Molecular Iodine-Catalyzed Synthesis of 3,3-Disubstituted Isatins: Total Synthesis of Indole Alkaloid, 3,3-Dimethoxy-2-oxindole
Abstract
1. Introduction
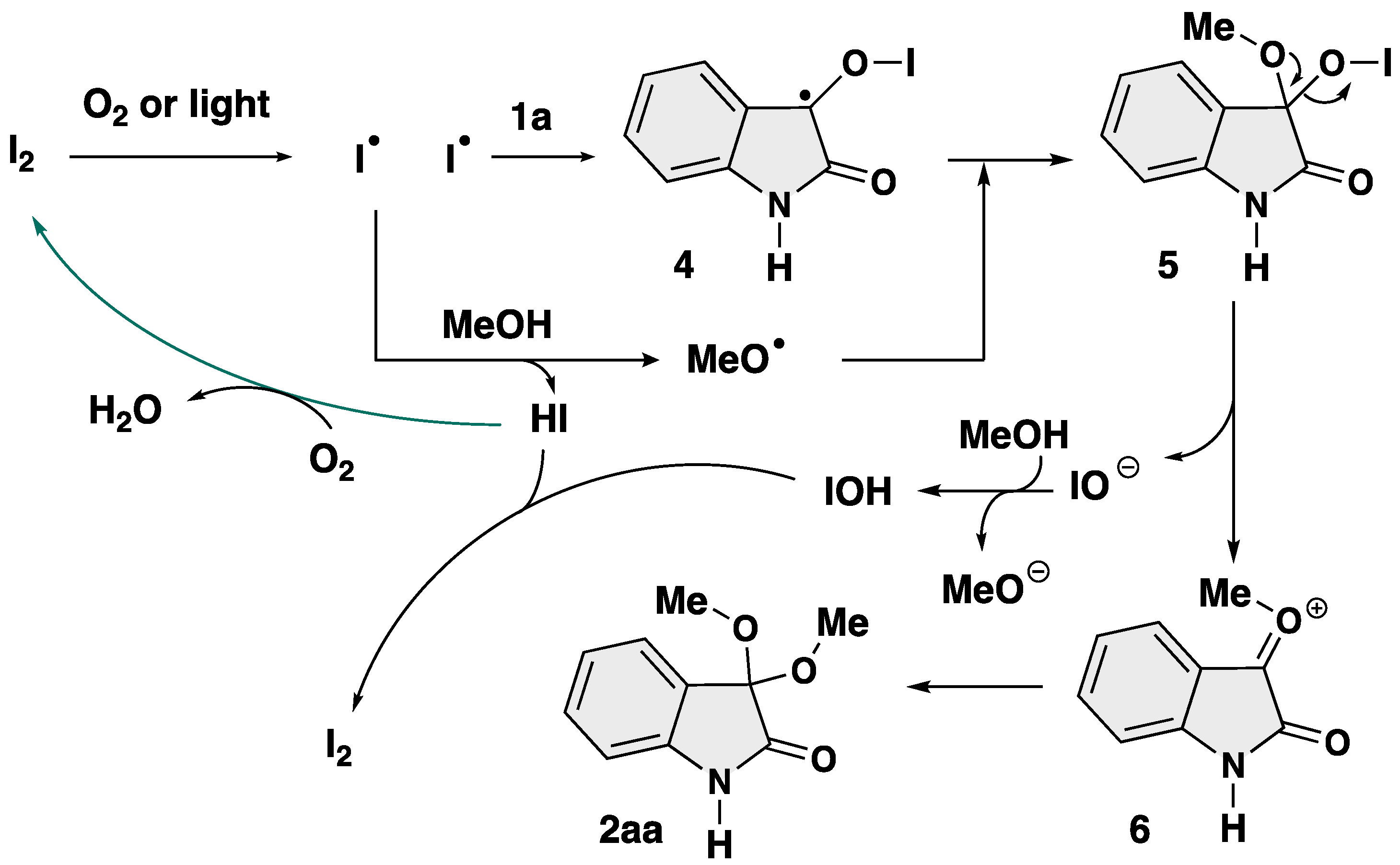
2. Results and Discussion
3. Conclusions
4. Materials and Methods
4.1. Synthesis of N-Substituted Isatins (1) [69,70]
4.2. General Procedure for the Synthesis of 3,3-Dialcohoxyindolin-2-one (2)


4.3. Substrate Scope of Isatins and Alcohol (Scheme 3 and Scheme 4)
4.3.1. Synthesis of 3,3-Dimethoxyindolin-2-one (2aa) [17]

4.3.2. Synthesis of 3,3-Dimethoxy-1-methylindolin-2-one (2ba) [71]

4.3.3. Synthesis of 1-Benzyl-3,3-dimethoxyindolin-2-one (2da) [13]

4.3.4. Synthesis of 3,3-Dimethoxy-5-methylindolin-2-one (2ea)

4.3.5. Synthesis of 3,3-Dimethoxy-5-methoxylindolin-2-one (2fa)

4.3.6. Synthesis of 5-Chloro-3,3-dimethoxyindolin-2-one (2ga) [72]

4.3.7. Synthesis of 5-Bromo-3,3-dimethoxyindolin-2-one (2ha)

4.3.8. Synthesis of 5-Nitro-3,3-dimethoxyindolin-2-one (2ia)

4.3.9. Synthesis of 4-Chloro-3,3-dimethoxyindolin-2-one (2ja)

4.3.10. Synthesis of 6-Chloro-3,3-dimethoxyindolin-2-one (2ka)

4.3.11. Synthesis of 7-Chloro-3,3-dimethoxyindolin-2-one (2la)

4.3.12. Synthesis of 3,3-Diethoxyindolin-2-one (2ab) [17]

4.3.13. Synthesis of 3,3-Dipropoxyindolin-2-one (2ac) [73]

4.3.14. Synthesis of 3,3-Dibutoxyindolin-2-one (2ae)

4.3.15. Synthesis of 3,3-Bis(isopentyloxy)indolin-2-one (2ag)

4.4. Substrate Scope of Diol, Aminoalcohol, and Diamine (Scheme 4)
4.4.1. Synthesis of Spiro[1,3-dioxolane-2,3′-indolin]-2′-one (2ah) [17]

4.4.2. Synthesis of 4′-Methylspiro[indoline-3,2′-[1,3]dioxolan]-2-one (2ai) (dr = 62:38)

4.4.3. Synthesis of 4′-Phenylspiro[indoline-3,2′-[1,3]dioxolan]-2-one (2aj) (dr = 61:39)

4.4.4. Synthesis of Spiro[1,3-dioxane-2,3′-indolin]-2′-one (2ak) [30]

4.4.5. Synthesis of Spiro[1,3-dioxepene-2,3′-indolin]-2′-one (2al)

4.4.6. Synthesis of 3′-Methylspiro[indoline-3,2′-oxazolidin]-2-one (2am)

4.4.7. Synthesis of 1,3-Dimethylspiro[imidazolidine-2,3′-indolin]-2′-one (2an) [74]

4.5. Substrate Scope of Aromatic Compounds (Scheme 5)
4.5.1. Synthesis of 3,3-Bis(4-hydroxyphenyl)indolin-2-one (2ao) [55]

4.5.2. Synthesis of 3,3-Bis(2,4-dimethoxyphenyl)indolin-2-one (2ap) [55]

4.5.3. Synthesis of 3,3-Bis(4-aminophenyl)indolin-2-one (2aq)

4.5.4. Synthesis of 3,3-Bis(4-(methylamino)phenyl)indolin-2-one (2ar) [55]

4.5.5. Synthesis of 3,3-Bis[1H-indolin-5-yl]indolin-2-one (2as)

4.5.6. Synthesis of 3,3-Bis[1H-indol-3-yl]indolin-2-one (2at) [55]

4.6. Gram Scale Synthesis of 3,3-Dimethoxyisatin (Scheme 6)

Supplementary Materials
Author Contributions
Funding
Institutional Review Board Statement
Informed Consent Statement
Data Availability Statement
Conflicts of Interest
References
- Jao, C.-W.; Hung, T.-H.; Chang, C.-F.; Chuang, T.-H. Chemical Constituents of Phaius mishmensis. Molecules 2016, 21, 1605. [Google Scholar] [CrossRef] [PubMed]
- Wuts, P.G.M.; Michigan, K. Protection for the Carbonyl Group. Greene’s Protective Groups in Organic Synthesis, 5th ed.; Academic Press: New York, NY, USA, 2014; pp. 554–558. [Google Scholar]
- Rajopadhye, M.; Popp, F.D. Potential Anticonvulsants. 11. Synthesis and Anticonvulsant Activity of Spiro[1,3-dioxolane-2,3′-indolin]-2′-ones and Structural Analogues. J. Med. Chem. 1988, 31, 1001–1005. [Google Scholar] [CrossRef] [PubMed]
- Zapata-Sudo, G.; Pontes, L.B.; Gabriel, D.; Mendes, T.C.F.; Ribeiro, N.M.; Pinto, A.C.; Trachez, M.M.; Sudo, R.T. Sedative-hypnotic profile of novel isatin ketals. Pharmacol. Biochem. Behav. 2007, 86, 678–685. [Google Scholar] [CrossRef] [PubMed]
- Geronikaki, A.; Babaev, E.; Dearden, J.; Dehaen, W.; Filimonov, D.; Galaeva, I.; Krajneva, V.; Lagunin, A.; Macaev, F.; Molodavkin, G.; et al. Design, synthesis, computational and biological evaluation of new anxiolytics. Bioorg. Med. Chem. 2004, 12, 6559–6568. [Google Scholar] [CrossRef]
- Marques, C.S.; González-Bakkker, A.; Padrón, J.M.; Burke, A.J. Easy access to Ugi-derived isatin-peptoids and their potential as small-molecule anticancer reagents. New J. Chem. 2023, 47, 743–750. [Google Scholar] [CrossRef]
- Dung, D.T.M.; Dung, P.T.P.; Oanh, D.T.K.; Vu, T.K.; Hahn, H.; Han, B.W.; Pyo, M.; Kim, Y.G.; Han, S.-B.; Nam, N.-H. Exploration of novel 5′(7′)-substituted-2′-oxospiro[1,3]dioxolane-2,3′-indoline-based N-hydroxypropenamides as histone deacetylase inhibitors and antitumor agents. Arab. J. Chem. 2017, 10, 465–472. [Google Scholar] [CrossRef]
- Marques, C.S.; López, O.; Leitzbach, L.; Fernández-Bolaños, J.G.; Stark, H.; Burke, A.J. Survey of New, Small-Molecule Isatin-Based Oxindole Hybrids as Multi-Targeted Drugs for the Treatment of Alzheimer’s Disease. Synthesis 2022, 54, 4304–4319. [Google Scholar] [CrossRef]
- Singh, G.S.; Desta, Z.Y. Isatins As Privileged Molecules in Design and Synthesis of Spiro-Fused Cyclic Frameworks. Chem. Rev. 2012, 112, 6104–6155. [Google Scholar] [CrossRef]
- Pinder, J.L.; Weinreb, S.M. Preliminary feasibility studies on total synthesis of the unusual marine bryozoan alkaloids chartellamide A and B. Tetrahedron Lett. 2003, 44, 4141–4143. [Google Scholar] [CrossRef]
- Castaldi, M.P.; Troast, D.M.; Porco, J.A., Jr. Stereoselective Synthesis of Spirocyclic Oxindoles via Prins Cyclization. Org. Lett. 2009, 11, 3362–3365. [Google Scholar] [CrossRef]
- Zhang, Y.; Panek, J.S. Stereocontrolled Synthesis of Spirooxindoles through Lewis Acid-Promoted [5 + 2]-Annulation of Chiral Silyl Alcohols. Org. Lett. 2009, 11, 3366–3369. [Google Scholar] [CrossRef] [PubMed]
- Wang, J.; Crane, E.A.; Scheidt, K.A. Highly Stereoselective Brønsted Acid Catalyzed Synthesis of Spirooxindole Pyrans. Org. Lett. 2011, 13, 3086–3089. [Google Scholar] [CrossRef] [PubMed]
- Wenkert, E.; Hudlicky, T. Reactions of Isatin Dimethyl Ketal and Its Ethyl Imino Ether with Methyllithium. Synth. Commun. 1977, 7, 541–547. [Google Scholar] [CrossRef]
- Li, H.; Bonderoff, S.A.; Cheng, B.; Padwa, A. Model Studies Directed toward the Alkaloid Mersicarpine Utilizing a Rh(II)-Catalyzed Insertion/Cycloaddition Sequence. J. Org. Chem. 2014, 79, 392–400. [Google Scholar] [CrossRef]
- Marques, C.S.; González-Bakker, A.; Padrón, J.M. The Ugi4CR as effective tool to access promising anticancer isatin-based α-acetamide carboxamide oxindole hybrids. Beilstein J. Org. Chem. 2024, 20, 1213–1220. [Google Scholar] [CrossRef]
- Dou, X.; Yao, W.; Jiang, C.; Lu, Y. Enantioselective N-alkylation of isatins and synthesis of chiral N-alkylated indoles. Chem. Commun. 2014, 50, 11354–11357. [Google Scholar] [CrossRef]
- Marques, C.S.; McArdle, P.; Erxleben, A.; Burke, A.J. Accessing New 5-a-(3,3-Disubstituted Oxindole)-Benzylamine Derivatives from Isatin: Stereoselective Organocatalytic Three Component Petasis Reaction. Eur. J. Org. Chem. 2020, 2020, 3622–3634. [Google Scholar] [CrossRef]
- Vine, K.L.; Locke, J.M.; Ranson, M.; Pyne, S.G.; Bremner, J.B. In vitro cytotoxicity evaluation of some substituted isatin derivatives. Bioorg. Med. Chem. 2007, 15, 931–938. [Google Scholar] [CrossRef]
- Dong, J.-L.; Yu, L.-S.-H.; Xie, J.-W. A Simple and Versatile Method for the Formation of Acetals/Ketals Using Trace Conventional Acids. ACS Omega 2018, 3, 4975–4984. [Google Scholar] [CrossRef]
- Azzena, U.; Carraro, M.; Corrias, M.; Crisafulli, R.; de Luca, L.; Gaspa, S.; Nuvoli, L.; Pintus, S.; Polese, R.; Sanna, M.; et al. Ammonium Salts Catalyzed Acetalization Reactions in Green Ethereal Solvents. Catalysts 2020, 10, 1108. [Google Scholar] [CrossRef]
- Banik, B.K.; Chapa, M.; Marquez, J.; Cardona, M. A remarkable iodine-catalyzed protection of carbonyl compounds. Tetrahedron Lett. 2005, 46, 2341–2343. [Google Scholar] [CrossRef]
- Khan, M.A.; Teixeira, I.F.; Li, M.J.; Koito, Y.; Tsang, S.C.E. Graphitic carbon nitride catalysed photoacetalization of aldehydes/ketones under ambient conditions. Chem. Commun. 2016, 52, 2772–2775. [Google Scholar] [CrossRef] [PubMed]
- Lee, B.W.; Jeong, K.; Seo, J.Y.; Baek, K.-Y. Facile Synthesis of Biomass-Derived Degradable Poly(ketal-ester) Elastomers Using Dual-Acidic Catalysts. ACS Appl. Polym. Mater. 2024, 6, 3507–3516. [Google Scholar] [CrossRef]
- Putro, W.S.; Iijima, S.; Matsumoto, S.; Hamura, S.; Yabushita, M.; Tomishige, K.; Fukaya, N.; Choi, J.-C. Sustainable synthesis of diethyl carbonate from carbon dioxide and ethanol featuring acetals as regenerable dehydrating agents. RSC Sustain. 2024, 2, 1613–1620. [Google Scholar] [CrossRef]
- Steuernagel, D.; Wagenknecht, H.-A. Photocatalytic Synthesis of Acetals and Ketals from Aldehydes and Silylenolethers without the use of Acids. Chem. Eur. J. 2023, 29, e202203767. [Google Scholar] [CrossRef]
- Alzard, R.H.; Alsaedi, S.; Alseiari, S.; Aljasmi, S.; El-Maghraby, H.F.; Poulose, V.; Hassan, A.; Kamel, M.; Ali, A.; Abdel-Hafiez, M.; et al. Heterogeneous Acetalization of Benzaldehyde over Lanthanoide Oxalate Metal-Organic Frameworks. ACS Omega 2024, 9, 37386–37395. [Google Scholar] [CrossRef]
- Webber, S.E.; Tikhe, J.; Worland, S.T.; Fuhrman, S.A.; Hendrickson, T.F.; Matthews, D.A.; Love, R.A.; Patick, A.K.; Meador, J.W.; Ferre, R.A.; et al. Design, Synthesis, and Evaluation of Nonpeptidic Inhibitors of Human Rhinovirus 3C Protease. Med. Chem. 1996, 39, 5072–5082. [Google Scholar] [CrossRef]
- Rigby, J.H.; Brouet, S.A. Metal-mediated reactions of aryl isocyanates with dimethoxycarbene to form isatin derivatives. Tetrahedron Lett. 2013, 54, 2542–2545. [Google Scholar] [CrossRef]
- Ribeiro, N.M.; da Chunha Pinto, A.; da Silva, B.V.; de Almeida Violante, F.; Dias, M.O. A fast, efficient and eco-friendly procedure to prepare isatin ketals. Cat. Commun. 2007, 8, 2130–2136. [Google Scholar] [CrossRef]
- Shimizu, K.; Higuchi, T.; Takasugi, E.; Hatamachi, T.; Kodama, T.; Satsuma, A. Characterization of Lewis acidity of cation-exchanged montmorillonite K-10 clay as effective heterogeneous catalyst for acetylation of alcohol. J. Mol. Catal. A Chem. 2008, 284, 89–96. [Google Scholar] [CrossRef]
- Lan, J.; Jiang, G.; Yang, J.; Zhu, H.; Le, Z.; Xie, Z. α-Chymotrypsin-Induced Acetalization of Aldehydes and Ketones with Alcohols. Synthesis 2020, 52, 2121–2126. [Google Scholar]
- Yusubov, M.S.; Zhdankin, V.V. Iodine catalysis: A green alternative to transition metals in organic chemistry and technology. Resour.-Effic. Technol. 2015, 1, 49–67. [Google Scholar] [CrossRef]
- Ren, Y.-M.; Cai, C.; Yang, R.-C. Molecular iodine-catalyzed multicomponent reactions: An efficient catalyst for organic synthesis. RSC Adv. 2013, 3, 7182–7204. [Google Scholar] [CrossRef]
- Jereb, M.; Vrazic, D.; Zupan, M. Iodine-catalyzed transformation of molecules containing oxygen functional groups. Tetrahedron 2011, 67, 1355–1387. [Google Scholar] [CrossRef]
- Finkbeiner, P.; Nachtsheim, B.J. Iodine in Modern Oxidation Catalysis. Synthesis 2013, 45, 979–999. [Google Scholar]
- Jadhav, P.M.; Rode, A.B.; Kótai, L.; Pawar, R.P.; Tekale, S.U. Revisiting applications of molecular iodine in organic synthesis. New J. Chem. 2021, 45, 16389–16425. [Google Scholar] [CrossRef]
- Wang, J.-Q.; Zuo, Z.-Y.; He, W. Recent Advances of Green Catalytic System I2/DMSO in C–C and C–Heteroatom Bonds Formation. Catalysts 2022, 12, 821. [Google Scholar] [CrossRef]
- Chander, M.; Ram, S.; Sharma, P.K. A review on Molecular Iodine Catalyzed/Mediated Multicomponent Reactions. Asian J. Org. Chem. 2023, 12, e202200616. [Google Scholar]
- Minakata, S.; Kano, D.; Oderaotoshi, Y.; Komatsu, M. Silica-Water Reaction Media: Its Application to the Formation and Ring Opening of Aziridines. Angew. Chem. Int. Ed. 2003, 43, 79–81. [Google Scholar] [CrossRef]
- Minakata, S.; Miwa, H.; Yamamoto, K.; Hirayama, A.; Okumura, S. Diastereodivergent Intramolecular 1,2-Diamination of Unactivated Alkenes Enabled by Iodine Catalysis. J. Am. Chem. Soc. 2021, 143, 4112–4118. [Google Scholar] [CrossRef]
- Kitamura, T.; Oyamada, J.; Higashi, M.; Kishikawa, Y. Molecular Iodine as a Catalyst for Alkene Difluorination. J. Org. Chem. 2024, 89, 5896–5900. [Google Scholar] [CrossRef] [PubMed]
- Yamashiro, T.; Yamada, K.; Yoshida, H.; Tomisaka, Y.; Nishi, T.; Abe, T. Silver-Mediated Intramolecular Friedel–Crafts-Type Cyclizations of 2-Benzyloxy-3-bromoindolines: Synthesis of Isochromeno[3,4-b]indolines and 3-Arylindoles. Synlett 2019, 30, 2247–2252. [Google Scholar] [CrossRef]
- Abe, T.; Kosaka, Y.; Asano, M.; Harasawa, N.; Mishina, A.; Nagasue, M.; Sugimoto, Y.; Katakawa, K.; Sueki, S.; Anada, M.; et al. Direct C4-Benzylation of Indoles via Tandem Benzyl Claisen/Cope Rearrangements. Org. Lett. 2019, 21, 826–829. [Google Scholar] [CrossRef]
- Yamashiro, T.; Abe, T.; Tanioka, M.; Kamino, S.; Sawada, D. cis-3-Azido-2-methoxyindolines as safe and stable precursors to overcome the instability of fleeting 3-azidoindoles. Chem. Commun. 2021, 57, 13381–13384. [Google Scholar] [CrossRef]
- Yamashiro, T.; Abe, T.; Sawada, D. Synthesis of 2-monosubstituted indolin-3-ones by cine-substitution of 3-azido-2-methoxyindolines. Org. Chem. Front. 2022, 9, 1897–1903. [Google Scholar] [CrossRef]
- Abe, T.; Kosaka, Y.; Kawasaki, T.; Ohata, Y.; Yamashiro, T.; Yamada, K. Revisiting 2-Alkoxy-3-bromoindolines: Control C-2 vs. C-3 Elimination for Regioselective Synthesis of Alkoxyindoles. Chem. Pharm. Bull. 2020, 68, 555–558. [Google Scholar] [CrossRef]
- Sugitate, K.; Yamashiro, T.; Takahashi, I.; Yamada, K.; Abe, T. Oxytrofalcatin Puzzle: Total Synthesis and Structural Revision of Oxytrofalcatins B and C. J. Org. Chem. 2023, 88, 9920–9926. [Google Scholar] [CrossRef]
- Kimata, M.; Abe, T. Total Synthesis of the Proposed Structure of Indolyl 1,2-Propanediol Alkaloids, 1-(1H-Indol-3-yloxy)propan-2-ol. Chemistry 2023, 5, 2772–2784. [Google Scholar] [CrossRef]
- Hirao, S.; Yamashiro, T.; Kohira, K.; Mishima, N.; Abe, T. 2,3-Dimethoxyindolines: A latent electrophile for SNAr reactions triggered by indium catalysts. Chem. Commun. 2020, 56, 5139–5142. [Google Scholar] [CrossRef]
- Tokushige, K.; Yamashiro, T.; Hirao, S.; Abe, T. Aluminum-Catalyzed Cross Selective C3–N1’ Coupling Reactions of N-Methoxyindoles with Indoles. Chemistry 2023, 5, 452–462. [Google Scholar] [CrossRef]
- Abe, T.; Hirao, S. Rapid access to indole-fused bicyclo[2.2.2]octanones by merging the umpolung strategy and molecular iodine as a green catalyst. Org. Biomol. Chem. 2020, 18, 4193–4197. [Google Scholar] [CrossRef] [PubMed]
- Pitzer, L.; Schäfers, F.; Glorius, F. Rapid Assessment of the Reaction-Condition-Based Sensitivity of Chemical Transformations. Angew. Chem. Int. Ed. 2019, 58, 8572–8576. [Google Scholar] [CrossRef] [PubMed]
- Wu, P.-L.; Hsu, Y.-L.; Jao, C.-W. Indole Alkaloids from Cephalanceropsis gracilis. J. Nat. Prod. 2006, 69, 1467–1470. [Google Scholar] [CrossRef] [PubMed]
- Khan, J.; Tyagi, A.; Yadav, N.; Mahato, R.; Hazra, C.K. Lambert Salt-Initiated Development of Friedel–Crafts Reaction on Isatin to Access Distinct Derivatives of Oxindoles. J. Org. Chem. 2021, 86, 17833–17847. [Google Scholar] [CrossRef]
- Garrido, F.; Ibanez, J.; Gonalons, E.; Giraldez, A. Synthesis and laxative properties of some derivative esters of 3,3-bis-(4-hydroxyphenyl)-2-indolinone. Eur. J. Med. Chem. 1975, 10, 143–146. [Google Scholar] [CrossRef]
- Song, H.M.; Lee, H.J.; Kim, H.R.; Ryu, K.; Kim, J.N. Friedel–Crafts Type Reactions of Some Activated Cyclic Ketones with Phenol Derivatives. Synth. Commun. 1999, 29, 3303–3311. [Google Scholar] [CrossRef]
- Paira, P.; Hazra, A.; Kumar, S.; Paira, R.; Sahu, K.B.; Naskar, S.; Saha, P.; Mondal, S.; Maity, A.; Banerjee, S.; et al. Efficient synthesis of 3,3-diheteroaromatic oxindole analogues and their in vitro evaluationsfor spermicidal potential. Bioorg. Med. Chem. Lett. 2009, 19, 4786–4789. [Google Scholar] [CrossRef]
- Uddin, M.K.; Reignier, S.G.; Coulter, T.; Montalbetti, C.; Grånäs, C.; Butcher, S.; Krog-Jensen, C.; Felding, J. Syntheses and antiproliferative evaluation of oxyphenisatin derivatives. Bioorg. Med. Chem. Lett. 2007, 17, 2854–2857. [Google Scholar] [CrossRef]
- Karu, S.K.; Pilli, N.; Malapaka, C. An Efficient Multi-Component Double Friedel–Crafts Alkylation of Isatin: Access to Unsymmetrical and Symmetrical 3,3-Diaryl oxindoles. ChestrySelects 2024, 9, e202403328. [Google Scholar] [CrossRef]
- Kobayashi, M.; Aoki, S.; Gato, K.; Matsunami, K.; Kurosu, M.; Kitagawa, I. Marine Natural Products. XXXIV. Trisindoline, a New Antibiotic Indole Trimer, produced by a Bacterium of Vibrio sp. Separated from the Marine Sponge Hyrtios altum. Chem. Pharm. Bull. 1994, 12, 2449–2451. [Google Scholar] [CrossRef]
- Abe, T.; Nakamura, S.; Yanada, R.; Choshi, T.; Hibino, S.; Ishikura, M. One-Pot Construction of 3,3′-Bisindolylmethanes through Bartoli Indole Synthesis. Org. Lett. 2013, 15, 3622–3625. [Google Scholar] [CrossRef] [PubMed]
- Reddy, B.V.S.; Rajeswari, N.; Sarangapani, M.; Prashanthi, Y.; Ganji, R.J. Iodine-catalyzed condensation of isatin with indoles: A facile synthesis of di(indolyl)indolin-2-ones and evaluation of their cytotoxicity. Bioorg. Med. Chem. Lett. 2012, 22, 2460–2463. [Google Scholar] [CrossRef] [PubMed]
- Duhamel, T.; Stein, C.J.; Martínez, C.; Reiher, M.; Muñiz, K. Engineering Molecular Iodine Catalysis for AlkylNitrogen Bond Formation. ACS Catal. 2018, 8, 3918–3925. [Google Scholar] [CrossRef]
- Lu, Y.; Chen, C.; Zhu, H.; Luo, Z.; Zhang, Y. Highly efficient and fast synthesis of di-iodinated succinimide derivatives from 1,6-enyne and I2 under air at room temperature. Green Chem. 2022, 24, 8021–8028. [Google Scholar] [CrossRef]
- Meng, Z.; Shi, M.; Wie, Y. Iodine radical mediated cascade [3 + 2] carbocyclization of ene-vinylidecyclopropanes with thiols and selenols via photoredox catalysis. Org. Chem. Front. 2024, 11, 1395–1403. [Google Scholar] [CrossRef]
- Huang, H.-Y.; Wu, H.-R.; Wei, F.; Wang, D.; Liu, L. Iodine-Catalyzed Direct Olefination of 2-Oxindoles and Alkenes via Cross-Dehydrogenative Coupling (CDC) in Air. Org. Lett. 2015, 17, 3702–3705. [Google Scholar] [CrossRef]
- Huang, H.-M.; Li, Y.-J.; Ye, Q.; Han, L.; Jia, J.-H.; Gao, J.-R. Iodine-Catalyzed 1,3-Dipolar Cycloaddition/Oxidation/Aromatization Cascade with Hydrogen Peroxide as the Terminal Oxidant: General Route to Pyrrolo[2,1-a]isoquinolines. J. Org. Chem. 2014, 79, 1084–1092. [Google Scholar] [CrossRef]
- Sohail, M.; Tanaka, F. Dynamic Kinetic Asymmetric Transformation of Racemic Diastereomers: Diastereo-and Enantioconvergent Michael-Henry Reactions to Afford Spirooxindoles Bearing Furan-Fused Rings. Angew. Chem. Int. Ed. 2021, 60, 21256–21260. [Google Scholar] [CrossRef]
- Wee, X.K.; Yeo, W.K.; Zhang, B.; Tan, V.B.C.; Lim, K.M.; Tay, T.E.; Go, M.-L. Synthesis and evaluation of functionalized isoindigos as antiproliferative agents. Bioorg. Med. Chem. 2009, 17, 7562–7571. [Google Scholar] [CrossRef]
- Muschalek, B.; Weidner, I.; Butenschön, H.J. Synthesis of tricarbonyl (N-methylisatin) chromium (0) and an unanticipated transformation of a N-MEM to a N-MOM group. Organomet. Chem. 2007, 692, 2415–2424. [Google Scholar] [CrossRef]
- Hans, R.H.; Gut, J.; Rosenthal, P.J.; Chibale, K. Comparison of the antiplasmodial and falcipain-2 inhibitory activity of β-amino alcohol thiolactone-chalcone and isatin-chalcone hybrids. Bioorg. Med. Chem. Lett. 2010, 20, 2234–2237. [Google Scholar] [CrossRef] [PubMed]
- Mohanta, N.; Chaudhari, M.B.; Digrawal, N.K.; Gnanaprakasam, B. Rapid and Multigram Synthesis of Vinylogous Esters under Continuous Flow: An Access to Transetherification and Reverse Reaction of Vinylogous Esters. Org. Pross. Res. Dev. 2019, 23, 1034–1045. [Google Scholar] [CrossRef]
- Bergman, J.; Stålhandske, C.; Vallberg, H. Studies of the reaction between indole-2,3-diones (isatins) and secondary aliphatic amines. Acta Chem. Scand. 1997, 51, 753–759. [Google Scholar] [CrossRef]









![]() | |||||
|---|---|---|---|---|---|
| Run a | Catalyst (mol %) | Additive | Temp. (°C) | Time (h) | Yield (%) of 2aa b |
| 1 | PhI(OAc)2 (10) | --- | 60 | 24 | trace |
| 2 | PhI(OCOCF3)2 (10) | --- | 60 | 24 | 52 |
| 3 | KI (10) | --- | 60 | 24 | 0 |
| 4 | KIO3 (10) | --- | 60 | 24 | 0 |
| 5 | TBAI (10) | --- | 60 | 24 | 0 |
| 6 | I2 (10) | --- | 60 | 24 | 84 |
| 7 | CuI (10) | --- | 60 | 24 | 0 |
| 8 | ZnI2 (10) | --- | 60 | 24 | 0 |
| 9 | I2 (5) | --- | reflux | 24 | 68 |
| 10 | I2 (10) | --- | reflux | 24 | 81 |
| 11 | I2 (50) | --- | 60 | 24 | 80 |
| 12 | I2 (50) | MgSO4 | 60 | 24 | 63 |
| 13 | I2 (50) | Na2SO4 | 60 | 24 | 75 |
| 14 c | I2 (10) | --- | 60 | 24 | 83 |
| 15 d | I2 (50) | --- | 60 | 24 | 54 |
| 16 d | I2 (10) | --- | 60 | 24 | 53 |
| 17 e | I2 (10) | --- | 60 | 24 | 65 |
| 18 f | I2 (10) | --- | 60 | 24 | 42 |
| 19 | I2 (10) | --- | 60 | 12 | 60 |
| 20 | I2 (10) | --- | rt | 24 | 21 |
| 21 | I2 (10) | --- | 0 | 24 | 0 |
| 22 g | I2 (10) | --- | 60 | 24 | 68 |
| 23 h | I2 (10) | --- | 60 | 24 | 17 |
| 24 | --- | --- | 60 | 24 | nr |
Disclaimer/Publisher’s Note: The statements, opinions and data contained in all publications are solely those of the individual author(s) and contributor(s) and not of MDPI and/or the editor(s). MDPI and/or the editor(s) disclaim responsibility for any injury to people or property resulting from any ideas, methods, instructions or products referred to in the content. |
© 2025 by the authors. Licensee MDPI, Basel, Switzerland. This article is an open access article distributed under the terms and conditions of the Creative Commons Attribution (CC BY) license (https://creativecommons.org/licenses/by/4.0/).
Share and Cite
Tokushige, K.; Asai, S.; Abe, T. Molecular Iodine-Catalyzed Synthesis of 3,3-Disubstituted Isatins: Total Synthesis of Indole Alkaloid, 3,3-Dimethoxy-2-oxindole. Chemistry 2025, 7, 43. https://doi.org/10.3390/chemistry7020043
Tokushige K, Asai S, Abe T. Molecular Iodine-Catalyzed Synthesis of 3,3-Disubstituted Isatins: Total Synthesis of Indole Alkaloid, 3,3-Dimethoxy-2-oxindole. Chemistry. 2025; 7(2):43. https://doi.org/10.3390/chemistry7020043
Chicago/Turabian StyleTokushige, Keisuke, Shota Asai, and Takumi Abe. 2025. "Molecular Iodine-Catalyzed Synthesis of 3,3-Disubstituted Isatins: Total Synthesis of Indole Alkaloid, 3,3-Dimethoxy-2-oxindole" Chemistry 7, no. 2: 43. https://doi.org/10.3390/chemistry7020043
APA StyleTokushige, K., Asai, S., & Abe, T. (2025). Molecular Iodine-Catalyzed Synthesis of 3,3-Disubstituted Isatins: Total Synthesis of Indole Alkaloid, 3,3-Dimethoxy-2-oxindole. Chemistry, 7(2), 43. https://doi.org/10.3390/chemistry7020043


