Nonparametric Kernel Smoothing Item Response Theory Analysis of Likert Items
Abstract
1. Introduction
2. Assumptions and Properties of Item Response Theory (IRT) Models
3. Parametric vs. Nonparametric IRT Models
4. Item Characteristic Curves in Parametric and Nonparametric IRT Models
5. Kernel Smoothing Item Response Theory
6. A KS-IRT Application
- How does KS-IRT enhance the analysis of Likert-type scale items?
- How can KS-IRT be used to detect DIF in Likert-type scale items across different subgroups?
7. Method
7.1. Data
7.2. Data Analysis
8. Results
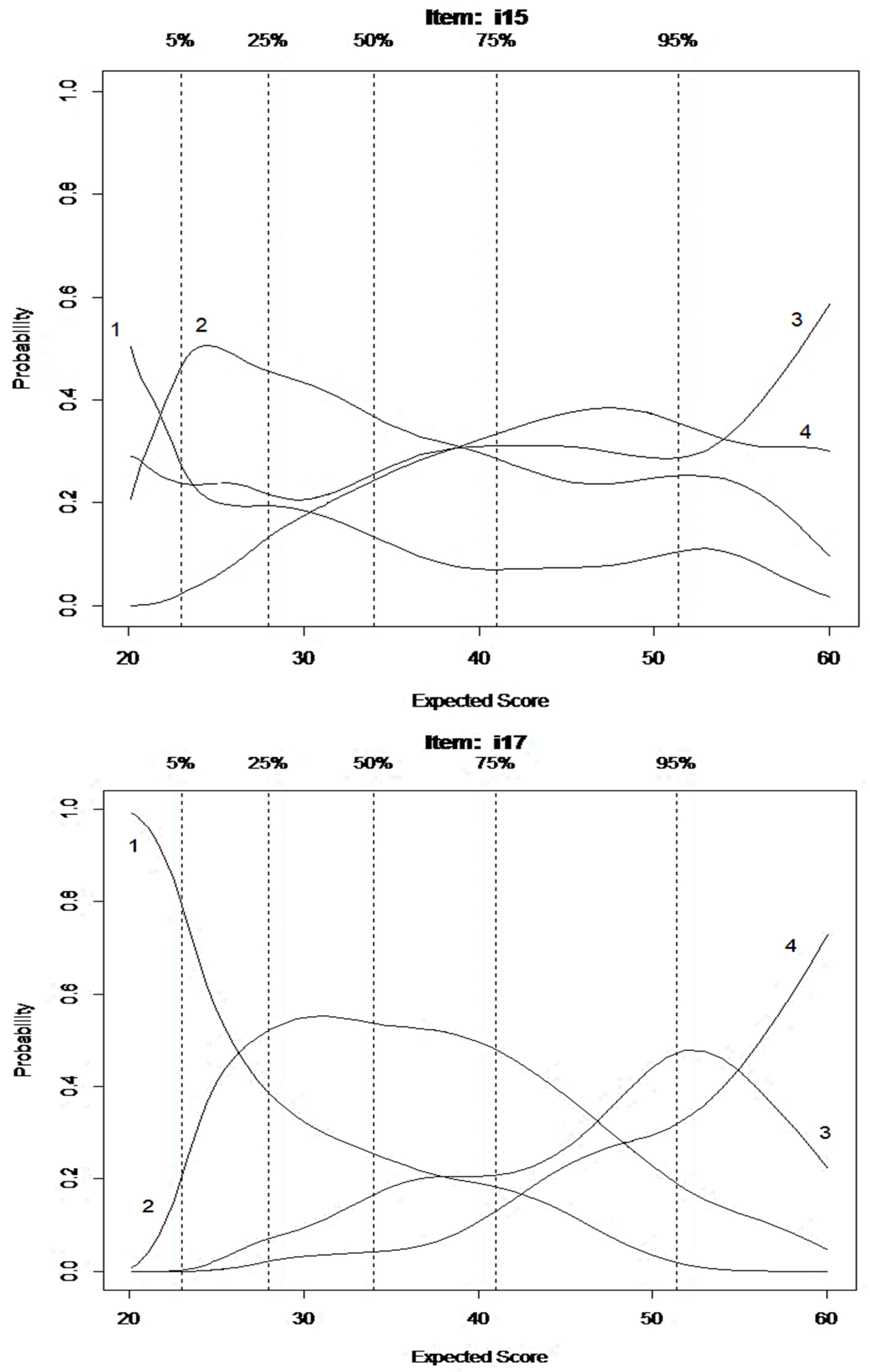
8.1. Plot Methods at the Item Level
8.2. Plot Methods at the Test Level
8.2.1. Principal Component Analysis (PCA)
8.2.2. Relative Credibility Curve (RCC)
8.3. Test Summary Plots
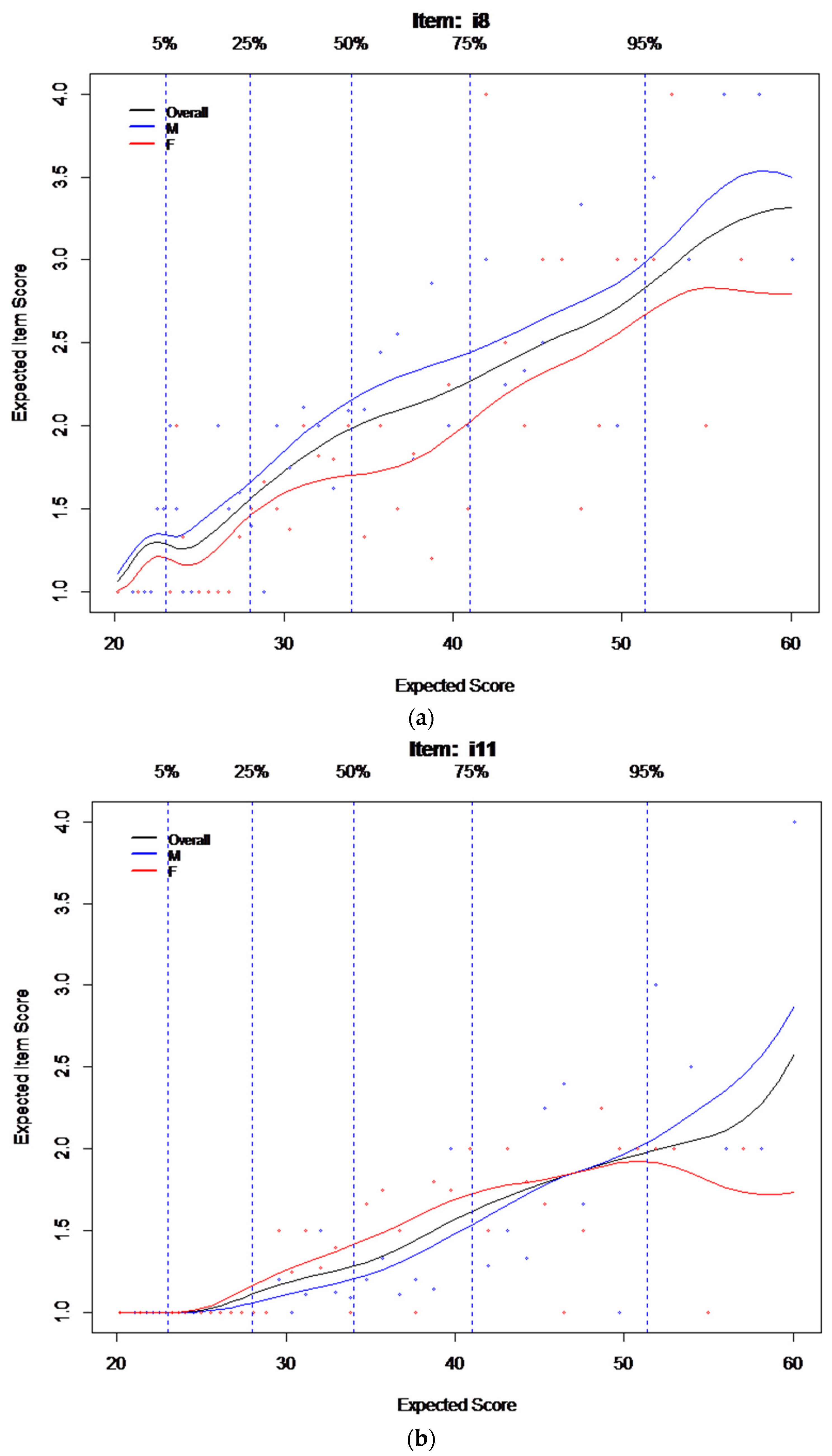
8.4. Plot Methods for Differential Item Functioning (DIF)
9. Discussion
Author Contributions
Funding
Institutional Review Board Statement
Informed Consent Statement
Data Availability Statement
Conflicts of Interest
Appendix A
| No. | Items | Not at All Typical of Me (1) | Somewhat Typical of Me (2) | Quite Typical of Me (3) | Very Typical of Me (4) |
|---|---|---|---|---|---|
| 1 | Get distracted from studying by thoughts of failing | ||||
| 2 | Difficulty remembering what I studied | ||||
| 3 | Think that I am likely to fail | ||||
| 4 | Not good at taking tests | ||||
| 5 | So nervous that I often can’t think straight | ||||
| 6 | Feel defeated before I even start | ||||
| 7 | Freeze up on final exams | ||||
| 8 | Thinking of the consequences of failing | ||||
| 9 | Nervousness causes me to make careless errors | ||||
| 10 | Mind goes blank | ||||
| 11 | I may not be too bright | ||||
| 12 | I forget facts I really know | ||||
| 13 | Not perform well on tests | ||||
| 14 | I feel I am not doing well | ||||
| 15 | My performance does not show how much I know | ||||
| 16 | My test performances make me believe that I am not a good student | ||||
| 17 | Don’t have control over my test scores |
References
- Santor, D.A.; Ramsay, J.O.; Zuroff, D.C. Nonparametric item analyses of the Beck Depression Inventory: Evaluating gender item bias and response option weights. Psychol. Assess. 1994, 6, 255–270. [Google Scholar] [CrossRef]
- Baghaei, P.; Effatpanah, F. Elements of Psychometrics, 2nd ed.; Sokhan Gostar Publishing: Mashhad, Iran, 2022. [Google Scholar]
- Reise, S.P.; Moore, T.M. Item Response Theory. In APA Handbook of Research Methods in Psychology: Foundations, Planning, Measures, and Psychometrics, 2nd ed.; Cooper, H., Coutanche, M.N., McMullen, L.M., Panter, A.T., Rindskopf, D., Sher, K.J., Eds.; American Psychological Association: Washington, DC, USA, 2023; pp. 809–835. [Google Scholar] [CrossRef]
- Baker, F.B.; Kim, S.H. Item Response Theory: Parameter Estimation Techniques, 2nd ed.; Marcel Dekker: New York City, NY, USA, 2004. [Google Scholar]
- Ramsay, J.O. Kernel smoothing approaches to nonparametric item characteristic curve estimation. Psychometrika 1991, 56, 611–630. [Google Scholar] [CrossRef]
- Rasch, G. Probabilistic Models for Some Intelligence and Attainment Tests (Expanded Ed.); University of Chicago Press: Chicago, IL, USA, 1960/1980. [Google Scholar]
- Fischer, G.H. Derivations of the Rasch model. In Rasch Models: Foundations, Recent Developments, and Applications; Fischer, G.H., Molenaar, I.W., Eds.; Springer: New York, NY, USA, 1995; pp. 15–38. [Google Scholar]
- Birnbaum, A. Some latent trait models their use in inferring an examinee’s ability. In Statistical Theories of Mental Test Scores; Lord, F.M., Novick, M.R., Eds.; Addison-Wesley: Boston, MA, USA, 1968; pp. 397–479. [Google Scholar]
- Lord, F.M. A Theory of Test Scores; Psychometric Society: Iowa City, IA, USA, 1952. [Google Scholar]
- Baghaei, P. Mokken Scale Analysis in Language Assessment; Waxmann Verlag: Münster, Germany, 2021. [Google Scholar]
- Sijtsma, K.; Meijer, R.R. Nonparametric item response theory special topics. In Handbook of Statistics: Psychometrics; Rao, C.R., Sinhary, S., Eds.; Elsevier: Amsterdam, The Netherlands, 2007; Volume 26, pp. 719–747. [Google Scholar]
- van der Linden, W.J.; Hambleton, R.K. Item response theory: Brief history, common models, and extensions. In Handbook of Modern Item Response Theory; van der Linden, W.J., Hambleton, R.K., Eds.; Springer: Berlin/Heidelberg, Germany, 1997; pp. 1–28. [Google Scholar] [CrossRef]
- Meijer, R.R.; Tendeiro, J.N.; Wanders, R.B.K. The use of nonparametric item response theory to explore data quality. In Handbook of Item Response Theory Modeling: Applications to Typical Performance Assessment; Reise, S.P., Revicki, D.A., Eds.; Routledge: New York, NY, USA, 2015; pp. 85–110. [Google Scholar]
- Molenaar, I.W. Parametric and nonparametric item response theory models in health related quality of life measurement. In Statistical Methods for Quality of Life Studies; Mesbah, M., Cole, B.F., Lee, M.L.T., Eds.; Springer: Berlin/Heidelberg, Germany, 2002. [Google Scholar] [CrossRef]
- Mokken, R.J. A Theory and Procedure of Scale Analysis; De Gruyter: Berlin, Germany, 1971. [Google Scholar]
- Ramsay, J.O. TestGraf: A Program for the Graphical Analysis of Multiple-Choice Tests and Questionnaire Data. 2000. Available online: http://www.psych.mcgill.ca/faculty/ramsay/ramsay.html (accessed on 30 September 2022).
- Eubank, R.L. Spline Smoothing and Nonparametric Regression; Marcel Dekker: New York, NY, USA, 1988. [Google Scholar]
- Härdle, W. Applied Nonparametric Regression (Econometric Society Monographs); Cambridge University Press (CUP): Cambridge, UK, 1990. [Google Scholar] [CrossRef]
- Rajlic, G. Visualizing items and measures: An overview and demonstration of the Kernel Smoothing item response theory technique. Quant. Methods Psychol. 2020, 16, 363–375. [Google Scholar] [CrossRef]
- Yessimov, B.; Hussein, R.A.; Mohammed, A.; Hassan, A.Y.; Hashim, A.; Najeeb, S.S.; Mohammed Ali, Y.; Abdullah, A.; Afif, N.S. Detecting measurement disturbance: Graphical illustrations of item characteristic curves. Int. J. Lang. Test. 2023, 13, 126–133. [Google Scholar] [CrossRef]
- Lee, Y.-S.; Wollack, J.A.; Douglas, J. On the use of nonparametric item characteristic curve estimation techniques for checking parametric model fit. Educ. Psychol. Meas. 2009, 69, 181–197. [Google Scholar] [CrossRef]
- Mazza, A.; Punzo, A.; McGuire, B. KernSmoothIRT: An R package for kernel smoothing in item response theory. J. Stat. Softw. 2014, 58, 1–34. [Google Scholar] [CrossRef]
- Effatpanah, F.; Baghaei, P. Kernel smoothing item response theory in R: A didactic. Pract. Assess. Res. Eval. 2023, 28, 7. [Google Scholar] [CrossRef]
- Schumacker, R.E. Detecting measurement disturbance effects: The graphical display of item characteristics. J. Appl. Meas. 2015, 16, 76–81. Available online: http://jampress.org/abst2015.htm (accessed on 30 September 2022).
- Wind, S.A.; Schumacker, R.E. Detecting measurement disturbances in rater-mediated assessments. Educ. Meas. Issues Pr. 2017, 36, 44–51. [Google Scholar] [CrossRef]
- Lei, P.-W.; Dunbar, S.B.; Kolen, M.J. A comparison of parametric and nonparametric approaches to item analysis for multiple-choice tests. Educ. Psychol. Meas. 2004, 64, 565–587. [Google Scholar] [CrossRef]
- Douglas, J. Joint consistency of nonparametric item characteristic curve and ability estimation. Psychometrika 1997, 62, 7–28. [Google Scholar] [CrossRef]
- Douglas, J.; Cohen, A. Nonparametric item response function estimation for assessing parametric model fit. Appl. Psychol. Meas. 2001, 25, 234–243. [Google Scholar] [CrossRef]
- Wells, C.S.; Bolt, D.M. Investigation of a nonparametric procedure for assessing goodness-of-fit in item response theory. Appl. Meas. Educ. 2008, 21, 22–40. [Google Scholar] [CrossRef]
- Beevers, C.G.; Strong, D.R.; Meyer, B.; Pilkonis, P.A.; Miller, I.W. Efficiently assessing negative cognition in depression: An item response theory analysis of the Dysfunctional Attitude Scale. Psychol. Assess. 2007, 19, 199–209. [Google Scholar] [CrossRef]
- Effatpanah, F.; Baghaei, P. Exploring rater quality in rater-mediated assessment using the non-parametric item characteristic curve estimation. Psychol. Test Assess. Model. 2022, 64, 216–252. Available online: https://www.psychologieaktuell.com/journale/search/ergebnis.html?tx_news_pi1%5Bnews%5D=4662&cHash=f7937aa4c21aa9117c0bdca24faee426 (accessed on 30 September 2022).
- Effatpanah, F.; Baghaei, P. Graphical kernel smoothing item response theory analysis for rater monitoring: The case of writing assessment. In Proceedings of the 4th Conference on Interdisciplinary Approaches to Language Teaching, Literature, and Translation Studies, Ferdowsi University of Mashhad, Mashhad, Iran, 17–18 May 2022. [Google Scholar]
- Gos, E.; Sagan, A.; Raj-Koziak, D.; Skarzynski, P.H.; Skarzynski, H. Differential item functioning of the tinnitus handicap inventory across gender groups and subjects with or without hearing loss. Int. J. Audiol. 2023, 62, 1–9. [Google Scholar] [CrossRef] [PubMed]
- Khan, A.; Lewis, C.; Lindenmayer, J.-P. Use of non-parametric item response theory to develop a shortened version of the Positive and Negative Syndrome Scale (PANSS). BMC Psychiatry 2011, 11, 178. [Google Scholar] [CrossRef]
- Lynch, K. Kernel Smoothing Item Response Theory Approach Applied to a Multiple-Choice Final Exam in Introductory Statistics. Master’s Thesis, Ball State University, Muncie, IN, USA, 2020. Available online: http://cardinalscholar.bsu.edu/handle/20.500.14291/202475 (accessed on 30 September 2022).
- Meijer, R.R.; Baneke, J.J. Analyzing psychopathology items: A case for nonparametric item response theory modeling. Psychol. Methods 2004, 9, 354–368. [Google Scholar] [CrossRef]
- Rosa Franco, V.; Wiberg, M.; Sousa Bastos, R.V. Nonparametric item response models: A comparison on Rcovering true score. Psico-USF 2023, 28, 685–696. Available online: https://www.scielo.br/j/pusf/a/FdmS4m7gtDCZhh8nxrdYvrp/ (accessed on 30 September 2022). [CrossRef]
- Sijtsma, K.; Emons, W.H.M.; Bouwmeester, S.; Nyklíček, I.; Roorda, L.D. Nonparametric IRT analysis of Quality-of-Life Scales and its application to the World Health Organization Quality-of-Life Scale (WHOQOL-Brief). Qual. Life Res. Int. J. Qual. Life Asp. Treat. Care Rehabil. 2008, 17, 275–290. [Google Scholar] [CrossRef]
- Sueiro, M.J.; Abad, F.J. Assessing goodness of fit in item response theory with nonparametric models: A comparison of posterior probabilities and Kernel-smoothing approaches. Educ. Psychol. Meas. 2011, 71, 834–848. [Google Scholar] [CrossRef]
- Wallmark, J.; Josefsson, M.; Wiberg, M. Efficiency analysis of item response theory Kernel equating for mixed-format tests. Appl. Psychol. Meas. 2023, 47, 496–512. [Google Scholar] [CrossRef]
- Tabatabaee-Yazdi, M.; Motallebzadeh, K.; Baghaei, P. A Mokken scale analysis of an English reading comprehension test. Int. J. Lang. Test. 2021, 11, 132–143. Available online: https://www.ijlt.ir/article_130373.html (accessed on 30 September 2022).
- Molenaar, I.W.; Sijtsma, K. User’s Manual MSP5 for Windows; IEC ProGAMMA: Groningen, The Netherlands, 2000. [Google Scholar]
- van der Ark, L.A. New developments in Mokken scale analysis in R. J. Stat. Softw. 2012, 48, 1–27. [Google Scholar] [CrossRef]
- Baghaei, P.; Cassady, J. Validation of the Persian Translation of the Cognitive Test Anxiety Scale. SAGE Open 2014, 4, 2158244014555113. [Google Scholar] [CrossRef]
- Cassady, J.C.; Finch, W.H. Confirming the factor structure of the Cognitive Test Anxiety Scale: Comparing the utility of three solutions. Educ. Assess. 2014, 19, 229–242. [Google Scholar] [CrossRef]
- Sarason, I.G. Stress, anxiety, and cognitive interference: Reactions to tests. J. Pers. Soc. Psychol. 1984, 46, 929–938. [Google Scholar] [CrossRef]
- Mazza, A.; Punzo, A.; McGuire, B. KernelSmoothIRT: Nonparametric Item Response Theory [Computer Software]. R Package Version 6.4. 2022. Available online: https://cran.rproject.org/web/packages/KernSmoothIRT/index.html (accessed on 30 September 2022).
- R Core Team. R: A Language and Environment for Statistical Computing; R Foundation for Statistical Computing: Vienna, Austria, 2023; Available online: https://www.R-project.org/ (accessed on 30 September 2022).
- Sijtsma, K.; Molenaar, I. Introduction to Nonparametric Item Response Theory; SAGE Publications Inc.: Thousand Oaks, CA, USA, 2002. [Google Scholar]
- Wind, S.A. Monotonicity as a nonparametric approach to evaluating rater fit in performance assessments. Meas. Interdiscip. Res. Perspect. 2020, 18, 124–141. [Google Scholar] [CrossRef]
- Zumbo, B.D. Three generations of DIF analyses: Considering where it has been, where it is now, and where it is going. Lang. Assess. Q. 2007, 4, 223–233. [Google Scholar] [CrossRef]
- Hambleton, R.K. Principles selected applications of item response theory. In Educational Measurement; Linn, R.L., Ed.; Macmillan Publishing Co., Inc.: New York, NY, USA, 1989; American Council on Education; pp. 147–200. [Google Scholar]
- Lord, F.M. Applications of Item Response Theory to Practical Testing Problems; Erlbaum: Hillsdale, NJ, USA, 1980. [Google Scholar]
- Andrich, D. A rating formulation for ordered response categories. Psychometrika 1978, 43, 561–573. [Google Scholar] [CrossRef]
- Masters, G.N. A Rasch model for partial credit scoring. Psychometrika 1982, 47, 149–174. [Google Scholar] [CrossRef]
- Junker, B.W.; Sijtsma, K. Cognitive assessment models with few assumptions, and connections with nonparametric item response theory. Appl. Psychol. Meas. 2001, 25, 258–272. [Google Scholar] [CrossRef]
- Stout, W. Nonparametric item response theory: A maturing and applicable measurement modeling approach. Appl. Psychol. Meas. 2001, 25, 300–306. [Google Scholar] [CrossRef]
- Ramsay, J.; Li, J.; Wiberg, M. Better rating scale scores with information–based psychometrics. Psych 2020, 2, 347–369. [Google Scholar] [CrossRef]
- Wind, S.A. A nonparametric procedure for exploring differences in rating quality across test-taker subgroups in rater-mediated writing assessments. Lang. Test. 2019, 36, 595–616. [Google Scholar] [CrossRef]
- Falk, C.F.; Cai, L. Maximum marginal likelihood estimation of a monotonic polynomial generalized partial credit model with applications to multiple group analysis. Psychometrika 2016, 81, 434–460. [Google Scholar] [CrossRef] [PubMed]
- Rossi, N.; Wang, X.; Ramsay, J.O. Nonparametric item response function estimates with the EM algorithm. J. Educ. Behav. Stat. 2002, 27, 291–317. [Google Scholar] [CrossRef]
- van der Linden, W.J. (Ed.) Unidimensional logistic response models. In Handbook of Item Response Theory: Volume One, Models; CRC Press: Boca Raton, FL, USA, 2016; pp. 11–30. [Google Scholar] [CrossRef]
- Grayson, D.A. Two-group classification in latent trait theory: Scores with monotone likelihood ratio. Psychometrika 1988, 53, 383–392. [Google Scholar] [CrossRef]
- Huynh, H. A new proof for monotone likelihood ratio for the sum of independent Bernoulli random variables. Psychometrika 1994, 59, 77–79. [Google Scholar] [CrossRef]
- Koopman, L.; Zijlstra, B.J.H.; Van der Ark, L.A. Evaluating model fit in two-level mokken scale analysis. Psych 2023, 5, 847–865. [Google Scholar] [CrossRef]
- van der Ark, L.A. Mokken scale analysis in R. J. Stat. Softw. 2007, 20, 1–19. [Google Scholar] [CrossRef]
- Shannon, C.E. A mathematical theory of communication. Bell Syst. Tech. J. 1948, 27, 379–423. [Google Scholar] [CrossRef]










Disclaimer/Publisher’s Note: The statements, opinions and data contained in all publications are solely those of the individual author(s) and contributor(s) and not of MDPI and/or the editor(s). MDPI and/or the editor(s) disclaim responsibility for any injury to people or property resulting from any ideas, methods, instructions or products referred to in the content. |
© 2024 by the authors. Licensee MDPI, Basel, Switzerland. This article is an open access article distributed under the terms and conditions of the Creative Commons Attribution (CC BY) license (https://creativecommons.org/licenses/by/4.0/).
Share and Cite
Baghaei, P.; Effatpanah, F. Nonparametric Kernel Smoothing Item Response Theory Analysis of Likert Items. Psych 2024, 6, 236-259. https://doi.org/10.3390/psych6010015
Baghaei P, Effatpanah F. Nonparametric Kernel Smoothing Item Response Theory Analysis of Likert Items. Psych. 2024; 6(1):236-259. https://doi.org/10.3390/psych6010015
Chicago/Turabian StyleBaghaei, Purya, and Farshad Effatpanah. 2024. "Nonparametric Kernel Smoothing Item Response Theory Analysis of Likert Items" Psych 6, no. 1: 236-259. https://doi.org/10.3390/psych6010015
APA StyleBaghaei, P., & Effatpanah, F. (2024). Nonparametric Kernel Smoothing Item Response Theory Analysis of Likert Items. Psych, 6(1), 236-259. https://doi.org/10.3390/psych6010015

