Large Electrocaloric Effect in Stretched Relaxor Ferroelectric Polymers near Morphotropic Phase Boundary
Abstract
1. Introduction
2. Experimental Section
2.1. Materials
2.2. Preparation of Stretched P(VDF-TrFE-CFE) Films
2.3. Characterization
3. Results and Discussion
3.1. Characterization of Stretched Terpolymers
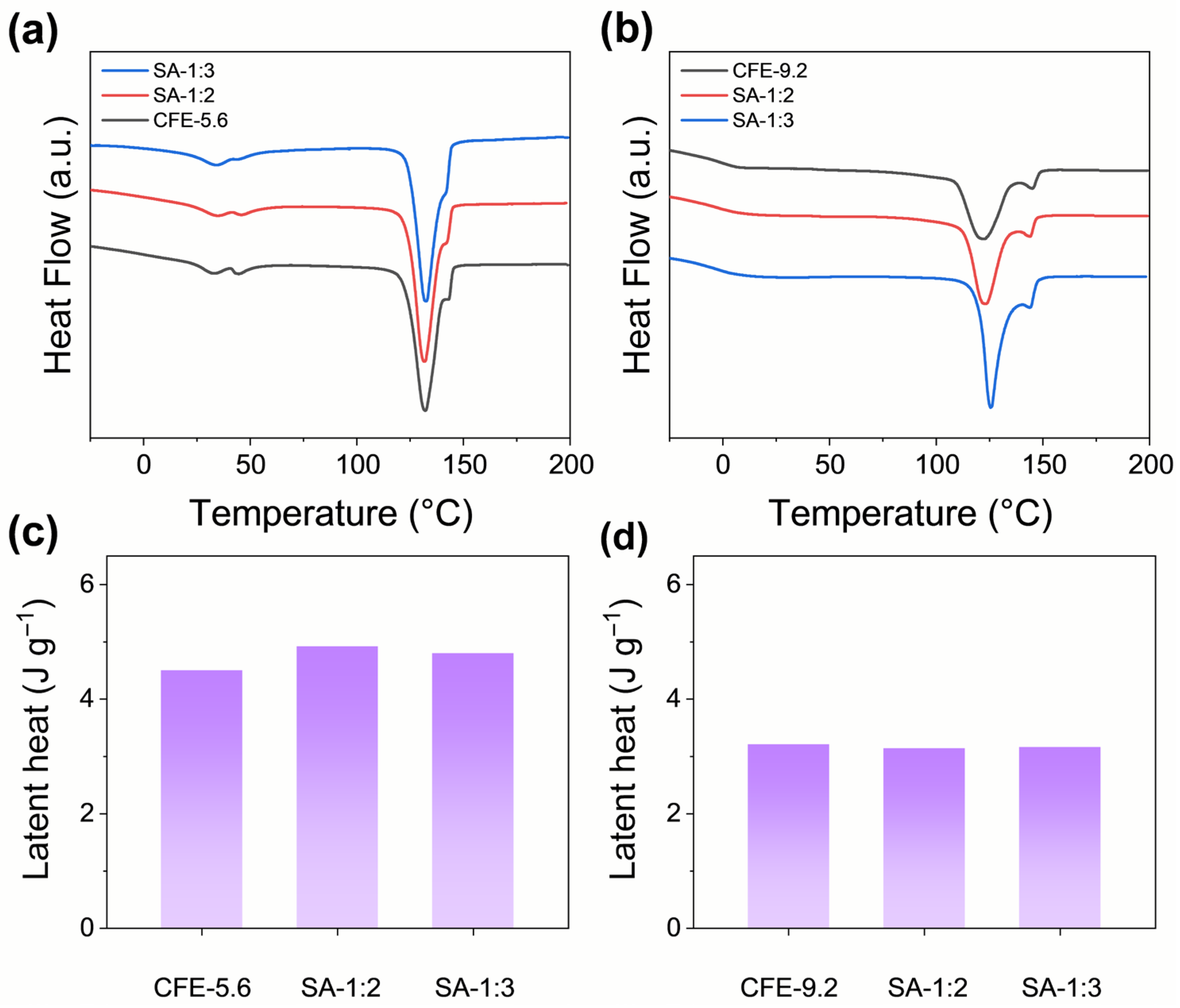
3.2. Polarization and DSC Results
3.3. ECE Results
4. Conclusions
Supplementary Materials
Author Contributions
Funding
Data Availability Statement
Acknowledgments
Conflicts of Interest
References
- Liu, Y.; Scott, J.F.; Dkhil, B. Direct and indirect measurements on electrocaloric effect: Recent developments and perspectives. Appl. Phys. Rev. 2016, 3, 031102. [Google Scholar] [CrossRef]
- Mischenko, A.S.; Zhang, Q.; Scott, J.F.; Whatmore, R.W.; Mathur, N.D. Giant Electrocaloric Effect in Thin-Film PbZr0.95Ti0.05O3. Science 2006, 311, 1270–1271. [Google Scholar] [CrossRef]
- Neese, B.; Chu, B.; Lu, S.-G.; Wang, Y.; Furman, E.; Zhang, Q.M. Large Electrocaloric Effect in Ferroelectric Polymers Near Room Temperature. Science 2008, 321, 821–823. [Google Scholar] [CrossRef]
- Lu, S.; Rožič, B.; Zhang, Q.; Kutnjak, Z.; Pirc, R.; Lin, M.; Li, X.; Gorny, L. Comparison of directly and indirectly measured electrocaloric effect in relaxor ferroelectric polymers. Appl. Phys. Lett. 2010, 97, 202901. [Google Scholar] [CrossRef]
- Li, X.; Qian, X.-S.; Lu, S.G.; Cheng, J.; Fang, Z.; Zhang, Q. Tunable temperature dependence of electrocaloric effect in ferroelectric relaxor poly(vinylidene fluoride-trifluoroethylene-chlorofluoroethylene terpolymer. Appl. Phys. Lett. 2011, 99, 052907. [Google Scholar] [CrossRef]
- Sebald, G.; Seveyrat, L.; Capsal, J.-F.; Cottinet, P.-J.; Guyomar, D. Differential scanning calorimeter and infrared imaging for electrocaloric characterization of poly(vinylidene fluoride-trifluoroethylene-chlorofluoroethylene) terpolymer. Appl. Phys. Lett. 2012, 101, 022907. [Google Scholar] [CrossRef]
- Guo, D.; Gao, J.; Yu, Y.-J.; Santhanam, S.; Fedder, G.K.; McGaughey, A.J.; Yao, S. Electrocaloric characterization of a poly(vinylidene fluoride-trifluoroethylene-chlorofluoroethylene) terpolymer by infrared imaging. Appl. Phys. Lett. 2014, 105, 031906. [Google Scholar] [CrossRef]
- Jia, Y.; Ju, Y.S. Direct characterization of the electrocaloric effects in thin films supported on substrates. Appl. Phys. Lett. 2013, 103, 042903. [Google Scholar] [CrossRef]
- Liu, Y.; Zhang, G.; Haibibu, A.; Han, Z.; Wang, Q. High cyclic stability of electrocaloric effect in relaxor poly(vinylidene fluoride-trifluoroethylene-chlorofluoroethylene) terpolymers in the absence of ferroelectric phase transition. J. Appl. Phys. 2019, 126, 234102. [Google Scholar] [CrossRef]
- Liu, Y.; Haibibu, A.; Xu, W.; Han, Z.; Wang, Q. Observation of a Negative Thermal Hysteresis in Relaxor Ferroelectric Polymers. Adv. Funct. Mater. 2020, 30, 2000648. [Google Scholar] [CrossRef]
- Zou, K.; Bai, P.; Li, K.; Luo, F.; Liang, J.; Lin, L.; Ma, R.; Li, Q.; Jiang, S.; Wang, Q.; et al. Electronic cooling and energy harvesting using ferroelectric polymer composites. Nat. Commun. 2024, 15, 1–10. [Google Scholar] [CrossRef]
- Ma, R.; Zhang, Z.; Tong, K.; Huber, D.; Kornbluh, R.; Ju, Y.S.; Pei, Q. Highly efficient electrocaloric cooling with electrostatic actuation. Science 2017, 357, 1130–1134. [Google Scholar] [CrossRef] [PubMed]
- Wang, Z.; Bo, Y.; Bai, P.; Zhang, S.; Li, G.; Wan, X.; Liu, Y.; Ma, R.; Chen, Y. Self-sustaining personal all-day thermoregulatory clothing using only sunlight. Science 2023, 382, 1291–1296. [Google Scholar] [CrossRef] [PubMed]
- Han, D.; Zhang, Y.; Huang, C.; Zheng, S.; Wu, D.; Li, Q.; Du, F.; Duan, H.; Chen, W.; Shi, J.; et al. Self-oscillating polymeric refrigerator with high energy efficiency. Nature 2024, 629, 1041–1046. [Google Scholar] [CrossRef] [PubMed]
- Wu, H.; Zhu, Y.; Yan, W.; Zhang, S.; Budiman, W.; Liu, K.; Wu, J.; Meng, Y.; Zhao, X.; Mehta, A.; et al. A self-regenerative heat pump based on a dual-functional relaxor ferroelectric polymer. Science 2024, 386, 546–551. [Google Scholar] [CrossRef]
- Chen, X.; Xu, W.; Lu, B.; Zhang, T.; Wang, Q.; Zhang, Q. Towards electrocaloric heat pump—A relaxor ferroelectric polymer exhibiting large electrocaloric response at low electric field. Appl. Phys. Lett. 2018, 113, 113902. [Google Scholar] [CrossRef]
- Le Goupil, F.; Kallitsis, K.; Tencé-Girault, S.; Pouriamanesh, N.; Brochon, C.; Cloutet, E.; Soulestin, T.; Dos Santos, F.D.; Stingelin, N.; Hadziioannou, G. Enhanced Electrocaloric Response of Vinylidene Fluoride–Based Polymers via One-Step Molecular Engineering. Adv. Funct. Mater. 2020, 31. [Google Scholar] [CrossRef]
- Le Goupil, F.; Kallitsis, K.; Tencé-Girault, S.; Brochon, C.; Cloutet, E.; Fleury, G.; Hadziioannou, G. Double-Bond-induced Morphotropic Phase Boundary Leads to Enhanced Electrocaloric Effect in VDF-Based Polymer Flexible Devices. ACS Appl. Energy Mater. 2023, 6, 12172–12179. [Google Scholar] [CrossRef]
- Qian, X.; Han, D.; Zheng, L.; Chen, J.; Tyagi, M.; Li, Q.; Du, F.; Zheng, S.; Huang, X.; Zhang, S.; et al. High-entropy polymer produces a giant electrocaloric effect at low fields. Nature 2021, 600, 664–669. [Google Scholar] [CrossRef]
- Rui, G.; Zhu, W.; Li, L.; Lee, J.; Guo, Y.; Zou, Q.; Wu, S.; Li, R.; Lannuzel, T.; Dos Santos, F.D.; et al. Dual-Functional High-Entropy Polymer Exhibiting Giant Cross-Energy Couplings at Low Fields. Small Sci. 2025, 5. [Google Scholar] [CrossRef]
- Lovinger, A.J. Ferroelectric Polymers. Science 1983, 220, 1115–1121. [Google Scholar] [CrossRef] [PubMed]
- Martín, J.; Zhao, D.; Lenz, T.; Katsouras, I.; de Leeuw, D.M.; Stingelin, N. Solid-state-processing of δ-PVDF. Mater. Horizons 2017, 4, 408–414. [Google Scholar] [CrossRef]
- Gadinski, M.R.; Li, Q.; Zhang, G.; Zhang, X.; Wang, Q. Understanding of Relaxor Ferroelectric Behavior of Poly(vinylidene fluoride–trifluoroethylene–chlorotrifluoroethylene) Terpolymers. Macromolecules 2015, 48, 2731–2739. [Google Scholar] [CrossRef]
- Chu, B.; Zhou, X.; Ren, K.; Neese, B.; Lin, M.; Wang, Q.; Bauer, F.; Zhang, Q.M. A Dielectric Polymer with High Electric Energy Density and Fast Discharge Speed. Science 2006, 313, 334–336. [Google Scholar] [CrossRef]
- Chen, X.; Qin, H.; Qian, X.; Zhu, W.; Li, B.; Zhang, B.; Lu, W.; Li, R.; Zhang, S.; Zhu, L.; et al. Relaxor ferroelectric polymer exhibits ultrahigh electromechanical coupling at low electric field. Science 2022, 375, 1418–1422. [Google Scholar] [CrossRef]
- Liu, Y.; Aziguli, H.; Zhang, B.; Xu, W.; Lu, W.; Bernholc, J.; Wang, Q. Ferroelectric polymers exhibiting behaviour reminiscent of a morphotropic phase boundary. Nature 2018, 562, 96–100. [Google Scholar] [CrossRef]
- Liu, Y.; Zhou, Y.; Qin, H.; Yang, T.; Chen, X.; Li, L.; Han, Z.; Wang, K.; Zhang, B.; Lu, W.; et al. Electro-thermal actuation in percolative ferroelectric polymer nanocomposites. Nat. Mater. 2023, 22, 873–879. [Google Scholar] [CrossRef]
- Bargain, F.; Thuau, D.; Hadziioannou, G.; Dos Santos, F.D.; Tencé-Girault, S. Phase diagram of poly(VDF-ter-TrFE-ter-CTFE) copolymers: Relationship between crystalline structure and material properties. Polymer 2021, 213. [Google Scholar] [CrossRef]
- Xu, L.; Gong, Y.; Tang, S.; Li, C.; Zhou, H.; Liu, Y. Enhanced Electrocaloric Effect in Relaxor Ferroelectric Terpolymers by Morphotropic Phase Boundary. Small 2025, 21, e2503125. [Google Scholar] [CrossRef]
- Li, C.; Liu, Y.; Li, B.; Yuan, Z.; Yang, T.; Liu, Y.; Gao, H.; Xu, L.; Yu, X.; Luo, Q.; et al. Enhanced energy storage in high-entropy ferroelectric polymers. Nat. Mater. 2025, 24, 1066–1073. [Google Scholar] [CrossRef]
- Qian, J.; Peng, R.; Shen, Z.; Jiang, J.; Xue, F.; Yang, T.; Chen, L.; Shen, Y. Interfacial Coupling Boosts Giant Electrocaloric Effects in Relaxor Polymer Nanocomposites: In Situ Characterization and Phase-Field Simulation. Adv. Mater. 2018, 31, e1801949. [Google Scholar] [CrossRef]
- Aravindhan, A.; Lheritier, P.; Torelló, A.; Prah, U.; Nouchokgwe, Y.; El Moul, A.; Chevalier, X.; Dos Santos, F.D.; Defay, E.; Kovacova, V. Direct measurement of electrocaloric effect in P(VDF-TrFE-CFE) film using infrared imaging. J. Materiomics 2023, 9, 256–260. [Google Scholar] [CrossRef]
- Basso, V.; Russo, F.; Gerard, J.-F.; Pruvost, S. Direct measurement of the electrocaloric effect in poly(vinylidene fluoride-trifluoroethylene-chlorotrifluoroethylene) terpolymer films. Appl. Phys. Lett. 2013, 103. [Google Scholar] [CrossRef]





Disclaimer/Publisher’s Note: The statements, opinions and data contained in all publications are solely those of the individual author(s) and contributor(s) and not of MDPI and/or the editor(s). MDPI and/or the editor(s) disclaim responsibility for any injury to people or property resulting from any ideas, methods, instructions or products referred to in the content. |
© 2026 by the authors. Licensee MDPI, Basel, Switzerland. This article is an open access article distributed under the terms and conditions of the Creative Commons Attribution (CC BY) license.
Share and Cite
Xu, L.; Liu, Y.; Li, J.; Wu, H.; Wang, Y.; Yuan, Z.; Cheng, L.; Li, Y.; Zhou, H.; Liu, Y. Large Electrocaloric Effect in Stretched Relaxor Ferroelectric Polymers near Morphotropic Phase Boundary. Chemistry 2026, 8, 27. https://doi.org/10.3390/chemistry8020027
Xu L, Liu Y, Li J, Wu H, Wang Y, Yuan Z, Cheng L, Li Y, Zhou H, Liu Y. Large Electrocaloric Effect in Stretched Relaxor Ferroelectric Polymers near Morphotropic Phase Boundary. Chemistry. 2026; 8(2):27. https://doi.org/10.3390/chemistry8020027
Chicago/Turabian StyleXu, Linxiao, Yuquan Liu, Jiahong Li, Hangyao Wu, Yuanqi Wang, Ze Yuan, Ling Cheng, Yang Li, Huamin Zhou, and Yang Liu. 2026. "Large Electrocaloric Effect in Stretched Relaxor Ferroelectric Polymers near Morphotropic Phase Boundary" Chemistry 8, no. 2: 27. https://doi.org/10.3390/chemistry8020027
APA StyleXu, L., Liu, Y., Li, J., Wu, H., Wang, Y., Yuan, Z., Cheng, L., Li, Y., Zhou, H., & Liu, Y. (2026). Large Electrocaloric Effect in Stretched Relaxor Ferroelectric Polymers near Morphotropic Phase Boundary. Chemistry, 8(2), 27. https://doi.org/10.3390/chemistry8020027

