Regularized Estimation of the Four-Parameter Logistic Model
Abstract
1. Introduction
2. Preliminaries
2.1. The 4-Parameter Logistic Model
2.2. Regularized Estimation
3. A New Proposal for the 4PL Model
4. Simulation Studies
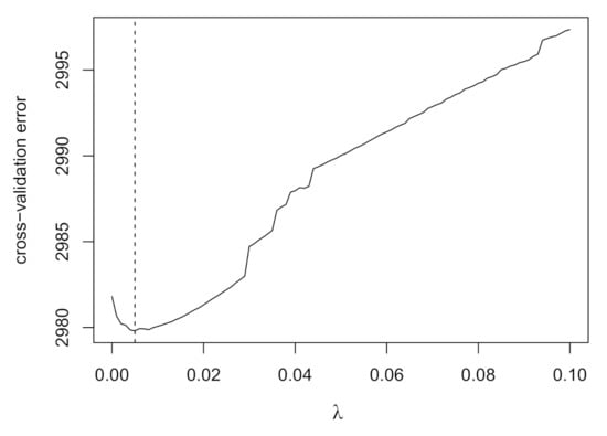
5. A Real-Data Example
6. Discussion
Supplementary Materials
Funding
Conflicts of Interest
Abbreviations
| 2PL | two-parameter logistic |
| 3PL | three-parameter logistic |
| 4PL | four-parameter logistic |
| B | bias |
| IRT | Item Response Theory |
| ISRD-2 | Second International Self-Report Delinquency Study |
| MLE | maximum likelihood estimation |
| RMSE | root mean square error |
Appendix A
References
- Reise, S.P.; Revicki, D.A. Handbook of Item Response Theory Modeling: Applications to Typical Performance Assessment; Routledge: New York, NY, USA, 2014. [Google Scholar]
- Van der Linden, W.J. Handbook of Item Response Theory; CRC Press: Boca Raton, FL, USA, 2018. [Google Scholar]
- Barton, M.A.; Lord, F.M. An upper asymptote for the three-parameter logistic item-response model. ETS Res. Rep. Ser. 1981, 1981, 1–8. [Google Scholar] [CrossRef]
- Reise, S.P.; Waller, N.G. How many IRT parameters does it take to model psychopathology items? Psychol. Methods 2003, 8, 164–184. [Google Scholar] [CrossRef] [PubMed]
- Waller, N.G.; Reise, S.P. Measuring psychopathology with non-standard IRT models: Fitting the four-parameter model to the MMPI. In Measuring Psychological Constructs with Model-Based Approaches; Embretson, S., Ed.; American Psychological Association: Washington, DC, USA, 2010; pp. 147–173. [Google Scholar]
- Rulison, K.L.; Loken, E. I’ve Fallen and I Can’t Get Up: Can High-Ability Students Recover From Early Mistakes in CAT? Appl. Psychol. Meas. 2009, 33, 83–101. [Google Scholar] [CrossRef] [PubMed]
- Liao, W.W.; Ho, R.G.; Yen, Y.C.; Cheng, H.C. The four-parameter logistic item response theory model as a robust method of estimating ability despite aberrant responses. Soc. Behav. Pers. 2012, 40, 1679–1694. [Google Scholar] [CrossRef]
- Yen, Y.C.; Ho, R.G.; Laio, W.W.; Chen, L.J.; Kuo, C.C. An empirical evaluation of the slip correction in the four parameter logistic models with computerized adaptive testing. Appl. Psychol. Meas. 2012, 36, 75–87. [Google Scholar] [CrossRef]
- Magis, D. A note on the item information function of the four-parameter logistic model. Appl. Psychol. Meas. 2013, 37, 304–315. [Google Scholar] [CrossRef]
- Loken, E.; Rulison, K.L. Estimation of a four-parameter item response theory model. Br. J. Math. Stat. Psychol. 2010, 63, 509–525. [Google Scholar] [CrossRef]
- Culpepper, S.A. Revisiting the 4-parameter item response model: Bayesian estimation and application. Psychometrika 2016, 81, 1142–1163. [Google Scholar] [CrossRef]
- Waller, N.G.; Feuerstahler, L. Bayesian Modal Estimation of the Four-Parameter Item Response Model in Real, Realistic, and Idealized Data Sets. Multivar. Behav. Res. 2017, 52, 350–370. [Google Scholar] [CrossRef]
- Meng, X.; Xu, G.; Zhang, J.; Tao, J. Marginalized maximum a posteriori estimation for the four-parameter logistic model under a mixture modelling framework. Br. J. Math. Stat. Psychol. 2019. [Google Scholar] [CrossRef]
- Hastie, T.; Tibshirani, R.; Friedman, J. The Elements of Statistical Learning: Data Mining, Inference and Prediction, 2nd ed.; Springer: New York, NY, USA, 2009. [Google Scholar]
- James, G.; Witten, D.; Hastie, T.; Tibshirani, R. An introduction to Statistical Learning; Springer: New York, NY, USA, 2013. [Google Scholar]
- Tutz, G.; Gertheiss, J. Rating scales as predictors—The old question of scale level and some answers. Psychometrika 2014, 79, 357–376. [Google Scholar] [CrossRef] [PubMed]
- Tutz, G.; Gertheiss, J. Regularized regression for categorical data. Stat. Model. 2016, 16, 161–200. [Google Scholar] [CrossRef]
- Houseman, E.A.; Marsit, C.; Karagas, M.; Ryan, L.M. Penalized Item Response Theory Models: Application to Epigenetic Alterations in Bladder Cancer. Biometrics 2007, 63, 1269–1277. [Google Scholar] [CrossRef] [PubMed]
- Tutz, G.; Schauberger, G. A penalty approach to differential item functioning in Rasch models. Psychometrika 2015, 80, 21–43. [Google Scholar] [CrossRef]
- Schauberger, G.; Mair, P. A regularization approach for the detection of differential item functioning in generalized partial credit models. Behav. Res. Methods 2020, 52, 279–294. [Google Scholar] [CrossRef]
- Sun, J.; Chen, Y.; Liu, J.; Ying, Z.; Xin, T. Latent Variable Selection for Multidimensional Item Response Theory Models via L1 Regularization. Psychometrika 2016, 81, 921–939. [Google Scholar] [CrossRef] [PubMed]
- Battauz, M. Regularized Estimation of the Nominal Response Model. Multivar. Behav. Res. 2019, 1–14. [Google Scholar] [CrossRef]
- Magis, D.; Tuerlinckx, F.; Boeck, P.D. Detection of Differential Item Functioning Using the Lasso Approach. J. Educ. Behav. Stat. 2015, 40, 111–135. [Google Scholar] [CrossRef]
- Béguin, A.A.; Glas, C.A. MCMC estimation and some model-fit analysis of multidimensional IRT models. Psychometrika 2001, 66, 541–561. [Google Scholar] [CrossRef]
- Bock, R.D.; Aitkin, M. Marginal maximum likelihood estimation of item parameters: Application of an EM algorithm. Psychometrika 1981, 46, 443–459. [Google Scholar] [CrossRef]
- Tibshirani, R. Regression Shrinkage and Selection via the Lasso. J. Roy. Stat. Soc. B Stat. Methods 1996, 58, 267–288. [Google Scholar] [CrossRef]
- Hastie, T.; Tibshirani, R.; Wainwright, M. Statistical Learning with Sparsity: The Lasso and Generalizations; Chapman and Hall/CRC: Boca Raton, FL, USA, 2015. [Google Scholar]
- Tibshirani, R.; Saunders, M.; Rosset, S.; Zhu, J.; Knight, K. Sparsity and smoothness via the fused lasso. J. Roy. Stat. Soc. B Stat. Methods 2005, 67, 91–108. [Google Scholar] [CrossRef]
- Gertheiss, J.; Tutz, G. Penalized Regression with Ordinal Predictors. Int. Stat. Rev. 2009, 77, 345–365. [Google Scholar] [CrossRef]
- Chalmers, R.P. mirt: A Multidimensional Item Response Theory Package for the R Environment. J. Stat. Softw. 2012, 48, 1–29. [Google Scholar] [CrossRef]
- Van Houwelingen, J.C.; Le Cessie, S. Predictive value of statistical models. Stat. Med. 1990, 9, 1303–1325. [Google Scholar] [CrossRef]
- R Core Team. R: A Language and Environment for Statistical Computing; R Foundation for Statistical Computing: Vienna, Austria, 2018. [Google Scholar]
- Eddelbuettel, D.; François, R. Rcpp: Seamless R and C++ Integration. J. Stat. Softw. 2011, 40. [Google Scholar] [CrossRef]
- Eddelbuettel, D.; Sanderson, C. RcppArmadillo: Accelerating R with high-performance C++ linear algebra. Comput. Stat. Data Anal. 2014, 71, 1054–1063. [Google Scholar] [CrossRef]
- Enzmann, D.H.; Marshall, I.; Killias, M.; Junger-Tas, J.; Steketee, M.; Gruszczynska, B. Second International Self-Reported Delinquency Study, 2005–2007. 2015. [Google Scholar] [CrossRef]


| Method | n | RMSE | B | RMSE | B | RMSE | B | RMSE | B |
|---|---|---|---|---|---|---|---|---|---|
| MLE | 500 | 39.30 | 8.66 | 0.50 | 0.20 | 0.24 | 0.08 | 0.03 | 0.01 |
| Penalized | 500 | 11.59 | 2.46 | 0.49 | 0.15 | 0.19 | 0.10 | 0.05 | 0.01 |
| MLE | 1000 | 9.14 | 3.14 | 0.38 | 0.12 | 0.20 | 0.05 | 0.02 | 0.00 |
| Penalized | 1000 | 2.85 | 0.46 | 0.26 | 0.12 | 0.13 | 0.08 | 0.02 | 0.01 |
| MLE | 5000 | 1.23 | 0.61 | 0.22 | 0.11 | 0.12 | 0.06 | 0.02 | 0.00 |
| Penalized | 5000 | 0.51 | 0.21 | 0.14 | 0.07 | 0.08 | 0.05 | 0.01 | 0.00 |
| Method | n | RMSE | B | RMSE | B | RMSE | B | RMSE | B |
|---|---|---|---|---|---|---|---|---|---|
| MLE | 500 | 9.15 | 5.21 | 0.81 | 0.40 | 0.15 | 0.07 | 0.18 | 0.05 |
| CVridge | 500 | 1.71 | 0.12 | 0.54 | 0.32 | 0.10 | 0.07 | 0.17 | 0.11 |
| MLE | 1000 | 4.39 | 1.99 | 0.68 | 0.30 | 0.13 | 0.05 | 0.16 | 0.04 |
| CVridge | 1000 | 0.37 | 0.17 | 0.42 | 0.24 | 0.09 | 0.06 | 0.12 | 0.07 |
| MLE | 5000 | 0.59 | 0.22 | 0.37 | 0.10 | 0.08 | 0.03 | 0.10 | 0.02 |
| CVridge | 5000 | 0.19 | 0.12 | 0.24 | 0.20 | 0.05 | 0.04 | 0.06 | 0.05 |
| Label | Question |
|---|---|
| BEERLTP | Did you ever drink beer, breezers or wine? |
| SPIRLTP | Did you ever drink strong spirits (gin, rum, vodka, whisky)? |
| HASHLTP | Did you ever use weed, marijuana or hash? |
| XTCLTP | Did you ever use drugs such as XTC or speed? |
| LHCLTP | Did you ever use drugs such as LSD, heroin or coke? |
| VANDLTP | Did you ever damage something on purpose, such as a bus shelter, a window, a car or a seat in the bus or train? |
| SHOPLTP | Did you ever steal something from a shop or a department store? |
| BURGLTP | Did you ever break into a building with the purpose to steal something? |
| BICTLTP | Did you ever steal a bicycle, moped or scooter? |
| CARTLTP | Did you ever steal a motorbike or car? |
| DOWNLTP | When you use a computer did you ever download music or films? |
| HACKLTP | Did you ever use your computer for "hacking"? |
| CARBLTP | Did you ever steal something out of or from a car? |
| SNATLTP | Did you ever snatch a purse, bag or something else from a person? |
| WEAPLTP | Did you ever carry a weapon, such as a stick, knife, or chain (not a pocket-knife)? |
| EXTOLTP | Did you ever threaten somebody with a weapon or to beat them up, just to get money or other things from them? |
| GFIGLTP | Did you ever participate in a group fight on the school playground, a football stadium, the streets or in any public place? |
| ASLTLTP | Did you ever intentionally beat up someone, or hurt him with a stick or knife, so bad that he had to see a doctor? |
| DRUDLTP | Did you ever sell any (soft or hard) drugs or act as an intermediary? |
| Model | Log-Likelihood | AIC | BIC | LR Test |
|---|---|---|---|---|
| 2PL | −21,923.17 | 43,922.34 | 44,170.24 | (3PL vs. 2PL) p-value = 0.239 |
| 3PL | −21,911.69 | 43,937.38 | 44,309.22 | (4PL vs. 3PL) p-value < 0.001 |
| 4PL | −14,832.06 | 29,816.13 | 30,278.62 | (4PL vs. 2PL) p-value < 0.001 |
| MLE | Penalized | |||||||
|---|---|---|---|---|---|---|---|---|
| BEERLTP | 55.90 | −0.35 | 0.24 | 0.97 | 7.12 | −0.33 | 0.15 | 0.98 |
| SPIRLTP | 8.42 | 0.12 | 0.00 | 0.82 | 7.41 | 0.15 | 0.00 | 0.84 |
| HASHLTP | 3.94 | 0.66 | 0.00 | 0.62 | 4.20 | 0.66 | 0.00 | 0.62 |
| XTCLTP | 2.71 | 2.63 | 0.00 | 0.77 | 2.54 | 2.77 | 0.00 | 0.87 |
| LHCLTP | 2.31 | 2.92 | 0.00 | 1.00 | 2.32 | 2.89 | 0.00 | 0.92 |
| VANDLTP | 3.08 | 1.37 | 0.03 | 0.97 | 3.10 | 1.37 | 0.03 | 0.96 |
| SHOPLTP | 1.44 | 1.14 | 0.03 | 0.92 | 1.38 | 1.17 | 0.02 | 0.93 |
| BURGLTP | 3.50 | 2.41 | 0.00 | 1.00 | 3.17 | 2.46 | 0.00 | 0.97 |
| BICTLTP | 2.76 | 1.89 | 0.00 | 1.00 | 2.74 | 1.89 | 0.00 | 0.98 |
| CARTLTP | 3.71 | 2.68 | 0.00 | 0.88 | 3.10 | 2.83 | 0.00 | 0.94 |
| DOWNLTP | 1.47 | −0.87 | 0.00 | 0.89 | 1.32 | −0.85 | 0.00 | 0.90 |
| HACKLTP | 1.02 | 2.95 | 0.00 | 1.00 | 1.04 | 2.88 | 0.01 | 0.95 |
| CARBLTP | 2.70 | 2.38 | 0.00 | 1.00 | 2.71 | 2.35 | 0.00 | 0.93 |
| SNATLTP | 2.32 | 2.64 | 0.01 | 1.00 | 2.27 | 2.64 | 0.01 | 0.95 |
| WEAPLTP | 2.50 | 1.61 | 0.01 | 1.00 | 2.57 | 1.58 | 0.01 | 0.97 |
| EXTOLTP | 3.54 | 2.35 | 0.00 | 0.69 | 2.94 | 2.52 | 0.00 | 0.80 |
| GFIGLTP | 3.82 | 1.20 | 0.06 | 0.77 | 3.49 | 1.25 | 0.06 | 0.79 |
| ASLTLTP | 2.64 | 2.35 | 0.01 | 0.90 | 2.54 | 2.39 | 0.01 | 0.90 |
| DRUDLTP | 3.33 | 1.83 | 0.00 | 0.68 | 3.27 | 1.85 | 0.00 | 0.69 |
Publisher’s Note: MDPI stays neutral with regard to jurisdictional claims in published maps and institutional affiliations. |
© 2020 by the author. Licensee MDPI, Basel, Switzerland. This article is an open access article distributed under the terms and conditions of the Creative Commons Attribution (CC BY) license (http://creativecommons.org/licenses/by/4.0/).
Share and Cite
Battauz, M. Regularized Estimation of the Four-Parameter Logistic Model. Psych 2020, 2, 269-278. https://doi.org/10.3390/psych2040020
Battauz M. Regularized Estimation of the Four-Parameter Logistic Model. Psych. 2020; 2(4):269-278. https://doi.org/10.3390/psych2040020
Chicago/Turabian StyleBattauz, Michela. 2020. "Regularized Estimation of the Four-Parameter Logistic Model" Psych 2, no. 4: 269-278. https://doi.org/10.3390/psych2040020
APA StyleBattauz, M. (2020). Regularized Estimation of the Four-Parameter Logistic Model. Psych, 2(4), 269-278. https://doi.org/10.3390/psych2040020

