Durable Polymer Coatings: A Comparative Study of PDMS-Based Nanocomposites as Protective Coatings for Stone Materials
Abstract
:1. Introduction
2. Materials and Methods
2.1. Materials
2.2. Synthesis of Nanoparticles
2.3. Preparation of Stone Samples and Their Coating Applications
2.4. Experimental Techniques and Methods
- L*, a*, b*(MB) and L*, a*, b*(t): the mean values after the application of methylene blue over surfaces and after t hours of UV-A light exposure, respectively.
- L*(0), a*(0) and b*(0): the chromatic coordinates of treated stones before staining with an MB dye (the difference in between treated and untreated stone specimens).
3. Results and Discussion
3.1. Characterization of Materials
3.2. Characterization of Treated Stone Specimens
3.3. Durability Analyses of Protective Coatings
4. Conclusions
Supplementary Materials
Author Contributions
Funding
Data Availability Statement
Acknowledgments
Conflicts of Interest
References
- Aldoasri, M.A.; Darwish, S.S.; Adam, M.A.; Elmarzugi, N.A.; Ahmed, S.M. Protecting of Marble Stone Facades of Historic Buildings Using Multifunctional TiO2 Nanocoatings. Sustainability 2017, 9, 2002. [Google Scholar] [CrossRef]
- Crisci, G.M.; La Russa, M.F.; Macchione, M.; Malagodi, M.; Palermo, A.M.; Ruffolo, S.A. Study of archaeological underwater finds: Deterioration and conservation. J. Appl. Phys. A 2010, 100, 855–863. [Google Scholar] [CrossRef]
- Nugari, M.P.; Pietrini, A.M.; Caneva, G.; Imperi, F.; Visca, P. Biodeterioration of mural paintings in a rocky habitat: The Crypt of the Original Sin (Matera, Italy). Int. Biodeterior. Biodegrad. 2009, 63, 705–711. [Google Scholar] [CrossRef]
- Sekhar, P.; Ramgir, N.; Joshi, R.; Bhansali, S. Selective growth of silica nanowires using an Au catalyst for optical recognition of interleukin-10. Nanotechnology 2008, 19, 245502–245507. [Google Scholar] [CrossRef] [PubMed]
- Dei, L.; Salvadori, B. Nanotechnology in cultural heritage conservation: Nanometric slaked lime saves architectonic and artistic surfaces from decay. J. Cult. Herit. 2006, 7, 110–115. [Google Scholar] [CrossRef]
- Licchelli, M.; Malagodi, M.; Weththimuni, M.; Zanchi, C. Nanoparticles for conservation of bio-calcarenite stone. Appl. Phys. A. 2014, 114, 673–683. [Google Scholar] [CrossRef]
- La Russa, M.F.; Ruffolo, S.A.; Rovella, N.; Belfiore, C.M.; Palermo, A.M.; Guzzi, M.T.; Crisci, G.M. Multifunctional TiO2 coatings for cultural heritage. Prog. Org. Coat. 2012, 74, 186–191. [Google Scholar] [CrossRef]
- Weththimuni, M.L.; Licchelli, M.; Malagodi, M.; Rovella, N.; La Russa, M. Consolidation of bio-calcarenite stone by treatment based on diammonium hydrogenphosphate and calcium hydroxide nanoparticles. Measurement 2018, 127, 396–405. [Google Scholar] [CrossRef]
- D’Arienzo, L.; Scarfato, P.; Incarnato, L. New polymeric nanocomposites for improving the protective and consolidating efficiency of tuff stone. J. Cult. Herit. 2008, 9, 253–260. [Google Scholar] [CrossRef]
- Ricca, M.; Le Pera, E.; Licchelli, M.; Macchia, A.; Malagodi, M.; Randazzo, L.; Rovella, N.; Ruffolo, S.A.; Weththimuni, M.L.; La Russa, M.F. The CRATI project: New insights on the consolidation of salt weathered stone and the case study of San Domenico church in Cosenza (South Calabria, Italy). Coatings 2019, 9, 330. [Google Scholar] [CrossRef] [Green Version]
- Manoudis, P.N.; Tsakalof, A.; Karapanagiotis, I.; Zuburtikudis, I.; Panayiotou, C. Fabrication of super-hydrophobic surfaces for enhanced stone protection. Surf. Coat. Technol. 2009, 203, 1322–1328. [Google Scholar] [CrossRef]
- De Ferri, L.; Lottici, P.P.; Lorenzi, A.; Montenero, A.; Salvioli-Mariani, E. Study of silica nanoparticles—Polysiloxane hydrophobic treatments for stone-based monument protection. J. Cult. Herit. 2011, 12, 356–363. [Google Scholar] [CrossRef]
- Ben Chobba, M.; Weththimuni, M.L.; Messaoud, M.; Urzi, C.; Bouaziz, J.; Leo, F.D.; Licchelli, M. Ag-TiO2/PDMS nanocomposite protective coatings: Synthesis, characterization, and use as a self-cleaning and antimicrobial agent. Prog. Org. Coat. 2021, 158, 106342. [Google Scholar] [CrossRef]
- Ben Chobba, M.; Weththimuni, M.L.; Messaoud, M.; Sacchi, D.; Bouaziz, J.; Leo, F.D.; Urzi, C.; Licchelli, M. Multifunctional and Durable Coatings for Stone Protection Based on Gd-Doped Nanocomposites. Sustainability 2021, 13, 11033. [Google Scholar] [CrossRef]
- Kapridaki, C.; Pinho, L.; Mosquera, M.J.; Maravelaki-Kalaitzaki, P. Producing photoactive, transparent and hydrophobic SiO2-crystalline TiO2 nanocomposites at ambient conditions with application as self-cleaning coatings. Appl. Catalyst. B Environ. 2014, 156–157, 416–427. [Google Scholar] [CrossRef]
- Crupi, V.; Fazio, B.; Gessini, A.; Kis, Z.; La Russa, M.F.; Majolino, D.; Masciovecchio, C.; Ricca, M.; Rossi, B.; Ruffolo, S.A.; et al. TiO2–SiO2–PDMS nanocomposite coating with self-cleaning effect for stone material: Finding the optimal amount of TiO2. Constr. Build. Matter. 2018, 166, 464–471. [Google Scholar] [CrossRef]
- Kapridaki, C.; Verganelaki, A.; Dimitriadou, P.; Maravelaki-Kalaitzaki, P. Conservation of Monuments by a Three-Layered Compatible Treatment of TEOS-Nano-Calcium Oxalate Consolidant and TEOS-PDMS-TiO2 Hydrophobic/Photoactive Hybrid Nanomaterials. Materials 2018, 11, 684. [Google Scholar] [CrossRef] [PubMed] [Green Version]
- La Russa, M.F.; Rovella, N.; De Buergo, M.A.; Belfiore, C.M.; Pezzino, A.; Crisci, G.M.; Ruffolo, S.A. Nano-TiO2 coatings for cultural heritage protection: The role of the binder on hydrophobic and self-cleaning efficacy. Prog. Org. Coat. 2016, 91, 1–8. [Google Scholar] [CrossRef]
- Luna, M.; Delgado, J.J.; Gil, M.L.A.; Mosquera, M.J. TiO2-SiO2 Coatings with a Low Content of AuNPs for Producing Self-Cleaning Building Materials. Nanomaterials 2018, 8, 177. [Google Scholar] [CrossRef] [Green Version]
- Banerjee, S.; Dionysiou, D.D.; Pillai, S.C. Self-cleaning applications of TiO2 by photo-induced hydrophilicity and photocatalysis. Appl. Catalys. B Environ. 2015, 176–177, 396–428. [Google Scholar] [CrossRef] [Green Version]
- Werf, I.D.V.D.; Ditaranto, N.; Picca, R.A.; Sportelli, M.C.; Sabbatini, L. Development of a novel conservation treatment of stone monuments with bioactive nanocomposites. Herit. Sci. 2015, 3, 29. [Google Scholar] [CrossRef]
- Aldosari, M.A.; Darwish, S.S.; Adam, M.A.; Elmarzugi, N.A.; Ahmed, S.M. Using ZnO nanoparticles in fungal inhibition and self-protection of exposed marble columns in historic sites, Archaeol. Anthropol. Sci. 2019, 11, 3407–3422. [Google Scholar] [CrossRef]
- Weththimuni, M.L.; Milanese, C.; Licchelli, M.; Malagodi, M. Improving the protective properties of shellac-based varnishes by functionalized nanoparticles. Coatings 2021, 11, 419. [Google Scholar] [CrossRef]
- Weththimuni, M.L.; Capsoni, D.; Malagodi, M.; Milanese, C.; Licchelli, M. Shellac/ nanoparticles dispersions as protective materials for wood. Appl. Phys. A 2016, 122, 1058. [Google Scholar] [CrossRef]
- Sierra-Fernandez, A.; La Rosa-García, S.C.D.; Gomez-Villalba, L.S.; Gomez-Cornelio, S.; Rabanal, M.E.; Fort, R.; Quintana, P. Synthesis, Photocatalytic, and Antifungal Properties of MgO, ZnO and Zn/Mg Oxide Nanoparticles for the Protection of Calcareous Stone Heritage. ACS Appl. Mater. Interfaces 2017, 9, 24873–24886. [Google Scholar] [CrossRef]
- Selim, M.S.; Shenashen, M.A.; Elmarakbi, A.; Fatthallah, N.A.; Hasegawa, S.I.; El-Safty, S.A. Synthesis ultrahydrophobic thermally stable inorganic-organic nanocomposites for self-cleaning foul release coatings. Chem. Eng. J. 2017, 320, 653–666. [Google Scholar] [CrossRef]
- Weththimuni, M.L.; Ben Chobba, M.; Tredici, I.; Licchelli, M. Polydimethylsiloxane (PDMS)/ZrO2-doped ZnO nanocomposites as Protective Coatings for Stone Materials, TC4 MetroArchaeo 2020-IMEKO TC4 International Conference on Metrology for Archaeology and Cultural Heritage. 2020, pp. 527–531. Available online: https://www.imeko.org/publications/tc4-Archaeo-2020/IMEKO-TC4-MetroArchaeo2020-100.pdf (accessed on 7 December 2021).
- Singh, A.K.; Nakate, U.T. Microwave synthesis, characterization, and photoluminescence properties of nanocrystalline zirconia. Sci. World J. 2014, 2014, 349457. [Google Scholar] [CrossRef] [Green Version]
- Ha, T.T.; Canh, T.D.; Tuyen, N.V. A Quick Process for Synthesis of ZnO Nanoparticles with the Aid of Microwave Irradiation. ISRN Nanotech. 2013, 2014, 497873. [Google Scholar] [CrossRef] [Green Version]
- UNI 10921:2001; Beni culturali—Materiali lapidei naturali ed artificiali—Prodotti idrorepellenti. Applicazione su Provini e Determinazione in Laboratorio delle loro Caratteristiche: Milan, Italy, 2001.
- Weththimuni, M.L.; Crivelli, F.; Galimberti, C.; Malagodi, M.; Licchelli, M. Evaluation of commercial consolidating agents on very porous biocalcarenite. Int. J. Conserv. Sci. 2020, 11, 251–260. [Google Scholar]
- UNI EN 15886:2010; Conservation of cultural property—Test methods. Colour Measurement of Surfaces: Milan, Italy, 2010.
- UNI EN 15802:2010; Conservazione dei Beni culturali-Metodi di Prova-Determinazione dell’Angolo di Contatto Statico. UNI Ente Italiano di Unificazione: Milan, Italy, 2010.
- UNI EN 15801:2010; Conservazione dei Beni Culturali, Metodi di Prova, Determinazione Dell’assorbimento Dell’acqua per Capillarità. UNI: Milan, Italy, 2010.
- UNI EN 15803:2010; Conservazione dei Beni Culturali, Metodi di Prova, Determinazione Della Permeabilità al Vapore D’acqua. UNI: Milan, Italy, 2010.
- ISO 15184:1998; Paints and Varnishes—Determination of Film Hardness by Pencil Test. International Organization for Standardization: Genève, Switzerland, 1998.
- Quagliarini, E.; Bondioli, F.; Goffredo, G.B.; Cordoni, C.; Munafò, P. Self-cleaning and de-polluting stone surfaces: TiO2 nanoparticles for limestone. Constr. Build. Mater. 2012, 37, 51–57. [Google Scholar] [CrossRef]
- Ariati, R.; Sales, F.; Souza, A.; Lima, R.A.; Ribeiro, J. Polydimethylsiloxane Composites Characterization and Its Applications: A Review. Polymers 2021, 13, 4258. [Google Scholar] [CrossRef] [PubMed]
- Bodas, D.; Khan-Malek, C. Formation of more stable hydrophilic surfaces of PDMS by plasma and chemical treatments. Microelectron. Eng. 2006, 83, 1277–1279. [Google Scholar] [CrossRef]
- Kapridaki, C.; Maravelaki-Kalaitzaki, P. TiO2–SiO2–PDMS nano-composite hydrophobic coating with self-cleaning properties for marble protection. Prog. Org. Coat. 2013, 76, 400–410. [Google Scholar] [CrossRef]
- Peroz, C.; Chauveau, V.; Barthel, E.; Søndergård, E. Nano Imprint Lithography on Silica Sol-gels: A simple route to sequential patterning. Adv. Mater. 2009, 21, 555–558. [Google Scholar] [CrossRef] [PubMed] [Green Version]
- Guo, Z.; Wei, S.; Shedd, B.; Scaffaro, R.; Ereira, T.; Hahn, H. Particles surface engineering effect on the mechanical, optical and photoluminescent properties of ZnO/vinyl-ester resin nanocomposites. J. Mater. Chem. 2007, 17, 806–813. [Google Scholar] [CrossRef]
- Chandra Babu, B.; Naresh, V.; Jaya Prakash, B.; Buddhudu, S. Structural, Thermal and Dielectric Properties of Lithium Zinc Silicate Ceramic Powders by Sol-Gel Method. Ferroelectr. Lett. 2011, 38, 114–127. [Google Scholar] [CrossRef]
- Licchelli, M.; Marzolla, S.J.; Poggi, A.; Zanchi, C. Crosslinked fluorinated polyurethanes for the protection of stone surfaces from graffiti. J. Cult. Herit. 2011, 12, 34–43. [Google Scholar] [CrossRef]
- Licchelli, M.; Malagodi, M.; Weththimuni, M.; Zanchi, C. Anti-graffiti nanocomposite materials for surface protection of a very porous stone. Appl. Phys. A 2014, 116, 1525–1539. [Google Scholar] [CrossRef]
- Wang, C.-Z.; Chen, A.-J.; Li, Z.-Q.; Gong, C.-A.; Wang, S.; Yan, W.-M. Experimental and numerical investigation on penetration of clay masonry by small high-speed projectile. Def. Technol. 2021, 17, 1514–1530. [Google Scholar] [CrossRef]
- Sassoni, E.; Franzoni, E. Influence of porosity on artificial deterioration of marble and limestone by heating. Appl. Phys. A: Mater. Sci. Process. 2014, 115, 809–816. [Google Scholar] [CrossRef]
- Licchelli, M.; Malagodi, M.; Weththimuni, M.L.; Zanchi, C. Water-repellent properties of fluoroelastomers on a very porous stone: Effect of the application procedure. Prog. Org. Coat. 2013, 76, 495–503. [Google Scholar] [CrossRef]
- Ben Chobba, M.; Messaoud, M.; Weththimuni, M.L.; Bouaziz, J.; Licchelli, M.; Leo, F.D.; Urzì, C. Preparation and characterization of photocatalytic Gd-doped TiO2 nanoparticles for water treatment. Environ. Sci. Pollut. Res. 2019, 26, 32734–32745. [Google Scholar] [CrossRef] [PubMed]
- Weththimuni, M.L.; Capsoni, D.; Malagodi, M.; Licchelli, M. Improving Wood Resistance to Decay by Nanostructured ZnO-Based Treatments. J. Nanometer. 2019, 2019, 6715756. [Google Scholar] [CrossRef]









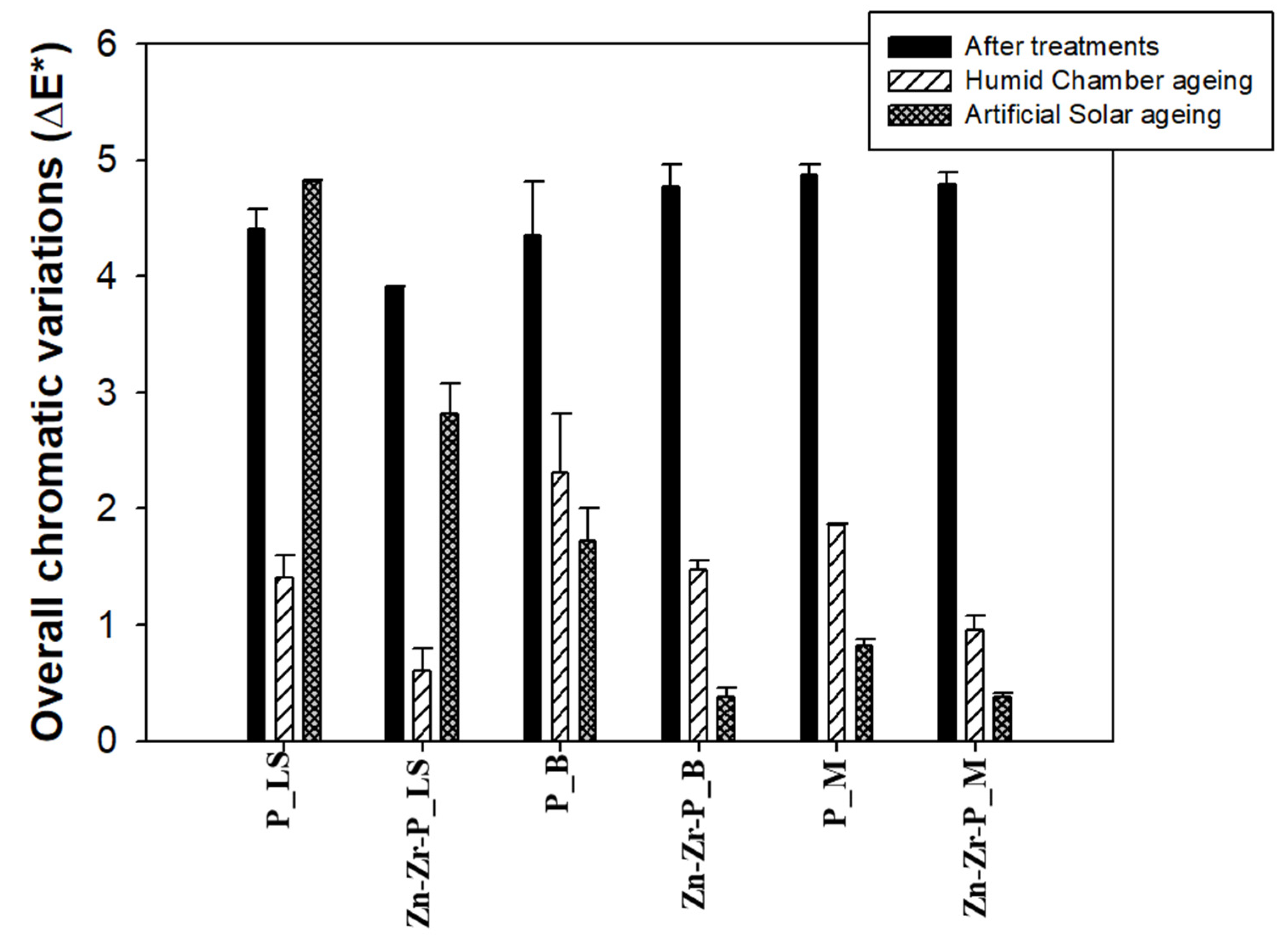
| Samples | Humid Chamber Ageing (RH ˃ 80%, T = 22 ± 3 °C) | Artificial Solar Ageing (300 W, 1000 h) | ||||||
|---|---|---|---|---|---|---|---|---|
| ∆L* | ∆a* | ∆b* | ∆E* | ∆L* | ∆a* | ∆b* | ∆E* | |
| P_LS | −1.8 ± 0.3 | 1.2 ± 0.1 | 1.2 ± 0.2 | 1.4 ± 0.2 | 3.3 ± 0.2 | −0.9 ± 0.1 | −3.3 ± 0.2 | 4.8 ± 0.1 | 
| Zn-Zr-P_LS | −0.5 ± 0.2 | 0.3 ± 0 | 0.2 ± 0.1 | 0.6 ± 0.2 | 2.2 ± 0.1 | −0.5 ± 0.1 | −1.9 ± 0.3 | 2.8 ± 0.3 | 
| P_B | −1.6 ± 0.2 | 1.0 ± 0.5 | 1.3 ± 0.3 | 2.3 ± 0.5 | 1.7 ± 0.3 | 0.1 ± 0 | 0.1 ± 0.3 | 1.7 ± 0.3 | 
| Zn-Zr-P_B | −0.7 ± 0.2 | −0.3 ± 0.2 | −1.3 ± 0.2 | 1.5 ±0.1 | 0.3 ± 0.1 | 0.1 ± 0 | 0.1 ± 0.1 | 0.4 ± 0.1 | 
| P_M | −1.7 ± 0.1 | −0.3 ± 0.1 | −0.7 ± 0.3 | 1.9 ± 0.1 | 0.7 ± 0.2 | −0.1 ± 0.2 | 0.2 ± 0.1 | 0.8 ± 0.1 | 
| Zn-Zr-P_M | −0.9 ± 0.1 | −0.2 ± 0 | −0.3 ± 0.2 | 1.0 ± 0.1 | 0.1 ± 0 | −0.3 ± 0.1 | 0.2 ± 0.2 | 0.4 ± 0 | 
| Samples | Before Ageing | After Artificial Ageing | |
|---|---|---|---|
| RH ˃ 80%, T = 22 ± 3 °C | Solar Lamp (300 W, 1000 h) | ||
| P_LS | H | F | F | 
| Zn-Zr-P_LS | 2H | 2H | 2H | 
| P_B | 2H | H | H | 
| Zn-Zr-P_B | 3H | 2H | 2H | 
| P_M | 3H | 2H | 2H | 
| Zn-Zr-P_M | 4H | 4H | 4H | 
| Samples | D* (%) | |||||
|---|---|---|---|---|---|---|
| Before Ageing | After Artificial Ageing Cycles | |||||
| RH ˃ 80%, T = 22 ± 3 °C | Solar lamp (300 W, 1000 h) | |||||
| 48 h | 96 h | 48 h | 96 h | 48 h | 96 h | |
| P_LS | 15.61 ± 0.72 | 20.45 ± 2.01 | 9.80 ± 1.22 | 21.19 ± 0.6 | 12.82 ± 0.62 | 19.90 ± 0.13 | 
| Zn-Zr-P_LS | 32.68 ± 1.53 | 42.90 ± 2.11 | 29.97 ± 2.14 | 44.37 ± 2.01 | 33.53 ± 0.96 | 39.37 ± 1.02 | 
| P_B | 6.05 ± 3.30 | 13.61 ± 4.70 | 6.64 ± 0.79 | 11.03 ± 0.75 | 5.8 ± 0.21 | 13.01 ± 0.72 | 
| Zn-Zr-P_B | 18.93 ± 4.55 | 35.52 ± 5.06 | 23.10 ± 1.47 | 34.64 ± 2.0 | 15.0 ± 1.31 | 35.03 ± 1.5 | 
| P_M | 37.82 ± 2.36 | 55.99 ± 6.52 | 34.30 ± 2.79 | 50.37 ± 2.45 | 36.81 ± 2.0 | 54.70 ± 1.85 | 
| Zn-Zr-P_M | 52.66 ± 2.04 | 72.25 ± 2.36 | 51.92 ± 3.01 | 68.24 ± 3.42 | 54.69 ± 2.5 | 66.70 ± 2.92 | 
| Publisher’s Note: MDPI stays neutral with regard to jurisdictional claims in published maps and institutional affiliations. | 
© 2022 by the authors. Licensee MDPI, Basel, Switzerland. This article is an open access article distributed under the terms and conditions of the Creative Commons Attribution (CC BY) license (https://creativecommons.org/licenses/by/4.0/).
Share and Cite
Weththimuni, M.L.; Chobba, M.B.; Sacchi, D.; Messaoud, M.; Licchelli, M. Durable Polymer Coatings: A Comparative Study of PDMS-Based Nanocomposites as Protective Coatings for Stone Materials. Chemistry 2022, 4, 60-76. https://doi.org/10.3390/chemistry4010006
Weththimuni ML, Chobba MB, Sacchi D, Messaoud M, Licchelli M. Durable Polymer Coatings: A Comparative Study of PDMS-Based Nanocomposites as Protective Coatings for Stone Materials. Chemistry. 2022; 4(1):60-76. https://doi.org/10.3390/chemistry4010006
Chicago/Turabian StyleWeththimuni, Maduka L., Marwa Ben Chobba, Donatella Sacchi, Mouna Messaoud, and Maurizio Licchelli. 2022. "Durable Polymer Coatings: A Comparative Study of PDMS-Based Nanocomposites as Protective Coatings for Stone Materials" Chemistry 4, no. 1: 60-76. https://doi.org/10.3390/chemistry4010006
APA StyleWeththimuni, M. L., Chobba, M. B., Sacchi, D., Messaoud, M., & Licchelli, M. (2022). Durable Polymer Coatings: A Comparative Study of PDMS-Based Nanocomposites as Protective Coatings for Stone Materials. Chemistry, 4(1), 60-76. https://doi.org/10.3390/chemistry4010006
 
         
                                                



 
       