Abstract
Carbon monoxide (CO) has long been known for its toxicity. However, in recent decades, new applications for CO as a therapeutic compound have been proposed, and multiple forms of CO therapy have since been developed and studied. Previous research has found that CO has a role as a gasotransmitter and promotes anti-inflammatory and antioxidant effects, making it an avenue of interest for medicine. Such effects are possible because of the Nrf2/HO1 pathway, which has become a target for therapy development because its activation also leads to CO release. Currently, different forms of treatment involving CO include inhaled CO (iCO), carbon monoxide-releasing molecules (CORMs), and hybrid carbon monoxide-releasing molecules (HYCOs). In this article, we review the progression of CO studies to develop possible therapies, the possible mechanisms involved in the effects of CO, and the current forms of therapy using CO.
1. Introduction
The unique properties of carbon monoxide (CO), such as its lack of odor, taste, and color, coupled with its toxicity to humans, have long been used to identify CO as a “silent killer.” Although exogenous CO in sustained exposure and high concentrations is dangerous to the human body because of its high binding affinity to hemoglobin (Hb), some CO is naturally produced in the body by heme degradation [1]. In its endogenous form, CO is tightly regulated by heme oxygenase (HO) isoforms that maintain it as an important regulator of cellular functions in various areas of the body. Thus, CO is known as a gasotransmitter, which is any endogenously produced gaseous molecule involved in signaling processes in the body. It can be rapidly synthesized when needed. Gasotransmitters can efficiently enter and exit cells without the need for receptors, endocytosis, or exocytosis to mediate cellular functions [2]. In its role as a gasotransmitter, CO naturally mediates cell proliferation and cell death, vasorelaxation, platelet aggregation, inflammation, and cellular reactive oxygen species (ROS) generation [3,4,5]. One of the first studies to identify CO as a gasotransmitter and investigate its important role in the body was conducted by Verma, Snyder, and colleagues in 1993. The gas properties and characteristics of CO were evaluated for their similarity to nitric oxide (NO), a respective mediator and regulator of vasodilation, tumoricidal, and bactericidal actions of macrophages, as well as a common retrograde neurotransmitter. They found that, similarly to NO, CO can activate guanylyl cyclase and regulate cyclic guanosine monophosphate (cGMP) [6]. The cGMP pathway is an important signaling system throughout the body, displaying effects in the nose, retina, ear, and central nervous system (CNS) [7]. This groundbreaking discovery launched preclinical and clinical research to evaluate the role of CO in various disease models, revealing the protective signaling effects of CO delivery in inflammatory diseases, ischemia-reperfusion models, and sepsis [8].
When it comes to acute and chronic diseases, managing inflammation can be critical for the recovery of patients and the prevention of long-term side effects. One example of an acute illness that can lead to chronic inflammation is hepatitis C (HepC). This persistent disease in hepatocytes (liver cells) leads to excessive cytokine production that can damage cells and cause diseases such as cirrhosis or even hepatocellular carcinoma. Treatments for HepC normally consist of antivirals along with anti-inflammatory drugs (combined therapy) [9]. Combined therapy is necessary because antivirals are not enough to control the infection, likely because of drug resistance due to rapid viral mutation [10]. Therefore, anti-inflammatory treatments are necessary to handle the inflammation caused by viruses as the antivirals work to eliminate them efficiently. For HepC, these drugs include aspirin (salicylate) and ibuprofen. Both drugs have limitations, including relative toxicity, triggering Reye’s syndrome, and ulcers [11]. In addition, the adverse effects observed in several cases pose concerns for administering these drugs; thus, different forms of anti-inflammatory therapy, such as CO treatment, should be considered.
Some neurological conditions also cause serious inflammation-derived risks. An example of a condition that causes severe inflammation is bacterial meningitis. There are different precursors to the disease, but they all lead to life-threatening inflammation [12]. Aside from antibiotics, patients receive anti-inflammatory drugs such as dexamethasone along with ceftriaxone as per the guidelines to treat inflammation; however, different countries use different combinations of antibiotics and anti-inflammatory drugs based on the patient’s diagnosis or symptoms. Although anti-inflammatory drugs are an essential part of treatment, they have limitations. One limitation is that some anti-inflammatory medicines have been shown not to affect all types of bacterial meningitis. For example, dexamethasone is not effective for meningococcal meningitis. This can be crucial for the patient’s outcome because the earlier the drugs are given, the better the chances are for a good recovery. Additionally, the steroids present in anti-inflammatory drugs to treat meningitis have concerning effects, such as the level of penetration of the antibiotics in the CNS. Animal studies have shown a reduced penetration of antibiotics when steroids were used, but the results were not precise with one clinical trial in humans [13,14]. Overall, reducing the inflammation associated with this disease is essential. Given the limitations of anti-inflammatory drugs, other alternatives such as CO therapy should be considered.
In light of the limitations of the current methods of therapy for inflammation, we have summarized the current literature that discusses CO in different forms as a possible alternative treatment for neurological conditions targeting blood flow, inflammation, oxidative stress, delayed injury, and other symptoms. Early research about CO revealed that levels of inhaled CO (iCO) as high as 250 ppm protect against the development of shock and mitochondrial injury in murine models of hemorrhage and resuscitation and also ameliorate acute lung injury in nonhuman primates [8,15]. After multiple successful experiments and consistent results from in vitro and in vivo studies, a Phase I clinical trial evaluating the effects of iCO in humans suffering from sepsis-induced acute respiratory distress syndrome (ARDS) was completed in 2019. The main goal of the study was to assess its safety, but researchers also found data suggesting that acute CO delivered at levels of 100 to 125 ppm exhibited a variety of therapeutic effects in humans [16]. Although iCO research appears promising, toxicity remains a major concern; therefore, other methods of CO delivery have been targets of study. In 2001, Motterlini and colleagues were the first to describe molecules of the transition metal carbonyl that endogenously deliver CO and labeled them carbon monoxide-releasing molecules (CORMs) [17]. These molecules have the capacity to deliver controlled amounts of CO that induce anti-inflammatory properties and are an alternate form of therapy using CO. Different generations of CORMs have since been developed, as well as hybrids that can interact with different pathways. Despite this advancement, no clinical trials have yet been performed with CORMs. In this review, we discuss the current research investigating CORMs, their mechanism of interaction, recently engineered hybrid molecules that couple the potential of CORMs with the capabilities of the transcriptional factor Nrf2, and future directions of the field.
2. Carbon Monoxide and the Nrf2 Pathway
Endogenously, CO is produced at low levels by the degradation of heme. The heme moiety is present in many hemoproteins, notably Hb, and is defined as the iron–protoporphyrin IX complex. It plays several roles in the body, which are normally dictated by the properties of the polypeptide attached to it. Heme circulates freely in the body and can catalyze reductive or oxidative chemistry [18]. In this article, we explore oxidative chemistry, considering its connection with CO. Free heme, which should be tightly regulated, contributes to oxygen-related functions, such as its storage and delivery to cells (Hb), but is also rigidly regulated by Fenton chemistry because of its ability to cause oxidative stress [19]. Disorders such as malaria, sickle cell anemia, and hemorrhage are associated with high levels of free heme because the mechanism of selective heme removal collapses; therefore, nonspecific heme is taken up by cells. This leads to a toxic accumulation of heme and damaging consequences due to oxidation reactions. Aside from oxidative stress, heme can also be toxic by causing (1) a hemolytic effect and (2) triggering inflammation. The most relevant toxic effect of heme is inflammation induction. In vitro, heme has been demonstrated to stimulate intracellular adhesion molecule 1 (ICAM1) and vascular cell adhesion molecule 1 (VCAM1) expression, which, alongside endothelial leukocyte adhesion molecules (E-selectin), contributes to the recruitment of leukocytes. Additionally, free heme is oxidized to hemin, a pro-inflammatory molecule that can activate the Toll-like receptor pathway [20] and affect neutrophil responses by the expression of interleukin (IL)-8 and ROS [21]. Altogether, cell-free heme is toxic and must be regulated.
A form of regulation is heme degradation, which is performed by the rate-limiting enzyme oxygenases, HO1 and HO2 [22]. The inducible HO1 isoform and its HO2 constitutive counterpart remove free heme from circulation by degrading it into biliverdin (BV), iron (Fe2+), and CO. HO1 is induced naturally in response to oxidative stress; therefore, it is a therapeutic target against the stress stimuli initiated from oxygen-derived free radicals, such as carcinogens, radiation, and endotoxic shock, among other conditions. A possible challenge of HO1 therapy is that under basal conditions, HO1 expression is mainly limited to the spleen and liver [23]. Its expression is relatively low in the brain unless there is a disturbance in homeostasis; nevertheless, it remains promising as a therapeutic target. The majority of HO expression under normal physiological conditions is in the form of HO2, which exists independently of the Nrf2 pathway. Despite the possible limitations, HO1 is of great interest because of its link to the direct endogenous production of “free” CO from cell-free heme, which has important therapeutic potential, as well as its putative role in neuroprotection [24].
In its naturally occurring form, HO1 is induced under stress conditions by the Nrf2 signaling pathway (Figure 1). Nrf2 activation upregulates HO1 expression and, putatively, the production of CO, as long as the free heme substrate is available [25]. HO1 expression by Nrf2 is regulated by the following two enhancer sequences: E1 and E2. E1 and E2 were shown to have multiple stress response element (STRE) sequences, which are short sequences of DNA that are identical to another DNA sequence called Maf recognition elements (MAREs). The relevance to this pathway is that Nrf2 interacts naturally with MAREs by binding and activating them.
Figure 1.
A summary of how carbon monoxide-releasing molecules (CORMs) eventually activate Nrf2 action. Protein kinase R-like endoplasmic reticulum kinase (PERK) phosphorylates Nrf2, which translocates to the nucleus and increases heme oxygenase 1 (HO1) expression. HO1 degrades heme to generate CO, biliverdin (BV), and iron. Dimethyl fumarate (DMF), a component of hybrid CORMs (HYCOs), prevents the binding of Keap1 to Nrf2, thereby triggering Nrf2 activation.
Given that MAREs are identical to STREs, Nrf2 can also bind to the STREs of E1 and E2 genes and similarly activate several genes that also include the HO1 protein. HO1 is the protein that has the most of these elements in its promoter region. In addition, Nrf2 action regulates several other antioxidant enzymes and proteins in the context of brain protection. Reviews of many of these proteins have been described before, notably in the context of neuroprotection [26,27]. For these reasons, activation of the Nrf2 pathway becomes a potential indirect target for CO treatment [28]. The Nrf2 pathway has been a recent target of medical research, and different organic substances have been used to trigger its activation (e.g., curcumin [29], sulforaphane [30], carnosol [31]), but efforts are now being made to induce such a pathway selectively. The synthetic dimethyl fumarate (DMF) is the most commonly mentioned Nrf2 inducer in medical settings because it has been approved by the US Food and Drug Administration (FDA) for the treatment of multiple sclerosis and psoriasis and is being reviewed in clinical studies for its therapeutic effects in glioblastoma and other conditions [32]. Altogether, the release of endogenous CO via the Nrf2 pathway is a promising target for future investigation because of the anti-inflammatory and vasorelaxant effects of CO.
3. Relevance of the Nrf2 Pathway
Nrf2 is a transcription factor that is important in combating oxidative stress in the body and regulating cell death because it also regulates numerous cytoprotective genes such as HO1 [26,27]. Under natural conditions, Nrf2 remains inactive by the protein complex Keap1, which binds and ubiquitinates Nrf2, thereby blocking its activity and marking it for degradation. Under oxidative stress conditions, Nrf2 is phosphorylated by proteins such as the protein kinase R-like endoplasmic reticulum (PERK). It then dissociates from Keap1 and translocates to the nucleus, where it binds to the antioxidant responsive element (ARE) [33]. As a regulator of oxidative stress and cellular dysfunction, Nrf2 has been implicated as a therapeutic target for cancer, toxicity, and other chronic diseases, as mentioned previously. Thus, the action of the Nrf2 pathway can potentially explain the therapeutic potential of CORM. We discuss CORMs in more detail later in the article; however, we will briefly introduce the relationship between Nrf2 and CORMs to help explain the mechanism of CORM action. The effect of CORM-2 was first determined in macrophages from wildtype (WT) and Nrf2 knockout (−/−) mice, which were compared under a model of lipopolysaccharide (LPS)-induced inflammation and sepsis [34]. The authors of this study reported that CORM-2 not only induced Nrf2 translocation to the nucleus in the WT mice macrophages but also did not have any protective effect in the Nrf2−/− mice macrophages. CORM-2 also did not attenuate inflammation or pro-inflammatory cytokines in the livers and brains of the Nrf2−/− mice as it did in the WT mice, demonstrating that Nrf2 is essential to the anti-inflammatory effects of CORMs. In preclinical settings, CORM-A1 has also been shown to activate the Nrf2 signaling pathway and upregulate Nrf2 to treat acetaminophen-mediated hepatotoxicity, mediate inflammation, and improve oxidative stress [35,36].
CORMs and CO induce the translocation of Nrf2 to the nucleus and eventual CO release through the mediation of the metal and CO-induced phosphorylation of PERK. The metal-CO complex, which composes CORM, causes phosphorylation in PERK, which, in turn, phosphorylates Nrf2, inducing translocation to the nucleus. Kim et al. also described how the CO component is responsible for activating PERK, which leads to the downstream activation of Nrf2. Consequently, more CO is released through HO1 expression, creating a positive feedback loop mediated by the level of cell-free heme [37]; therefore, any anti-inflammatory properties attributed to CORMs are likely possible because of the action of CO on PERK.
A few research groups have begun to recognize the potential of Nfr2 inducers and CORMs together as a therapeutic tool. The beneficial effect of Nrf2 inducers, such as DMF, usually has a delayed onset; however, in trauma or acute disorders, faster and more efficient therapy is preferred. CORMs typically exhibit a more immediate effect; therefore, combining both treatments in one compound could result in better, faster outcomes than using a CORM or an Nrf2 activator alone.
4. Therapeutic Application of CO
Upon the discovery of the therapeutic potential of CO, several studies were conducted to test its effectiveness in diseases such as hemorrhagic shock [38], ventilator-induced lung injury (VILI) [39], pancreatitis [40], ischemic stroke [41], liver-related diseases [42,43], and others. The studies also used different models of CO treatment, such as iCO, CORMs, hybrid CORMs (HYCOs), and photoactivatable CORMs (photoCORMs). We discuss each model individually below.
4.1. Inhaled Carbon Monoxide
Studies using iCO have reported promising effects. For example, a research study determined that 250 ppm of iCO for 30 min protected mice against severe murine hemorrhagic shock, as well as reduced mortality rates compared to the controls [8]. Another study conducted by Dolinay et al. revealed additional protective properties of iCO in a model of VILI mice. A low dose of iCO, 250 ppm, reduced tumor necrosis factor-alpha (TNFα) levels but elevated IL-10 levels [44]. These changes in protein expression represent protective effects of CO because TNFα is a pro-inflammatory cytokine, whereas IL-10 is an anti-inflammatory cytokine. Furthermore, HO1 messenger RNA expression was elevated, and protective effects against VILI were observed. Altogether, this paper highlighted the anti-inflammatory properties of iCO, evident by the reduction in pro-inflammatory cytokines [44]. In response to this preclinical success, a clinical study was designed to test iCO dose-dependent safety and therapeutic efficacy in humans [16]. The first Phase I clinical trial tested two adult cohorts (n = 6 each) with ARDS. In each cohort, four participants received iCO and two received a placebo. The first cohort received 100 ppm of iCO and the second cohort received 200 ppm, both via a ventilator-compatible CO delivery system. The analysis showed that the carboxyhemoglobin (COHb) levels were increased in both groups compared to the placebo. The second cohort displayed the greatest increase (approximately 4.9% compared to 1.97% in the placebo). In cohort one, the subjects had a median partial pressure of arterial oxygen of 98.5 mm Hg before treatment and 90.5 mm Hg afterward. Cohort two had 104 mm Hg before and 108 mm Hg afterward. No change in arterial oxygen partial pressure was observed in the placebo subjects. Similarly, partial pressure of carbon dioxide, arterial oxygen saturation, and arterial pH did not significantly change among the treatment groups. Additionally, a reduced mean lung injury score was observed as a reduced mean sequential organ failure between days one and seven. Additionally, after two doses of iCO, both groups had reduced mitochondrial DNA levels, which is associated with mortality in patients with critical diseases [16].
Another clinical study was performed by Bathoorn et al. in 20 patients with chronic obstructive pulmonary disease (COPD), all of whom were reported to be former smokers. In this experiment, a dose of 100 ppm of iCO was given to nine subjects (one subject withdrew consent and was not included in the analysis), and a dose of 125 ppm was given to 10 subjects for 4 consecutive days. They observed a significant reduction in sputum eosinophil that approached significance; however, this could be linked with inhaling steroids, considering that 13 patients received regular inhaled steroids, which is known to suppress sputum eosinophils. They also reported a trend of an improvement of methacholine response. Again, this could be related to the reduction in eosinophils, but research showed that the correlation between sputum eosinophils count and responsiveness to methacholine in patients with COPD was not significant. Overall, the researchers hinted at the safety of using low doses of iCO and indicated its possible therapeutic applications in patients with COPD. Still, more research is needed on the relationship between the reduction in eosinophils and the responsiveness to methacholine to iCO because of these inconclusive results [45].
Despite efforts to quantify the benefits of iCO, there is a clear need for further clinical studies that evaluate the therapeutic potential of CO. Current research reveals varied results relating specifically to the dose-dependent relationship of CO and its demonstrated benefits. For example, studies using nonhuman primates have shown that iCO at a dose of approximately 500 ppm is needed to have meaningful therapeutic effects [46]. High doses of iCO can result in COHb levels exceeding 30% after 6 h of inhalation therapy, which is not acceptable in a clinical setting because these levels are associated with severe headaches, impaired thinking, and disturbed vision in humans. At levels of 50% COHb, seizures and comas can occur [47]; therefore, iCO delivered at high concentrations poses a serious health concern, and strict control of dose administration should be implemented as CO therapy develops. For example, both clinical trials that we discussed tested iCO only between 100 and 200 ppm because higher doses can trigger side effects. Furthermore, the unique breathing rate of a given patient and other parameters make iCO therapy a challenge to standardize in humans. In addition to potential dangers, iCO is relatively costly and difficult to control; therefore, CORMs were designed to combat some of the limitations of iCO therapy and serve as an effective acute delivery system of CO to specific regions of the body.
4.2. CORMs
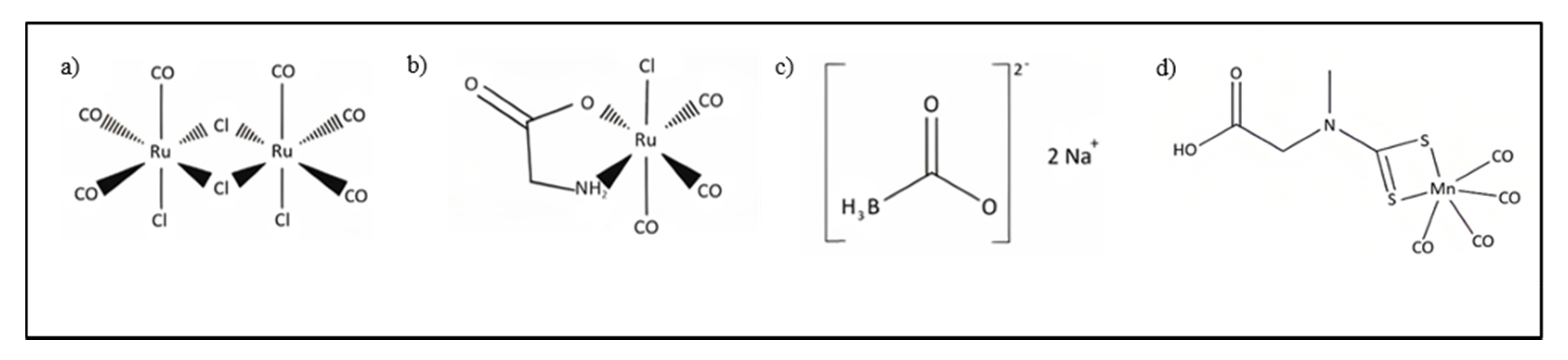
Since Roberto Motterlini and colleagues began developing CORMs in 2001, several subsets of CORMs have been discovered and used as potential therapies. Most are metal complexes, where CO is bound as a ligand to a central metal complex forming an organometallic compound, but some have recently been synthesized using nonmetals. The most commonly reviewed include Mn2(CO)10 (CORM-1), [Ru(CO)3Cl2]2 (CORM-2), and Ru(CO)3Cl(glycinate) (CORM-3) (Figure 2). It should be noted that at an ambient pressure and temperature, CO will only bind to transition metal centers. This is a substantial hurdle for researchers attempting to synthesize CORMs and the main reason that most early CORMs rely on metal complexes. CO exists as a gas under ambient conditions. In the gas phase, CO has a short carbon–oxygen bond distance (1282 Å) and high dissociation energy (1070 kJ/mol). This is consistent with the fact that carbon and oxygen form a triple bond to form CO. These characteristics contribute to the selective binding of CO. CO and various metals will form a bond in which filled metal d orbitals can overlap with empty low-lying molecular orbitals on CO. This process is called backbonding and occurs when electrons are exchanged between an atomic orbital on one atom and an antibonding orbital on another atom. Backbonding contributes to the strength of metal carbonyl complexes and the preferential bonding of CO to metals. The weakening of the backbonding between CO and a metal will contribute to dissociation and the release of CO in CORMs [48]. CORM-1 is based on a manganese–CO moiety, whereas CORM-2 and CORM-3 are based on a ruthenium–CO moiety. In these complexes, carbonyl (CO) groups surround a heavy metal (in these cases, manganese or ruthenium). Experts in the field have coined the term “CORM sphere” or “coordinated sphere” for the inner carbonyl part of these complexes [49]. The CO ligands surrounding this inner part, pointing away from the transition metal, have been termed the “drug sphere.” Depending on the metal used, certain ligands can promote the dissociation of CO from the complex under certain conditions. In the case of CORM-1, CO dissociation is promoted by irradiating light. Regarding CORM-2, dissociation occurs in a DMSO solution. In the case of CORM-3, CO is liberated from the complex under physiological conditions. CORM-3 is also water soluble and can maintain its ability to release CO when dissolved in water. CORM-3 prepared in water and added to phosphate buffer saline was found to liberate 1 mole of CO per mole of CORM-3 [50]. It should be noted that in a DMSO medium, CORM-1 failed to release any appreciable amount of CO, as measured by carbonmonoxy myoglobin (MbCO) formation. CORM-2, however, was able to liberate 0.7 mol of CO per mol of CORM. NMR analysis suggested that the DMSO of the medium coordinated the tricarbonyldichlororuthenium (II) dimer, allowing dissociation into tricarbonyl and dicarbonyl monomers [17].
Figure 2.
(a) Carbon monoxide-releasing molecule (CORM)-2 and (b) CORM-3, some of the first-generation CORMs; (c) CORM-A1, a non-metallic and water-soluble CORM; (d) CORM-401, an efficient CORM that releases about 3 moles of CO per mole of CORM.
These CORMs present issues because their metallic structure may pose long-term health concerns, although a gap exists in the literature regarding this topic. After CO dissociation, the metal-coligand fragments of CORMs, also known as inactivated CORMs (iCORMs), remain and may have unknown biological activity; further research must be conducted on CORMs and their carrier molecules before they can be moved to clinical applications. Additionally, the efficiency of CO release should not be the only factor considered when reviewing CORMs. In a study comparing two CORMs, rac-4 and rac-1, the more efficient CO-releaser, rac-4, also had higher levels of cytotoxicity, as measured through cell viability. Nonmetallic CORMs have been synthesized to address such concerns [51]. These include the water-soluble CORM-A1 developed by various groups, notably by Motterlini and colleagues, and photoCORMs [52]. PhotoCORMs are interesting because the release of endogenous CO is activated by light. Although some photoCORMs have metallic compounds, many do not, which mitigates long-term concerns about the metallic portion of the molecule. Similar to CORM-3, CORM-A1 is a water-soluble complex that delivers CO under physiological conditions. However, CORM-A1 does not contain a transition metal and delivers CO at a much slower rate than CORM-3. CORM-A1 is synthesized as a boronate complex that contains a carboxylic acid that delivers CO. When added to a phosphate buffer solution containing Mb at 37 °C and a pH of 7.4, CORM-A1 releases CO slowly. The half-life of CORM-A1 at a pH of 7.4 and temperature of 37 °C is about 21 min, whereas it is about 3.6 min for CORM-3 in human plasma. Interestingly, the time it took CO to dissociate from CORM-A1 decreased as the pH of the solution was lowered, showing that the rate of CO release from CORM-A1 relies on pH. Researchers also found that the release of CO from CORM-A1 was temperature dependent, with the rate accelerating as the temperature increased [50].
CORMs have almost entirely been tested in preclinical in vivo and in vitro models. At the time of this paper, we could not find published results of clinical studies investigating the use of CORMs in humans. However, in a study investigating the use of CORM-3 in nonhuman primates, a single intravenous injection of 4 mg/kg of CORM-3 every 48 h for 28 days did not affect COHb levels. Additionally, the treatment lowered the expression levels of the inflammatory cytokine TNFα, which points to the anti-inflammatory properties of CORM-3 [46]. In a murine model of pancreatitis, an intravenous injection of 8 mg/kg of CORM-2 reduced mortality significantly. It was reported that 90% of mice in the CORM-2 treatment group survived, compared to only 40% in the control group. Treatment with CORM-2 also significantly attenuated pancreatic injury and significantly decreased inflammation and tissue injury markers, such as cytokines TNFα, IL-1α, IL-6, and IL-12p40 [53]. The ability of CORM-2 to attenuate inflammatory cytokines is also useful in neurological disorders, such as intracerebral hemorrhage (ICH). In a model of ICH in Sprague-Dawley rats, CORM-2-treated mice had significantly less activation of transcription factor NF-κB and significantly less inflammatory cytokine production compared to its iCORM counterpart, which suggests that CORMs may inhibit the pro-inflammatory IKK/NF-κB in addition to upregulating the anti-inflammatory Nrf2/HO1 pathway [54]. These biochemical results were also reflected by the increased neurological function in the CORM-2 group compared to the iCORM-2 group after ICH, as measured using the Garcia 18 score.
When it comes to nonmetallic CORMs, promising results were observed as well. CORM-A1 has a boron atom instead of a transition metal, making it stable at room temperature without H+ ions. It also has a slower release of CO than CORM-3, as mentioned previously, which makes its biological application more efficient [52]. There are also preclinical studies that propose the use of CORM-A1 for liver-related diseases, such as nonalcoholic steatohepatitis [36], acetaminophen-mediated hepatotoxicity [35], renal vascular responses [55], autoimmune hepatitis [56], and others. All of them demonstrate effectiveness in the respective disease studied. CORM-A1 presents interesting therapeutic potential regarding neurological diseases as well. Fagone et al. have found improved clinical and histological outcomes in a murine model of multiple sclerosis [57]. PhotoCORMs, another type of water-soluble CORMs that do not contain a transition metal, were reported for the first time in 2010 by Rimmer and colleagues, who used Na to form a stable salt. They observed the successful release of CO (0.93 ± 0.04 equivalents of CO per mole of photoCORM complex) when photolyzed extensively in aqueous media [58]. In 2013, a preclinical study was conducted using a photoCORM containing two fluorine atoms covalently bound to the boron of a boron-dipyrromethene molecule. They observed that the mice treated with the photoCORM and irradiated with white light had increased CO levels in the blood, liver, and kidneys. Most importantly, two of their synthesized compounds did not display toxicity in human cell lines, which suggests that photoCORMs may be suitable for future clinical trials [59].
With the progress in CORM research, another molecule was developed around 2012: CORM-401. This molecule is based on a manganese-carbonyl CO complex, and reports have described its effective CO release, especially in a dithionite buffer (although it does not require it). In a phosphate buffer solution, CORM-401 releases 3 moles of CO per mole of CORM-401. CORM-401 also has a half-life of 13 to 14 min [60]. Given its potential, studies were conducted to test its biological ability. A study by Kaczara and colleagues determined that CORM-401 induced a concentration-dependent acceleration of the oxygen consumption rate, proton leak, basal respiration, and nonmitochondrial respiration and simultaneously decreased the extracellular acidification rate [61]. When tested in vivo, CORM-401 released CO at a high rate (3 molecules at 5 μM CORM-401), and it promoted the vasorelaxation of aortic rings in mice (enhanced in the presence of H2O2) at a greater rate than CORM-A1, which is unsurprising considering that it releases 2 more CO molecules than CORM-A1 in the same half-life [62]. Additionally, in another model of mice challenged with a high-fat diet, CORM-401 at a dose of 30 mg/kg decreased body weight gain and improved glucose metabolism and insulin resistance. Additionally, it led to higher insulin sensitivity, as shown in a lower blood glucose level after insulin injection than the control [63]. CORM-401 also had effects in a porcine model of ischemia-reperfusion injury. It was shown to attenuate kidney damage and prevent intrarenal hemorrhage and vascular clotting during reperfusion. Bhattacharjee et al. wrote that the mechanism of CORM-401 involved suppression of Toll-like receptors 2, 4, and 6 [64]. In more recent studies, CORM-401 has been used to build a drug that may treat osteoarthritis. This drug is composed of CORM-401 encapsulated in a peptide dendrimer nanogel, with a surface layer of folic acid-modified hyaluronic acid. It uses the anti-inflammatory properties of CORM-401 and delivers it to macrophages, where it suppresses IL-1β, IL-6, and TNFα while inducing the HO1 pathway, thereby suppressing the degradation of articular cartilage and its extracellular matrix by delivering CO [65]. Overall, CORM-401 has represented a significant second-generation CORM and has gone on to be used as a base for new CORM hybrids.
4.3. Hybrid CORMs
Given the potential that Nrf2 inducers and CORMs have as future pharmaceuticals, new molecules called HYCOs were first designed in 2014. These molecules target the activation of the Nrf2 pathway and, simultaneously, CO release. This dual mechanism is accomplished by a few steps. Nrf2 activators are electrophilic in the form of an α,β-unsaturated carbonyl group that acts as a Michael acceptor. These electrophiles, such as DMF, interact with the cysteine thiols of KEAP1 to reduce the ability of KEAP1 to ubiquitinate Nrf2 and degrade it [66]. In preclinical and in vitro research, they have been shown to have promising anti-inflammatory effects.
4.3.1. HYCO-1 and HYCO-2
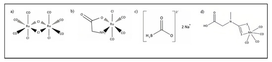
Wilson et al. were among the first to synthesize and manipulate HYCOs. They initially designed two different fumaric acid derivatives labeled one and two from which to build HYCOs. Due to the importance of the Michael reactions acceptor α,β-unsaturated carbonyl group to the Nrf2-activating properties of the molecule, they used alkyne-dicobalt hexacarbonyl complexes as the CO-releasing component to preserve them through the synthesis of these early HYCOs. From these easily handled compounds, they created HYCO-1 and HYCO-2. HYCO-1 is a nonsymmetric compound that carries one [Co2(CO)6] moiety, whereas HYCO-2 is symmetric and has two bimetallic fragments. Unlike the previously used Mn-carbonyl and Ru-carbonyl moieties, the mechanism for these cobalt-based CORMs appears to involve the irreversible oxidation of cobalt. After the compounds were placed in PBS for 60 min, HYCO-1 released 26 µM CO and HYCO-2 released 12.9 µM CO. However, after 450 min, HYCO-2 had released about twice as much as HYCO-1 because its release was slower. HYCO-1 was deemed stable in solution because of the constant intensity and potential of the irreversible oxidation of cobalt peaks, found at 1.05 V and 1.35 V. Additionally, HYCO-1 at a 20-µM concentration promoted the accumulation of Nrf2 in the nucleus after 2 h and induced HO1 protein expression at 6 h. HYCO-2 was less effective at both functions. These results were observed in different types of cultures, which shows the diversity of conditions in which HYCOs can act. Finally, they found that HYCO-1 decreased the nitrite accumulation in LPS-challenged cells, which demonstrates the anti-inflammatory properties of HYCO-1 [30].
4.3.2. HYCO-4 and HYCO-10
Once the Inserm laboratory published its study, efforts to create more HYCOs began. Nikam and colleagues proposed five different HYCOs that could act similarly or better than HYCO-1, as well as regular CORMs. Despite the different structures, these HYCOs still used the alkyne-dicobalt hexacarbonyl moieties as their CO-releasing components. Their studies using mice found that HYCO-4 and HYCO-10 were the most potent activators of Nrf2, and they also had the largest increase in levels of HO1 expression in the lungs and liver after 6 h. They noted that HYCO-4 released more CO and increased COHb levels more drastically than HYCO-10, making it more efficient. Concerns about the downregulation of glutathione (GSH) were raised because of its significant role in protection against oxidative stress and its involvement with the HO1 path. However, they found that except for HYCO-5, the levels of GSH were not initially altered; they were increased only after 24 h. HYCO-4 and HYCO-10 were also shown to increase ROS levels, which is important for cell adaptation to stress but can also provoke damage in large quantities [66]. However, this increase was not related to the induction of the Nrf2/HO1 mechanism because it was also induced when N-acetyl cysteine, an antioxidant, was present. Therefore, they presumed that the alkyne portion of the HYCOs was responsible for the induction. Considering the tolerable toxicity of these molecules at up to 10 µM, HYCO-4 and HYCO-10 may be promising for some biological applications or as templates for new hybrids [67].
4.3.3. HYCO-3, HYCO-6, HYCO-11, and HYCO-13
HYCO-3 was developed from the analogs of CORM-401 combined with DMF. Unlike the previous HYCOs, these HYCOs more closely resemble their CORM predecessors because they contain Mn-carbonyl and Ru-carbonyl moieties. As a result, they have a similar mechanism of CO release. In murine models of inflammation, Motterlini et al. found that mice treated with HYCO-3 after an LPS challenge had reduced levels of TNFα, IL-1β, and IL-6 pro-inflammatory cytokines in the brain, liver, heart, and lungs. Regarding Nrf2, they also showed that HYCO-3 could induce the expression in genes in several organs. Additionally, tissue injury and liver damage markers were not present in the liver, brain, heart, and lungs of mice treated with HYCO-3. Overall, HYCO-3 was more efficient for biological applications than the previously studied CORM-401, indicating that it may have greater potential for therapeutic use than Nrf2 or CORM therapy alone [68]. HYCO-3 was also investigated in another study in 2019, alongside HYCO-6 and its analogs. It is important to note that HYCO-3 contains an Mn-carbonyl moiety, whereas HYCO-6 contains a Ru-carbonyl one. This study observed that only HYCO-3 had intracellular CO accumulation in a time-dependent manner, although both bind CO to Hb, resulting in elevated COHb levels. Additionally, HYCO-3 delivered CO at similar rates as CORM-401 in BV2 microglial cells. Ollivier et al. concluded that Ru-based HYCOs, such as HYCO-6 and HYCO-11, deliver CO too fast; therefore, they are not suitable for biological application because of their toxicity [69].
In 2020, El Ali et al. tested HYCOs in an animal model to assess their effect on treating skin wounds, psoriasis, and multiple sclerosis. This study involved multiple Mn- and Ru-based HYCOs. Mn-based HYCOs included HYCO-3, HYCO-7, and HYCO-13, and Ru-based HYCOs included HYCO-6 and HYCO-11 (Figure 3). They found that even HYCO-6 accumulated a significant amount of CO, contrary to what they observed in vitro and to findings in previous studies. The Mn-based HYCOs still had higher rates of CO accumulation. It was demonstrated that HYCO-13 and HYCO-6 stimulated keratinocyte proliferation, leading to the faster closure of a simulated scratched area in vitro, but only HYCO-6 accelerated wound closure in vivo after oral administration. When it came to psoriasis, both the Mn-based and Ru-based HYCOs attenuated the parameters of the disease; however, only HYCO-6 reduced IL-8 in human keratinocytes. They treated mice with multiple sclerosis for 40 days with HYCO-3 and HYCO-13, both containing Mn, and found that HYCO-3 was as effective as DMF only at a dose of 25 mg/kg. Additionally, HYCO-13 at all doses was significantly effective at reducing relapse, which may have potential therapeutic applications. In this study, El Ali et al. also sought to measure the possible outcomes in human monocyte cells. They found that TNFα, IL-6, and IL-1β, key cytokines for inflammation, were reduced by HYCO-6, HYCO-7, and HYCO-13. HYCO-13 was the most effective and reduced IL-8. Overall, they concluded that Mn-based HYCOs had a greater capacity for delivering CO and had greater activation of HO1/Nrf2 [70]. HYCOs are promising anti-inflammatory treatments for multiple types of diseases or trauma. There have been significant advancements in their development; in the future, we hope for more studies in animal models, as well as human cell cultures, to ensure that clinical trials are possible.
Figure 3.
(a) HYCO-1 and (b) HYCO-2, the first hybrid CORMs; (c) HYCO-4 and (d) HYCO-10, putative Nrf2 activators; (e) HYCO-3, (f) HYCO-6, (g) HYCO-11, and (h) HYCO-13, Mn-based HYCOs (HYCO-3 and HYCO-13) were stated to be better hybrids because Ru-based HYCOs (HYCO-6 and HYCO-11) deliver CO too fast; (i) HYCO-7; (j) rac-7a and (k) rac-7b, which combine ET-CORMs with DMF to synergize their effects in reducing inflammation and combating chronic diseases.
4.3.4. FumET-CORMs
Enzyme-triggered CORMs (ET-CORMs) were first developed to deliver CO intracellularly via esterase-mediated hydrolysis. They are Acyl-oxydiene-Fe(CO)3 complexes. Cyclohexadienone-Fe(CO)3 is an iron carbonyl complex that acts as an ET-CORM and liberates up to 3 CO molecules as the main bioactive product. In addition, they release a Fe3+ ion, cyclohexenone, and the cleaved-off acid residue (RCO2H) [71]. To combine the therapeutic effects of these CORMs with the impact of the Nrf2 signaling pathway, Bauer and colleagues synthesized a hybrid molecule that combined an ET-CORM with DMF to combat chronic inflammation and autoimmune diseases. These molecules also require an esterase to be activated and were named fumarate-derived ET-CORMs (FumET-CORMs). The Schmalz laboratory has synthesized the following two FumET-CORMs: rac-7a and rac-7b. They found that these FumET-CORMs administered at a dose of 25 μM in vitro had powerful anti-inflammatory effects, stronger than those of fumarate alone, and they had a favorable cytotoxicity profile, comparable to 70 μM of DMF. Furthermore, when primary murine DCs were exposed to an LPS challenge, Western blot analysis showed that rac-7a and rac-7b reliably induced HO1 at stronger levels than DMF or 70 μM of monomethyl fumarate alone. In response to LPS stimulation, the primary murine DCs pretreated with rac-7a and rac-7b inhibited signal transducer and activator of transcription 1 (STAT1) phosphorylation. Compared to DMF, which showed a 57% inhibition of STAT1 phosphorylation at 70 μM, rac-7a and rac-7b showed an approximately 80% inhibition at a dose of 25 μM. Treatment with rac-7a and rac-7b also strongly inhibited pro-inflammatory cytokines IL-12 and IL-23 [72]. A dual-acting molecule that combines Nrf2 induction and recruits an ET-CORM is an attractive concept for future research because the addition of an enzyme-triggered molecule has not only been shown to protect against hypothermic preservation damage and inflammation but also to be uniquely synthesized for tunability. These molecules have the potential for controlled intracellular and tissue-specific release. However, research on FumET-CORMs is limited, especially in vivo research modeling a variety of diseases. The existing research also does not investigate the relationship of CO with Hb and CO accumulation in cells, which can be measured through COHb or COMb assays. More research regarding the biological interactions and possible toxicity of this class of compounds is needed, although it still provides an interesting avenue of research for investigators interested in hybrid CORMs.
4.3.5. CAI-CORMs as Nrf2 Activators
In 2021, Berrino and colleagues described the synthesis of hybrid carbonic anhydrase inhibitors (CAI)-CORMs, which are based on putative CAIs such as acesulfame, coumarin, and pyrazoline [73,74]. The compounds 6, 7, and 8 contained coumarin rings bonded to alkyne-dicobalt hexacarbonyl moieties, which fulfilled the CORM function (Figure 4). Despite containing the same general structure, the location of the CORM moieties affected the efficacy of CO release. Out of these three compounds, compound 8 had the lowest T1/4 (time necessary to produce a MbCO concentration equal to ¼ of the compounds) at 212 min, and compound 6 had the highest T1/4 at 249 min. These results were humble compared to the most efficient CO releaser in the paper, compound 5, which had a T1/4 of 161 min. Despite the low amount of CO released, compounds 6, 7, and 8 all affected cell viability and TNFα production in murine macrophages, which Berrino et al. theorized was due to the effects of coumarin on activating Nrf2. Gallorini and colleagues corroborated their results, finding that compound 7 increased the expression of Nrf2 in tenocytes [75]. The researchers chose to investigate only compound 7 because, unlike compound 6, compound 7 had good activity on both carbonic anhydrase isoforms, and unlike compound 8, compound 7 had the effect of increased metabolic activity in tenocytes. They also found that compound 7 decreased the superoxide anion in tenocytes under oxidative stress, suggesting a direct increase in superoxide dismutase transcription.
Figure 4.
(a) Compound 6, (b) Compound 7, and (c) Compound 8, the hybrid carbonic anhydrase inhibitor CORMs [(CAI)-CORMs].
5. Discussion
With its many forms of delivery to the body, CO has a promising future as a therapy for multiple ailments. This review summarizes the current literature regarding CO, ranging from iCO to HYCOs. Nonetheless, there are several limitations to applying CO as a treatment. The main limitation is the toxicity of the gas, which is observed at higher doses. This represents a major setback because it is more efficient at higher doses. Future studies should seek a balance between how CO can be used in a significant way for human applications without provoking cell death. The iCO therapy is currently in Phase I clinical trials, and no patients exceeded 7% of COHb, but the doses administered were low (100 and 200 ppm). Furthermore, standardization of delivery across patients may be challenging (unless, for example, a patient is on a ventilator, in which case most parameters are controlled) [16]. It is important to note that COHb levels must remain low because CO poisoning occurs when COHb levels are above 2% for nonsmokers and between 5% and 10% for smokers [76]. Although the study did not exceed the toxic level of COHb, there is a fine line between toxic and nontoxic amounts; caution is necessary when manipulating iCO if it is used as a treatment.
When it comes to CORMs and the generations of drugs that have been produced, one limitation is the significance of the effectiveness in the context of the possible toxicity. Another limitation is the rate by which the CO molecules are released and, in some cases, if all CO moieties are released. This is important because the design and production of drugs are expensive and can be relatively unstable. In our laboratory, we received small samples of CORM-401 because, as Roberto Motterlini indicated, 1 g of CORM-401 is enormously expensive. This solidified our understanding that these molecules have a high development cost, which may cause significant reservations when designing drugs using this technology. The best candidates must be chosen from the existing CORMs to address the production and financial constraints. Additionally, there is limited information regarding the biological interactions of the metal complex used as a mechanism of CO release. Because the hybrid molecules discussed in this review use a metallic CORM, they still have the limitation of metal carrier molecules.
Some studies use iCORMs as controls to properly account for the potential effects of carrier metals. iCORMs are created by inactivating the molecule of its CO-releasing properties, while keeping the carrier components intact to observe possible effects. While they cannot show the possible CO toxicity that a CORM can cause, iCORMs play an important role by demonstrating whether their carrier molecules and metal components have toxicity or biological effects. This metal/carrier toxicity has been investigated even less than CO toxicity, and future research efforts should be directed to addressing iCORMs. However, not every study investigating CORMs took the step of including iCORMs, which should be considered. The studies we reviewed here did not use iCORMs as controls, which is a potential limitation of their findings. Therefore, further research should evaluate the effects of metal complexes present in CORMs when in contact with different biological mechanisms. Additionally, there has been limited investigation of CORMs in species other than rodents; future investigations should consider other species before clinical testing can occur. Finally, targeting an exact site for CO delivery is another hindrance, considering that the use of CORMs to reduce inflammation is normally intended to be site specific. Nonetheless, non-specificity can be a positive factor in diseases in which inflammation is systemic and widespread, such as autoimmune diseases. The mechanism of the anti-inflammatory effects of CO remains poorly characterized despite numerous studies, and interpreting the significance of its actions may be necessary before it can be applied to trauma or other diseases that have a specific location. We hope these limitations will be addressed in future publications. Specifically, future publications testing the effects of HYCOs should use their iCORM counterparts to adequately control for the impact of carrier molecules. Furthermore, research is needed about HYCOs in preclinical models to ensure that these molecules can be used in clinical studies as treatments for human diseases.
Our laboratory is particularly interested in acute brain injuries and chronic neurodegenerative diseases, including stroke and head trauma. We believe that HYCOs present an exciting new therapeutic agent regarding neuroprotection and treating these ailments. As demonstrated in this review, the combined anti-inflammatory/antioxidative effects of Nrf2 inducers and CORMs joined in one molecule are more potent than either molecule alone, in part because the therapeutic effects of CO are mediated through the Nrf2 pathway. Additionally, both CO/CORMs and Nrf2 inducers have well-documented anti-inflammatory effects, in addition to reported antithrombotic, vasodilative, pro-angiogenic, and anti-apoptotic effects, all of which play a role after stroke, transient ischemia-reperfusion, brain hemorrhage, and traumatic brain injury. With this understanding, we hope that future studies build on the current literature regarding HYCOs to investigate their effects against stroke, neurodegeneration, and traumatic brain injury. As mentioned previously, the Nrf2 inducer DMF is approved by the FDA to treat multiple sclerosis, a debilitating neurodegenerative disease, and psoriasis. As a starting point, it would be interesting to further investigate the effects of HYCOs on multiple sclerosis. Various groups have been demonstrating that CORMs and, by extension, HYCOs are powerful in murine models of this disease [57,70,77].
6. Conclusions
CO has many potential applications for therapeutic use. Here, we presented iCO, CORMs, photoCORMs, HYCOs, and FumET-CORMs as treatments for the inflammation of various ailments. Out of all of the forms, the only treatment with an existing clinical trial experiment to date is iCO, but it remains at Phase I as of this writing. We believe that with the many studied forms of CO delivery, there are promising benefits to using HYCOs for medical purposes; however, more studies are needed before they can be used clinically. HYCOs were shown to provide benefits such as anti-inflammation by releasing CO themselves and activating the HO1/Nrf2 pathway. Both processes downregulate TNFα, IL-1β, and IL-6 and upregulate the expression of HO1 and other antioxidant enzymes and proteins. These effects can be especially significant in acute trauma because they are almost always followed by inflammation, which can be harmful to patients, especially if there is a risk of systemic inflammatory response syndrome or sepsis. Aside from trauma, the current literature illustrates that CO is a useful inducible transmitter for diseases such as ischemic stroke, ARDS, COPD, and others. With further research, HYCOs should be considered as a treatment in the future, especially for brain injury and neurodegeneration.
Author Contributions
Conceptualization, S.D.; investigation, F.C. and I.M.C.; resources, S.D.; writing—original draft preparation, F.C. and I.M.C.; writing—review and editing, F.C., I.M.C., M.F., R.H. and J.L.; visualization, F.C., I.M.C. and J.L.; funding acquisition, S.D. All authors have read and agreed to the published version of the manuscript.
Funding
This work was supported in part by grants from the National Institutes of Health (NS095166, NS103036, NS110008, NS116076) and the Department of Defense (AZ180127).
Institutional Review Board Statement
Not applicable.
Informed Consent Statement
Not applicable.
Data Availability Statement
The data presented in this study are available on request from the corresponding author.
Acknowledgments
We thank all members of the NeuroICU Doré Lab, the Department of Anesthesiology, and all colleagues with whom we have collaborated over the years.
Conflicts of Interest
The authors declare no conflict of interest. The funders had no role in the study’s design; in the collection, analyses, or interpretation of data; in the writing of the manuscript; or in the decision to publish this review.
Literature Search
To complete this review, we used the databases PubMed, Embase, Google Scholar, and the University of Florida Library OneSearch. We used the following search terms: “carbon monoxide releasing molecules” and “Nrf2 inducers”; “carbon monoxide releasing molecules” and “Nrf2”; “carbon monoxide releasing molecules” and “Nrf2 activation”; “CORM” and “Nrf2”; “CORM” and “Nrf2 inducer”; “CORM” and “Nrf2 activation”; “Nrf2 inducer” and “HO-1”; “CO-releasing” and “Nrf2”; “HYCO” and “CO”; “HYCO”; “ET-CORMs”; “ET-CORMs” and Nrf2”; “FumET-CORMs”; “CO donor” and Nrf2”; “CO” and “Nrf2”; “Nrf2 activation” and “CO donor”; “CO donor” and “Nrf2 inducer.” We excluded articles that were not written or translated into English.
References
- Ismailova, A.; Kuter, D.; Bohle, D.S.; Butler, I.S. An Overview of the Potential Therapeutic Applications of CO-Releasing Molecules. Bioinorg. Chem. Appl. 2018, 2018, 8547364. [Google Scholar] [CrossRef] [PubMed] [Green Version]
- Abdel-Zaher, A.O.; Abd-Ellatief, R.B.; Aboulhagag, N.A.; Farghaly, H.S.M.; Al-Wasei, F.M.M. The potential relationship between gasotransmitters and oxidative stress, inflammation and apoptosis in lead-induced hepatotoxicity in rats. Tissue Cell 2021, 71, 101511. [Google Scholar] [CrossRef] [PubMed]
- Foresti, R.; Bani-Hani, M.G.; Motterlini, R. Use of carbon monoxide as a therapeutic agent: Promises and challenges. Intensive Care Med. 2008, 34, 649–658. [Google Scholar] [CrossRef]
- Kim, H.P.; Ryter, S.W.; Choi, A.M.K. CO as a cellular signaling molecule. Annu. Rev. Pharmacol. Toxicol. 2006, 46, 411–449. [Google Scholar] [CrossRef] [PubMed]
- Mann, B.E. Carbon monoxide: An essential signalling molecule. In Medicinal Organometallic Chemistry; Jaouen, G., Metzler-Nolte, N., Eds.; Topics in organometallic chemistry; Springer: Berlin/Heidelberg, Germany, 2010; Volume 32, pp. 247–285. [Google Scholar]
- Verma, A.; Hirsch, D.J.; Glatt, C.E.; Ronnett, G.V.; Snyder, S.H. Carbon monoxide: A putative neural messenger. Science 1993, 259, 381–384. [Google Scholar] [CrossRef] [PubMed]
- Hofmann, F. The cGMP system: Components and function. Biol. Chem. 2020, 401, 447–469. [Google Scholar] [CrossRef] [Green Version]
- Gomez, H.; Kautza, B.; Escobar, D.; Nassour, I.; Luciano, J.; Botero, A.M.; Gordon, L.; Martinez, S.; Holder, A.; Ogundele, O.; et al. Inhaled Carbon Monoxide Protects against the Development of Shock and Mitochondrial Injury following Hemorrhage and Resuscitation. PLoS ONE 2015, 10, e0135032. [Google Scholar] [CrossRef] [Green Version]
- Li, H.; Huang, M.-H.; Jiang, J.-D.; Peng, Z.-G. Hepatitis C: From inflammatory pathogenesis to anti-inflammatory/hepatoprotective therapy. World J. Gastroenterol. 2018, 24, 5297–5311. [Google Scholar] [CrossRef] [PubMed]
- Naggie, S.; Muir, A.J. Oral combination therapies for hepatitis C virus infection: Successes, challenges, and unmet needs. Annu. Rev. Med. 2017, 68, 345–358. [Google Scholar] [CrossRef]
- Soleimanpour, M.; Imani, F.; Safari, S.; Sanaie, S.; Soleimanpour, H.; Ameli, H.; Alavian, S.M. The Role of Non-Steroidal Anti-Inflammatory Drugs (NSAIDs) in the Treatment of Patients with Hepatic Disease: A Review Article. Anesth. Pain Med. 2016, 6, e37822. [Google Scholar] [CrossRef] [Green Version]
- Hersi, K.; Gonzalez, F.J.; Kondamudi, N.P. Meningitis. In StatPearls; StatPearls Publishing: Treasure Island, FL, USA, 2021. [Google Scholar]
- Young, N.; Thomas, M. Meningitis in adults: Diagnosis and management. Intern. Med. J. 2018, 48, 1294–1307. [Google Scholar] [CrossRef] [PubMed] [Green Version]
- El Bashir, H.; Laundy, M.; Booy, R. Diagnosis and treatment of bacterial meningitis. Arch. Dis. Child. 2003, 88, 615–620. [Google Scholar] [CrossRef] [PubMed] [Green Version]
- Fredenburgh, L.E.; Kraft, B.D.; Hess, D.R.; Harris, R.S.; Wolf, M.A.; Suliman, H.B.; Roggli, V.L.; Davies, J.D.; Winkler, T.; Stenzler, A.; et al. Effects of inhaled CO administration on acute lung injury in baboons with pneumococcal pneumonia. Am. J. Physiol. Lung Cell Mol. Physiol. 2015, 309, L834–L846. [Google Scholar] [CrossRef] [PubMed]
- Fredenburgh, L.E.; Perrella, M.A.; Barragan-Bradford, D.; Hess, D.R.; Peters, E.; Welty-Wolf, K.E.; Kraft, B.D.; Harris, R.S.; Maurer, R.; Nakahira, K.; et al. A phase I trial of low-dose inhaled carbon monoxide in sepsis-induced ARDS. JCI Insight 2018, 3, e124039. [Google Scholar] [CrossRef] [PubMed] [Green Version]
- Motterlini, R.; Clark, J.E.; Foresti, R.; Sarathchandra, P.; Mann, B.E.; Green, C.J. Carbon monoxide-releasing molecules: Characterization of biochemical and vascular activities. Circ. Res. 2002, 90, E17–E24. [Google Scholar] [CrossRef] [PubMed] [Green Version]
- Poulos, T.L. Heme enzyme structure and function. Chem. Rev. 2014, 114, 3919–3962. [Google Scholar] [CrossRef] [Green Version]
- Siracusa, R.; Schaufler, A.; Calabrese, V.; Fuller, P.M.; Otterbein, L.E. Carbon Monoxide: From Poison to Clinical Trials. Trends Pharmacol. Sci. 2021, 42, 329–339. [Google Scholar] [CrossRef]
- Piazza, M.; Damore, G.; Costa, B.; Gioannini, T.L.; Weiss, J.P.; Peri, F. Hemin and a metabolic derivative coprohemin modulate the TLR4 pathway differently through different molecular targets. Innate Immun. 2011, 17, 293–301. [Google Scholar] [CrossRef] [Green Version]
- Kumar, S.; Bandyopadhyay, U. Free heme toxicity and its detoxification systems in human. Toxicol. Lett. 2005, 157, 175–188. [Google Scholar] [CrossRef] [PubMed]
- Fraser, S.T.; Midwinter, R.G.; Berger, B.S.; Stocker, R. Heme Oxygenase-1: A Critical Link between Iron Metabolism, Erythropoiesis, and Development. Adv. Hematol. 2011, 2011, 473709. [Google Scholar] [CrossRef] [Green Version]
- Leffler, C.W.; Parfenova, H.; Jaggar, J.H. Carbon monoxide as an endogenous vascular modulator. Am. J. Physiol. Heart Circ. Physiol. 2011, 301, H1–H11. [Google Scholar] [CrossRef] [Green Version]
- Ahmad, A.S.; Zhuang, H.; Doré, S. Heme oxygenase-1 protects brain from acute excitotoxicity. Neuroscience 2006, 141, 1703–1708. [Google Scholar] [CrossRef] [PubMed]
- Kim, D.-H.; Yoon, H.-J.; Cha, Y.-N.; Surh, Y.-J. Role of heme oxygenase-1 and its reaction product, carbon monoxide, in manifestation of breast cancer stem cell-like properties: Notch-1 as a putative target. Free Radic. Res. 2018, 52, 1336–1347. [Google Scholar] [CrossRef]
- Liu, L.; Locascio, L.M.; Doré, S. Critical role of nrf2 in experimental ischemic stroke. Front. Pharmacol. 2019, 10, 153. [Google Scholar] [CrossRef] [PubMed] [Green Version]
- Leonardo, C.C.; Doré, S. Dietary flavonoids are neuroprotective through Nrf2-coordinated induction of endogenous cytoprotective proteins. Nutr. Neurosci. 2011, 14, 226–236. [Google Scholar] [CrossRef] [PubMed] [Green Version]
- Srisook, K.; Kim, C.; Cha, Y.-N. Molecular mechanisms involved in enhancing HO-1 expression: De-repression by heme and activation by Nrf2, the “one-two” punch. Antioxid. Redox Signal. 2005, 7, 1674–1687. [Google Scholar] [CrossRef] [PubMed]
- Balogun, E.; Hoque, M.; Gong, P.; Killeen, E.; Green, C.J.; Foresti, R.; Alam, J.; Motterlini, R. Curcumin activates the haem oxygenase-1 gene via regulation of Nrf2 and the antioxidant-responsive element. Biochem. J. 2003, 371, 887–895. [Google Scholar] [CrossRef] [PubMed] [Green Version]
- Wilson, J.L.; Fayad Kobeissi, S.; Oudir, S.; Haas, B.; Michel, B.; Dubois Randé, J.-L.; Ollivier, A.; Martens, T.; Rivard, M.; Motterlini, R.; et al. Design and synthesis of new hybrid molecules that activate the transcription factor Nrf2 and simultaneously release carbon monoxide. Chem. Eur. J. 2014, 20, 14698–14704. [Google Scholar] [CrossRef]
- Li, X.; Zhang, Q.; Hou, N.; Li, J.; Liu, M.; Peng, S.; Zhang, Y.; Luo, Y.; Zhao, B.; Wang, S.; et al. Carnosol as a nrf2 activator improves endothelial barrier function through antioxidative mechanisms. Int. J. Mol. Sci. 2019, 20, 880. [Google Scholar] [CrossRef] [Green Version]
- Shafer, D.; Tombes, M.B.; Shrader, E.; Ryan, A.; Bandyopadhyay, D.; Dent, P.; Malkin, M. Phase I trial of dimethyl fumarate, temozolomide, and radiation therapy in glioblastoma. Neurooncol. Adv. 2020, 2, vdz052. [Google Scholar] [CrossRef]
- Ma, Q. Role of nrf2 in oxidative stress and toxicity. Annu. Rev. Pharmacol. Toxicol. 2013, 53, 401–426. [Google Scholar] [CrossRef] [Green Version]
- Qin, S.; Du, R.; Yin, S.; Liu, X.; Xu, G.; Cao, W. Nrf2 is essential for the anti-inflammatory effect of carbon monoxide in LPS-induced inflammation. Inflamm. Res. 2015, 64, 537–548. [Google Scholar] [CrossRef] [PubMed]
- Upadhyay, K.K.; Jadeja, R.N.; Thadani, J.M.; Joshi, A.; Vohra, A.; Mevada, V.; Patel, R.; Khurana, S.; Devkar, R.V. Carbon monoxide releasing molecule A-1 attenuates acetaminophen-mediated hepatotoxicity and improves survival of mice by induction of Nrf2 and related genes. Toxicol. Appl. Pharmacol. 2018, 360, 99–108. [Google Scholar] [CrossRef] [PubMed]
- Upadhyay, K.K.; Jadeja, R.N.; Vyas, H.S.; Pandya, B.; Joshi, A.; Vohra, A.; Thounaojam, M.C.; Martin, P.M.; Bartoli, M.; Devkar, R.V. Carbon monoxide releasing molecule-A1 improves nonalcoholic steatohepatitis via Nrf2 activation mediated improvement in oxidative stress and mitochondrial function. Redox Biol. 2020, 28, 101314. [Google Scholar] [CrossRef] [PubMed]
- Kim, K.M.; Pae, H.-O.; Zheng, M.; Park, R.; Kim, Y.-M.; Chung, H.-T. Carbon monoxide induces heme oxygenase-1 via activation of protein kinase R-like endoplasmic reticulum kinase and inhibits endothelial cell apoptosis triggered by endoplasmic reticulum stress. Circ. Res. 2007, 101, 919–927. [Google Scholar] [CrossRef] [PubMed] [Green Version]
- Ogaki, S.; Taguchi, K.; Maeda, H.; Watanabe, H.; Ishima, Y.; Otagiri, M.; Maruyama, T. Kupffer cell inactivation by carbon monoxide bound to red blood cells preserves hepatic cytochrome P450 via anti-oxidant and anti-inflammatory effects exerted through the HMGB1/TLR-4 pathway during resuscitation from hemorrhagic shock. Biochem. Pharmacol. 2015, 97, 310–319. [Google Scholar] [CrossRef] [PubMed]
- Hoetzel, A.; Dolinay, T.; Vallbracht, S.; Zhang, Y.; Kim, H.P.; Ifedigbo, E.; Alber, S.; Kaynar, A.M.; Schmidt, R.; Ryter, S.W.; et al. Carbon monoxide protects against ventilator-induced lung injury via PPAR-gamma and inhibition of Egr-1. Am. J. Respir. Crit. Care Med. 2008, 177, 1223–1232. [Google Scholar] [CrossRef] [Green Version]
- Nagao, S.; Taguchi, K.; Sakai, H.; Yamasaki, K.; Watanabe, H.; Otagiri, M.; Maruyama, T. Carbon monoxide-bound hemoglobin vesicles ameliorate multiorgan injuries induced by severe acute pancreatitis in mice by their anti-inflammatory and antioxidant properties. Int. J. Nanomed. 2016, 11, 5611–5620. [Google Scholar] [CrossRef] [Green Version]
- Wang, B.; Cao, W.; Biswal, S.; Doré, S. Carbon monoxide-activated Nrf2 pathway leads to protection against permanent focal cerebral ischemia. Stroke 2011, 42, 2605–2610. [Google Scholar] [CrossRef] [Green Version]
- Song, B.; Zhang, C.; Hu, W.; Guo, C.; Xia, Z.; Hu, W.; Qin, M.; Jiang, W.; Lv, J.; Xu, D.; et al. Nano-designed carbon monoxide donor SMA/CORM2 exhibits protective effect against acetaminophen induced liver injury through macrophage reprograming and promoting liver regeneration. J. Control. Release 2021, 331, 350–363. [Google Scholar] [CrossRef]
- Cepinskas, G.; Katada, K.; Bihari, A.; Potter, R.F. Carbon monoxide liberated from carbon monoxide-releasing molecule CORM-2 attenuates inflammation in the liver of septic mice. Am. J. Physiol. Gastrointest. Liver Physiol. 2008, 294, G184–G191. [Google Scholar] [CrossRef] [PubMed]
- Dolinay, T.; Szilasi, M.; Liu, M.; Choi, A.M.K. Inhaled carbon monoxide confers antiinflammatory effects against ventilator-induced lung injury. Am. J. Respir. Crit. Care Med. 2004, 170, 613–620. [Google Scholar] [CrossRef] [Green Version]
- Bathoorn, E.; Slebos, D.J.; Postma, D.S.; Koeter, G.H.; van Oosterhout, A.J.M.; van der Toorn, M.; Boezen, H.M.; Kerstjens, H.A.M. Anti-inflammatory effects of inhaled carbon monoxide in patients with COPD: A pilot study. Eur. Respir. J. 2007, 30, 1131–1137. [Google Scholar] [CrossRef]
- Vadori, M.; Seveso, M.; Besenzon, F.; Bosio, E.; Tognato, E.; Fante, F.; Boldrin, M.; Gavasso, S.; Ravarotto, L.; Mann, B.E.; et al. In vitro and in vivo effects of the carbon monoxide-releasing molecule, CORM-3, in the xenogeneic pig-to-primate context. Xenotransplantation 2009, 16, 99–114. [Google Scholar] [CrossRef] [PubMed]
- Quinn, D.K.; McGahee, S.M.; Politte, L.C.; Duncan, G.N.; Cusin, C.; Hopwood, C.J.; Stern, T.A. Complications of carbon monoxide poisoning: A case discussion and review of the literature. Prim. Care Companion J. Clin. Psychiatry 2009, 11, 74–79. [Google Scholar] [CrossRef] [Green Version]
- Schatzschneider, U. Novel lead structures and activation mechanisms for CO-releasing molecules (CORMs). Br. J. Pharmacol. 2015, 172, 1638–1650. [Google Scholar] [CrossRef] [PubMed] [Green Version]
- Romão, C.C.; Blättler, W.A.; Seixas, J.D.; Bernardes, G.J.L. Developing drug molecules for therapy with carbon monoxide. Chem. Soc. Rev. 2012, 41, 3571–3583. [Google Scholar] [CrossRef] [PubMed]
- Clark, J.E.; Naughton, P.; Shurey, S.; Green, C.J.; Johnson, T.R.; Mann, B.E.; Foresti, R.; Motterlini, R. Cardioprotective actions by a water-soluble carbon monoxide-releasing molecule. Circ. Res. 2003, 93, e2–e8. [Google Scholar] [CrossRef] [Green Version]
- Abeyrathna, N.; Washington, K.; Bashur, C.; Liao, Y. Nonmetallic carbon monoxide releasing molecules (CORMs). Org. Biomol. Chem. 2017, 15, 8692–8699. [Google Scholar] [CrossRef]
- Motterlini, R.; Sawle, P.; Hammad, J.; Bains, S.; Alberto, R.; Foresti, R.; Green, C.J. CORM-A1: A new pharmacologically active carbon monoxide-releasing molecule. FASEB J. 2005, 19, 284–286. [Google Scholar] [CrossRef] [PubMed] [Green Version]
- Xue, J.; Habtezion, A. Carbon monoxide-based therapy ameliorates acute pancreatitis via TLR4 inhibition. J. Clin. Investig. 2014, 124, 437–447. [Google Scholar] [CrossRef] [PubMed] [Green Version]
- Chen, Z.; Zhang, H.; Zhou, J.; Stone, C.; Ding, Y.; Zhang, Y.; Ren, C.; Yin, X.; Meng, R. CORM-2 inhibits intracerebral hemorrhage-mediated inflammation. Neurol. Res. 2021, 1–8. [Google Scholar] [CrossRef]
- Ryan, M.J.; Jernigan, N.L.; Drummond, H.A.; McLemore, G.R.; Rimoldi, J.M.; Poreddy, S.R.; Gadepalli, R.S.V.; Stec, D.E. Renal vascular responses to CORM-A1 in the mouse. Pharmacol. Res. 2006, 54, 24–29. [Google Scholar] [CrossRef]
- Mangano, K.; Cavalli, E.; Mammana, S.; Basile, M.S.; Caltabiano, R.; Pesce, A.; Puleo, S.; Atanasov, A.G.; Magro, G.; Nicoletti, F.; et al. Involvement of the Nrf2/HO-1/CO axis and therapeutic intervention with the CO-releasing molecule CORM-A1, in a murine model of autoimmune hepatitis. J. Cell Physiol. 2018, 233, 4156–4165. [Google Scholar] [CrossRef] [PubMed]
- Fagone, P.; Mangano, K.; Quattrocchi, C.; Motterlini, R.; Di Marco, R.; Magro, G.; Penacho, N.; Romao, C.C.; Nicoletti, F. Prevention of clinical and histological signs of proteolipid protein (PLP)-induced experimental allergic encephalomyelitis (EAE) in mice by the water-soluble carbon monoxide-releasing molecule (CORM)-A1. Clin. Exp. Immunol. 2011, 163, 368–374. [Google Scholar] [CrossRef] [PubMed]
- Rimmer, R.D.; Richter, H.; Ford, P.C. A photochemical precursor for carbon monoxide release in aerated aqueous media. Inorg. Chem. 2010, 49, 1180–1185. [Google Scholar] [CrossRef] [PubMed]
- Palao, E.; Slanina, T.; Muchová, L.; Šolomek, T.; Vítek, L.; Klán, P. Transition-Metal-Free CO-Releasing BODIPY Derivatives Activatable by Visible to NIR Light as Promising Bioactive Molecules. J. Am. Chem. Soc. 2016, 138, 126–133. [Google Scholar] [CrossRef]
- McLean, S.; Mann, B.E.; Poole, R.K. Sulfite species enhance carbon monoxide release from CO-releasing molecules: Implications for the deoxymyoglobin assay of activity. Anal. Biochem. 2012, 427, 36–40. [Google Scholar] [CrossRef] [PubMed]
- Kaczara, P.; Motterlini, R.; Rosen, G.M.; Augustynek, B.; Bednarczyk, P.; Szewczyk, A.; Foresti, R.; Chlopicki, S. Carbon monoxide released by CORM-401 uncouples mitochondrial respiration and inhibits glycolysis in endothelial cells: A role for mitoBKCa channels. Biochim. Biophys. Acta 2015, 1847, 1297–1309. [Google Scholar] [CrossRef] [PubMed] [Green Version]
- Fayad-Kobeissi, S.; Ratovonantenaina, J.; Dabiré, H.; Wilson, J.L.; Rodriguez, A.M.; Berdeaux, A.; Dubois-Randé, J.-L.; Mann, B.E.; Motterlini, R.; Foresti, R. Vascular and angiogenic activities of CORM-401, an oxidant-sensitive CO-releasing molecule. Biochem. Pharmacol. 2016, 102, 64–77. [Google Scholar] [CrossRef] [PubMed]
- Braud, L.; Pini, M.; Wilson, J.L.; Czibik, G.; Sawaki, D.; Derumeaux, G.; Foresti, R.; Motterlini, R. A carbon monoxide-releasing molecule (CORM-401) induces a metabolic switch in adipocytes and improves insulin-sensitivity on high fat diet-induced obesity in mice. Arch. Cardiovasc. Dis. Suppl. 2018, 10, 188. [Google Scholar] [CrossRef]
- Bhattacharjee, R.N.; Richard-Mohamed, M.; Sun, Q.; Haig, A.; Aboalsamh, G.; Barrett, P.; Mayer, R.; Alhasan, I.; Pineda-Solis, K.; Jiang, L.; et al. CORM-401 Reduces Ischemia Reperfusion Injury in an Ex Vivo Renal Porcine Model of the Donation After Circulatory Death. Transplantation 2018, 102, 1066–1074. [Google Scholar] [CrossRef] [PubMed]
- Yang, G.; Fan, M.; Zhu, J.; Ling, C.; Wu, L.; Zhang, X.; Zhang, M.; Li, J.; Yao, Q.; Gu, Z.; et al. A multifunctional anti-inflammatory drug that can specifically target activated macrophages, massively deplete intracellular H2O2, and produce large amounts CO for a highly efficient treatment of osteoarthritis. Biomaterials 2020, 255, 120155. [Google Scholar] [CrossRef]
- Brieger, K.; Schiavone, S.; Miller, F.J.; Krause, K.H. Reactive oxygen species: From health to disease. Swiss Med. Wkly 2012, 142, w13659. [Google Scholar] [CrossRef] [PubMed]
- Nikam, A.; Ollivier, A.; Rivard, M.; Wilson, J.L.; Mebarki, K.; Martens, T.; Dubois-Randé, J.-L.; Motterlini, R.; Foresti, R. Diverse Nrf2 Activators Coordinated to Cobalt Carbonyls Induce Heme Oxygenase-1 and Release Carbon Monoxide in Vitro and in Vivo. J. Med. Chem. 2016, 59, 756–762. [Google Scholar] [CrossRef]
- Motterlini, R.; Nikam, A.; Manin, S.; Ollivier, A.; Wilson, J.L.; Djouadi, S.; Muchova, L.; Martens, T.; Rivard, M.; Foresti, R. HYCO-3, a dual CO-releaser/Nrf2 activator, reduces tissue inflammation in mice challenged with lipopolysaccharide. Redox Biol 2019, 20, 334–348. [Google Scholar] [CrossRef]
- Ollivier, A.; Foresti, R.; El Ali, Z.; Martens, T.; Kitagishi, H.; Motterlini, R.; Rivard, M. Design and Biological Evaluation of Manganese- and Ruthenium-Based Hybrid CO-RMs (HYCOs). ChemMedChem 2019, 14, 1684–1691. [Google Scholar] [CrossRef]
- El Ali, Z.; Ollivier, A.; Manin, S.; Rivard, M.; Motterlini, R.; Foresti, R. Therapeutic effects of CO-releaser/Nrf2 activator hybrids (HYCOs) in the treatment of skin wound, psoriasis and multiple sclerosis. Redox Biol. 2020, 34, 101521. [Google Scholar] [CrossRef]
- Romanski, S.; Stamellou, E.; Jaraba, J.T.; Storz, D.; Krämer, B.K.; Hafner, M.; Amslinger, S.; Schmalz, H.G.; Yard, B.A. Enzyme-triggered CO-releasing molecules (ET-CORMs): Evaluation of biological activity in relation to their structure. Free Radic. Biol. Med. 2013, 65, 78–88. [Google Scholar] [CrossRef]
- Bauer, B.; Göderz, A.-L.; Braumüller, H.; Neudörfl, J.M.; Röcken, M.; Wieder, T.; Schmalz, H.-G. Methyl Fumarate-Derived Iron Carbonyl Complexes (FumET-CORMs) as Powerful Anti-inflammatory Agents. ChemMedChem 2017, 12, 1927–1930. [Google Scholar] [CrossRef]
- Berrino, E.; Carradori, S.; Angeli, A.; Carta, F.; Supuran, C.T.; Guglielmi, P.; Coletti, C.; Paciotti, R.; Schweikl, H.; Maestrelli, F.; et al. Dual Carbonic Anhydrase IX/XII Inhibitors and Carbon Monoxide Releasing Molecules Modulate LPS-Mediated Inflammation in Mouse Macrophages. Antioxidants 2021, 10, 56. [Google Scholar] [CrossRef] [PubMed]
- Berrino, E.; Milazzo, L.; Micheli, L.; Vullo, D.; Angeli, A.; Bozdag, M.; Nocentini, A.; Menicatti, M.; Bartolucci, G.; di Cesare Mannelli, L.; et al. Synthesis and Evaluation of Carbonic Anhydrase Inhibitors with Carbon Monoxide Releasing Properties for the Management of Rheumatoid Arthritis. J. Med. Chem. 2019, 62, 7233–7249. [Google Scholar] [CrossRef] [PubMed]
- Gallorini, M.; Berardi, A.C.; Ricci, A.; Passeri, C.A.L.; Zara, S.; Oliva, F.; Cataldi, A.; Carta, F.; Carradori, S. Dual acting carbon monoxide releasing molecules and carbonic anhydrase inhibitors differentially modulate inflammation in human tenocytes. Biomedicines 2021, 9, 141. [Google Scholar] [CrossRef] [PubMed]
- Veronesi, A.; Pecoraro, V.; Zauli, S.; Ottone, M.; Leonardi, G.; Lauriola, P.; Trenti, T. Use of carboxyhemoglobin as a biomarker of environmental CO exposure: Critical evaluation of the literature. Environ. Sci. Pollut. Res. Int. 2017, 24, 25798–25809. [Google Scholar] [CrossRef] [PubMed]
- Fagone, P.; Mangano, K.; Coco, M.; Perciavalle, V.; Garotta, G.; Romao, C.C.; Nicoletti, F. Therapeutic potential of carbon monoxide in multiple sclerosis. Clin. Exp. Immunol. 2012, 167, 179–187. [Google Scholar] [CrossRef] [PubMed]
Publisher’s Note: MDPI stays neutral with regard to jurisdictional claims in published maps and institutional affiliations. |
© 2021 by the authors. Licensee MDPI, Basel, Switzerland. This article is an open access article distributed under the terms and conditions of the Creative Commons Attribution (CC BY) license (https://creativecommons.org/licenses/by/4.0/).



