Review: The Potential Role of Vitamin E Analogs as Adjunctive Antioxidant Supplements for Transition Cows
Abstract
1. Introduction
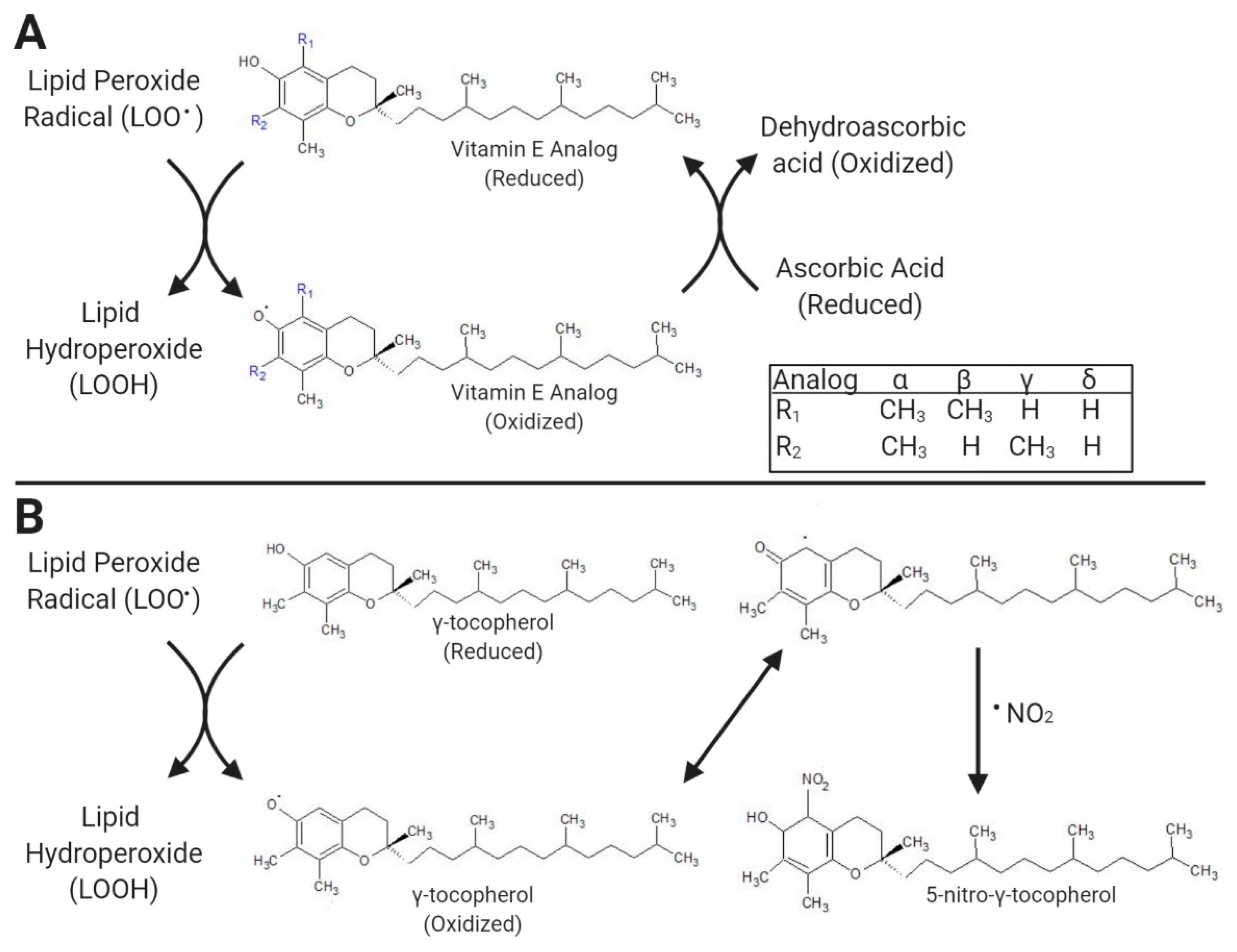
2. Vitamin E Analogs
3. Antioxidant Capacity
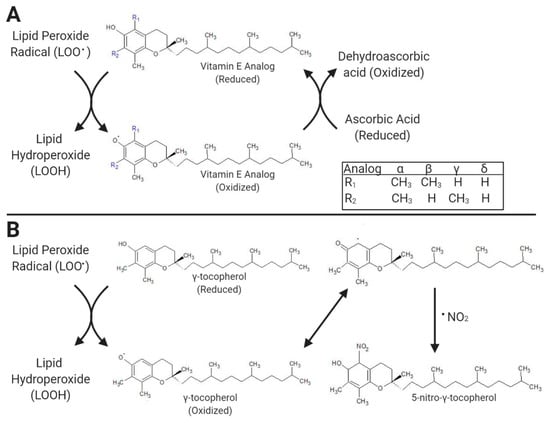
3.1. Analog Antioxidant Functions
3.2. Analog Concentratiosn in Cattle
4. Inflammatory Regulation
4.1. Pro-Inflammatory Signaling
4.2. Lipid Mediator Aberration
4.2.1. Lipoxygenase
4.2.2. Cytochrome P450
4.2.3. Cyclooxygenase
5. Safety of In Vivo Supplementation
6. Future Directions
7. Conclusions
Funding
Acknowledgments
Conflicts of Interest
References
- Sordillo, L.M.; Mavangira, V. The nexus between nutrient metabolism, oxidative stress and inflammation in transition cows. Anim. Prod. Sci. 2014, 54, 1204–1214. [Google Scholar] [CrossRef]
- Sordillo, L.M.; Aitken, S.L. Impact of oxidative stress on the health and immune function of dairy cattle. Vet. Immunol. Immunopathol. 2009, 128, 104–109. [Google Scholar] [CrossRef]
- NRC, National Research Council. Nutrient Requirements of Dairy Cattle: Seventh Revised Edition; The National Academy Press: Washington, DC, USA, 2001; 405p. [Google Scholar] [CrossRef]
- Politis, I. Reevaluation of vitamin E supplementation of dairy cows: Bioavailability, animal health and milk quality. Anim. Int. J. Anim. Biosci. 2012, 6, 1427–1434. [Google Scholar] [CrossRef]
- Goff, J.P.; Stabel, J.R. Decreased plasma retinol, alpha-tocopherol, and zinc concentration during the periparturient period: Effect of milk fever. J. Dairy Sci. 1990, 73, 3195–3199. [Google Scholar] [CrossRef]
- Sadri, H.; Danicke, S.; Meyer, U.; Rehage, J.; Frank, J.; Sauerwein, H. Tocopherols and tocotrienols in serum and liver of dairy cows receiving conjugated linoleic acids or a control fat supplement during early lactation. J. Dairy Sci. 2015, 98, 7034–7043. [Google Scholar] [CrossRef] [PubMed]
- Erskine, R.J.; Bartlett, P.C.; Herdt, T.; Gaston, P. Effects of parenteral administration of vitamin E on health of periparturient dairy cows. JAVMA-J. Am. Vet. Med. Assoc. 1997, 211, 466–469. [Google Scholar]
- LeBlanc, S.J.; Duffield, T.F.; Leslie, K.E.; Bateman, K.G.; TenHag, J.; Walton, J.S.; Johnson, W.H. The effect of prepartum injection of vitamin E on health in transition dairy cows. J. Dairy Sci. 2002, 85, 1416–1426. [Google Scholar] [CrossRef] [PubMed]
- Hogan, J.S.; Weiss, W.P.; Todhunter, D.A.; Smith, K.L.; Schoenberger, P.S. Bovine neutrophil responses to parenteral vitamin E. J. Dairy Sci. 1992, 75, 399–405. [Google Scholar] [CrossRef] [PubMed]
- Galli, F.; Azzi, A.; Birringer, M.; Cook-Mills, J.M.; Eggersdorfer, M.; Frank, J.; Cruciani, G.; Lorkowski, S.; Ozer, N.K. Vitamin E: Emerging aspects and new directions. Free Radic. Biol. Med. 2017, 102, 16–36. [Google Scholar] [CrossRef] [PubMed]
- Haga, S.; Miyaji, M.; Nakano, M.; Ishizaki, H.; Matsuyama, H.; Katoh, K.; Roh, S.G. Changes in the expression of alpha-tocopherol-related genes in liver and mammary gland biopsy specimens of peripartum dairy cows. J. Dairy Sci. 2018, 101, 5277–5293. [Google Scholar] [CrossRef]
- Kuhn, M.J.; Mavangira, V.; Gandy, J.C.; Sordillo, L.M. Production of 15-F2t-isoprostane as an assessment of oxidative stress in dairy cows at different stages of lactation. J. Dairy Sci. 2018, 101, 9287–9295. [Google Scholar] [CrossRef] [PubMed]
- Schmolz, L.; Birringer, M.; Lorkowski, S.; Wallert, M. Complexity of vitamin E metabolism. World J. Biol. Chem. 2016, 7, 14–43. [Google Scholar] [CrossRef] [PubMed]
- Bouwstra, R.J.; Nielen, M.; Newbold, J.R.; Jansen, E.H.; Jelinek, H.F.; van Werven, T. Vitamin E supplementation during the dry period in dairy cattle. Part II: Oxidative stress following vitamin E supplementation may increase clinical mastitis incidence postpartum. J. Dairy Sci. 2010, 93, 5696–5706. [Google Scholar] [CrossRef]
- Bouwstra, R.J.; Nielen, M.; Stegeman, J.A.; Dobbelaar, P.; Newbold, J.R.; Jansen, E.H.; van Werven, T. Vitamin E supplementation during the dry period in dairy cattle. Part I: Adverse effect on incidence of mastitis postpartum in a double-blind randomized field trial. J. Dairy Sci. 2010, 93, 5684–5695. [Google Scholar] [CrossRef] [PubMed]
- Kamal-Eldin, A.; Appelqvist, L.A. The chemistry and antioxidant properties of tocopherols and tocotrienols. Lipids 1996, 31, 671–701. [Google Scholar] [CrossRef]
- Burbank, A.J.; Duran, C.G.; Pan, Y.; Burns, P.; Jones, S.; Jiang, Q.; Yang, C.; Jenkins, S.; Wells, H.; Alexis, N.; et al. Gamma tocopherol-enriched supplement reduces sputum eosinophilia and endotoxin-induced sputum neutrophilia in volunteers with asthma. J. Allergy Clin. Immunol. 2018, 141, 1231–1238.e1. [Google Scholar] [CrossRef]
- Wiser, J.; Alexis, N.E.; Jiang, Q.; Wu, W.; Robinette, C.; Roubey, R.; Peden, D.B. In vivo gamma-tocopherol supplementation decreases systemic oxidative stress and cytokine responses of human monocytes in normal and asthmatic subjects. Free Radic. Biol. Med. 2008, 45, 40–49. [Google Scholar] [CrossRef] [PubMed]
- Jiang, Q.; Christen, S.; Shigenaga, M.K.; Ames, B.N. gamma-tocopherol, the major form of vitamin E in the US diet, deserves more attention. Am. J. Clin. Nutr. 2001, 74, 714–722. [Google Scholar] [CrossRef]
- Sontag, T.J.; Parker, R.S. Influence of major structural features of tocopherols and tocotrienols on their omega-oxidation by tocopherol-omega-hydroxylase. J. Lipid Res. 2007, 48, 1090–1098. [Google Scholar] [CrossRef]
- Hosomi, A.; Arita, M.; Sato, Y.; Kiyose, C.; Ueda, T.; Igarashi, O.; Arai, H.; Inoue, K. Affinity for alpha-tocopherol transfer protein as a determinant of the biological activities of vitamin E analogs. FEBS Lett. 1997, 409, 105–108. [Google Scholar] [CrossRef] [PubMed]
- Adeyemi, K.D.; Sabow, A.B.; Aghwan, Z.A.; Ebrahimi, M.; Samsudin, A.A.; Alimon, A.R.; Sazili, A.Q. Serum fatty acids, biochemical indices and antioxidant status in goats fed canola oil and palm oil blend. J. Anim. Sci. Technol. 2016, 58, 6. [Google Scholar] [CrossRef]
- Jiang, Q. Natural forms of vitamin E: Metabolism, antioxidant, and anti-inflammatory activities and their role in disease prevention and therapy. Free Radic. Biol. Med. 2014, 72, 76–90. [Google Scholar] [CrossRef]
- Mah, E.; Pei, R.; Guo, Y.; Masterjohn, C.; Ballard, K.D.; Taylor, B.A.; Taylor, A.W.; Traber, M.G.; Volek, J.S.; Bruno, R.S. Greater gamma-tocopherol status during acute smoking abstinence with nicotine replacement therapy improved vascular endothelial function by decreasing 8-iso-15(S)-prostaglandin F2α. Exp. Biol. Med. 2015, 240, 527–533. [Google Scholar] [CrossRef]
- Phillips, P.H.; Kastelic, J.; Hart, E.B. The effect of mixed tocopherols on milk and butterfat production of the dairy cow. J. Nutr. 1948, 36, 695–701. [Google Scholar] [CrossRef]
- Qu, Y. The Effect of Feeding Mixed Tocopherl Oil on Body Accumulation and Immune Cell Functions in Lactating Holstein Dairy Cows. Doctoral Dissertation, University of Maryland, College Park, MD, USA, 2017. [Google Scholar]
- Quigley, J.D.; Hill, T.M.; Dennis, T.S.; Suarez-Mena, F.X.; Hu, W.; Kahl, S.; Elsasser, T.H. Effects of mixed tocopherols added to milk replacer and calf starter on intake, growth, and indices of stress. J. Dairy Sci. 2021, 104, 9769–9783. [Google Scholar] [CrossRef] [PubMed]
- Qu, Y.; Elsasser, T.H.; Kahl, S.; Garcia, M.; Scholte, C.M.; Connor, E.E.; Schroeder, G.F.; Moyes, K.M. The effects of feeding mixed tocopherol oil on whole-blood respiratory burst and neutrophil immunometabolic-related gene expression in lactating dairy cows. J. Dairy Sci. 2018, 101, 4332–4342. [Google Scholar] [CrossRef] [PubMed]
- Kuhn, M.J.; Sordillo, L.M. Vitamin E analogs limit in vitro oxidant damage to bovine mammary endothelial cells. J. Dairy Sci. 2021, 104, 7154–7167. [Google Scholar] [CrossRef]
- Elsasser, T.H.; Kahl, S.; Lebold, K.M.; Traber, M.G.; Shaffer, J.; Li, C.-J.; Block, S. Short-term alpha- or gamma-delta-enriched tocopherol oil supplementation differentially affects the expression of proinflammatory mediators: Selective impacts on characteristics of protein tyrosine nitration in vivo. Vet. Sci. Dev. 2013, 3, 6. [Google Scholar] [CrossRef]
- Pacher, P.; Beckman, J.S.; Liaudet, L. Nitric oxide and peroxynitrite in health and disease. Physiol. Rev. 2007, 87, 315–424. [Google Scholar] [CrossRef]
- Bouchard, L.; Blais, S.; Desrosiers, C.; Zhao, X.; Lacasse, P. Nitric oxide production during endotoxin-induced mastitis in the cow. J. Dairy Sci. 1999, 82, 2574–2581. [Google Scholar] [CrossRef] [PubMed]
- Kasimanickam, R.K.; Kasimanickam, V.R. Effect of tocopherol supplementation on serum 8-epi-prostaglandin F2 alpha and adiponectin concentrations, and mRNA expression of PPARgamma and related genes in ovine placenta and uterus. Theriogenology 2011, 76, 482–491. [Google Scholar] [CrossRef]
- Jiang, Q.; Ames, B.N. Gamma-tocopherol, but not alpha-tocopherol, decreases proinflammatory eicosanoids and inflammation damage in rats. FASEB J. 2003, 17, 816–822. [Google Scholar] [CrossRef] [PubMed]
- Yoshida, Y.; Itoh, N.; Hayakawa, M.; Piga, R.; Cynshi, O.; Jishage, K.; Niki, E. Lipid peroxidation induced by carbon tetrachloride and its inhibition by antioxidant as evaluated by an oxidative stress marker, HODE. Toxicol. Appl. Pharmacol. 2005, 208, 87–97. [Google Scholar] [CrossRef]
- Hernandez, M.L.; Wagner, J.G.; Kala, A.; Mills, K.; Wells, H.B.; Alexis, N.E.; Lay, J.C.; Jiang, Q.; Zhang, H.; Zhou, H.; et al. Vitamin E, gamma-tocopherol, reduces airway neutrophil recruitment after inhaled endotoxin challenge in rats and in healthy volunteers. Free Radic. Biol. Med. 2013, 60, 56–62. [Google Scholar] [CrossRef]
- Pontes, G.C.; Monteiro, P.L., Jr.; Prata, A.B.; Guardieiro, M.M.; Pinto, D.A.; Fernandes, G.O.; Wiltbank, M.C.; Santos, J.E.; Sartori, R. Effect of injectable vitamin E on incidence of retained fetal membranes and reproductive performance of dairy cows. J. Dairy Sci. 2015, 98, 2437–2449. [Google Scholar] [CrossRef] [PubMed]
- Qureshi, A.A.; Reis, J.C.; Papasian, C.J.; Morrison, D.C.; Qureshi, N. Tocotrienols inhibit lipopolysaccharide-induced pro-inflammatory cytokines in macrophages of female mice. Lipids Health Dis. 2010, 9, 143. [Google Scholar] [CrossRef]
- Wagner, J.G.; Birmingham, N.P.; Jackson-Humbles, D.; Jiang, Q.; Harkema, J.R.; Peden, D.B. Supplementation with gamma-tocopherol attenuates endotoxin-induced airway neutrophil and mucous cell responses in rats. Free Radic. Biol. Med. 2014, 68, 101–109. [Google Scholar] [CrossRef]
- Muid, S.; Froemming, G.R.; Rahman, T.; Ali, A.M.; Nawawi, H.M. Delta- and gamma-tocotrienol isomers are potent in inhibiting inflammation and endothelial activation in stimulated human endothelial cells. Food Nutr. Res. 2016, 60, 31526. [Google Scholar] [CrossRef] [PubMed]
- Jiang, Z.; Yin, X.; Jiang, Q. Natural forms of vitamin E and 13′-carboxychromanol, a long-chain vitamin E metabolite, inhibit leukotriene generation from stimulated neutrophils by blocking calcium influx and suppressing 5-lipoxygenase activity, respectively. J. Immunol. 2011, 186, 1173–1179. [Google Scholar] [CrossRef]
- Boutet, P.; Bureau, F.; Degand, G.; Lekeux, P. Imbalance between lipoxin A4 and leukotriene B4 in chronic mastitis-affected cows. J. Dairy Sci. 2003, 86, 3430–3439. [Google Scholar] [CrossRef]
- Mavangira, V.; Gandy, J.C.; Zhang, C.; Ryman, V.E.; Daniel Jones, A.; Sordillo, L.M. Polyunsaturated fatty acids influence differential biosynthesis of oxylipids and other lipid mediators during bovine coliform mastitis. J. Dairy Sci. 2015, 98, 6202–6215. [Google Scholar] [CrossRef]
- Kuhn, M.J.; Mavangira, V.; Sordillo, L.M. Invited review: Cytochrome P450 enzyme involvement in health and inflammatory-based diseases of dairy cattle. J. Dairy Sci. 2021, 104, 1276–1290. [Google Scholar] [CrossRef]
- Mavangira, V.; Brown, J.; Gandy, J.C.; Sordillo, L.M. 20-hydroxyeicosatetraenoic acid alters endothelial cell barrier integrity independent of oxidative stress and cell death. Prostaglandins Other Lipid Mediat. 2020, 149, 106425. [Google Scholar] [CrossRef]
- Kuhn, M.J.; Sordillo, L.M. Inhibition of 20-hydroxyeicosatetraenoic acid biosynthesis by vitamin E analogs in human and bovine cytochrome P450 microsomes. J. Anim. Physiol. Anim. Nutr. 2022, 106, 55–60. [Google Scholar] [CrossRef]
- Farley, S.M.; Leonard, S.W.; Taylor, A.W.; Birringer, M.; Edson, K.Z.; Rettie, A.E.; Traber, M.G. omega-Hydroxylation of phylloquinone by CYP4F2 is not increased by alpha-tocopherol. Mol. Nutr. Food Res. 2013, 57, 1785–1793. [Google Scholar] [CrossRef] [PubMed]
- Kim, Y.; Gromovsky, A.D.; Brown, J.M.; Chung, S. Gamma-tocotrienol attenuates the aberrant lipid mediator production in NLRP3 inflammasome-stimulated macrophages. J. Nutr. Biochem. 2018, 58, 169–177. [Google Scholar] [CrossRef]
- Yam, M.L.; Abdul Hafid, S.R.; Cheng, H.M.; Nesaretnam, K. Tocotrienols suppress proinflammatory markers and cyclooxygenase-2 expression in RAW264.7 macrophages. Lipids 2009, 44, 787–797. [Google Scholar] [CrossRef] [PubMed]
- Jiang, Q.; Yin, X.; Lill, M.A.; Danielson, M.L.; Freiser, H.; Huang, J. Long-chain carboxychromanols, metabolites of vitamin E, are potent inhibitors of cyclooxygenases. Proc. Natl. Acad. Sci. USA 2008, 105, 20464–20469. [Google Scholar] [CrossRef]
- Wu, J.H.; Hodgson, J.M.; Clarke, M.W.; Indrawan, A.P.; Barden, A.E.; Puddey, I.B.; Croft, K.D. Inhibition of 20-hydroxyeicosatetraenoic acid synthesis using specific plant lignans: In vitro and human studies. Hypertension 2009, 54, 1151–1158. [Google Scholar] [CrossRef] [PubMed]
- Ikeda, S.; Toyoshima, K.; Yamashita, K. Dietary sesame seeds elevate alpha- and gamma-tocotrienol concentrations in skin and adipose tissue of rats fed the tocotrienol-rich fraction extracted from palm oil. J. Nutr. 2001, 131, 2892–2897. [Google Scholar] [CrossRef]
- Swift, S.N.; Pessu, R.L.; Chakraborty, K.; Villa, V.; Lombardini, E.; Ghosh, S.P. Acute toxicity of subcutaneously administered vitamin E isomers delta- and gamma-tocotrienol in mice. Int. J. Toxicol. 2014, 33, 450–458. [Google Scholar] [CrossRef]
- Abdulla, K.A.; Um, C.Y.; Gross, M.D.; Bostick, R.M. Circulating gamma-Tocopherol Concentrations Are Inversely Associated with Antioxidant Exposures and Directly Associated with Systemic Oxidative Stress and Inflammation in Adults. J. Nutr. 2018, 148, 1453–1461. [Google Scholar] [CrossRef] [PubMed]
- Mazlan, M.; Sue Mian, T.; Mat Top, G.; Zurinah Wan Ngah, W. Comparative effects of alpha-tocopherol and gamma-tocotrienol against hydrogen peroxide induced apoptosis on primary-cultured astrocytes. J. Neurol. Sci. 2006, 243, 5–12. [Google Scholar] [CrossRef] [PubMed]
- McCormick, C.C.; Parker, R.S. The cytotoxicity of vitamin E is both vitamer- and cell-specific and involves a selectable trait. J. Nutr. 2004, 134, 3335–3342. [Google Scholar] [CrossRef] [PubMed]
- Borher, J.R.; Goncalves, L.A.; de Felicio, P.E. alpha- and gamma-tocopherol levels in Nelore steer blood plasma after a single oral treatment of soybean oil deodorizer distillate (SODD). Meat Sci. 2002, 61, 301–306. [Google Scholar] [CrossRef]
- Jensen, S.K.; Lashkari, S.; Kristensen, N.B. Pharmacokinetics of alpha-tocopherol stereoisomers in plasma and milk of cows following a single dose injection of all-rac-alpha-tocopheryl acetate. Food Chem. 2020, 310, 125931. [Google Scholar] [CrossRef]
- Wu, W.H.; Kang, Y.P.; Wang, N.H.; Jou, H.J.; Wang, T.A. Sesame ingestion affects sex hormones, antioxidant status, and blood lipids in postmenopausal women. J. Nutr. 2006, 136, 1270–1275. [Google Scholar] [CrossRef] [PubMed]


| Species | Dose | Mixture | Duration | Outcome | Source | |
|---|---|---|---|---|---|---|
| Bovine (Dairy) | 13.16 mg/kg (598 kg cow) | αT: βT: γT: δT: | 9.4% 1.0% 64.6% 25.0% | 7–9 days | Reduction of liver and muscle αT as γT increased in liver, muscle, and mammary tissue. αT and γT peaked in blood after 5 days | [26] |
| Bovine (Dairy) | 15.47 mg/kg (598 kg cow) | αT: βT: γT: δT: | 23.6% 0.9% 58.7% 16.8% | 7 days | No negative effects on health, leukocyte populations, or immune health | [28] |
| Bovine (Dairy) | 0, 5, 10, or 15 mg/kg (40.2 kg calf) | αT: γT/δT: | 9.0% 86.0% | 56 days | Increased hip width, daily weight gain and increase in mucin-2 cells. No negative effects noted. | [27] |
| Bovine (Beef) | D1: 5.9 mg/kg, D2: 18.2 mg/kg (211 kg calf) | D1:αT: D2:γT: δT: | 100.0% 77.7% 22.3% | 5 days | D2 increased plasma and liver αT. D1 and D2 reduced oxidative damage after LPS treatment. | [30] |
| Bovine (Beef) | D1: 111.5 mg/kg D2: 193.1 mg/kg D3: 227.2 mg/kg (375 kg steer) | αT: γT: βT/δT: | 13.5% 58.2% 28.3% | Single dose | Peak γT at 38 h followed by a drop. αT sustained after 38 h. D2 showed the greatest plasma increase | [57] |
| Ovine | D1: 7.7 mg/kg D2: 15.4 mg/kg (65 kg ewe) | D1:αT D2: γT | 100% 100% | 37 days | Serum isoprostanes were reduced by γT to a greater degree than αT | [33] |
Disclaimer/Publisher’s Note: The statements, opinions and data contained in all publications are solely those of the individual author(s) and contributor(s) and not of MDPI and/or the editor(s). MDPI and/or the editor(s) disclaim responsibility for any injury to people or property resulting from any ideas, methods, instructions or products referred to in the content. |
© 2023 by the author. Licensee MDPI, Basel, Switzerland. This article is an open access article distributed under the terms and conditions of the Creative Commons Attribution (CC BY) license (https://creativecommons.org/licenses/by/4.0/).
Share and Cite
Kuhn, M.J. Review: The Potential Role of Vitamin E Analogs as Adjunctive Antioxidant Supplements for Transition Cows. Dairy 2023, 4, 285-299. https://doi.org/10.3390/dairy4020020
Kuhn MJ. Review: The Potential Role of Vitamin E Analogs as Adjunctive Antioxidant Supplements for Transition Cows. Dairy. 2023; 4(2):285-299. https://doi.org/10.3390/dairy4020020
Chicago/Turabian StyleKuhn, Matthew J. 2023. "Review: The Potential Role of Vitamin E Analogs as Adjunctive Antioxidant Supplements for Transition Cows" Dairy 4, no. 2: 285-299. https://doi.org/10.3390/dairy4020020
APA StyleKuhn, M. J. (2023). Review: The Potential Role of Vitamin E Analogs as Adjunctive Antioxidant Supplements for Transition Cows. Dairy, 4(2), 285-299. https://doi.org/10.3390/dairy4020020

