Abstract
Molecular dynamics simulations were conducted using the attachment energy (AE) model to investigate the growth morphology of lead 2,4,6-trinitrororesorcinate (LTNR, lead styphnate) under vacuum and different solvents. The adsorption energy of LTNR on (001), (110), (011), (020), (111), (200), and (201) crystal planes were calculated. Meanwhile, the crystal morphology in solvents of ethanol, toluene, dichloromethane, acetone, dimethyl sulfoxide (DMSO), and water at 298 K was predicted by calculating the interaction energies between the solvents and crystal planes. The calculated results show that the morphology of LTNR crystals in different solvents is significantly different. In toluene, LTNR crystal morphologies are flat, while in pure solvents of ethanol, acetone, and DMSO, the number of crystal planes increases, and the crystal thickness is larger. In the water, LTNR tends to form tabular crystals, which is similar to the experimental results. Both radial distribution function (RDF) and mean squared displacement (MSD) analyses reveal that hydrogen bonding dominates the interactions between LTNR and solvent molecules. Solvent molecules with higher diffusion coefficients exhibit increased desorption tendencies from crystal surfaces, which may reduce their inhibitory effects on specific crystallographic planes. However, no direct correlation exists between solvent diffusion coefficients and crystal plane growth rates, suggesting that surface attachment kinetics or interfacial energy barriers play a more critical role in crystal growth.
1. Introduction
In solution, the crystal growth process is a solvent-guided molecular self-assembly process. Under the influence of driving force, the solute is in a supersaturated state, and solute molecules diffuse along the chemical point gradient to the surface of the molecular crystal [1,2,3]. During this process, some solute molecules spontaneously attach to the crystal surface after passing through the detachment and dissolution layers. This process depends not only on the self-assembly behavior of solute molecules but also on the growth rates of various crystal planes. The growth behavior of crystals is particularly sensitive to supersaturation and solvent environments, and different supersaturation and solvent types can significantly affect the growth rate and morphology of crystals. However, current crystallization experimental research often relies on trial-and-error methods or uses costly and complex processes, which severely limits the development of efficient design and precise control of the crystal morphology of detonating explosives. Therefore, theoretical prediction of crystal morphology can effectively reduce the blindness and empirical dependence of crystallization experiments, thereby achieving rational design and precise control of crystal morphology. The AE model is still highly valuable for rapidly screening crystallization conditions such as solvents and temperatures, which can provide theoretical guidance for designing crystallization experiments to control the growth morphology of energetic materials crystals.
LTNR is a widely used elemental explosive. Conventional LTNR is commonly used to induce low-sensitivity substances due to its high sensitivity, low intensity, and controllable crystal morphology. It is widely used as a lead oxide mixture in tetrazene needle detonators and propellants [4]. In addition, LTNR can be applied separately to electric detonation devices and semiconductor bridges (SCBs) [5]. However, uneven crystal morphology and widely distributed particle size can significantly affect the thermal stability of LTNR and increase the risk of electrostatic accumulation. When predicting the crystal morphology of lead stearate, traditional crystal growth rate calculation models (such as Burton-Stevens-Frank and Step-Controlled Faceting models) greatly increase the complexity of molecular dynamics (MD) calculations due to the large size of ionic crystal and the long-time scale required. Therefore, traditional attachment energy models were also used to predict the crystal morphology of LTNR under vacuum conditions and obtain its main growth crystal planes [6]. Meanwhile, the influence of different solvents (such as ethanol, dichloromethane, etc.) on the morphology of LTNR crystals was studied.
Figure 1a shows the structure of LTNR, highlighting the coordination bonds between O and Pb atoms. Figure 1b shows the electrostatic potential analysis, which is commonly used to predict the sites of electrophilic and nucleophilic attacks, thereby theoretically determining the type and difficulty of chemical reactions. The unit in the electrostatic potential cube file is a.u. The distribution of electrostatic potential on the van der Waals surface of LTNR ion is revealed by coloring the electron density isosurfaces, with blue regions indicating negative values and red regions indicating positive values. The yellow spheres denote the points of maximum electrostatic potential, while the cyan spheres denote the points of minimum electrostatic potentials. Notably, the Pb atoms exhibit a positive charge, whereas the O atoms in the nitro group are negatively charged. A weak positive charge is observed in the vicinity of the carbon atom.
Figure 1.
(a) Structure of LTNR and (b) electrostatic potential distribution on the molecular surface.
At present, molecular simulation techniques for predicting crystal morphology have been widely developed. Many researchers in the field of energetic materials have used different methods to simulate crystal morphology [7,8,9,10], including the Bravais-Friedel-Donnay-Harker (BFDH) rule, the periodic bond-chain theory [11], the attachment energy model (AE) [12,13,14,15,16], the optimized modified attachment energy model(MAE) [8], occupancy mode [17], Monte Carlo simulation [18], interfacial structure analysis model [19], spiral growth model [19], and 2D nucleation model [18]. Overall, molecular dynamics methods have been widely used to study the interactions between crystal surfaces and solvents. However, due to the complexity and instability of the crystallization process, there is little theoretical research on the morphology of LTNR crystals, and related studies are still challenging. The intrinsic value of LTNR lies predominantly in its applications in initiation and ignition systems. Owing to its exceptional energy density (>5 kJ/g), minimal ignition threshold (<1 mJ), and rapid detonation propagation, it serves as a critical component in primary explosives for detonators, detonating cords, and related pyrotechnic devices. Meanwhile, LTNR stands as a pivotal material in the study of energetic compounds. Advances in micro/nanoengineering and carbon-based modifications have substantially enhanced its thermal stability and safety profile. However, there has been no theoretical research on the crystal morphology during the crystallization process, which has solved the gap of LTNR crystals in the field of energetic materials.
This study mainly investigated the growth morphology of LTNR in different solvent environments. It provides some reference value for the subsequent studies. Firstly, the crystal morphology of LTNR under vacuum was predicted using three calculation methods in the morphology module: growth microscopy method, BFDH method [20], and equilibrium microscopy method. As an exploration, the effects of different solvents on the morphology of LTNR crystals were studied by molecular dynamics simulations. The results were compared with the experimental results and further discussed.
2. Model and Computational Details
2.1. MAE
The adhesion energy (AE) model refers to the energy released by the growth unit adhering to the crystal surface during the crystal growth process, which is called crystal surface adhesion energy. It is based on the theory of periodic bond chains (PBC) and takes into account the anisotropic properties in the crystal unit. The more energy is released when the growth unit attaches to the crystal plane, the faster the growth rate in the direction of that crystal plane. The Modified Attachment Energy (MAE) model introduces an energy correction term Es based on the AE model: the solvent crystal interaction energy on a single crystal plane. The MAE is currently the primary model for studying the effects of solvents and additives. This model helps to understand and predict the behavior of materials during the crystallization process, such as crystal growth, adhesion, and interfacial properties. Attachment energy refers to the energy of the interaction between the crystal plane and solvent molecules per unit area. It reflects the strength of the bond between the crystal surface and the solvent. The attachment energy (Eatt) is defined as the energy released by adding a growth slice to a growing crystal surface. The larger the attachment energy, the faster the growth rate of the crystal plane:
The growth of crystals is a slow and complex process. The crystal morphology depends on the growth rate of different crystal planes. Facets with higher growth rates exhibit rapid outward extension, predominantly developing into “edges.” Conversely, facets with slower growth rates tend to retain their morphological features, thereby forming distinct “faces.” Ultimately, it determines the morphology of the crystal. The attachment energy of crystal planes () in solvents needs to be corrected using the following formula:
In the formula, Es is the correction term for the adsorption energy of introduced solvents, additives, etc., representing the adsorption energy between solvent molecules and crystal planes (hkl). And Es can be calculated using the following formula:
S is the correction factor reflecting the roughness of the crystal face and is defined as the ratio between the accessible solvent surface area (Aacc) and the cross-sectional area (Ahkl) of the crystal face unit:
where is the contact area of solvent on crystal surface, is the area of the crystal plane of (hkl). Eint is defined as the difference between the total energy of the crystal–solvent interface and the isolated component of the crystal face and solvent layer, and Eint can be calculated using the following formula:
where Etot is the total energy of solvent molecules and crystals, Ecry is the energy of crystals, Esol is the energy of the solvent molecule.
Assuming that the relative growth rate of each crystal plane in the solvent is still proportional to the corrected attachment energy , that is:
where denotes the relative growth rates of crystallographic facets within the solvent environment. The MAE can effectively predict the crystal morphology of energetic materials (such as LTNR, CL-20, FOX-7, TKX-50, and RDX) by analyzing the effects of different solvents and additives on the attachment energy of various crystal planes [21,22,23,24,25]. This model not only considers the structural factors inside the crystal but also incorporates the energy factors introduced by solvents and additives in the external environment into the calculation. This calculation method is widely used in the field of energetic materials. The results of the MAE are more accurate compared to other methods.
2.2. Simulation Details
The LTNR unit cell belongs to P21/c based on the Cambridge Crystallographic Data Centre (CCDC:1318726). Geometry optimization was conducted using the Forcite module in Materials Studio 7.0, employing the CVFF force field. Atomic charges were assigned via RESP (Restrained Electrostatic Potential) fitting, which offers superior electrostatic potential reproducibility and is extensively utilized in molecular dynamics simulations [26]. The LTNR unit cell was optimized with default settings, and the maximum iteration steps were set to 10,000 to ensure convergence. The molecular structure was initially optimized at the B3LYP/6-311++G(2d,p) level of theory using Gaussian 09. RESP charges were then derived from the population analysis in Multiwfn (main function 7). The Lanl2DZ method was used for the Pb atoms. Since Pb is a main-group element in the sixth period, the use of pseudopotentials is necessary, while other atoms such as C, H, O, and N were treated with conventional basis sets as usual [27]. Subsequently, the RESP charge was calculated using Multiwfn’s population analysis (Main Function 7).
The Forcite module is used to optimize the structure of LTNR. The computational accuracy is fine, with a truncation distance of 1.55 nm. Electrostatic interactions were evaluated using the Ewald summation method, while van der Waals forces were computed via the atom-based summation approach. The crystal structure of LTNR belongs to the monoclinic system, with the space group P21/c and lattice parameters a = 8.03 Å, b = 12.54 Å, c = 10.02 Å, β = 92.78°, and α = γ = 90°. For the commonly used force fields, such as COMPASS and COMPASS II, there are no force field parameters for Pd, thus they cannot be applied to this crystal. However, CVFF (Consistent Valence Force Field), due to its wide applicability and accuracy, has become one of the commonly used force fields in molecular dynamics simulations and is also applicable to the energetic materials [28,29]. The optimized cell parameters are shown in Table 1.
Table 1.
Comparison of experimental and optimized crystal parameters.
The AE model was chosen to predict the crystal morphology of LTNR in vacuum. The AE model determines the relative growth rate by calculating the intermolecular interactions within the crystal cell. The direction and bond energies of intermolecular interactions within the crystal cell are shown in Figure 2. It shows the intermolecular interaction diagram of LTNR unit cell and the crystal morphology of LTNR in vacuum. The morphology of LTNR predicted by the AE model is blocky in vacuum. Weaker intermolecular interactions result in slower growth kinetics, consequently increasing the morphological importance of the corresponding crystal plane.
Figure 2.
(a) Crystal graph and (b) morphology of LTNR predicted by the AE model in vacuum.
Subsequently, the crystal morphology of LTNR under vacuum conditions was predicted using the three calculation methods of growth microscopy, BFDH, and equilibrium microscopy in the morphology module, as shown in Figure 3. Compared with the BFDH and Equilibrium Microscopy calculation methods, the AE model considered the influence of attachment energy, resulting in more accurate results. Therefore, this study adopts the morphology of LTNR crystals predicted by the AE model. From the calculation results, six morphologically important crystal planes of LTNR crystal in vacuum state were obtained, which are (001), (110), (011), (020), (111), and (200), respectively.
Figure 3.
Different models predict the morphology of LTNR crystals under vacuum conditions: (a) AE model, (b) BFDH model, (c) equilibrium morphology model.
The predominant crystal facets predicted under vacuum conditions were cleaved by build → surfaces → cleave surfaces. These facets were expanded into supercells with lengths and widths exceeding 30 Å. The solvents (ethanol, dichloromethane, and toluene) were energy-minimized using the Forcite module. Solvent boxes were constructed via the amorphous cell tool, ensuring periodic boundary conditions. The crystal boxes and solvent boxes were aligned to maintain a size mismatch of less than 5% to ensure compatibility. A two-layer model (build → build layer) was created with the crystal facet as the bottom layer and the solvent as the top layer with a gap of 5 Å in the middle. A 50 Å vacuum layer is established above the solvent [30,31,32]. After the modeling is completed, use Forcite for structural optimization, the gap between the solvent and crystal gradually diminishes. Subsequently, the dynamic simulation of the model was conducted.
Figure 4 demonstrates the simulation workflow for the ethanol solvent on the (001) plane. The constructed bilayer model was subjected to molecular dynamics (MD) simulation using the CVFF force field under the NVT ensemble. Initial velocities were assigned with a random distribution, and the temperature was maintained at 298 K. Intermolecular interactions were computed with a time step of 1.0 fs, and the simulation was conducted for 500 ps (500,000 fs total steps) to generate dynamic trajectories. Finally, the modified attachment energy of each crystal surface was obtained. The morphology module was used to generate the equilibrium crystal habit by generating habit function, considering the solvent-mediated effects. The obtained crystal morphology was further analyzed to evaluate solvent-dependent growth properties.
Figure 4.
Schematic diagram of simulation process.
3. Results and Discussion
3.1. Crystal Morphology of LTNR in Vacuum
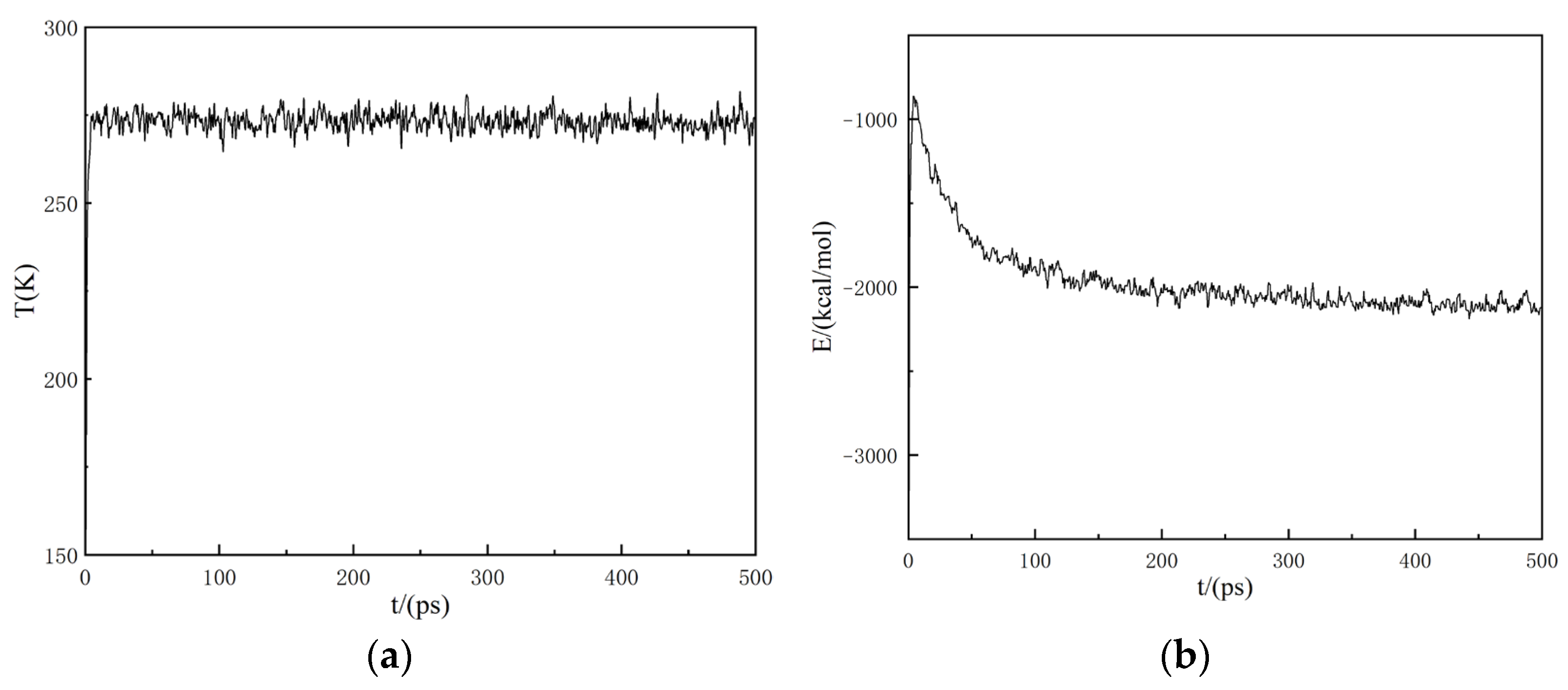
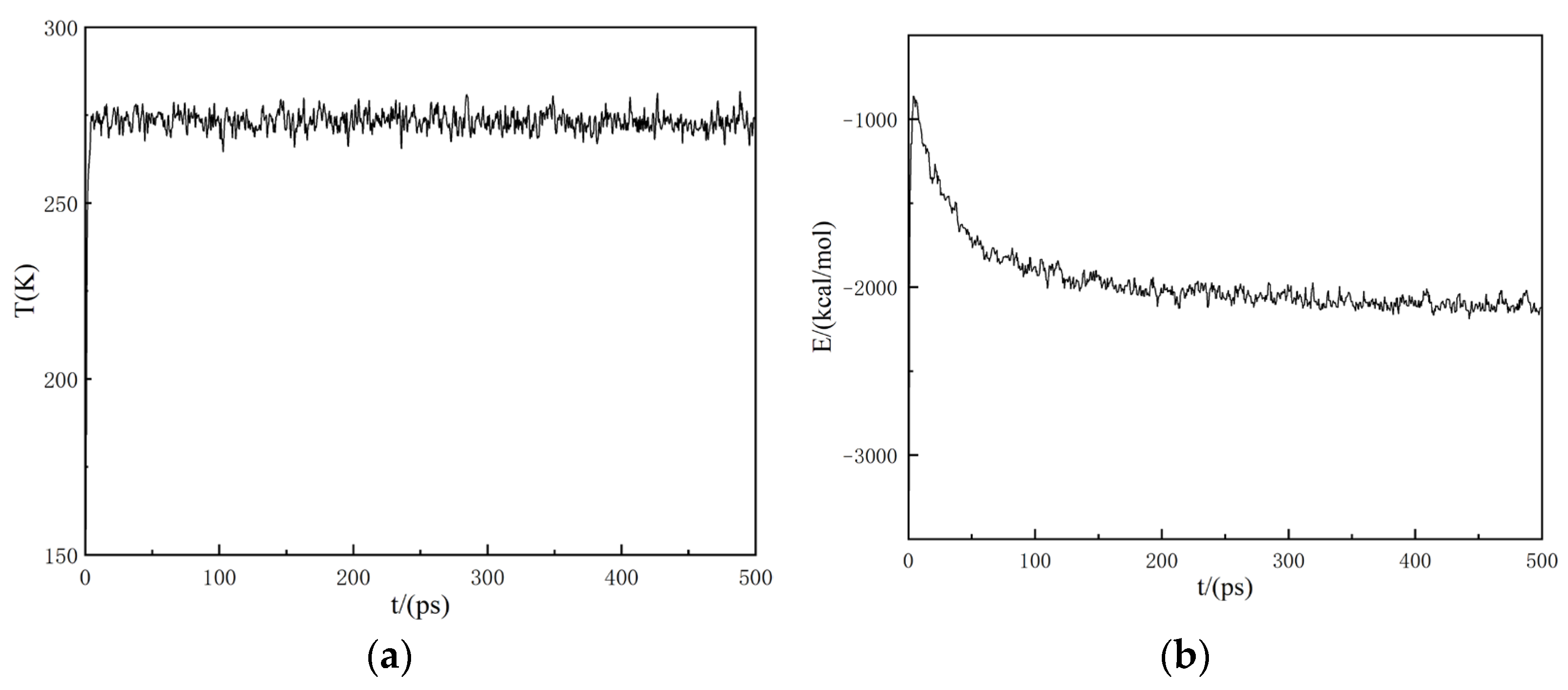
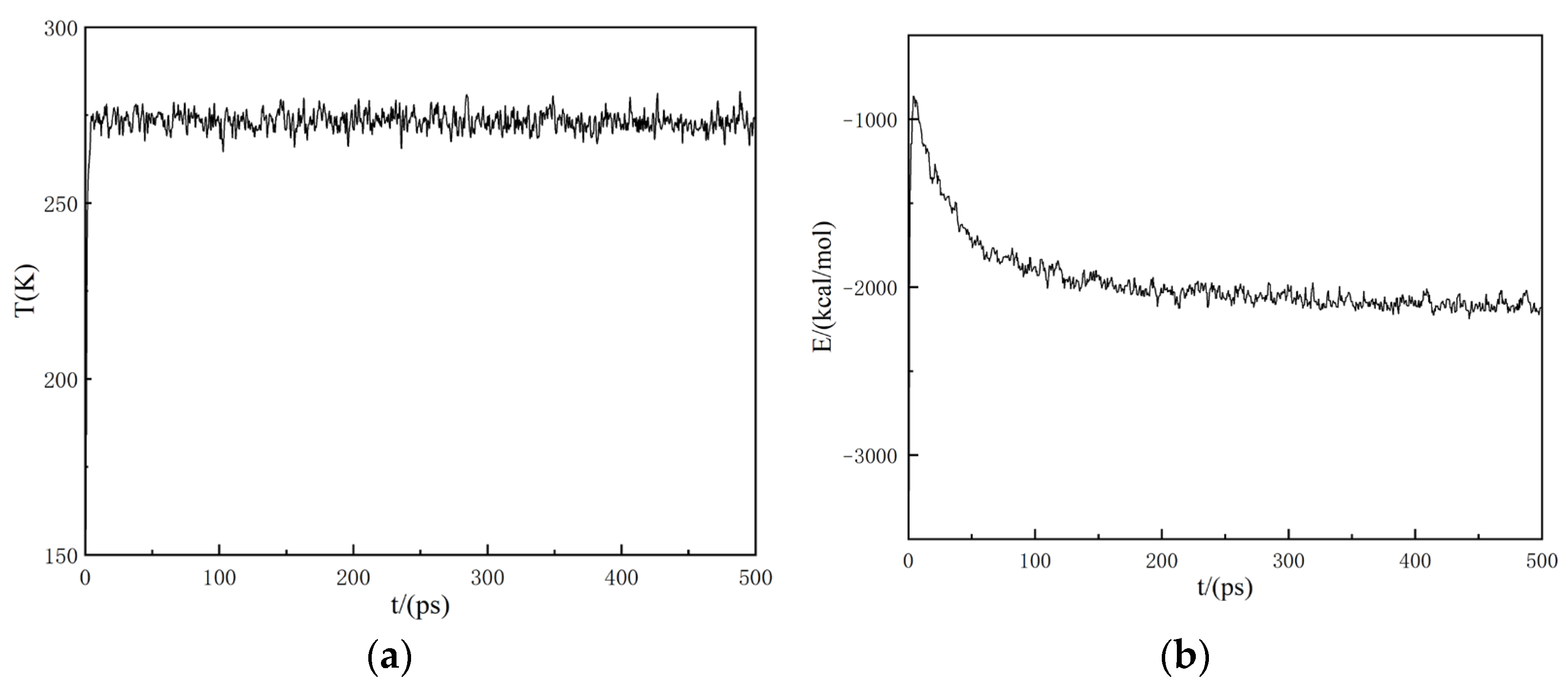
The establishment of thermodynamic equilibrium constitutes an essential prerequisite for conducting meaningful molecular dynamics simulations. The system may be deemed sufficiently equilibrated upon demonstrating stabilized energetic and thermal properties, typically evidenced by potential energy and temperature oscillations confined within 5–10% of their mean values. Only upon achieving this crucial equilibrium state can subsequent trajectory analyses yield physically significant results.
Illustrated in Figure 5 are the characteristic equilibration profiles for the ethanol (0 1 1) crystal interface system. The remarkable consistency observed in both energetic and thermal stability metrics throughout the critical 200–500 ps window not only confirms successful equilibration but also establishes the necessary thermodynamic foundation for reliable post-equilibration investigations of interfacial phenomena.
Figure 5.
During dynamic simulation (a) Temperature-time variation diagram, (b) Energy-time variation diagram.
After minimizing the energy of LTNR, the AE model of the crystal morphology module was used to predict the crystal morphology and important growth crystal planes of LTNR in vacuum, combined with the CVFF force field and charge. The morphology of LTNR under vacuum conditions is shown in, and the important crystal planes involved in LTNR are listed in Table 2. Surface area is the cross-sectional area of the crystal plane unit. Total face area is the sum of each crystal plane area. % Total face area is the surface area divided by total face area. Eatt is the adhesion energy of the crystal plane.
Table 2.
Main growth planes and related parameters in vacuum.
It can be seen from Table 2 that the areas of (001), (110), and (111) crystal planes are much larger than those of (201), (200), and other crystal planes. Among them, the (001) crystal plane is the largest visible surface, accounting for 23.96% of the total area. It has the greatest morphological importance. The attachment energy of the (200) crystal plane is −236.38 kcal/mol, with the highest absolute value of attachment energy. However, the proportion of the crystal plane area is 5.24%, and its growth rate may have an impact on the (001), (110), and (111) crystal planes. According to the absolute value of the attachment energy of the crystal plane, the growth rate of each crystal plane of LTNR is: (200) > (020) > (201) > (110) > (011) > (111) > (001).
To better compare the roughness of the main growth planes of LTNR crystal, the solvent contact area and Ahkl exposure area of each Aacc crystal plane were calculated separately. Finally, the surface roughness of the crystal was determined based on Aacc/Ahkl. The larger the S value is, the greater the surface roughness will be. There will be more growth steps and knot points, and the adsorption effect between it and the solvent molecules will be stronger. The growth rate will be relatively slower. The calculation results are shown in Table 3.
Table 3.
LTNR morphology important crystal plane roughness.
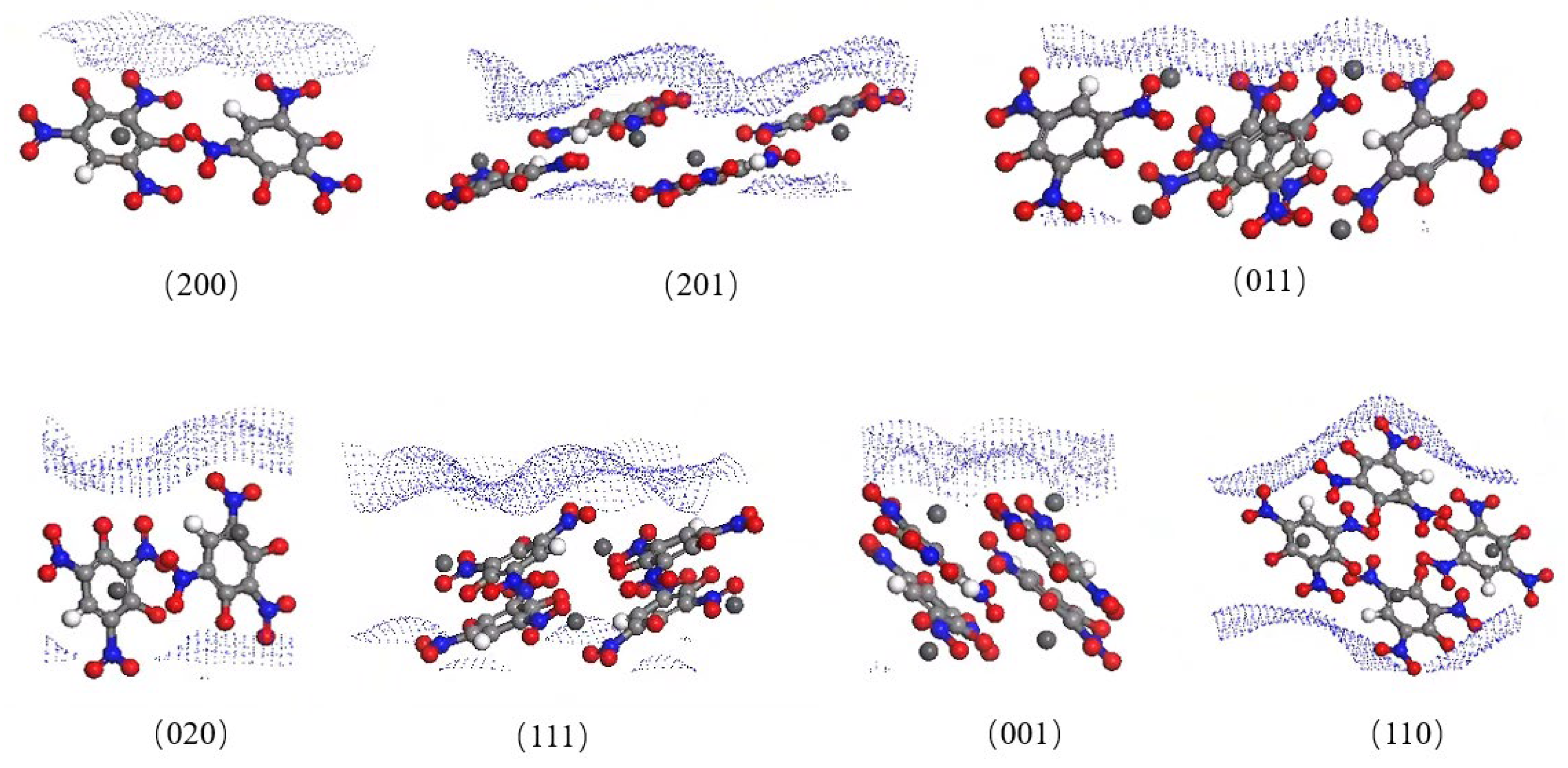
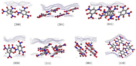
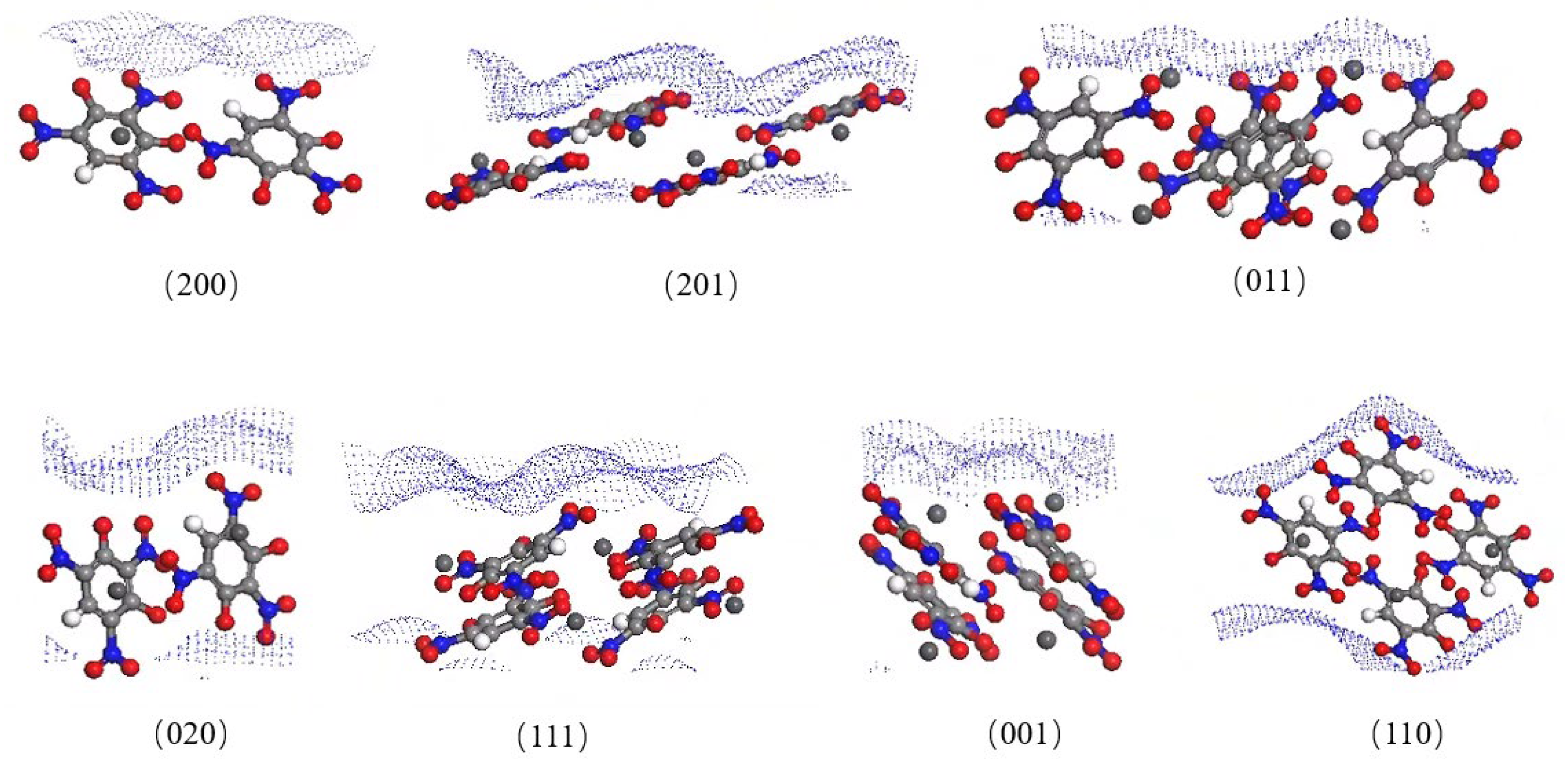
As can be seen from Figure 6, the Aacc/Akhl values of (011) and (111) crystal planes are the highest, indicating that these two crystal planes are rougher and their surfaces have more growth steps and twisted points. There is a strong adsorption between the crystal surface and solvent molecules, and the growth rate is relatively slow. The Aacc/Akhl values of (020) and (001) crystal planes are the smallest, indicating that adsorption between them is weak and the growth rate is fast. The surfaces of LTNR and recalculated the roughness of every surface were obtained. Figure 6 shows the molecular stacking structures of the LTNR crystal plane. The blue grid on the LTNR crystal plane represents the solvent-accessible area.
Figure 6.
The geometric structures of different LTNR faces represented by the accessible solvent surface model.
3.2. Influence of Solvents on the Morphology of LTNR Crystals
The larger the absolute value, the stronger the relative interaction and the stronger the adsorption. The solvent molecules are more difficult to attach to the surface, which inhibits the growth of the crystal on the surface and ultimately changes the morphology of the crystal. The calculation method of Eint is shown in Formula (5). The crystal remains stationary, and the energy hardly changes. At this point, Ecry is 0 kcal/mol, so it is omitted in Table 4.
Table 4.
LTNR interaction energy between crystal planes and solvent.
By analyzing the interaction energy between six different solvent systems and the important crystal planes of LTNR, it can be concluded that the interaction energy between the (201) crystal plane of LTNR and the solvent molecules is almost the highest, while the interaction energy between the (001) crystal plane is the lowest. It can be inferred that the growth of the (201) crystal plane of LTNR is easily hindered by solvents. In solvent systems, the growth rate is the slowest, and the crystal plane area is the largest. However, the resistance of the (001) crystal plane is relatively small, and the growth rate of this crystal plane is relatively fast. In this system, the crystal plane tends to disappear.
The modified attachment energies of LTNR for various important crystal planes in the presence of six different solvent molecules are listed in Table 5 and Table 6. Based on the calculated modified attachment energy through Table 2 and the formulas 1–5, the crystal habits in different solvent systems were calculated.
Table 5.
Predicted crystal morphology in different solvents.
Table 6.
Modified attachment energy (kcal/mol) of each crystal plane in different solvents.
In the experimental data of LTNR, the crystal morphology under water is shown in Figure 7, which is in agreement with our theoretical prediction. While demonstrating a high degree of structural similarity, the current findings remain limited by the absence of experimental validation across additional solvent systems.
Figure 7.
The crystal morphology of LTNR in the water predicted by the modified AE model (right) and the corresponding experimental shape (left) [33].
3.3. Influence of Temperature on the Morphology of LTNR Crystals
Table 7 shows the crystal morphology of LTNR at different temperatures. In the low-temperature range (273–323 K), the (201) plane exhibits a high S% (58.1%~80.83%) even though its Eatt remains relatively higher than other planes, as kinetic advantages (such as high growth rate or low surface energy) dominate the morphological evolution. In the high-temperature critical region (348 K), the lowest Eatt (3.27) triggers absolute dominant growth (93.97%) on this plane, possibly corresponding to dynamic desorption or interface reconstruction of the solvent. During the cooling and equilibrium stage (373 K), the growth mechanism shifts from kinetic dominance to thermodynamic equilibrium dominance, resembling the system’s tendency toward equilibrium after cooling. The rebound of Eatt (11.34) leads to a decline in S%, suggesting that thermodynamic equilibrium begins to suppress extreme kinetic-driven growth.
Table 7.
Crystal morphology predicted at different temperatures and solvents.
Temperature also has a significant impact on the crystallization of energetic materials. In common systems, as the temperature increases, solubility rises, and adsorption energy decreases, indicating that solvent molecules may desorb from the surface, leading to a sharp increase in growth rate. At lower temperatures, crystal growth is relatively slow, making it easier to obtain larger crystals experimentally. The crystallization process is a dynamic competition of adsorption. In Table 8, the dominant growth of the (201) plane may originate from the formation of a weak and reversible adsorption layer of solvent molecules on its surface, facilitating desorption at high temperatures, while strong adsorption on other planes (e.g., the (200) plane with negative Eatt values) results in continuous inhibition. The high temperature increases the thermal motion of the solvent molecule and weakens its ordered adsorption on the crystal plane. The positive value of Eatt decreases with the increase in temperature, thereby reducing the growth barrier. The gradual decrease of Eatt with increasing temperature suggests that the high temperature attenuates the adsorption inhibition of the solvent on the plane and significantly enhances its growth rate. However, at 373 K, Eatt rebounds to 11.34, corresponding to a decrease in S% to 80.82%, which may be related to the change in solvent structure or solubility inversion at high temperatures.
Table 8.
Modified attachment energy (kcal/mol) for each crystal plane using water as a solvent.
3.4. Investigate the Adsorption Interactions Between Solvents and Crystal Surfaces
The Radial Distribution Function (RDF) is defined as the ratio of the density of the counted atoms within the shell layer at a distance r from the reference atom relative to the average density of the counted atoms in the whole simulation box, and it reflects the type of interaction to some extent [34,35,36].
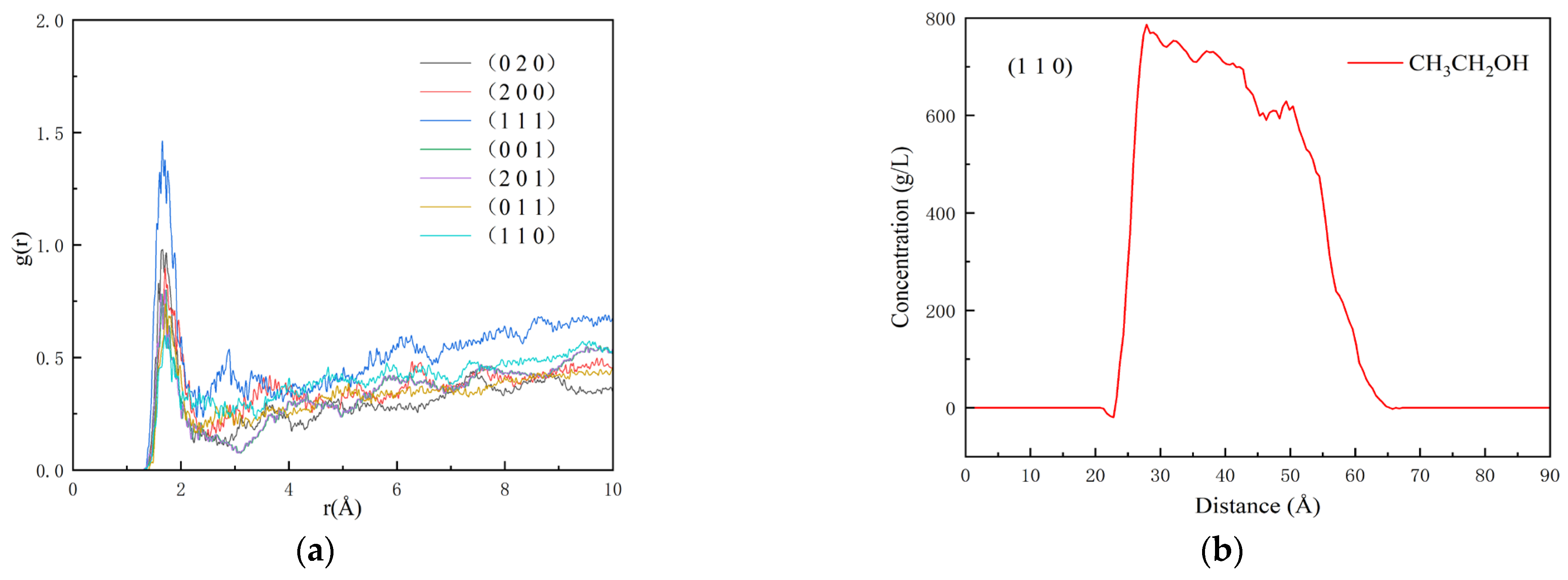
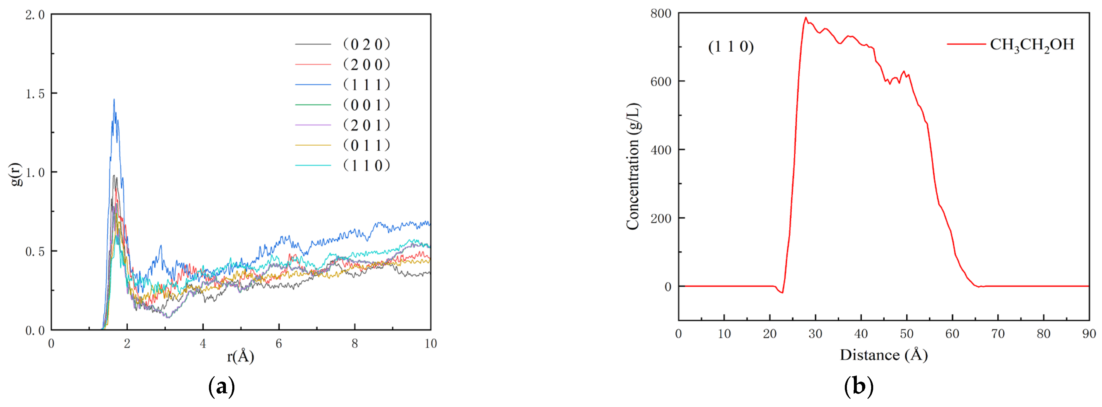
There are two forms of interaction between solvent molecules on the (h l k) crystal plane, The short-range interactions between molecules are further divided into hydrogen bonding forces and van der Waals forces. The radial distribution function (RDF) exhibits distinct interaction regimes: short-range peaks at r < 2.5 Å and medium-range peaks at 3 Å ≤ r < 5 Å. Interactions at r > 5 Å demonstrate characteristic long-range electrostatic forces. Generally speaking, the first peak of the radial distribution function represents the binding strength between the first nearest neighbor atoms. The sharper the peak shape, the stronger the interaction force. The number density of atoms within this radius range is much higher than the average density, and the binding strength between the central atom and the nearest neighbor atom is also relatively high. Calculate the radial distribution function using O atoms, N atoms in different (h l k) crystal planes of LTNR and H atoms in the ethanol system.
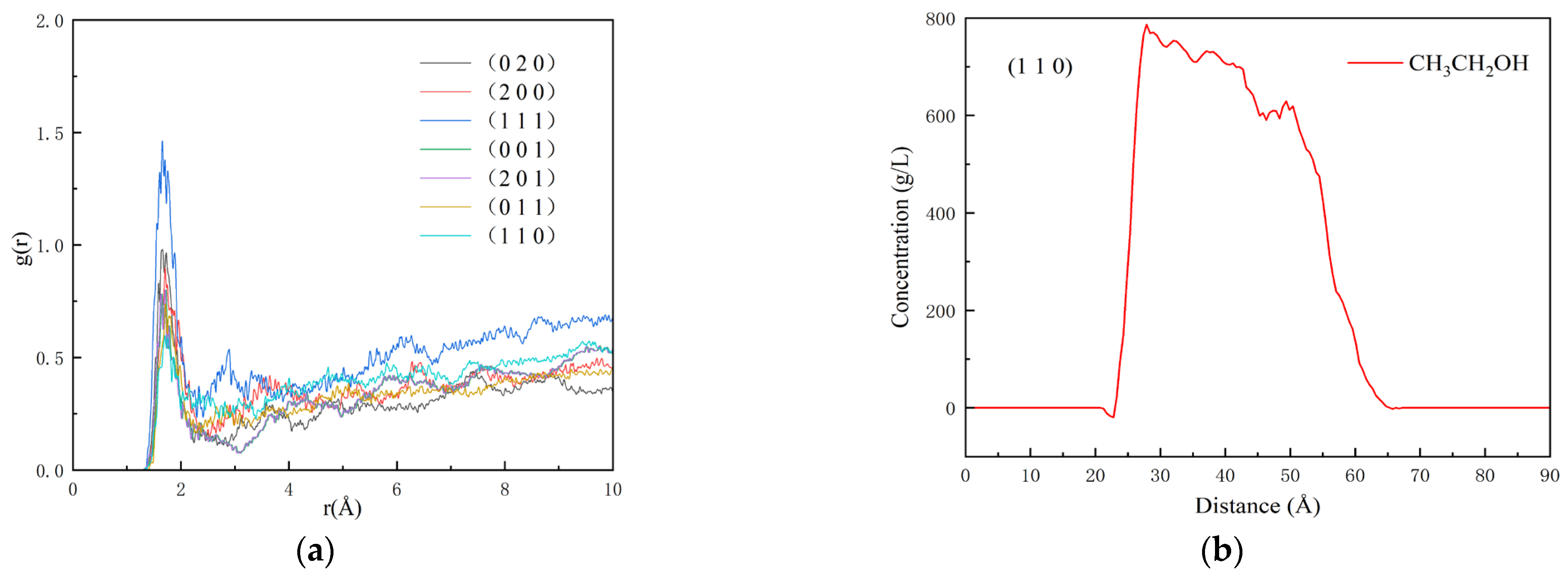
From the radial distribution function (RDF) analysis in Figure 8a, peaks in the range of 1.67–1.95 Å are observed for the (020), (200), (111), (001), (201), (011), and (110) crystal faces. The peak intensities follow the hierarchy: (111) > (001) > (020) > (200) > (201) > (011) > (110). Given that hydrogen bonding interactions occur within 2.5 Å and van der Waals interactions within 3–5 Å, these results confirm the presence of hydrogen bonds between N and H atoms across all seven crystal facet systems.
Figure 8.
(a) Analysis of the RDF between N and H atoms, (b) Concentration of ethanol along z-axis for (110) face.
Figure 8b indicates that the ethanol density on the (110) crystal plane surface reaches a maximum value of approximately 790 g/L at 25 Å. As the distance along the z-axis increases, the concentration gradually decreases. The main reason for the higher concentration of ethanol molecules near the crystal plane is that there are small concave areas on the plane. Small molecules embed in these concave areas, thus generating a stronger interaction of solvents on LTNR surface.
The diffusion coefficient (D) serves as a critical parameter for quantifying molecular diffusion capabilities. Derived from the Einstein diffusion equation via linear fitting of mean square displacement (MSD) data, D reveals how crystal facet structures modulate solvent diffusion behavior—thereby governing solvent-crystal interactions [37,38]. Analysis of MD simulation trajectories through MSD quantification elucidates solvent diffusion’s role in crystal morphology evolution. As shown in Figure 9, ethanol solvent exhibits facet-dependent diffusion across crystal systems. The extracted diffusion coefficients follow the hierarchy: (011) > (110) > (111) > (201) > (200) > (020) > (001). The diffusion coefficient of the (001) crystal plane is small, making it difficult for solvent molecules to leave the crystal plane and resulting in high adsorption energy. Solvent molecules are more difficult to adhere to the surface, which inhibits the crystal growth of the crystal plane.
Figure 9.
MSD curves of solvent ethanol in each crystal face of LTNR.
4. Conclusions
The crystal morphology of LTNR in different solvents was further analyzed by the attachment energy model to fully reveal the influence of solvent environment on crystal morphology. The main conclusions are as follows:
- The equilibrium morphology of LTNR crystals in vacuum was predicted by the attachment energy model. The (201) crystal plane was determined to be the dominant growth plane under vacuum conditions. Furthermore, seven prominent crystallographic planes were identified across various solvent environments: (201), (011), (020), (200), (001), (111), and (110). These crystal planes exhibit significant influence on the morphological evolution of the crystals when interacting with different solvents.
- The crystal morphology of LTNR shows significant differences in different solvents such as ethanol, toluene, dichloromethane, acetone, and DMSO. For example, in ethanol and toluene, LTNR crystals exhibit a flattened shape, especially in toluene, the number of crystal planes decreases and the morphology becomes more regular. In ketone and DMSO, the number of crystal planes increases and the crystal thickness is larger, reflecting the significant influence of the interaction between solvent molecules and crystal planes on the crystal structure.
- In the water solvent, as the temperature gradually increases, the modified attachment energy decreases with the increasing temperature, thereby reducing the growth barrier and increasing the growth rate.
Author Contributions
Conceptualization, L.S. and X.-H.J.; methodology, L.S. and D.L.; software, L.S. and X.-H.J.; validation, D.L., Y.Y. and L.S.; formal analysis, D.L.; investigation, D.L.; resources, X.-H.J.; data curation, D.L.and Y.L.; writing—original draft preparation, D.L.; writing—review and editing, X.-H.J. and Y.Y.; visualization, D.L. and Y.L.; supervision, X.-H.J.; project administration, X.-H.J.; funding acquisition, L.S. All authors have read and agreed to the published version of the manuscript.
Funding
This research was funded by the National Natural Science Foundation of China (Grant No. 22408120) and the China Postdoctoral Science Foundation (2023M731685).
Data Availability Statement
The data will be made available on suitable request.
Conflicts of Interest
The authors declare no conflicts of interest.
References
- Hod, I.; Mastai, Y.; Medina, D.D. Effect of solvents on the growth morphology of DL-alanine crystals. CrystEngComm 2011, 13, 502–509. [Google Scholar] [CrossRef]
- Chernov, A.A. Modern Crystallography III: Crystal Growth; Springer Science & Business Media: Berlin/Heidelberg, Germany, 2012; Volume 36. [Google Scholar]
- Lahav, M.; Leiserowitz, L. The effect of solvent on crystal growth and morphology. Chem. Eng. Sci. 2001, 56, 2245–2253. [Google Scholar] [CrossRef]
- Ni, D.B.; Dang, P.Y.; Yu, G.Q.; Chu, E.Y. An initiator integrated the AI/MoO3 multilayer nanothermite and bridge-wire electrode plug. J. Phys. Conf. Ser. 2020, 1507, 042011. [Google Scholar] [CrossRef]
- Ma, P.; Zhang, L.; Zhu, S.-G.; Zhang, L.; Chen, H.-H. Ignition characteristics of semiconductor bridges with and without LTNR. Explos. Shock. Waves 2011, 31, 317–321. [Google Scholar]
- Li, J.; Tilbury, C.J.; Kim, S.H.; Doherty, M.F. A design aid for crystal growth engineering. Prog. Mater. Sci. 2016, 82, 1–38. [Google Scholar] [CrossRef]
- Song, L.; Chen, L.; Wang, J.; Chen, F.; Lan, G. Prediction of crystal morphology of 3,4-Dinitro-1H-pyrazole (DNP) in different solvents. J. Mol. Graph. Model. 2017, 75, 62–70. [Google Scholar] [CrossRef]
- Song, L.; Zhao, F.-Q.; Xu, S.-Y.; Ju, X.-H. Molecular modeling on morphology of 3,4-bis (3-nitrofurazan-4-yl) furoxan crystals in dichloroethane or benzene mixture solvents. J. Mol. Model. 2019, 25, 373. [Google Scholar] [CrossRef]
- Song, L.; Zhao, F.-Q.; Xu, S.-Y.; Ju, X.-H.; Ye, C.-C. Crystal morphology prediction and anisotropic Evolution of 1, 1-Diamino-2, 2-dinitroethylene (FOX-7) by Temperature Tuning. Sci. Rep. 2020, 10, 2317. [Google Scholar] [CrossRef]
- Cheng, Y.; She, C.; Qiao, M.; Jin, S.; Chen, S.; Li, L.; Chen, K. Molecular dynamics simulation on the crystal morphology of β-HMX affected by binary and ternary solvent systems. J. Cryst. Growth 2022, 598, 126874. [Google Scholar] [CrossRef]
- Hartman, P.; Bennema, P. The attachment energy as a habit controlling factor: I. Theoretical considerations. J. Cryst. Growth 1980, 49, 145–156. [Google Scholar] [CrossRef]
- Hartman, P. The attachment energy as a habit controlling factor II. Application to anthracene, tin tetraiodide and orthorhombic sulphur. J. Cryst. Growth 1980, 49, 157–165. [Google Scholar] [CrossRef]
- Winn, D.; Doherty, M.F. Predicting the shape of organic crystals grown from polar solvents. Chem. Eng. Sci. 2002, 57, 1805–1813. [Google Scholar] [CrossRef]
- Lu, J.; Ulrich, J. An improved prediction model of morphological modifications of organic crystals induced by additives. Cryst. Res. Technol. J. Exp. Ind. Crystallogr. 2003, 38, 63–73. [Google Scholar] [CrossRef]
- Berkovitch-Yellin, Z. Toward an ab initio derivation of crystal morphology. J. Am. Chem. Soc. 1985, 107, 8239–8253. [Google Scholar] [CrossRef]
- Deij, M.; Meekes, H.; Vlieg, E. The step energy as a habit controlling factor: Application to the morphology prediction of aspartame, venlafaxine, and a yellow isoxazolone dye. Cryst. Growth Des. 2007, 7, 1949–1957. [Google Scholar] [CrossRef]
- Seo, B.; Kim, S.; Lee, M.; Kim, T.; Kim, H.-S.; Lee, W.B.; Lee, Y.-W. Prediction of the Crystal Morphology of β-HMX using a Generalized Interfacial Structure Analysis Model. Cryst. Growth Des. 2018, 18, 2349–2357. [Google Scholar] [CrossRef]
- Maiti, A.; Gee, R.H. Modeling growth, surface kinetics, and morphology evolution in PETN. Propellants Explos. Pyrotech. Int. J. Deal. Sci. Technol. Asp. Energetic Mater. 2009, 34, 489–497. [Google Scholar] [CrossRef]
- Shim, H.-M.; Koo, K.-K. Prediction of Growth Habit of β-Cyclotetramethylene-tetranitramine Crystals by the First-Principles Models. Cryst. Growth Des. 2015, 15, 3983–3991. [Google Scholar] [CrossRef]
- Friedel, G. Etudes sur la loi de Bravais. Bull. Minéral. 1907, 30, 326–455. [Google Scholar] [CrossRef]
- Chen, F.; Zhou, T.; Li, L.; An, C.; Li, J.; Cao, D.; Wang, J. Morphology prediction of dihydroxylammonium 5,50-bistetrazole-1,10-diolate (TKX-50) crystal in different solvent systems using modified attachment energy model. Chin. J. Chem. Eng. 2023, 53, 181–193. [Google Scholar] [CrossRef]
- Liu, G.; Wang, H.; Yang, X.; Su, G.; Wei, H.; Dang, L. Insight on Crystal Morphology of ε-CL-20 in Binary Green Solvents: From Molecular Simulations to Experiments. Ind. Eng. Chem. Res. 2025, 64, 1762–1773. [Google Scholar] [CrossRef]
- Mao, J.-S.; Wang, B.-G.; He, J.-C.; Yang, C.-S.; Fu, J.-B.; Chen, Y.-F. Prediction of morphology of CL-20/TFAZ cocrystal crystals in binary solvents based on modified attachment energy model. J. Cryst. Growth 2024, 637, 127718. [Google Scholar] [CrossRef]
- Zhao, L.; Li, J.; He, J.; Luo, P.; Shi, L.; Zhou, J.; Pang, A. A study of Solvent and Antisolvent Influence on the Crystal Morphology of ε-CL-20 by a Modified Attachment Energy Model. Propellants Explos. Pyrotech. 2020, 45, 1117–1124. [Google Scholar] [CrossRef]
- Zhao, Y.; Su, G.; Liu, G.; Wei, H.; Dang, L. Effect of modification of binary solvent molecules on ε-CL-20 crystal morphology: A molecular dynamics study. Crystengcomm 2021, 23, 3524–3536. [Google Scholar] [CrossRef]
- Lu, T.; Chen, F. Multiwfn: A multifunctional wavefunction analyzer. J. Comput. Chem. 2012, 33, 580–592. [Google Scholar] [CrossRef]
- Frisch, M.E.; Trucks, G.; Schlegel, H.; Scuseria, G.; Robb, M.; Cheeseman, J.; Scalmani, G.; Barone, V.; Mennucci, B.; Petersson, G. Gaussian 09, Revision B.01; Gaussian, Inc.: Wallingford, CT, USA,, 2009. [Google Scholar]
- Ghule, V.D.; Radhakrishnan, S.; Jadhav, P.M. Computational studies on tetrazole derivatives as potential high energy materials. Struct. Chem. 2011, 22, 775–782. [Google Scholar] [CrossRef]
- Ghule, V.D.; Srinivas, D.; Sarangapani, R.; Jadhav, P.M.; Tewari, S.P. Molecular design of aminopolynitroazole-based high-energy materials. J. Mol. Model. 2012, 18, 3013–3020. [Google Scholar] [CrossRef]
- Yan, X.; Wang, N.; Ji, X.; Feng, Y.; Li, J.; Wang, T.; Huang, X.; Hao, H. The Effect of Solvents on the Crystal Morphology of Pyriproxyfen. Crystals 2023, 13, 195. [Google Scholar] [CrossRef]
- Gao, Y.; Song, W.; Yang, J.; Ji, X.; Wang, N.; Huang, X.; Wang, T.; Hao, H. Crystal Morphology Prediction Models and Regulating Methods. Crystals 2024, 14, 484. [Google Scholar] [CrossRef]
- Li, P.; Zhang, G.; Zhou, Z.; Sun, Y.; Wang, Y.; Yang, Y.; Zhang, X. The Effect of Solvents on the Crystal Morphology of Isosorbide Mononitrate and Its Molecular Mechanisms. Molecules 2024, 29, 367. [Google Scholar] [CrossRef]
- Zhou, X.; Chen, C.; Zhu, P.; Zhao, S.; Shi, J.; Yan, F.; Shen, R.; Xia, H. Microreaction system combining chaotic micromixing with fast mixing and particle growth in liquid-segmented flow for the synthesis of hazardous ionic materials. Energetic Mater. Front. 2020, 1, 186–194. [Google Scholar] [CrossRef]
- Liu, N.; Zhou, C.; Wu, Z.; Lu, X.; Wang, B.; Wang, W. Theoretical study on crystal morphologies of 1,1-diamino-2,2-dinitroethene in solvents: Modified attachment energy model and occupancy model. J. Mol. Graph. Model. 2018, 85, 262–269. [Google Scholar] [CrossRef]
- Han, G.; Li, Q.-F.; Gou, R.-J.; Zhang, S.-H.; Ren, F.-D.; Wang, L.; Guan, R. Growth morphology of CL-20/HMX cocrystal explosive: Insights from solvent behavior under different temperatures. J. Mol. Model. 2017, 23, 360. [Google Scholar] [CrossRef]
- Xue, S.; Xu, J.; Han, Y.; Zhang, J.; Li, W. Solvent–Antisolvent Competitive Interactions Mediate Imidacloprid Polymorphs in Antisolvent Crystallization. Cryst. Growth Des. 2021, 21, 4318–4328. [Google Scholar] [CrossRef]
- Chen, F.; Zhou, T.; Li, J.; Wang, X.; Cao, D.; Wang, J.; Yang, Z. Crystal morphology of dihydroxylammonium 5,5′-bistetrazole-1,1′-diolate (TKX-50) under solvents system with different polarity using molecular dynamics. Comput. Mater. Sci. 2019, 168, 48–57. [Google Scholar] [CrossRef]
- Chen, G.; Chen, C.; Xia, M.; Lei, W.; Wang, F.; Gong, X. A study of the solvent effect on the crystal morphology of hexogen by means of molecular dynamics simulations. RSC Adv. 2015, 5, 25581–25589. [Google Scholar] [CrossRef]
Disclaimer/Publisher’s Note: The statements, opinions and data contained in all publications are solely those of the individual author(s) and contributor(s) and not of MDPI and/or the editor(s). MDPI and/or the editor(s) disclaim responsibility for any injury to people or property resulting from any ideas, methods, instructions or products referred to in the content. |
© 2025 by the authors. Licensee MDPI, Basel, Switzerland. This article is an open access article distributed under the terms and conditions of the Creative Commons Attribution (CC BY) license (https://creativecommons.org/licenses/by/4.0/).



















