s milk is related to the biosynthesis mechanisms of fat in the dairy cow. Lauric acid (12:0), myristic acid (14:0), and palmitic acid (16:0) are primarily synthesized in the mammary gland from precursors originating in the rumen [65]. Particularly, palmitic acid (16:0) is one of the most abundant, partly due to its mixed origin, as it can be synthesized in the gland or come from body reserves [66]. On the other hand, long-chain saturated FAs such as stearic acid (18:0) reach the milk primarily from the rumen, originating from FAs in the diet that undergo biohydrogenation by ruminal microbiota or from body reserves [65].
While no differences were found in the total amount of SFAs between treatments, we observed that milk from HP had a higher proportion of BCFAs compared to LP treatment. Within BCFAs, OBCFAs such as 15:0 and 17:0 iso and anteiso were the most abundant, consistent with findings reported by Ran Ressler et al. [67] for bovine milk. The fact that HP had a higher proportion of these FAs compared to LP treatment (both in spring and fall) could be explained by the higher forage-to-concentrate ratio (F/C ratio) in the diet of HP. This higher F/C ratio could increase the concentration of cellulolytic bacteria in the rumen, which are associated with higher proportions of OBCFAs in milk (mainly iso forms), as reported by Vlaeminch et al. [20]. Xin et al. [68] also reported that cellulolytic bacteria had a stronger correlation with OBCFAs compared to amylolytic microbiota. Specifically, these authors found a positive correlation between the population of Ruminococcus flavefaciens and the concentrations of 15:0 and 15:0 iso. Based on the reported benefits of OBCFAs for human health and the limited knowledge available to date on their levels in commercial dairy systems, this study provides relevant information on the positive association between higher pasture inclusion levels in the diet and OBCFAs concentrations in milk, consistent with the authors cited above. This reinforces the importance of including pasture in cows’ diets and the resulting benefits on the quality of milk fat.
Furthermore, the higher proportion of TVA, 18:3 n-3 cis, and CLA (main rumenic FA: 18:2 cis 9 trans 11) in milk from the HP treatment compared to LP, particularly in spring, is consistent with findings reported by Elgersma et al. [69], Alothman et al. [36], and Moscovici Joubran et al. [62], and could be associated with the higher proportion of pasture (percentage of total diet) in HP compared to LP treatment during this season (Table 2). As widely reported, fresh pastures contain a high proportion of 18:3 n-3 cis (the main precursor of TVA and CLA in milk) [69] and exhibit maximum digestibility between August to October (spring) [70,71,72], which could explain these differences between systems, although no differences were observed in the total MUFAs and PUFAs. Taking into account the fact that these FAs constitute the main components of dairy fat considered beneficial for consumers due to their anti-atherogenic, anti-carcinogenic, anti-inflammatory, immunostimulant, and insulin resistance-modulating effects [73], and that current nutritional trends promote an increase in PUFAs and CLA consumption [74], milk from HP could be considered healthier than milk from LP. Moreover, regarding the content of TVA and CLA in spring, it is observed that the trends in their variation are similar: increases in their content correspond to increases in the other. This confirms the metabolic dependence for the formation of both FAs, due to the stages of biohydrogenation in the rumen and dehydrogenation in the mammary gland [75]. Regarding the indices related to the risk of foods causing cardiovascular problems, the HP treatment showed lower n-6/n-3 ratios compared to LP, both in fall and spring, suggesting that farms with higher pasture inclusion in the diet produce healthier milk (values below 4/1) [23]. While this study did not find differences in AI and H/H between treatment or seasons in milk, the values were similar to those reported by other authors [64,76,77,78].
Overall, we could suggest that milk from farms with a higher proportion of pasture may have health benefits compared to milk from farms with a lower proportion of pasture, as indicated by the higher levels of TVA, CLA and 18:3 n-3 cis in milk fat, together with the higher levels of OBCFAs mentioned above. Furthermore, the higher content of OBCFAs (which have demonstrated beneficial effects on human health [17,18], contributes to this suggestion. Therefore, quantifying these FAs in milk (especially the latter) from commercial farms in contrasting seasons based on dietary structure is crucial for valorizing attributes related to the nutritional quality of the milk produced.

4.2. Fatty Acid Profile in Butter

Based on the FAs profiles obtained from the butter, the higher proportion of CLA and TVA in the GRZ during spring indicates a healthier nutritional profile compared to C. This could be attributed to the higher percentage of pasture (grazing) in the total diet of GRZ cows compared to C. Although there was no difference in 18:3 n-3 cis in the butter, it was observed that this FAs was higher in MilkB from GRZ compared to C, which aligns with Elgersma [69], who reported that pasture contributes significantly to 18:2 and 18:3, precursors of major n-3, CLA, and TVA in milk and dairy products.
In the case of fall butter, contrary to expectations, both MilkB and butter from GRZ had a higher proportion of SFA (mainly represented by 14:0, which is considered one of the main atherogenic FAs). However, the concentration of OBCFAs, such as 15:0 and 17:0 iso and anteiso, especially 17:0 anteiso, was more than twice as high in GRZ, compared to C. This is interesting, because although GRZ butter had high SFAs content, a significant portion consists of OBCFAs known for its bioactive properties [79]. These compounds could potentially counteract the adverse effects associated with consuming atherogenic FAs found in this dairy product.

4.3. Physical Properties of Butter

The lower firmness observed in butter made from C compared to GRZ in fall aligns with the FAP in MilkB and the butter made. The C treatment had higher PUFAs than GRZ, and showed a tendency to be higher in MilkB. This increase was mainly explained by high values of 18:2, both in MilkB and butter. Additionally, the C treatment had lower SFA than GRZ in MilkB and butter. While a higher concentration of PUFAs was expected in the GRZ treatment compared to C (as per the design with and without fresh pasture in the diet), analysis of the FAP of both treatment’ diets and ingredients revealed that the C treatment, despite lacking grazing, had more than double the 18:2 n-6 and 18:1 n-9 in the diet, compared to GRZ. These results could be explained by the high proportion of maize grain and soybean expeller (as concentrate) in the C diet during the butter production periods, as these ingredients provide a relatively high proportion of fat [80], specifically a high proportion of 18:2 n-6 in the diet. In this regard, Roy et al. [81] reported that maize silage generally contains between 30% and 40% grain, which is rich in 18:2 n-6, 18:1 n-9, and low in 18:3 n-3 cis. Regarding the addition of soybean in pasture-based systems, it has been reported to decrease FAs from 6:0 to 14:0 and increase 18:0, 18:1, 18:2, and 18:3 in milk [82,83]. Therefore, the C producer’s diet, composed of maize grain and soybean expeller, had a high contribution of 18:2 in the diet. On one hand, this may have increased the passage rate and resulted in higher concentrations of 18:2 in milk [84]. On the other hand, the high concentrations of these FAs in the rumen may have inhibited ruminal biohydrogenation, resulting in lower levels of SFA and higher levels of MUFAs and PUFAs in MilkB and butter from the C farm. Furthermore, the higher levels of MUFAs and PUFAs could explain the lower firmness of C butter, compared to those from GRZ [25,85].
The high firmness of butter from GRZ in fall could be explained by the higher proportion of SFAs compared to C, considering that short-chain FAs (with low melting points) did not vary significantly between samples. This is observed not only in total SFAs, but also in most individual SFAs. It has been reported that butter made from creams with a high proportion of SFAs are firmer and less spreadable than those made from creams with a higher proportion of UFAs [25,86], determined by the higher melting point of SFAs [87]. Among SFAs, palmitic acid (16:0), which has a high melting point (62.9 °C), was higher in GRZ butter than in C butter, leading to a higher spreadability index, consistent with findings reported by Techeira et al. [85], Marangoni and Ghazani [86] and Chamberlain et al. [88], and therefore to higher firmness. In spring, no differences in butter firmness were observed between GRZ and C. These results could be explained because MilkB and butter from the two farms (GRZ and C) had a similar FAP in this season, with no differences found in most FAs (mainly SFAs and PUFAs).
Through DSC analysis, the melting behavior, melting temperatures, enthalpies of fusion, and solid content at different temperatures was investigated. Table 9 shows the temperatures corresponding to the peak for triglycerides with lower melting points (ranging between 14.9 and 16.7 °C) and for those with higher melting points (ranging between 32.7 and 34.1 °C). In this study, differences in the feeding regimes between GRZ and C, in fall, led to different enthalpy of fusion values for the anhydrous milk fats used in the butter made from GRZ versus C. This differed from what had occurred in spring, where changes in SFA, MUFA, and PUFA content were not as significant between treatments. The values obtained ranged between 89.4 J/g (Fall-C) and 112.9 J/g (Fall-GRZ). Tomaszewska-Gras [89] reported enthalpy of fusion values for anhydrous milk fat of 80.3 J/g. Although this value is lower than that found in the present study, it is likely due to differences in its composition. The differences in the enthalpy of fusion values found may be attributed to variations in the triacylglycerol composition among different anhydrous milk fats. Additionally, the enthalpy of fusion of fat materials not only depends on the triacylglycerol composition, but also on the minor components present in them [90]. The final melting temperature (Tendset) for anhydrous milk fat ranged from 36.4 °C to 42.4 °C. Additionally, DSC analysis revealed that GRZ anhydrous milk fat in fall had the highest solid content (Figure 3B), which correlates with it being the sample with the greatest firmness (Figure 1). The results indicated that most of the variation in composition and thermal properties occurred in the fall samples, likely due to the feeding regimes, specifically, GRZ versus C. For example, in fall, GRZ had a higher SFA content compared to C (21.6% vs. 18.1%) and a lower MUFA content (14.4% vs. 26.5%). Therefore, variations in feeding should be considered, as they can affect the physicochemical properties of the butter produced. Consequently, the results shown in Figure 3 were expected, because a higher solid content should be reflected in a fatty material with greater firmness.
Regarding the color of the butter, there were differences between GRZ and C in those made in fall. The higher intensity of the yellow color in the butter made from GRZ compared to C could be attributed to pastures having a higher concentration of β-carotene than ensiled feeds, as the ensiling process negatively impacts the concentration of this compound in the feed provided [91]. Since β-carotene is one of the main components influencing butter color, a higher intake of β-carotene in the diet could have resulted in a greater intensity of yellow color in the GRZ butter, consistent with findings reported by O’Callaghan et al. [25].
The predominant use of pastures (fresh pasture: grazing or conserved forage) promotes an increase in UFAs and BCFAs of nutritional and technological interest (CLA, TVA in spring, 15:0 iso and anteiso: 17:0 iso) in milk. This not only enhances the added value of milk produced in pasture-based systems, but also the products, such as butter, made from it. In this study, samples from actual producers supplying the industry were analyzed, representing commercial production systems and, collectively, including variations in herd management, pasture availability, and the nature of supplementation. This wide variability in sources makes analyzing the results a complex task, but it also provides a truthful view of the production conditions present in the western coastal systems of Uruguay. Observing the results for butter produced on a pilot scale highlights the importance of the availability and management of different supplements, pasture levels and season. In the butter made in fall, the reported 18:2 cis values in the feed from farm C doubled those of GRZ, likely due to the nature of the lipids provided by corn grains and the presence of soybean expeller in the supplement. Consequently, in fall, the butter produced from C had lower firmness than those manufactured from GRZ, paradoxically with respect to the inclusion of pasture. In this case, for C, the richness in lipids from the supplement with soybean expeller combined with corn grain in the TMR promoted functional and technological properties associated with high-pasture conditions, although it did not increase the yellow coloration or the content of OBCFAs. The texture and crystallization profile of the fats present in the butter, then, highlight the importance of selecting the overall feed based on the available sources and the possibility of obtaining suitable technological properties, even in the absence of pastures.

5. Conclusions

The results obtained in this study, conducted on commercial farms, underscore the benefits of high-pasture inclusion (in both spring and fall) in the diet of dairy cows, for producing healthier milk for consumers. This is supported by higher concentrations of TVA, CLA, and 18:3 n-3 cis, and a lower n-6/n-3 ratio. Additionally, higher levels of some SFAs, recently reported beneficial for human health, such as OBCFAs 15:0 and 17:0, were observed. Moreover, butter derived from milk of the pasture-based system (GRZ) also exhibited a healthier profile, characterized by higher proportions of CLA and TVA in spring butter, and higher proportions of 15:0 and 17:0 iso and anteiso in fall butter. In addition, the yellow color of GRZ butter was stronger. However, contrary to expectations, GRZ butter in fall presented greater firmness, possibly related to the higher palmitic/oleic ratio, influenced by the FA composition of the diet. This demonstrates the potential benefits of adjusting the management of feed for confined cows with oils, and highlights the need for further studies considering supply and cost constraints.

Author Contributions

Conceptualization: E.K., L.G., I.V., A.G., S.J. and T.L.-P.; methodology: M.R., S.J., E.K., E.B., A.G., I.V., B.I., M.N.M., L.G. and T.L.-P.; software: A.G., B.I. and S.J.; validation: L.G., I.V. and T.L.-P.; formal analysis: A.G., L.G., I.V. and T.L.-P.; investigation: I.V., S.J., E.K., A.G., L.G., T.L.-P., M.N.M., E.B., M.R. and B.I.; resources: L.G. and T.L.-P.; data curation: A.G.; writing—original draft preparation, L.G., I.V. and T.L.-P.; writing—review and editing: L.G., I.V., T.L.-P., M.N.M. and A.G.; visualization: L.G., B.I., I.V. and A.G.; supervision: T.L.-P. and I.V.; project administration: L.G. and T.L.-P.; funding acquisition: L.G. and T.L-P. All authors have read and agreed to the published version of the manuscript.

Funding

This research was funded by Unidad Tecnológica de Lácteos, Departamento de Alimentos, Universidad Tecnológica del Uruguay (UTEC), Grupo de Investigación Estratégica (GIE)-UTEC, Comisión Sectorial de Investigación Científica-Universidad de la República (CSIC-Udelar).

Institutional Review Board Statement

Not applicable.

Informed Consent Statement

Not applicable.

Data Availability Statement

The original contributions presented in the study are included in the article material; further inquiries can be directed to the corresponding author/s.

Acknowledgments

This work would not have been possible without the contributions of farmers’ associations from the West Coast of Uruguay, such as “Mesa Lechera del Litoral” and the “Asociación de Productores de Leche de Paysandú.” We would particularly like to thank the Mazziotto family, as well as the De Souza, Alonso, Rivoir and Ripa families; and our team of undergraduate students. The authors would also like to thank Priscila Guinovart for her English proofreading contribution.

Conflicts of Interest

The authors declare no conflicts of interest.

References

  1. Harvatine, K.J.; Boisclair, Y.R.; Bauman, D.E. Recent Advances in the Regulation of Milk Fat Synthesis. Animal 2009, 3, 40–54. [Google Scholar] [CrossRef] [PubMed]
  2. Delmotte, C.; Rondia, P.; Dehareng, F.; Laloux, J.; Famerée, J. An Oleaginous Supplement to Improve the Nutritional Quality of Goat’s Milk and Cheese (Whole or Extruded Linseed, Rapeseed Cake). In Nutritional and Foraging Ecology of Sheep and Goats; Papachristou, T.G., Parissi, Z.M., Ben Salem, H., Morand-Fehr, P., Eds.; CIHEAM/FAO/NAGREF: Zaragosa, Spain, 2009; pp. 445–451. [Google Scholar]
  3. Lock, A. Update on Dietary and Management Effects on Milk Fat. In Proceedings of the Tri-State Dairy Nutrition Conference, East Lansing, MI, USA, 20–21 April 2010; pp. 15–26. [Google Scholar]
  4. Li, X.Z.; Yan, C.G.; Lee, H.G.; Choi, C.W.; Song, M.K. Influence of Dietary Plant Oils on Mammary Lipogenic Enzymes and the Conjugated Linoleic Acid Content of Plasma and Milk Fat of Lactating Goats. Anim. Feed Sci. Technol. 2012, 174, 26–35. [Google Scholar] [CrossRef]
  5. Zullo, A.; De Francesco, V.; Scaccianoce, G.; Hassan, C.; Panarese, A.; Piglionica, D.; Panella, C.; Morini, S.; Ierardi, E. Quadruple Therapy with Lactoferrin for Helicobacter Pylori Eradication: A Randomised, Multicentre Study. Dig. Liver Dis. 2005, 37, 496–500. [Google Scholar] [CrossRef] [PubMed]
  6. Vijayakumar, M.; Park, J.H.; Ki, K.S.; Lim, D.H.; Kim, S.B.; Park, S.M.; Jeong, H.Y.; Park, B.Y.; Kim, T.I. The Effect of Lactation Number, Stage, Length, and Milking Frequency on Milk Yield in Korean Holstein Dairy Cows Using Automatic Milking System. Asian-Australas. J. Anim. Sci. 2017, 30, 1093–1098. [Google Scholar] [CrossRef]
  7. Schroeder, G.F.; Gagliostro, G.A.; Bargo, F.; Delahoy, J.E.; Muller, L.D. Effects of Fat Supplementation on Milk Production and Composition by Dairy Cows on Pasture: A Review. Livest. Prod. Sci. 2004, 86, 1–18. [Google Scholar] [CrossRef]
  8. Markiewicz-Kęszycka, M.; Czyżak-Runowska, G.; Lipińska, P.; Wójtowski, J. Fatty Acid Profile of Milk—A Review. Bull. Vet. Inst. Pulawy 2013, 57, 135–139. [Google Scholar] [CrossRef]
  9. Sanhueza, C.J.; Nieto, K.S.; Valenzuela, B.A. Ácido Linoléico Conjugado: Un Ácido Graso Con Isomería TRANS Potencialmente Beneficioso. Rev. Chil. Nutr. 2002, 29, 98–105. [Google Scholar] [CrossRef]
  10. Tudisco, R.; Chiofalo, B.; Addi, L.; Lo Presti, V.; Rao, R.; Calabro’, S.; Musco, N.; Grossi, M.; Cutrignelli, M.I.; Mastellone, V.; et al. Effect of Hydrogenated Palm Oil Dietary Supplementation on Milk Yield and Composition, Fatty Acids Profile and Stearoyl-CoA Desaturase Expression in Goat Milk. Small Rumin. Res. 2015, 132, 72–78. [Google Scholar] [CrossRef]
  11. Siurana, A.; Calsamiglia, S. A Metaanalysis of Feeding Strategies to Increase the Content of Conjugated Linoleic Acid (CLA) in Dairy Cattle Milk and the Impact on Daily Human Consumption. Anim. Feed Sci. Technol. 2016, 217, 13–26. [Google Scholar] [CrossRef]
  12. Field, C.J.; Blewett, H.H.; Proctor, S.; Vine, D. Human Health Benefits of Vaccenic Acid. Appl. Physiol. Nutr. Metab. 2009, 34, 979–991. [Google Scholar] [CrossRef]
  13. Benito, P.; Caballero, J.; Moreno, J.; Gutiérrez-Alcántara, C.; Muñoz, C.; Rojo, G.; Garcia, S.; Soriguer, F.C. Effects of Milk Enriched with ω-3 Fatty Acid, Oleic Acid and Folic Acid in Patients with Metabolic Syndrome. Clin. Nutr. 2006, 25, 581–587. [Google Scholar] [CrossRef] [PubMed]
  14. Turpeinen, A.M.; Mutanen, M.; Aro, A.; Salminen, I.; Basu, S.; Palmquist, D.L.; Griinari, J.M. Bioconversion of Vaccenic Acid to Conjugated Linoleic Acid in Humans. Am. J. Clin. Nutr. 2002, 76, 504–510. [Google Scholar] [CrossRef]
  15. Fievez, V.; Colman, E.; Castro-Montoya, J.M.; Stefanov, I.; Vlaeminck, B. Milk Odd- and Branched-Chain Fatty Acids as Biomarkers of Rumen Function-An Update. Anim. Feed Sci. Technol. 2012, 172, 51–65. [Google Scholar] [CrossRef]
  16. Cai, Q.; Huang, H.; Qian, D.; Chen, K.; Luo, J.; Tian, Y.; Lin, T.; Lin, T. 13-Methyltetradecanoic Acid Exhibits Anti-Tumor Activity on T-Cell Lymphomas In Vitro and In Vivo by Down-Regulating p-AKT and Activating Caspase-3. PLoS ONE 2013, 8, e65308. [Google Scholar] [CrossRef]
  17. Jenkins, B.; West, J.; Koulman, A. A Review of Odd-Chain Fatty Acid Metabolism and the Role of Pentadecanoic Acid (C15:0) and Heptadecanoic Acid (C17:0) in Health and Disease. Molecules 2015, 20, 2425–2444. [Google Scholar] [CrossRef] [PubMed]
  18. Pfeuffer, M.; Jaudszus, A. Pentadecanoic and Heptadecanoic Acids: Multifaceted Odd-Chain Fatty Acids. Adv. Nutr. 2016, 7, 730–734. [Google Scholar] [CrossRef]
  19. Abdoul-Aziz, S.K.A.; Zhang, Y.; Wang, J. Milk Odd and Branched Chain Fatty Acids in Dairy Cows: A Review on Dietary Factors and Its Consequences on Human Health. Animals 2021, 11, 3210. [Google Scholar] [CrossRef]
  20. Vlaeminck, B.; Fievez, V.; Cabrita, A.R.J.; Fonseca, A.J.M.; Dewhurst, R.J. Factors Affecting Odd- and Branched-Chain Fatty Acids in Milk: A Review. Anim. Feed Sci. Technol. 2006, 131, 389–417. [Google Scholar] [CrossRef]
  21. Ulbricht, T.L.V.; Southgate, D.A.T. Coronary Heart Disease: Seven Dietary Factors. Lancet 1991, 338, 985–992. [Google Scholar] [CrossRef] [PubMed]
  22. Ivanova, A.; Hadzhinikolova, L. Agricultural Academy. Bulg. J. Agric. Sci. 2015, 21, 180–185. [Google Scholar]
  23. Simopoulos, A.P. The Importance of the Omega-6/Omega-3 Fatty Acid Ratio in Cardiovascular Disease and Other Chronic Diseases. Exp. Biol. Med. 2008, 233, 674–688. [Google Scholar] [CrossRef] [PubMed]
  24. Tóth, T.; Mwau, P.J.; Bázár, G.; Andrássy-Baka, G.; Hingyi, H.; Csavajda, É.; Varga, L. Effect of Feed Supplementation Based on Extruded Linseed Meal and Fish Oil on Composition and Sensory Properties of Raw Milk and Ultra-High Temperature Treated Milk. Int. Dairy J. 2019, 99, 104552. [Google Scholar] [CrossRef]
  25. O’Callaghan, T.F.; Hennessy, D.; McAuliffe, S.; Kilcawley, K.N.; O’Donovan, M.; Dillon, P.; Ross, R.P.; Stanton, C. Effect of Pasture versus Indoor Feeding Systems on Raw Milk Composition and Quality over an Entire Lactation. J. Dairy Sci. 2016, 99, 9424–9440. [Google Scholar] [CrossRef] [PubMed]
  26. Haas, R.; Schnepps, A.; Pichler, A.; Meixner, O. Cow Milk versus Plant-Based Milk Substitutes: A Comparison of Product Image and Motivational Structure of Consumption. Sustainability 2019, 11, 5046. [Google Scholar] [CrossRef]
  27. Stampa, E.; Schipmann-Schwarze, C.; Hamm, U. Consumer Perceptions, Preferences, and Behavior Regarding Pasture-Raised Livestock Products: A Review. Food Qual. Prefer. 2020, 82, 103872. [Google Scholar] [CrossRef]
  28. Verkerk, G. Pasture-Based Dairying: Challenges and Rewards for New Zealand Producers. Theriogenology 2003, 59, 553–561. [Google Scholar] [CrossRef]
  29. Fariña, S.R.; Chilibroste, P. Opportunities and Challenges for the Growth of Milk Production from Pasture: The Case of Farm Systems in Uruguay. Agric. Syst. 2019, 176, 102631. [Google Scholar] [CrossRef]
  30. Bargo, F.; Delahoy, J.E.; Schroeder, G.F.; Baumgard, L.H.; Muller, L.D. Supplementing Total Mixed Rations with Pasture Increase the Content of Conjugated Linoleic Acid in Milk. Anim. Feed Sci. Technol. 2006, 131, 226–240. [Google Scholar] [CrossRef]
  31. Weiss, W.P.; Hogan, J.S.; Smith, K.L. Changes in Vitamin C Concentrations in Plasma and Milk from Dairy Cows After an Intramammary Infusion of Escherichia Coli. J. Dairy Sci. 2004, 87, 32–37. [Google Scholar] [CrossRef]
  32. Mele, M.; Buccioni, A.; Petacchi, F.; Serra, A.; Banni, S.; Antongiovanni, M.; Secchiari, P. Effect of Forage/Concentrate Ratio and Soybean Oil Supplementation on Milk Yield, and Composition from Sarda Ewes. Anim. Res. 2006, 55, 273–285. [Google Scholar] [CrossRef]
  33. Collomb, M.; Bisig, W.; Bütikofer, U.; Sieber, R.; Bregy, M.; Etter, L. Fatty Acid Composition of Mountain Milk from Switzerland: Comparison of Organic and Integrated Farming Systems. Int. Dairy J. 2008, 18, 976–982. [Google Scholar] [CrossRef]
  34. Gagliostro, G.A. Nutritional Control of Conjugated Linoleic Acid (CLA) Content in Milk and Natural Functional Foods. Effects on Human Health. Rev. Arg. Prod. Anim. 2004, 24, 113–136. [Google Scholar]
  35. Esposito, G.; Masucci, F.; Napolitano, F.; Braghieri, A.; Romano, R.; Manzo, N.; Di Francia, A. Fatty Acid and Sensory Profiles of Caciocavallo Cheese as Affected by Management System. J. Dairy Sci. 2014, 97, 1918–1928. [Google Scholar] [CrossRef]
  36. Alothman, M.; Hogan, S.A.; Hennessy, D.; Dillon, P.; Kilcawley, K.N.; O’Donovan, M.; Tobin, J.; Fenelon, M.A.; O’Callaghan, T.F. The “Grass-Fed” Milk Story: Understanding the Impact of Pasture Feeding on the Composition and Quality of Bovine Milk. Foods 2019, 8, 350. [Google Scholar] [CrossRef] [PubMed]
  37. Grille, L.; Adrien, M.L.; Méndez, M.N.; Chilibroste, P.; Olazabal, L.; Damián, J.P. Milk Fatty Acid Profile of Holstein Cows When Changed from a Mixed System to a Confinement System or Mixed System with Overnight Grazing. Int. J. Food Sci. 2022, 2022, 5610079. [Google Scholar] [CrossRef]
  38. Dauber, C.; Carreras, T.; Britos, A.; Carro, S.; Cajarville, C.; Gámbaro, A.; Jorcin, S.; López, T.; Vieitez, I. Elaboration of Goat Cheese with Increased Content of Conjugated Linoleic Acid and Transvaccenic Acid: Fat, Sensory and Textural Profile. Small Rumin. Res. 2021, 199, 106379. [Google Scholar] [CrossRef]
  39. Coakley, M.; Barrett, E.; Murphy, J.J.; Ross, R.P.; Devery, R.; Stanton, C. Cheese Manufacture with Milk with Elevated Conjugated Linoleic Acid Levels Caused by Dietary Manipulation. J. Dairy Sci. 2007, 90, 2919–2927. [Google Scholar] [CrossRef]
  40. Kumar, G.; Devi, P.; Sharma, N.; Yallappa, I.; Somagond, M.; Somagond, Y.M. Impact of Thermal Stress on Milk Production, Composition and Fatty Acid Profile in Dairy Cows: A Review. J. Entomol. Zool. Stud. 2020, 8, 1278–1283. [Google Scholar]
  41. Vibart, R.E.; Fellner, V.; Burns, J.C.; Huntington, G.B.; Green, J.T. Performance of Lactating Dairy Cows Fed Varying Levels of Total Mixed Ration and Pasture. J. Dairy Res. 2008, 75, 471–480. [Google Scholar] [CrossRef]
  42. Maniaci, G.; Di Grigoli, A.; Bonanno, A.; Giosuè, C.; Ilardi, V.; Alabiso, M. Fatty Acids as Biomarkers of the Production Season of Caciocavallo Palermitano Cheese. Animals 2021, 11, 2675. [Google Scholar] [CrossRef]
  43. Tzamaloukas, O.; Neofytou, M.C.; Simitzis, P.E.; Miltiadou, D. Effect of Farming System (Organic vs. Conventional) and Season on Composition and Fatty Acid Profile of Bovine, Caprine and Ovine Milk and Retail Halloumi Cheese Produced in Cyprus. Foods 2021, 10, 1016. [Google Scholar] [CrossRef] [PubMed]
  44. Paszczyk, B.; Polak-śliwińska, M.; Zielak-Steciwko, A.E. Chemical Composition, Fatty Acid Profile, and Lipid Quality Indices in Commercial Ripening of Cow Cheeses from Different Seasons. Animals 2022, 12, 198. [Google Scholar] [CrossRef] [PubMed]
  45. Rasmussen, B.M.; Vessby, B.; Uusitupa, M.; Berglund, L.; Pedersen, E.; Riccardi, G.; Rivellese, A.A.; Tapsell, L.; Hermansen, K. Effects of Dietary Saturated, Monounsaturated, and N−3 Fatty Acids on Blood Pressure in Healthy Subjects. Am. J. Clin. Nutr. 2006, 83, 221–226. [Google Scholar] [CrossRef] [PubMed]
  46. Armas, L.A.G.; Frye, C.P.; Heaney, R.P. Effect of Cow’s Milk on Human Health. In Beverage Impacts on Health and Nutrition; Springer International Publishing: Cham, Switzerland, 2016; pp. 131–150. [Google Scholar] [CrossRef]
  47. Lamarche, B.; Givens, D.I.; Soedamah-Muthu, S.; Krauss, R.M.; Jakobsen, M.U.; Bischoff-Ferrari, H.A.; Pan, A.; Després, J.-P. Does Milk Consumption Contribute to Cardiometabolic Health and Overall Diet Quality? Can. J. Cardiol. 2016, 32, 1026–1032. [Google Scholar] [CrossRef]
  48. Gómez-Cortés, P.; Juárez, M.; de la Fuente, M.A. Milk Fatty Acids and Potential Health Benefits: An Updated Vision. Trends Food Sci. Technol. 2018, 81, 1–9. [Google Scholar] [CrossRef]
  49. Girard, M.; Dohme-Meier, F.; Wechsler, D.; Goy, D.; Kreuzer, M.; Bee, G. Ability of 3 Tanniferous Forage Legumes to Modify Quality of Milk and Gruyère-Type Cheese. J. Dairy Sci. 2016, 99, 205–220. [Google Scholar] [CrossRef] [PubMed]
  50. O’Callaghan, T.F.; Mannion, D.T.; Hennessy, D.; McAuliffe, S.; O’Sullivan, M.G.; Leeuwendaal, N.; Beresford, T.P.; Dillon, P.; Kilcawley, K.N.; Sheehan, J.J.; et al. Effect of Pasture versus Indoor Feeding Systems on Quality Characteristics, Nutritional Composition, and Sensory and Volatile Properties of Full-Fat Cheddar Cheese. J. Dairy Sci. 2017, 100, 6053–6073. [Google Scholar] [CrossRef]
  51. Glover, K.E.; Budge, S.; Rose, M.; Rupasinghe, H.P.V.; MacLaren, L.; Green-Johnson, J.; Fredeen, A.H. Effect of Feeding Fresh Forage and Marine Algae on the Fatty Acid Composition and Oxidation of Milk and Butter. J. Dairy Sci. 2012, 95, 2797–2809. [Google Scholar] [CrossRef]
  52. National Research Council. Nutrient Requirements of Dairy Cattle; National Academies Press: Washington, DC, USA, 2001. [Google Scholar]
  53. Méndez, M.N.; Grille, L.; Mendina, G.R.; Robinson, P.H.; de Adrien, M.L.; Meikle, A.; Chilibroste, P. Performance of Autumn and Spring Calving Holstein Dairy Cows with Different Levels of Environmental Exposure and Feeding Strategies. Animals 2023, 13, 1211. [Google Scholar] [CrossRef]
  54. British Standards Institution, BSI. Methods for Chemical Analysis of Butter (BS769). In British Standards Method 769; British Standards Institution: London, UK, 1961. [Google Scholar]
  55. AOAC International. Fat in Milk Rose-Gottlieb Method, Method No. 905.02. In Official Methods of Analysis of AOAC International; Horowitz, W., Ed.; AOAC International: Gaithersburg, MD, USA, 2001. [Google Scholar]
  56. International Union of Pure and Applied Chemistry, IUPAC. Preparation of Fatty Acid Methyl Ester. Standard Method 2.301. In Standard Methods for Analysis of Oils, Fats and Derivatives; Standard Methods for Analysis of Oils, Fats and Derivatives; IUPAC: Research Triangle Park, NC, USA, 1987. [Google Scholar]
  57. American Oil Chemists’ Society, AOCS. Official Methods and Recommended Practices of the American Oil Chemists’s Society; American Oil Chemists’ Society, AOCS: Champaign, IL, USA, 1990. [Google Scholar]
  58. Hara, A.; Radin, N.S. Lipid Extraction of Tissues with a Low-Toxicity Solvent. Anal. Biochem. 1978, 90, 420–426. [Google Scholar] [CrossRef]
  59. ISO 16305:2005; Butter—Determination of Firmness-IDF Standard 187:2005. International Dairy Federation: Brussels, Belgium, 2005.
  60. Grompone, M.A.; Irigaray, B.; Rodríguez, D.; Maidana, S.; Sammán, N. Composition and Thermal Behavior of Oils from Native Seeds and Fruits of Argentina and Uruguay. J. Food Sci. Eng. 2015, 5, 49–57. [Google Scholar] [CrossRef]
  61. Jensen, R.G. The Composition of Bovine Milk Lipids: January 1995 to December 2000. J. Dairy Sci. 2002, 85, 295–350. [Google Scholar] [CrossRef]
  62. Moscovici Joubran, A.; Pierce, K.M.; Garvey, N.; Shalloo, L.; O’Callaghan, T.F. Invited Review: A 2020 Perspective on Pasture-Based Dairy Systems and Products. J. Dairy Sci. 2021, 104, 7364–7382. [Google Scholar] [CrossRef]
  63. Barca, J.; Carriquiry, M.; Olazabal, L.; Fajardo, M.; Chilibroste, P.; Meikle, A. Milk Fatty Acid Profile from Cows Fed with Mixed Rations and Different Access Time to Pastureland during Early Lactation. J. Anim. Physiol. Anim. Nutr. 2018, 102, 620–629. [Google Scholar] [CrossRef]
  64. Grille, L.; Escobar, D.; Méndez, M.N.; de Adrien, M.L.; Olazabal, L.; Rodríguez, V.; Pelaggio, R.; Chilibroste, P.; Meikle, A.; Damián, J.P. Different Conditions during Confinement in Pasture-Based Systems and Feeding Systems Affect the Fatty Acid Profile in the Milk and Cheese of Holstein Dairy Cows. Animals 2023, 13, 1426. [Google Scholar] [CrossRef]
  65. Chilliard, Y.; Ferlay, A. Dietary Lipids and Forages Interactions on Cow and Goat Milk Fatty Acid Composition and Sensory Properties. Reprod. Nutr. Dev. 2004, 44, 467–492. [Google Scholar] [CrossRef]
  66. Chilliard, Y.; Glasser, F.; Ferlay, A.; Bernard, L.; Rouel, J.; Doreau, M. Diet, Rumen Biohydrogenation and Nutritional Quality of Cow and Goat Milk Fat. Eur. J. Lipid Sci. Technol. 2007, 109, 828–855. [Google Scholar] [CrossRef]
  67. Ran-Ressler, R.R.; Bae, S.; Lawrence, P.; Wang, D.H.; Thomas Brenna, J. Branched-Chain Fatty Acid Content of Foods and Estimated Intake in the USA. Br. J. Nutr. 2014, 112, 565–572. [Google Scholar] [CrossRef]
  68. Xin, H.; Khan, N.A.; Liu, X.; Jiang, X.; Sun, F.; Zhang, S.; Sun, Y.; Zhang, Y.; Li, X. Profiles of Odd- and Branched-Chain Fatty Acids and Their Correlations With Rumen Fermentation Parameters, Microbial Protein Synthesis, and Bacterial Populations Based on Pure Carbohydrate Incubation in Vitro. Front. Nutr. 2021, 8, 733352. [Google Scholar] [CrossRef] [PubMed]
  69. Elgersma, A. Grazing Increases the Unsaturated Fatty Acid Concentration of Milk from Grass-Fed Cows: A Review of the Contributing Factors, Challenges and Future Perspectives. Eur. J. Lipid Sci. Technol. 2015, 117, 1345–1369. [Google Scholar] [CrossRef]
  70. Chilliard, Y.; Ferlay, A.; Loor, J.; Rouel, J.; Martin, B. Trans and Conjugated Fatty Acids in Milk from Cows and Goats Consuming Pasture or Receiving Vegetable Oils or Seeds. Ital. J. Anim. Sci. 2002, 1, 243–254. [Google Scholar] [CrossRef]
  71. Nudda, A.; Correddu, F.; Cesarani, A.; Pulina, G.; Battacone, G. Functional Odd- and Branched-Chain Fatty Acid in Sheep and Goat Milk and Cheeses. Dairy 2021, 2, 79–89. [Google Scholar] [CrossRef]
  72. León, J.M.; Pabón, M.L.; Carulla, J.E. Relación Entre Las CaracterÌsticas de La Pastura y El Contenido de Ácido Linoleico Conjugado (ALC) En La Leche. Rev. Colomb. Cienc. Pecu. 2011, 24, 63–73. [Google Scholar] [CrossRef]
  73. Pariza, M.W.; Park, Y.; Cook, M.E. The Biologically Active Isomers of Conjugated Linoleic Acid. Prog. Lipid Res. 2001, 40, 283–298. [Google Scholar] [CrossRef]
  74. Ferlay, A.; Bernard, L.; Meynadier, A.; Malpuech-Brugère, C. Production of Trans and Conjugated Fatty Acids in Dairy Ruminants and Their Putative Effects on Human Health: A Review. Biochimie 2017, 141, 107–120. [Google Scholar] [CrossRef]
  75. Bauman, D.E.; Mather, I.H.; Wall, R.J.; Lock, A.L. Major Advances Associated with the Biosynthesis of Milk. J. Dairy Sci. 2006, 89, 1235–1243. [Google Scholar] [CrossRef]
  76. Rutkowska, J.; Bialek, M.; Adamska, A.; Zbikowska, A. Differentiation of Geographical Origin of Cream Products in Poland According to Their Fatty Acid Profile. Food Chem. 2015, 178, 26–31. [Google Scholar] [CrossRef]
  77. Lobos-Ortega, I.; Pizarro-Aránguiz, N.; Urrutia, N.L.; Silva-Lemus, M.; Pavez-Andrades, P.; Subiabre-Riveros, I.; Torres-Püschel, D. Determination of Nutritional Health Indexes of Fresh Bovine Milk Using near Infrared Spectroscopy. Grasas Y Aceites 2022, 73, e458. [Google Scholar] [CrossRef]
  78. Pastorini, M.; Pomiés, N.; Repetto, J.L.; Mendoza, A.; Cajarville, C. Productive Performance and Digestive Response of Dairy Cows Fed Different Diets Combining a Total Mixed Ration and Fresh Forage. J. Dairy Sci. 2019, 102, 4118–4130. [Google Scholar] [CrossRef]
  79. Gómez-Cortés, P.; Domenech, F.R.; Rueda, M.C.; de la Fuente, M.Á.; Schiavone, A.; Marín, A.L.M. Odd-and Branched-Chain Fatty Acids in Lamb Meat as Potential Indicators of Fattening Diet Characteristics. Foods 2021, 10, 77. [Google Scholar] [CrossRef]
  80. Nutrient Requirements of Dairy Cattle. National Academies of Science, Engineering and Medicine, 8th ed.; The National Academies Press: Washington, DC, USA, 2021. [Google Scholar]
  81. Roy, A.; Ferlay, A.; Shingfield, K.J.; Chilliard, Y. Examination of the Persistency of Milk Fatty Acid Composition Responses to Plant Oils in Cows given Different Basal Diets, with Particular Emphasis on Trans -C 18:1 Fatty Acids and Isomers of Conjugated Linoleic Acid. Anim. Sci. 2006, 82, 479–492. [Google Scholar] [CrossRef]
  82. Lawless, F.; Murphy, J.; Harrington, D.; Devery, R.; Stanton, C. Elevation of Conjugated Cis-9, Trans-11-Octadecadienoic Acid in Bovine Milk Because of Dietary Supplementation. J. Dairy Sci. 1998, 81, 3259–3267. [Google Scholar] [CrossRef]
  83. Murphy, J.J.; Connolly, J.F.; McNeill, G.P. Effects on Cow Performance and Milk Fat Composition of Feeding Full Fat Soyabeans and Rapeseeds to Dairy Cows at Pasture. Livest. Prod. Sci. 1995, 44, 13–25. [Google Scholar] [CrossRef]
  84. Khiaosa-ard, R.; Klevenhusen, F.; Soliva, C.R.; Kreuzer, M.; Leiber, F. Transfer of Linoleic and Linolenic Acid from Feed to Milk in Cows Fed Isoenergetic Diets Differing in Proportion and Origin of Concentrates and Roughages. J. Dairy Res. 2010, 77, 331–336. [Google Scholar] [CrossRef]
  85. Techeira, N.; Keel, K.; Garay, A.; Harte, F.; Mendoza, A.; Cartaya, A.; Fariña, S.; López-Pedemonte, T. Milk Fatty Acid Profile from Grass Feeding Strategies on 2 Holstein Genotypes: Implications for Health and Technological Properties. JDS Commun. 2023, 4, 169–174. [Google Scholar] [CrossRef]
  86. Marangoni, A.G.; Ghazani, S.M. Perspective: A Commentary on Elevated Palmitic Acid Levels in Canadian Butter and Their Relationship to Butter Hardness. J. Dairy Sci. 2021, 104, 9380–9382. [Google Scholar] [CrossRef]
  87. Walstra, P.; Geurts, T.J.; Noomen, A.; Jellema, A.; Van Boekel, M.A.J.S. Ciencia de la Leche Y Tecnología de Los Productos Lácteos; Editorial Acribia S.A.: Zaragoza, Spain, 2001. [Google Scholar]
  88. Chamberlain, M.B.; Veltri, B.C.; Taylor, S.J.; Pareas, J.W.; Jimenez-Flores, R.; Juchem, S.O.; Getachew, G.; De Peters, E.J. Feeding Lactating Holstein Cows a Lipid Source High in Palmitic Acid Changes the Fatty Acid Composition and Thermal Properties of Lipids in Milk and Butter. Prof. Anim. Sci. 2016, 32, 672–680. [Google Scholar] [CrossRef]
  89. Tomaszewska-Gras, J. Melting and Crystallization DSC Profiles of Milk Fat Depending on Selected Factors. J. Therm. Anal. Calorim. 2013, 113, 199–208. [Google Scholar] [CrossRef]
  90. El-Hadad, S.S.; Tikhomirova, N.; Zahran, H.; Abd El-Aziz, M.; Sayed, R. The Effect of Minor Components of Wheat Germ Oil on Thermal Behavior, Crystallization Characteristics, and Oxidative Stability of Butter Oil. Egypt. J. Chem. 2024, 67, 329–338. [Google Scholar] [CrossRef]
  91. Nozière, P.; Graulet, B.; Lucas, A.; Martin, B.; Grolier, P.; Doreau, M. Carotenoids for Ruminants: From Forages to Dairy Products. Anim. Feed Sci. Technol. 2006, 131, 418–450. [Google Scholar] [CrossRef]
Figure 1. Butter firmness elaborated from GRZ: pasture-based system (grazing + supplement); C: confined (total mixed ration, TMR). Difference between farms (GRZ and C) in spring and fall are shown with small letter and capital letter, respectively (p < 0.05). N: Newton.
Figure 1. Butter firmness elaborated from GRZ: pasture-based system (grazing + supplement); C: confined (total mixed ration, TMR). Difference between farms (GRZ and C) in spring and fall are shown with small letter and capital letter, respectively (p < 0.05). N: Newton.
Dairy 05 00042 g001
Figure 2. Thermograms of anhydrous milk fat from the prepared butter from GRZ: pasture-based system (grazing + supplement); C: confined (total mixed ration, TMR), in spring and fall. Soft grey bars indicate triglyceride groups with the lower melting point (peak 1) or the higher melting point (peak 2) for the four anhydrous milk fat samples.
Figure 2. Thermograms of anhydrous milk fat from the prepared butter from GRZ: pasture-based system (grazing + supplement); C: confined (total mixed ration, TMR), in spring and fall. Soft grey bars indicate triglyceride groups with the lower melting point (peak 1) or the higher melting point (peak 2) for the four anhydrous milk fat samples.
Dairy 05 00042 g002
Figure 3. (A) Percentage of solids in anhydrous milk fat from butter produced under GRZ: pasture-based system (grazing + supplement) and C: confined (total mixed ration, TMR) in spring and fall. (B): Percentage of solids in anhydrous milk fat: magnification in the range between 8 and 13 °C, with an arrow indicating the temperature at which firmness was determined (10 °C).
Figure 3. (A) Percentage of solids in anhydrous milk fat from butter produced under GRZ: pasture-based system (grazing + supplement) and C: confined (total mixed ration, TMR) in spring and fall. (B): Percentage of solids in anhydrous milk fat: magnification in the range between 8 and 13 °C, with an arrow indicating the temperature at which firmness was determined (10 °C).
Dairy 05 00042 g003
Table 1. Average values of neutral detergent fiber (NDF), acid detergent fiber (ADF), and ether extract (EE) for each group (pasture and supplement) in Spring and Fall.
Table 1. Average values of neutral detergent fiber (NDF), acid detergent fiber (ADF), and ether extract (EE) for each group (pasture and supplement) in Spring and Fall.
Spring Fall
HP LP HP LP
PastSupplTotal Diet **Past *SupplTotal Diet **PastSupplTotal Diet **Past *SupplTotal Diet **
1 NDF47.3 ± 4.830.3 ± 7.343.1 ± 3.546.3 ± 1.736.2 ± 1.837.2 ± 2.636.7 ± 6.943.9 ± 7.640.1 ± 5.736.9 ± 2.444.7 ± 5.844.5 ± 5.9
1 ADF26.2 ± 2.314.3 ± 6.123.4 ± 1.526.3 ± 1.519.8 ± 2.520.6 ± 2.220.1 ± 5.024.1 ± 6.522.0 ± 3.620.9 ± 1.726.5 ± 7.226.5 ± 7.2
2 Lipids3.7 ± 0.94.8 ± 1.64.1 ± 1.12.6 ± 0.063.9 ± 0.34.2 ± 0.56.6 ± 4.13.9 ± 1.25.4 ± 2.56.9 ± 0.15.8 ± 1.55.8 ± 1.5
Past: Pasture; Suppl: Supplement. HP: High Pasture; LP: Low Pasture. NDF: Neutral Detergent Fiber. ADF: Acid Detergent Fiber. * The “LP pasture” data in both seasons corresponds to the only producer of that treatment offering fresh pasture in the diet. ** The total diet chemical composition value was calculated by weighting the inclusion level of pasture and supplement. 1 Expressed as % of dry matter (DM); 2 expressed as g/100 g of pasture and supplement.
Table 2. Fatty acid profiles of pasture and supplement in both treatments: HP and LP in Spring and Fall.
Table 2. Fatty acid profiles of pasture and supplement in both treatments: HP and LP in Spring and Fall.
SpringFall
Fatty Acids (g/100 g Fat)HPLPHPLP
PastSupplPastSupplPastSupplPastSuppl
10:00.36 ± 0.200.11 ± 0.030.82 ± 0.440.41 ± 0.220.06 ± 0.050.03 ± 0.050.20 ± 00.29 ± 0.18
12:00.74 ± 0.210.14 ± 0.051.3 ± 0.550.61 ± 0.270.36 ± 0.080.34 ± 0.270.30 ± 00.45 ± 0.42
14:02.09 ± 0.790.50 ± 0.154.62 ± 1.531.69 ± 0.700.95 ± 0.310.56 ± 0.230.63 ± 0.051.29 ± 1.08
16:018.25 ± 2.9115.23 ± 2.1924.82 ± 2.3616.49 ± 1.7312.6 ± 1.515.3 ± 1.412.4 ± 0.114 ± 3.1
16:1 n7 cis0.37 ± 0.190.17 ± 0.060.60 ± 0.270.33 ± 0.080.03 ± 0.080.29 ± 0.210.18 ± 0.050.29 ± 0.37
17:00.36 ± 0.270.11 ± 0.030.44 ± 0.050.13 ± 0.120 ± 00 ± 00.05 ± 0.100.03 ± 0.05
18:03.1 ± 0.972.06 ± 0.465.24 ± 0.333.49 ± 0.422.21 ± 0.322.49 ± 0.482.08 ± 0.054.35 ± 1.60
18:1 n9 cis7.21 ± 4.1928.81 ± 6.0111.44 ± 1.1522.8 ± 2.765.00 ± 1.5727.68 ± 5.713.90 ± 0.6022.66 ± 2.50
18:2 n6 cis13.41 ± 5.0546.43 ± 4.8610.18 ± 0.3841.37 ± 4.3513.77 ±3.04 41.81 ± 5.8214.18 ± 1.3537.90 ± 10.02
20:00.79 ± 0.390.43 ± 0.050.58 ± 0.110.49 ± 0.140.38 ± 0.080.62 ± 0.140.40 ± 00.53 ± 0.21
20:10.04 ± 0.080.39 ± 0.140 ± 00.11 ± 0.090.10 ± 0.100.49 ± 0.090 ± 00.19 ± 0.18
18:3 n3 cis42.42 ± 12.933.41 ± 1.6631.72 ± 11.618.36 ± 4.1158.66 ± 7.616.84 ± 5.4757.60 ± 2.4013.36 ± 9.32
22:00.51 ± 0.120.24 ± 0.060.54 ± 0.050.33 ± 0.140.66 ± 0.240.53 ± 0.130.55 ± 0.100.48 ± 0.16
24:00.47 ± 0.120.3 ± 0.080.32 ± 0.160.27 ± 0.120.40 ± 0.070.55 ± 0.250.53 ± 0.050.38 ± 0.11
SFA27.21 ± 5.5219.17 ± 2.6440.22 ± 7.2824.73 ± 3.6518.77 ± 3.6018.36 ± 1.5719.25 ± 2.1018.76 ± 2.01
MUFAs cis7.63 ± 4.3129.37 ± 5.8912.4 ± 1.3723.25 ± 2.7619.56 ± 8.6522.14 ± 15.976.68 ± 7.158.47 ± 6.18
PUFAs cis55.83 ± 9.1649.84 ± 5.5641.9 ± 11.2349.73 ± 3.9556.80 ± 8.9156.47 ± 16.4266.80 ± 6.8067.38 ± 6.93
Total fat (g/100 g DM)3.73 ± 1.004.86 ± 1.632.62 ± 0.063.95 ± 0.305.96 ± 1.179.03 ± 5.525.78 ± 2.004.41 ± 0.68
Past: Pasture; Suppl: Supplement. HP: High Pasture; LP: Low Pasture. SFA: Saturated Fatty Acids; MUFAs: Monounsaturated Fatty Acids; PUFAs: Polyunsaturated Fatty Acids. DM: dry matter.
Table 3. Fatty acid profiles of the total diet (pasture and supplement) from two selected dairy farms for butter production (C and GRZ).
Table 3. Fatty acid profiles of the total diet (pasture and supplement) from two selected dairy farms for butter production (C and GRZ).
Fatty Acids
(g/100 g Fat)
SpringFall
GRZCGRZC
16:018.5 ± 2.517.0 ± 2.115.4 ± 1.412.6 ± 1.6
18:03.7 ± 0.73.5 ± 0.32.6 ± 0.44.0 ± 0.6
18:1 n9 cis11.3 ± 5.118.2 ± 1.914.0 ± 3.326.2 ± 1.5
18:2 n6 cis21.7 ± 4.934.6 ± 2.325.5 ± 4.447 ± 5.2
18:3 n3 cis29.2 ± 7.215.1 ± 2.832.2 ± 6.54.2 ± 5.8
GRZ: pasture-based system (grazing + supplement); C: confined (total mixed ration, TMR).
Table 4. Saturated Fatty Acid Profile of Milk in Spring and Fall.
Table 4. Saturated Fatty Acid Profile of Milk in Spring and Fall.
Fatty Acid (g/100 g Fat)Spring Fall
TPSEMp-ValueTPSEM p-Value
12345 TPT×P 12345 TPT×P
4:0HP3.032.923.543.432.512.760.09ns0.022nsHP3.163.203.312.943.492.870.13nsnsns
LP2.862.583.182.612.553.37LP3.303.813.133.263.283.04
6:0HP1.821.93 a2.12 a1.91 a1.49 a1.63 b0.05ns0.0500.045HP2.001.862.151.922.251.820.10nsnsns
LP1.861.73 a2.04 a1.64 a1.70 a2.21 aLP2.132.482.042.132.091.90
8:0HP1.061.181.231.010.871.000.05nsnsnsHP1.231.071.351.241.401.090.08nsnsns
LP1.131.101.191.001.041.34LP1.301.471.301.281.311.12
10:0HP2.372.772.782.152.042.120.16nsnsnsHP2.782.752.932.733.102.390.29ns0.015ns
LP2.642.642.712.412.522.89LP2.622.652.542.692.832.39
11:0HP0.300.350.340.260.260.280.02nsnsnsHP0.360.310.420.360.410.290.03nsnsns
LP0.320.300.330.290.320.39LP0.310.270.350.330.320.27
12:0HP2.783.263.202.472.502.490.10nsnsnsHP3.222.933.493.233.632.810.42nsnsns
LP3.083.073.192.912.893.32LP2.952.912.823.033.232.75
14:0HP10.6111.5611.5010.0810.209.720.42nsnsnsHP10.9811.0111.1611.0311.5010.210.85nsnsns
LP10.8610.8410.8810.7510.6611.17LP10.1510.619.8910.2110.549.51
15:0HP1.371.421.361.351.341.380.14nsnsnsHP1.201.171.261.211.231.110.06nsnsns
LP1.211.231.191.191.131.29LP1.041.031.041.081.011.02
16:0HP29.4629.7529.6929.1430.0028.711.00nsnsnsHP30.7531.4030.5930.4331.0730.261.16nsnsns
LP29.9429.3029.6530.2929.7330.71LP28.7930.0028.4128.0629.1928.28
17:0HP0.820.790.810.820.830.870.06nsnsnsHP0.710.640.680.760.730.760.04nsnsns
LP0.690.710.690.690.650.71LP0.670.620.700.680.640.72
18:0HP10.089.279.7310.7210.2410.420.45nsnsnsHP9.159.128.529.598.569.950.85nsnsns
LP10.1011.0310.499.9210.128.92LP10.9311.1911.4410.5710.3711.09
Total SFAHP63.8865.3666.4663.5562.4561.591.08nsnsnsHP65.5564.9466.0265.5967.5163.712.13nsnsns
LP64.9164.7166.0163.8763.4966.46LP64.3467.1963.8463.4664.9562.24
HP = High pasture; LP = Low pasture. T: treatments; P: periods, T×P: interaction between treatments and periods. SFA: saturated fatty acid. SEM: standard error of the mean. Different letters indicate significant difference (p < 0.05). ns: no significance.
Table 5. Branched-chain Fatty Acid Profile of Milk in Spring and Fall.
Table 5. Branched-chain Fatty Acid Profile of Milk in Spring and Fall.
Fatty Acid (g/100 g Fat)Spring Fall
TPSEMp-ValueTPSEM p-Value
12345 TPT×P 12345 TPT×P
14:0 isoHP0.170.160.150.180.170.190.01nsnsnsHP0.130.130.120.140.120.120.01nsnsns
LP0.130.140.120.130.110.13LP0.110.100.120.110.110.10
15:0 isoHP0.36 a0.360.350.360.330.370.020.029nsnsHP0.30 a0.270.310.320.290.300.010.003nsns
LP0.28 b0.300.320.250.240.27LP0.24 b0.250.240.230.220.24
15:0 anteisoHP0.69 a0.740.710.700.640.680.030.008nsnsHP0.56 a0.520.570.580.560.560.010.0004nsns
LP0.48 b0.490.480.480.460.51LP0.43 b0.450.430.440.430.42
16:0 isoHP0.34 a0.350.340.340.330.350.010.003nsnsHP0.290.260.270.310.300.300.02nsnsns
LP0.30 b0.330.290.300.290.31LP0.280.250.300.300.280.28
17:0 isoHP0.43 a0.370.460.450.440.440.020.005nsnsHP0.380.340.380.400.370.440.02ns0.003ns
LP0.34 b0.360.350.340.330.33LP0.330.290.350.340.300.37
17:0 anteisoHP0.530.550.530.520.500.550.03nsnsnsHP0.480.430.480.500.500.480.02nsnsns
LP0.440.460.430.440.430.47LP0.430.380.460.450.410.46
18:0 iso HP0.054 a0.0570.0530.0520.0520.0570.0010.0250.040nsHP0.0630.0590.0530.0600.0670.0770.01nsnsns
LP0.048 b0.0510.0480.0460.0460.050LP0.0450.0450.0480.0430.0390.050
Total BCFAsHP2.57 a2.582.592.592.462.640.090.006nsnsHP2.19 a2.012.182.302.212.270.060.0070.030ns
LP2.02 b2.132.031.981.912.06LP1.86 b1.771.951.921.781.91
HP = High pasture; LP = Low pasture. T: treatments; P: periods, T×P: interaction between treatments and periods. BCFA: branched-chain fatty acid. SEM: standard error of the mean. Different letters indicate significant difference (p < 0.05). ns: no significance.
Table 6. Monounsaturated Fatty Acid Profile of Milk in Spring and Fall.
Table 6. Monounsaturated Fatty Acid Profile of Milk in Spring and Fall.
Fatty Acid (g/100 g Fat)SpringFall
TPSEMp-ValueTPSEMp-Value
12345 TPT×P 12345 TPT×P
14:1 cisHP0.850.990.920.790.810.760.05nsnsnsHP1.011.001.170.991.040.880.11nsnsns
LP0.920.890.880.920.841.05LP0.840.760.910.860.870.79
16:1 cisHP1.291.341.271.281.351.230.12nsnsnsHP1.59 a1.581.711.531.591.540.050.022nsns
LP1.361.391.311.411.231.44LP1.31 b1.171.421.331.261.39
18:1 elaidicHP0.230.260.170.220.260.260.04nsnsnsHP0.22 b0.310.220.240.200.110.040.015nsns
LP0.340.320.340.390.410.25LP0.38 a0.330.340.410.360.46
18:1 trans-vaccenicHP4.11 a4.143.844.224.244.100.280.012nsnsHP3.553.803.453.443.393.700.41nsnsns
LP2.36 b2.282.352.582.382.20LP2.401.912.412.582.342.73
18:1 cisHP19.6818.0018.0419.9721.6920.680.73nsnsnsHP19.6820.6818.6519.4318.0121.621.83nsnsns
LP21.0421.3220.5421.8122.2319.29LP21.7520.7722.7821.2721.0122.94
Total MUFAs cisHP21.8220.3420.2322.0423.8422.670.68nsnsnsHP22.2823.2621.5221.9420.6524.040.73nsnsns
LP23.3223.6122.7324.1424.3021.79LP23.9022.7025.1123.4523.1325.12
HP = High pasture, LP = Low pasture. T: treatments, P: periods, T×P: interaction between treatments and periods. MUFAs: monounsaturated fatty acids. SEM: standard error of the mean. Different letters indicate significant difference (p < 0.05). ns: no significance.
Table 7. Polyunsaturated Fatty Acid Profile of Milk in Spring and Fall.
Table 7. Polyunsaturated Fatty Acid Profile of Milk in Spring and Fall.
Fatty Acid (g/100 g Fat)SpringFall
TPSEMp-ValueTPSEMp-Value
12345 TPT×P 12345 TPT×P
18:2 transHP1.12 a1.071.051.091.191.190.040.003nsnsHP1.27 a1.221.211.221.241.450.040.031nsns
LP0.89 b0.790.791.170.860.82LP1.12 b1.001.131.091.041.33
18:2 n6 cisHP1.721.441.541.911.801.910.32nsnsnsHP1.481.331.511.551.331.690.08<0.0001nsns
LP2.542.422.532.552.642.58LP2.862.452.622.993.073.19
18:2 CLAHP1.65 a1.861.511.581.701.620.110.014nsnsHP1.43 a1.531.531.471.371.290.150.033nsns
LP0.89 b0.790.830.960.930.94LP0.86 b0.660.970.900.850.90
18:3 n3 cisHP0.89 a0.820.890.970.870.900.080.033nsnsHP0.530.470.520.560.550.570.03ns0.03ns
LP0.54 b0.360.500.630.600.63LP0.500.370.540.540.540.53
Total PUFAs cisHP2.612.272.432.882.672.820.24nsnsnsHP2.02 b1.802.032.111.872.260.08<0.0001nsns
LP3.092.783.033.173.243.21LP3.37 a2.823.163.533.613.72
HP = High pasture, LP = Low pasture. T: treatments, P: periods, T×P: interaction between treatments and periods. PUFAs: polyunsaturated fatty acids. SEM: standard error of the mean. Different letters indicate significant difference (p < 0.05). ns: no significance.
Table 8. Fatty Acid Profile of Butter and Bulk Milk Elaborated in Spring and Fall.
Table 8. Fatty Acid Profile of Butter and Bulk Milk Elaborated in Spring and Fall.
Fatty Acid (g/100 g Fat)SpringFall
ButterMilkBButterMilkB
GRZCSEMp-ValueGRZCSEMp-ValueGRZCSEMp-ValueGRZCSEM p-Value
4:03.842.610.58ns2.362.970.44ns2.75 a2.62 b0.020.0432.742.780.22ns
6:02.331.700.25ns1.591.820.27ns1.86 a1.59 b0.010.0022.001.560.13ns
8:01.281.870.57ns1.041.030.13ns1.12 a0.92 b0.010.0031.300.910.12ns
10:02.82.780.25ns2.522.330.11ns2.71 a1.99 b0.040.0053.131.860.32ns
11:00.34 a0.32 b0.0020.0400.330.340.01ns0.29 a0.23 b0.010.0400.380.220.05ns
12:03.20 a3.00 b0.010.0063.132.650.25ns3.27 a2.33 b0.020.0013.732.160.41ns
14:0 iso0.18 a0.16 b0.0020.0460.140.150.02ns0.11 a0.09 b0.0020.0200.120.100.01ns
14:011.3711.060.17ns11.5610.140.43ns11.36 a8.86 b0.050.00111.837.920.73ns
15:0 iso0.360.400.01ns0.320.310.03ns0.25 a0.19 b0.0040.0090.280.230.01ns
15:0 anteiso0.76 a0.67 b0.010.0120.660.590.04ns0.48 a0.39 b0.010.0100.57 a0.43 b0.010.004
14:10.93 b1.03 a0.010.0270.960.950.14ns0.830.720.03ns0.950.660.06ns
15:01.55 b1.62 a0.010.0251.501.600.09ns1.16 a0.99 b0.0040.0011.341.070.05ns
16:0 iso0.380.400.01ns0.320.320.03ns0.270.270.003ns0.300.270.01ns
16:029.7931.140.45ns33.2530.991.94ns34.23 a28.29 b0.430.01032.61 a25.81 b0.580.014
17:0 iso0.480.50.02ns0.430.360.03ns0.45 a0.33 b0.010.0080.380.420.04ns
17:0 anteiso0.630.690.01ns0.530.560.05ns0.42 a0.19 b0.010.0060.480.510.03ns
16:11.34 b1.71 a0.030.0161.491.570.17ns1.471.350.02ns1.501.360.10ns
17:00.94 b1.00 a0.010.0300.880.860.04ns0.75 a0.69 b0.010.0220.800.820.05ns
18:0 iso0.10.080.03ns0.060.050.003ns0.060.060.01ns0.060.060.01ns
18:09.068.970.26ns8.309.061.27ns9.36 b11.16 a0.100.0068.65 b11.81 a0.510.048
18:1 elaidic0.220.190.03ns0.200.290.04ns0.22 b0.41 a0.030.0350.17 b0.50 a0.040.035
18:1 trans-vaccenic3.22 a1.89 b0.150.0243.652.330.110.0152.89 b2.97 a0.010.0093.142.570.26ns
18:1 cis17.65 b19.95 a0.350.04317.3320.801.85ns18.10 b25.73 a0.220.00217.7227.281.83ns
18:2 trans0.810.900.08ns1.100.880.16ns1.01 b1.86 a0.050.0081.191.340.08ns
18:2 cis2.00 a1.77 b0.020.0101.901.530.15ns1.70 b2.84 a0.060.0051.74 b3.23 a0.240.048
18:2 CLA 1.44 a0.98 b0.070.0421.571.210.12ns0.920.910.005ns1.060.970.08ns
18:3 n3 cis1.091.020.07ns1.07 a0.96 b0.020.0500.560.550.02ns0.600.580.02ns
20:00.180.180.003ns0.180.170.03ns0.15 a0.14 b0.0010.0110.150.170.01ns
Total SFAs66.6766.251.40ns66.6563.952.01ns69.02 a59.79 b0.450.00568.66 a57.09 b1.680.040
Total MUFAs cis19.92 b22.68 a0.390.03719.7823.311.54ns20.76 b28.17 a0.220.00220.1729.301.86ns
Total PUFAs cis3.12.780.08ns2.972.500.15ns2.27 b3.38 a0.070.0082.343.810.26ns
Total BCFAs2.872.900.03ns2.462.340.18ns2.04 a1.51 b0.020.0022.192.010.08ns
Total Trans4.26 a2.98 b0.200.0464.953.510.29ns4.12 b5.24 a0.080.0094.265.200.21ns
Spreadability index (C16:0/C18:1)1.691.560.05ns1.931.520.25ns1.89 b1.10 a0.040.0051.850.950.130.037
GRZ: pasture-based system (grazing + supplement); C: confined (total mixed ration, TMR). Milk B: milk to butter. SFAs: saturated fatty acids. BCFAs: branched-chain fatty acids. MUFAs cis: monounsaturated fatty acids. PUFAs cis: polyunsaturated fatty acids. SEM: standard error of the mean. Different letters indicate significant difference (p < 0.05). ns: no significance. MilkB: bulk milk.
Table 9. Peak temperature (Tpeak), enthalpies of fusion (ΔH) and final melting temperature (Tendset) for anhydrous milk fats from butter elaborated in Spring and Fall.
Table 9. Peak temperature (Tpeak), enthalpies of fusion (ΔH) and final melting temperature (Tendset) for anhydrous milk fats from butter elaborated in Spring and Fall.
Tpeak (°C)ΔH (J/g)Tendset (°C)
12
Spring-GRZ15.7 ± 0.434.1 ± 0.996.9 ± 2.939.9 ± 0.3
Spring-C18.2 ± 0.533.1 ± 0.897.9 ± 3.036.4 ± 0.4
Fall-GRZ17.2 ± 0.833.7 ± 0.9112.9 ± 3.337.1 ± 0.3
Fall-C16.4 ± 0.735.9 ± 0.989.4 ± 2.642.4 ± 0.5
GRZ: pasture-based system (grazing + supplement) and C: confined (total mixed ration, TMR) in spring and fall.
Table 10. Evaluation of color from butter elaborated in Spring and Fall.
Table 10. Evaluation of color from butter elaborated in Spring and Fall.
SpringFall
GRZCSEMp-ValueGRZCSEMp-Value
L*55.0857.160.58ns59.2458.950.14ns
a*−5.05−5.090.04ns−4.57−4.570.13ns
b*22.8823.261.00ns28.39 a15.71 b0.460.003
GRZ: pasture-based system (grazing + supplement); C: confined (total mixed ration, TMR). SEM: standard error of the mean. Different letters indicate significant difference (p < 0.05). ns: no significance.
Disclaimer/Publisher’s Note: The statements, opinions and data contained in all publications are solely those of the individual author(s) and contributor(s) and not of MDPI and/or the editor(s). MDPI and/or the editor(s) disclaim responsibility for any injury to people or property resulting from any ideas, methods, instructions or products referred to in the content.

Share and Cite

MDPI and ACS Style

Grille, L.; Vieitez, I.; Garay, A.; Romero, M.; Jorcín, S.; Krall, E.; Méndez, M.N.; Irigaray, B.; Bejarano, E.; López-Pedemonte, T. Fat Profiles of Milk and Butter Obtained from Different Dairy Systems (High and Low Pasture) and Seasons (Spring and Fall): Focus on Healthy Fatty Acids and Technological Properties of Butter. Dairy 2024, 5, 555-575. https://doi.org/10.3390/dairy5030042

AMA Style

Grille L, Vieitez I, Garay A, Romero M, Jorcín S, Krall E, Méndez MN, Irigaray B, Bejarano E, López-Pedemonte T. Fat Profiles of Milk and Butter Obtained from Different Dairy Systems (High and Low Pasture) and Seasons (Spring and Fall): Focus on Healthy Fatty Acids and Technological Properties of Butter. Dairy. 2024; 5(3):555-575. https://doi.org/10.3390/dairy5030042

Chicago/Turabian Style

Grille, Lucía, Ignacio Vieitez, Andrea Garay, Melissa Romero, Santiago Jorcín, Esteban Krall, Maria Noel Méndez, Bruno Irigaray, Edinson Bejarano, and Tomás López-Pedemonte. 2024. "Fat Profiles of Milk and Butter Obtained from Different Dairy Systems (High and Low Pasture) and Seasons (Spring and Fall): Focus on Healthy Fatty Acids and Technological Properties of Butter" Dairy 5, no. 3: 555-575. https://doi.org/10.3390/dairy5030042

APA Style

Grille, L., Vieitez, I., Garay, A., Romero, M., Jorcín, S., Krall, E., Méndez, M. N., Irigaray, B., Bejarano, E., & López-Pedemonte, T. (2024). Fat Profiles of Milk and Butter Obtained from Different Dairy Systems (High and Low Pasture) and Seasons (Spring and Fall): Focus on Healthy Fatty Acids and Technological Properties of Butter. Dairy, 5(3), 555-575. https://doi.org/10.3390/dairy5030042

Article Metrics

Back to TopTop