Synthesis, Structure, and Spectroscopic Properties of Luminescent Coordination Polymers Based on the 2,5-Dimethoxyterephthalate Linker
Abstract
1. Introduction
2. Materials and Methods
2.1. Synthesis of the Linker
2.2. Synthesis of Coordination Polymers/MOFs
2.3. Analytical Methods
2.4. X-ray Single-Crystal Structure Analysis
2.5. Further Software Programs
3. Results and Discussion
3.1. Synthesis and General Characterisation
3.2. Crystal Structures
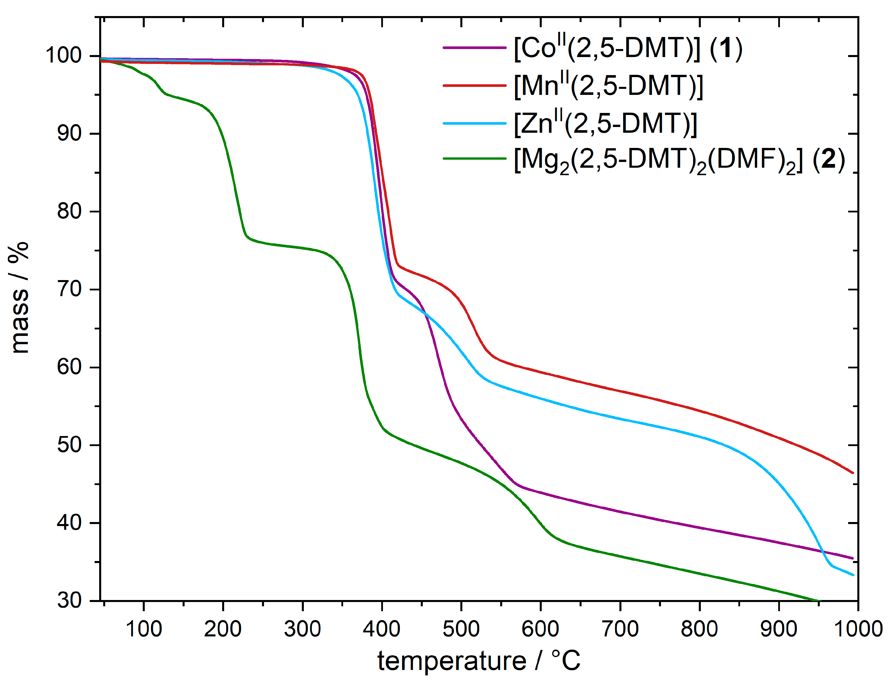
3.3. Thermogravimetric Analyses
3.4. Luminescence Properties
4. Conclusions
Supplementary Materials
Author Contributions
Funding
Data Availability Statement
Acknowledgments
Conflicts of Interest
References
- Li, H.; Eddaoudi, M.; O’Keeffe, M.; Yaghi, O.M. Design and synthesis of an exceptionally stable and highly porous metal-organic framework. Nature 1999, 402, 276–279. [Google Scholar] [CrossRef]
- Chui, S.S.Y.; Lo, S.M.F.; Charmant, J.P.H.; Orpen, A.G.; Williams, I.D. A Chemically Functionalizable Nanoporous Material [Cu3(TMA)2(H2O)3]n. Science 1999, 283, 1148–1150. [Google Scholar] [CrossRef] [PubMed]
- Moghadam, P.Z.; Li, A.; Wiggin, S.B.; Tao, A.; Maloney, A.G.P.; Wood, P.A.; Ward, S.C.; Fairen-Jimenez, D. Development of a Cambridge Structural Database Subset: A Collection of Metal–Organic Frameworks for Past, Present, and Future. Chem. Mater. 2017, 29, 2618–2625. [Google Scholar] [CrossRef]
- Groom, C.R.; Bruno, I.J.; Lightfoot, M.P.; Ward, S.C. The Cambridge Structural Database. Acta Crystallogr. 2016, B72, 171–179. [Google Scholar] [CrossRef] [PubMed]
- Batten, S.R.; Champness, N.R.; Chen, X.-M.; Garcia-Martinez, J.; Kitagawa, S.; Öhrström, L.; O’Keeffe, M.; Paik Suh, M.; Reedijk, J. Terminology of metal–organic frameworks and coordination polymers (IUPAC Recommendations 2013). Pure Appl. Chem. 2013, 85, 1715–1724. [Google Scholar] [CrossRef]
- Ma, S.; Zhou, H.-C. Gas storage in porous metal–organic frameworks for clean energy applications. Chem. Commun. 2010, 46, 44–53. [Google Scholar] [CrossRef]
- Lin, R.-B.; Xiang, S.; Xing, H.; Zhou, W.; Chen, B. Exploration of porous metal–organic frameworks for gas separation and purification. Coord. Chem. Rev. 2019, 378, 87–103. [Google Scholar] [CrossRef]
- Dhakshinamoorthy, A.; Asiri, A.M.; Garcia, H. Catalysis in Confined Spaces of Metal Organic Frameworks. ChemCatChem 2020, 12, 4732–4753. [Google Scholar] [CrossRef]
- Yang, J.; Wang, H.; Liu, J.; Ding, M.; Xie, X.; Yang, X.; Peng, Y.; Zhou, S.; Ouyang, R.; Miao, Y. Recent advances in nanosized metal organic frameworks for drug delivery and tumor therapy. RSC Adv. 2021, 11, 3241–3263. [Google Scholar] [CrossRef]
- Jin, J.; Xue, J.; Liu, Y.; Yang, G.; Wang, Y.-Y. Recent progresses in luminescent metal–organic frameworks (LMOFs) as sensors for the detection of anions and cations in aqueous solution. Dalton Trans. 2021, 50, 1950–1972. [Google Scholar] [CrossRef]
- Ye, Y.; Gong, L.; Xiang, S.; Zhang, Z.; Chen, B. Metal-Organic Frameworks as a Versatile Platform for Proton Conductors. Adv. Mater. 2020, 32, 1907090. [Google Scholar] [CrossRef] [PubMed]
- Sadakiyo, M.; Kitagawa, H. Ion-conductive metal–organic frameworks. Dalton Trans. 2021, 50, 5385–5397. [Google Scholar] [CrossRef] [PubMed]
- Heine, J.; Müller-Buschbaum, K. Engineering metal-based luminescence in coordination polymers and metal–organic frameworks. Chem. Soc. Rev. 2013, 42, 9232–9242. [Google Scholar] [CrossRef] [PubMed]
- Allendorf, M.D.; Bauer, C.A.; Bhakta, R.K.; Houk, R.J.T. Luminescent metal–organic frameworks. Chem. Soc. Rev. 2009, 38, 1330–1352. [Google Scholar] [CrossRef]
- Sobieray, M.; Gode, J.; Seidel, C.; Poß, M.; Feldmann, C.; Ruschewitz, U. Bright luminescence in lanthanide coordination polymers with tetrafluoroterephthalate as a bridging ligand. Dalton Trans. 2015, 44, 6249–6259. [Google Scholar] [CrossRef]
- Yang, H.; Zhang, H.-X.; Hou, D.-C.; Li, T.-H.; Zhang, J. Assembly between various molecular-building-blocks for network diversity of zinc–1,3,5-benzenetricarboxylate frameworks. CrystEngComm 2012, 14, 8684–8688. [Google Scholar] [CrossRef]
- Fang, Q.; Zhu, G.; Xue, M.; Sun, J.; Sun, F.; Qiu, S. Structure, Luminescence, and Adsorption Properties of Two Chiral Microporous Metal–Organic Frameworks. Inorg. Chem. 2006, 45, 3582–3587. [Google Scholar] [CrossRef]
- Schrimpf, W.; Jiang, J.; Ji, Z.; Hirschle, P.; Lamb, D.C.; Yaghi, O.M.; Wuttke, S. Chemical diversity in a metal–organic framework revealed by fluorescence lifetime imaging. Nat. Commun. 2018, 9, 1647. [Google Scholar] [CrossRef]
- Shimizu, M.; Shigitani, R.; Kinoshita, T.; Sakaguchi, H. (Poly)terephthalates with Efficient Blue Emission in the Solid State. Chem. Asian J. 2019, 14, 1792–1800. [Google Scholar] [CrossRef]
- Böhle, T.; Eissmann, F.; Weber, E.; Mertens, F.O.R.L. Poly[(μ4-2,5-dimethoxybenzene-1,4-dicarboxylato)manganese(II)] and its zinc(II) analogue: Three-dimensional coordination polymers containing unusually coordinated metal centres. Acta Crystallogr. 2011, C67, m5–m8. [Google Scholar] [CrossRef]
- Henke, S.; Schneemann, A.; Kapoor, S.; Winter, R.; Fischer, R.A. Zinc-1,4-benzenedicarboxylate-bipyridine frameworks—Linker functionalization impacts network topology during solvothermal synthesis. J. Mater. Chem. 2012, 22, 909–918. [Google Scholar] [CrossRef]
- Kim, D.; Ha, H.; Kim, Y.; Son, Y.; Choi, J.; Park, M.H.; Kim, Y.; Yoon, M.; Kim, H.; Kim, D.; et al. Experimental, Structural, and Computational Investigation of Mixed Metal–Organic Frameworks from Regioisomeric Ligands for Porosity Control. Cryst. Growth Des. 2020, 20, 5338–5345. [Google Scholar] [CrossRef]
- Böhle, T.; Eißmann, F.; Weber, E.; Mertens, F.O.R.L. A Three-Dimensional Coordination Polymer Based on Co(II) and 2,5-Dimethoxyterephthalate Featuring MOF-69 Topology. Struct. Chem. Commun. 2011, 2, 91–94. [Google Scholar]
- Guo, Z.; Reddy, M.V.; Goh, B.M.; San, A.K.P.; Bao, Q.; Loh, K.P. Electrochemical performance of graphene and copper oxide composites synthesized from a metal–organic framework (Cu-MOF). RSC Adv. 2013, 3, 19051–19056. [Google Scholar] [CrossRef]
- Li, Z.-J.; Ju, Y.; Lu, H.; Wu, X.; Yu, X.; Li, Y.; Wu, X.; Zhang, Z.-H.; Lin, J.; Qian, Y.; et al. Boosting the Iodine Adsorption and Radioresistance of Th-UiO-66 MOFs via Aromatic Substitution. Chem. Eur. J. 2020, 27, 1286–1291. [Google Scholar] [CrossRef]
- Cui, Y.; Xu, H.; Yue, Y.; Guo, Z.; Yu, J.; Chen, Z.; Gao, J.; Yang, Y.; Qian, G.; Chen, B. A Luminescent Mixed-Lanthanide Metal–Organic Framework Thermometer. J. Am. Chem. Soc. 2012, 134, 3979–3982. [Google Scholar] [CrossRef] [PubMed]
- Ha, H.; Hahm, H.; Jwa, D.G.; Yoo, K.; Park, M.H.; Yoon, M.; Kim, Y.; Kim, M. Flexibility in metal–organic frameworks derived from positional and electronic effects of functional groups. CrystEngComm 2017, 19, 5361–5368. [Google Scholar] [CrossRef]
- Win XPow, version 3.12 (12 February 2018); STOE & Cie GmbH: Darmstadt, Germany, 2018.
- Gnuplot, version 4.6, Various Authors; 2014. Available online: http://www.gnuplot.info/ (accessed on 30 March 2023).
- SAINT, version 8.40B; Bruker AXS Inc.: Madison, WI, USA, 2016.
- Sheldrick, G.M. SADABS; University of Göttingen: Göttingen, Germany, 1996. [Google Scholar]
- Krause, L.; Herbst-Irmer, R.; Sheldrick, G.M.; Stalke, D. Comparison of silver and molybdenum microfocus X-ray sources for single-crystal structure determination. J. Appl. Crystallogr. 2015, 48, 3–10. [Google Scholar] [CrossRef]
- APEX4, version 2022.1-1; Bruker AXS Inc.: Madison, WI, USA, 2022.
- Sheldrick, G.M. SHELXT—Integrated space-group and crystal-structure determination. Acta Crystallogr. A 2015, 71, 3–8. [Google Scholar] [CrossRef]
- Sheldrick, G.M. A short history of SHELX. Acta Crystallogr. A 2008, 64, 112–122. [Google Scholar] [CrossRef]
- Brandenburg, K. Diamond, version 4.6.8; Crystal Impact GbR: Bonn, Germany, 2022. [Google Scholar]
- OriginPro, version 2022; OriginLab Corporation: Northhampton, MA, USA, 2022.
- ChemDraw Professional 15.0 (RRID:SCR_016768). Available online: https://perkinelmerinformatics.com/products/research/chemdraw (accessed on 30 March 2023).
- Shannon, R.D. Revised effective ionic radii and systematic studies of interatomic distances in halides and chalcogenides. Acta Crystallogr. 1976, A32, 751–767. [Google Scholar] [CrossRef]
- Casanova, D.; Cirera, J.; Llunell, M.; Alemany, P.; Avnir, D.; Alvarez, S. Minimal Distortion Pathways in Polyhedral Rearrangements. J. Am. Chem. Soc. 2004, 126, 1755–1763. [Google Scholar] [CrossRef] [PubMed]
- Kurmoo, M.; Kumagai, H.; Green, M.A.; Lovett, B.W.; Blundell, S.J.; Ardavan, A.; Singleton, J. Two Modifications of Layered Cobaltous Terephthalate: Crystal Structures and Magnetic Properties. J. Solid State Chem. 2001, 159, 343–351. [Google Scholar] [CrossRef]
- Liu, D.; Liu, Y.; Xu, G.; Li, G.; Yu, Y.; Wang, C. Two 3D Supramolecular Isomeric Mixed-Ligand CoII Frameworks—Guest-Induced Structural Variation, Magnetism, and Selective Gas Adsorption. Eur. J. Inorg. Chem. 2012, 28, 4413–4417. [Google Scholar] [CrossRef]
- Yang, H.; Trieu, T.X.; Zhao, X.; Wang, Y.; Wang, Y.; Feng, P.; Bu, X. Lock-and-Key and Shape-Memory Effects in an Unconventional Synthetic Path to Magnesium Metal–Organic Frameworks. Angew. Chem. Int. Ed. 2019, 58, 11757–11762. [Google Scholar] [CrossRef]
- Zhai, Q.-G.; Bu, X.; Mao, C.; Zhao, X.; Daemen, L.; Cheng, Y.; Ramirez-Cuesta, A.J.; Feng, P. An ultra-tunable platform for molecular engineering of high-performance crystalline porous materials. Nat. Commun. 2016, 7, 13645–13654. [Google Scholar] [CrossRef]
- Spek, A.L. Single-crystal structure validation with the program PLATON. J. Appl. Crystallogr. 2003, 36, 7–13. [Google Scholar] [CrossRef]
- Lustig, W.P.; Mukherjee, S.; Rudd, N.D.; Desai, A.V.; Li, J.; Ghosh, S.K. Metal–organic frameworks: Functional luminescent and photonic materials for sensing applications. Chem. Soc. Rev. 2017, 46, 3242–3285. [Google Scholar] [CrossRef] [PubMed]
- Morad, V.; Cherniukh, I.; Pöttschacher, L.; Shynkarenko, Y.; Yakunin, S.; Kovalenko, M.V. Manganese(II) in Tetrahedral Halide Environment: Factors Governing Bright Green Luminescence. Chem. Mater. 2019, 31, 10161–10169. [Google Scholar] [CrossRef] [PubMed]
- Artem’ev, A.V.; Davydova, M.P.; Berezin, A.S.; Brel, V.K.; Morgalyuk, V.P.; Bagryanskaya, I.Y.; Samsonenko, D.G. Luminescence of the Mn2+ ion in non-Oh and Td coordination environments: The missing case of square pyramid. Dalton Trans. 2019, 48, 16448–16456. [Google Scholar] [CrossRef]






| CoII(2,5-DMT) (1) | MnII(2,5-DMT) | ZnII(2,5-DMT) | Mg2(2,5-DMT)2(DMF)2 (2) | |
|---|---|---|---|---|
| N | –/0.21 | –/0.08 | –/0.20 | 4.36/4.40 |
| C | 42.43/42.76 | 43.03/43.20 | 41.48/41.55 | 48.56/48.20 |
| H | 2.85/2.84 | 2.89/2.81 | 2.79/2.70 | 4.70/4.73 |
| S | –/– | –/– | –/– | –/– |
| CoII(2,5-DMT) (1) | MnII(2,5-DMT) | ZnII(2,5-DMT) | Mg2(2,5-DMT)2(DMF)2 (2) | |
|---|---|---|---|---|
| Crystal system | monoclinic | monoclinic | monoclinic | triclinic |
| Space group, Z | C2/c, 4 | C2/c, 4 | C2/c, 4 | P, 2 |
| a/Å | 16.1305(5) | 16.7686(6) | 16.5936(6) | 8.833(3) |
| b/Å | 8.6024(3) | 8.4646(3) | 8.4438(3) | 9.691(3) |
| c/Å | 7.3426(2) | 7.4464(3) | 7.4838(3) | 18.674(6) |
| α/° | 90 | 90 | 90 | 98.274(7) |
| β/° | 96.425(1) | 99.093(1) | 97.649(2) | 93.305(10) |
| γ/° | 90 | 90 | 90 | 107.308(9) |
| Volume/Å3 | 1012.47(5) | 1043.66(7) | 1039.25(7) | 1501.6(8) |
| Temp./K | 100(2) | 153(2) | 153(2) | 100(2) |
| Ionic radius, CN = 4 [39] | 0.72 Å (Co2+, hs) | 0.80 Å (Mn2+, hs) | 0.74 Å (Zn2+) | 0.71 Å (Mg2+) |
| MII–O/Å | 1.9834(7), 2× 2.0389(7), 2× 2.3532(7), 2× | 2.0761(5), 2× 2.1391(6), 2× 2.5595(6), 2× | 1.9547(13), 2× 2.0023(13), 2× 2.6223(14), 2× | Mg1: 1.961(3), 1.989(3), 2.007(3), 2.118(3), 2,198(3), 2.284(3) Mg2: 2.042(4), 2.048(4), 2.080(3), 2.082(3), 2.100(3), 2.107(3) |
| CShM values [40] | 4.896 (T-4) 1.697(OC-6) | 3.847 (T-4) 2.848 (OC-6) | 2.428 (T-4) 3.280 (OC-6) | Mg1: 2.915 (OC-6) Mg2: 0.145 (OC-6) |
| Ref. | CCDC-2225418[this work] | CCDC-813469 [20] | CCDC-813470 [20] | CCDC-2225419[this work] |
| Max. Excitation/nm | Max. Emission/nm | Max. Absorption/nm | |
|---|---|---|---|
| 2,5-DMT | 370 | 410 | 220, 250(s), 360 |
| MnII(2,5-DMT) | 370, 420 | 400, 660 | 200, 260(s), 370(s) |
| ZnII(2,5-DMT) | 390 | 410 | 205, 260(s), 390(s) |
| Mg2(2,5-DMT)2(DMF)2, 2 | 390 | 420 | 205, 250(s), 325 |
Disclaimer/Publisher’s Note: The statements, opinions and data contained in all publications are solely those of the individual author(s) and contributor(s) and not of MDPI and/or the editor(s). MDPI and/or the editor(s) disclaim responsibility for any injury to people or property resulting from any ideas, methods, instructions or products referred to in the content. |
© 2023 by the authors. Licensee MDPI, Basel, Switzerland. This article is an open access article distributed under the terms and conditions of the Creative Commons Attribution (CC BY) license (https://creativecommons.org/licenses/by/4.0/).
Share and Cite
Cammiade, A.E.L.; Straub, L.; van Gerven, D.; Wickleder, M.S.; Ruschewitz, U. Synthesis, Structure, and Spectroscopic Properties of Luminescent Coordination Polymers Based on the 2,5-Dimethoxyterephthalate Linker. Chemistry 2023, 5, 965-977. https://doi.org/10.3390/chemistry5020065
Cammiade AEL, Straub L, van Gerven D, Wickleder MS, Ruschewitz U. Synthesis, Structure, and Spectroscopic Properties of Luminescent Coordination Polymers Based on the 2,5-Dimethoxyterephthalate Linker. Chemistry. 2023; 5(2):965-977. https://doi.org/10.3390/chemistry5020065
Chicago/Turabian StyleCammiade, Aimée E. L., Laura Straub, David van Gerven, Mathias S. Wickleder, and Uwe Ruschewitz. 2023. "Synthesis, Structure, and Spectroscopic Properties of Luminescent Coordination Polymers Based on the 2,5-Dimethoxyterephthalate Linker" Chemistry 5, no. 2: 965-977. https://doi.org/10.3390/chemistry5020065
APA StyleCammiade, A. E. L., Straub, L., van Gerven, D., Wickleder, M. S., & Ruschewitz, U. (2023). Synthesis, Structure, and Spectroscopic Properties of Luminescent Coordination Polymers Based on the 2,5-Dimethoxyterephthalate Linker. Chemistry, 5(2), 965-977. https://doi.org/10.3390/chemistry5020065

