Abstract
The large originator pharmaceutical companies need more and more new compounds for their molecule banks, because high throughput screening (HTS) is still a widely used method to find new hits in the course of the lead discovery. In the design and synthesis of a new compound library, important points are in focus nowadays: Lipinski’s rule of five (RO5); the high Fsp3 character; the use of bioisosteric heterocycles instead of aromatic rings. With said aim in mind, we have synthesized a small compound library of new spiro[cycloalkane-pyridazinones] with 36 members. The compounds with this new scaffold may be useful in various drug discovery projects.
1. Introduction
There are various methods used to find a hit that will later be a lead compound in the development of a new drug, a new chemical entity. Nowadays the most up-to-date methods are, e.g., computer aided drug design and the fragment-based techniques. High-throughput screening (HTS) [1,2] is a widely used method, which needs a large number of compounds. The large companies which are interested in the development of originator pharmaceutical products have their own molecule banks, with possible extensive compound libraries. In the building up of a compound library, the advantageous physicochemical parameters of the compounds, the so called ADME (absorption, distribution, metabolism, excretion) parameters, are very important aspects. Large companies do not allow one to put new compounds with disadvantageous parameters or with known toxicity into their molecule banks.
After the publication of Lipinski’s “rule of five” (RO5) [3,4,5], more and more attention was paid to the physicochemical parameters of the drug candidate molecules. According to Lipinski’s rules, it is advantageous from the points of view of solubility and permeability if the number of H-bond donors is less than 5, the number of H-bond acceptors is less 10, the calculated logP (P = octanol–water partition coefficient, clogP) is under 5, and the molecular mass is lower than 500. LogP provides valuable information about the lipophilic/hydrophobic property of the molecule which strongly influences the absorption of the substance, its interaction with the receptor, its metabolism, and its toxicity.
Later, other important properties were studied. Veber et al. [6] suggested that the polar surface area should be smaller than 140 A2 and the number of rotatable bonds should be ten or less in an ideal case. The fulfillment of these two criteria provides the opportunity for good oral bioavailability. Today these parameters are routinely studied to predict the drug candidates’ pharmacokinetics and ADME profiles [3]. Over the past decade there has been an increasing practice of creating structurally more complex molecules which are closer to natural materials and provide an opportunity to produce new types of compounds.
Lovering et al. [7,8] defined the complexity with the saturation of molecules. Saturation allows the formation of molecules with more complex structures and the expansion of the structural versatility of the compounds without significant increases in molecular weight. It was also supposed that increasing Fsp3 character may improve the physicochemical properties of the molecules which contribute to clinical success. Lovering and his coworkers [7,8] introduced the definition of the Fsp3 character, which is an important parameter to characterize the drug-likeness. Fraction of sp3 carbons means: Fsp3 = number of carbons with sp3 hybridization /total number of carbon atoms. Thousands of compounds which reached a phase of drug research (research phase, Phase I–III, drugs) were selected from GVK BIO Biosciences’ database and analyzed by their sp3 character. From the data obtained, it was concluded that the average Fsp3 character was 0.36 for research compounds and it increased to 0.47 for drugs. This growth trend was observed in all phases of drug research. The degree of saturation also affects the physical properties of the compounds. With increasing sp3 character, the water solubility increases and the melting point decreases. This way, one is more likely to produce compounds which have favorable ADME parameters, which increases their chances of becoming clinical candidates [7,8].
M. Hansson et al. studied the relationship between molecular hit rates in HTS and molecular descriptors. They established that ClogP and Fsp3 had the largest influences on the hit rate [9]. This inspired researchers to synthesize new compound with high Fsp3 character. For example, after a HTS study, Hirata and coworkers [10 developed a new series of RORγ inhibitors, which was guided by Fsp3 character and ligand efficiency (LE). Both of them are important drug-likeness metrics. With a careful design, the authors could improve the metabolic stability and reduce the CYP inhibition of their orally efficacious RORγ inhibitors (Scheme 1).
Scheme 1.
Development of a new series of RORγ inhibitors guided by LE and Fsp3.
M. H. Clausen et al. published another example for the synthesis of compounds with high Fsp3 character [10,11]. They established a library of fluorinated Fsp3-rich fragments for 19F-NMR based screening in fragment based drug discovery (FBDD), which is one of the most important methods of searching for a lead in drug discovery. The synthesized 115 fluorinated fragments gave valuable hits against four diverse protein targets in 19F-NMR screening.
Normally, the 3D descriptors perform better in lead-compound searches than 2D descriptors, such as Fsp3 or logP. D. C. Kombo et al. [12] showed the importance of the 2D and 3D molecular descriptors for clinical success. They studied the MDL Drug Data Report (MDDR) database; the compounds were monitored from the preclinical phase to the market. According their experience, these shape-based 3D molecular descriptors predicted the success or withdrawal from the market of a compound at preclinical or Phase I stage better than logD or Fsp3.
J. H. Nettles and coworkers [13] used 2D and 3D molecular descriptors for target fishing connecting the chemical and biological space. They compared the 2D and 3D molecular descriptors for prediction of the biological targets. This method was based on the similarity to reference molecules of the biologically active compounds in a chemical database with 46,000 compounds. They concluded that 2D molecular descriptors were more successful in target prediction, while the 3D molecular descriptors seemed to be better in cases of singletons, which showed low structural similarity to other molecules in the database. It is worth combining both 2D and 3D descriptors.
Ritchie and coworkers [14] studied the role of the number of aromatic rings in the compound’s developability. The effects of aromatic ring number on various developmental parameters were analyzed, such as water solubility, lipophilicity, serum albumin binding, CyP450 inhibition, and hERG inhibition. They concluded that the presence of fewer aromatic rings in an oral drug candidate is beneficial in regard of developability. In addition, the presence of more than three aromatic rings in a molecule correlates with poor prospects in the development, thereby reducing the chances of successful drug discovery. Further analyzes [15] have also shown that the replacement of an aromatic ring with a bioisoster heteroaromatic ring has a good effect on development. This can explain why the number of approved drugs with heteroaromatic rings is rising.
The expansion of the chemical space is another important point of view when building up a new compound library. In spite of the fact that spirocycles have been published for sixty years, this compound family remained at the periphery of drug discovery earlier [16]. Nowadays there are a few drugs on the market or under development [17,18,19,20,21]. The natural product Griseofulvin has antifungal activity [22]. The steroid derivative spironolactone is used for the treatment of fluid retention, edema, and symptoms of heart failure (Figure 1) [23]. Recently the FDA approved the calcitonin gene-related peptide receptor antagonist ubrogepant for the acute treatment of migraines [24]. The spiro moiety usually has high Fsp3 character and its advantage is that it makes possible greater three-dimensionality than the aromatic rings. Y-J. Zheng and C. M. Tice collected interesting examples wherein spirocyclic scaffolds were applied in drug discovery [25].
Figure 1.
Drugs with spirocyclic scaffolds.
A further way to improve the physicochemical properties of the compounds is to replace the phenyl or pyridyl rings with bioisoster rings containing two nitrogens: pyridazine, pyrimidine, or pyrazine. This increases the drug-likeness of the molecules, and generally the ADME profile, log P values, solubility, and absorption are more favorable [26]. For example, pyridazin-3(2H)-on is a valuable structural moiety which can be a good starting point for drug research projects [27]. The pyridazine ring can be easily functionalized in various positions, making it an attractive synthetic building block for the preparation of new compounds [28]. Various structural modifications on the ring system containing the pyridazinone unit have resulted in compounds with favorable biological activity [29]. Over the past few decades, many papers and patents have been published on bioactive pyridazines and pyridazinones, which have been utilized in almost all therapeutic fields with various mechanisms of action [30,31]. For example, the antihypertensive hydralazine (Apresoline) is used to treat high blood pressure and heart failure [32]. The calcium sensitizer levosimendan is effective in congestive heart failure [33]. The antihypertensive bemoradan is an inhibitor of cardiac muscle cyclic AMP phosphodiesterase (PDE), which explains its cardiotonic effect [34]. The monoamine oxidase inhibitor minaprine [35,36] has an antidepressant effect. The tricyclic pipofezine (Azafen or Azaphen) [37] acts as a serotonin reuptake inhibitor. It was launched as an antidepressant in the 1960s and it is still on the market today. Emorfazone [38], as a nonsteroidal anti-inflammatory agent, has analgesic effects. See Figure 2 for said examples.
Figure 2.
Antihypertensive, antidepressant, and anti-inflammatory pyridazinone derivatives.
Imazodan [39], Amipizone [40], Zardaverine [41], and Indolidan [42] are used in veterinary medicine. Pimobendan [43] belongs to a group of selective phosphodiesterase (PDE3) inhibitors used to treat heart problems of dogs (Figure 3).
Figure 3.
Pyridazinone derivatives in veterinary medicine.
The pyridazine-containing fused ring system may have valuable biological activity. Zopolrestat is used as an aldose reductase inhibitor to treat diabetic neuropathy and nephropathy [44]. The melanin concentrating hormone 1 (MHCR-1) antagonist thienopyridazinones [45] showed in vivo anorectic properties. The pyrazolo-pyrimidinopyridazinones exhibit potent and elective phosphodiesterase 5 (PDE5) inhibitory activity [46]. KK 505 is used as an anti-asthma agent [47] (Figure 4).
Figure 4.
Biologically active pyridazinones.
2. Synthesis of Spiro[cycloalkane-pyridazinone] Derivatives
Taking into account the expected bioactivity of the pyridazine derivatives and their favorable physicochemical parameters, our attention turned to this family of compounds. Considering the advantages of compounds with high Fsp3 character, we have designed a compound library with a spiro[cycloalkane-pyridazinone] scaffold instead of the usual phenyl-pyridazinone derivatives.
2.1. Synthesis of the Starting Materials
The preparation of our starting materials 2-oxaspiro[4.5]decane-1,3-dione and 2-oxaspiro[4.4]nonane-1,3-dione was performed according to methods known in the literature, optimizing them [48,49]. In the first step, starting from cyclohexanone or cyclopentanone, we performed Knoevenagel condensation in the presence of ethyl 2-cyanoacetate (1) followed by the addition of a cyanide group. The nitrile groups were hydrolyzed with concentrated hydrochloric acid. The anhydride formation from the cycloalkyl dicarboxylic acids (4a, 4b) was also examined with two reagents: acetic anhydride and acetyl chloride. The cyclization with acetyl chloride was clearly more favorable as the desired spirocyclic anhydrides formed at lower temperatures and with higher yields (5a, 5b) (Scheme 2).
Scheme 2.
Synthesis of starting materials.
2.2. Friedel–Crafts and Grignard Reactions
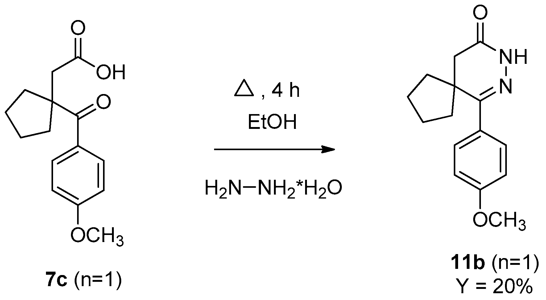
In course of the synthesis of our pyridazinone derivatives, we prepared first the isomeric γ-oxocarboxylic acids containing 1,1-disubstituted cycloalkanes from the starting compounds (5a, 5b) and variously substituted benzene derivatives by Friedel–Crafts reaction (Scheme 4). This was done according to a patented process in which 2-oxaspiro[4.4]nonane-1,3-dione was reacted with (5b) 1,2-dimethoxybenzene in the presence of AlCl3 [50]. In our work, eight new isomeric γ-oxocarboxylic acids containing 1,1-disubstituted cycloalkanes were prepared. Compounds 6b and 6c were obtained only in very low yields because the electrophilic aromatic substitution favors electron-rich groups. Furthermore, in the Friedel–Crafts reaction of compound 5b with anisole, in addition to the main product 7b, 7c—a by-product with an isomeric structure—was also identified.
Another way to prepare isomeric γ-oxocarboxylic acids containing 1,1-disubstituted cycloalkanes is via the Grignard reaction [51]. This was used in cases where only low yields could be achieved in Friedel–Crafts reactions, for example, in cases with less active reagents, such as toluene and chlorobenzene. Grignard reactions were performed in tetrahydrofuran with p-tolyl magnesium bromide and (4-chlorophenyl) magnesium bromide, under inert conditions. For compounds 6b and 6c the yield was improved. Furthermore, for compounds 7a and 7f, molecules with isomeric structures (7e and 7g) were also isolated and identified (Scheme 3) (Table 1).
Scheme 3.
Friedel–Crafts and Grignard reaction.
Table 1.
Fsp3 values of γ-oxocarboxylic acids.
2.3. Formation of Pyridazinone Ring
Pyridazinones were formed from isomeric γ-oxocarboxylic acids containing 1,1-disubstituted cycloalkanes with hydrazine and hydrazine derivatives (methyl- and phenylhydrazine). We used the reaction conditions developed by Van der May et al. [51]. The pyridazinones (8a–d) were prepared in good yields. Pyridazinone derivatives (9) and (10) were also isolated in medium yields (Scheme 4). In the case of compound 7b, in addition to the expected structure (11a), a compound with an isomeric structure (11b) was also isolated and identified by 2D NMR (Scheme 5) (Table 2).
Scheme 4.
Ring closure with hydrazine.
Scheme 5.
Ring closure of the isomeric compound 7c.
Table 2.
Fsp3 values of pyridazinones.
2.4. N-Substituted Pyridazinone Derivatives
N-substituted pyridazinone derivatives were formed with methyl- and phenyl hydrazine and in N-alkylation/aralkylation reactions. Reactions with methylhydrazine were performed under the above-mentioned conditions starting from the mixture of 6a and 6h [51] by boiling in ethanol. The crude product was purified by preparative thin layer chromatography. The pyridazinones (13a and isomeric 13b) shown in Scheme 6 were isolated and identified.
Scheme 6.
Ring closure with methyl hydrazine.
The N-phenyl derivatives were prepared first by boiling compounds 6a–c, 7a,f with phenylhydrazine in ethanol, but only very low yields were achieved. Changing the solvent to toluene improved the yields and N-phenyl derivatives (14–18) were isolated (Scheme 7).
Scheme 7.
Ring closure with phenyl hydrazine.
N-methyl derivatives were also prepared by N-alkylation reactions [52]. By starting from the previously isolated pyridazinone derivatives (8b, 8c, 9, 10) and alkylating them with methyl iodide in tetrahydrofuran in the presence of sodium hydride, the N-methylated compounds (19–22) were isolated in medium yields. In the preparation of N-benzylated derivatives we first chose the classical potassium carbonate method, but it did not produce the desired product, so we changed to cesium carbonate, which enabled us to isolate our desired N-benzylated pyridazinone derivatives in medium yields (23–27) (Scheme 8) (Table 3).
Scheme 8.
N-methyl- and N-benzyl derivatives of pyridazinones.
Table 3.
Fsp3 values of substituted pyridazinones.
3. Conclusions
In summary, our starting materials 2-oxaspiro[4.5]decane-1,3-dione (5a) and 2-oxaspiro[4.4]nonane-1,3-dione (5b) were prepared and optimized using methods known in the literature [48,49]. From these 1,3-diones, eleven new isomeric γ-oxocarboxylic acids containing 1,1-disubstituted cycloalkanes were prepared by Friedel–Crafts and Grignard reactions. These were reacted with various hydrazine derivatives, and with further N-alkyl/aralkylation reactions we isolated 25 new pyridazinone derivatives. The Fsp3 values of our compounds showed good correlations with logP values; e.g., the logP values of compounds with high Fsp3 character (8a–d, 9, 10, 11a–b, 12) were between 2.36 and 3.59, under 5 (see Table 2). The situation was similar for compounds 13a,b–27 (Table 3). The introduction of a further aromatic ring into compounds 14–18 and 23–27 decreased the Fsp3 character and increased the logP values to over 4.8. A smaller molecule library was created with 36 new compounds with high Fsp3 character, which could be a good starting point for drug research projects [53,54].
Author Contributions
C.S.F. and H.B. wrote the paper. All authors have read and agreed to the published version of the manuscript.
Funding
This research received no external funding.
Conflicts of Interest
The authors declare no conflict of interest.
References
- Inglese, J.; Auld, D.S. Application of High Throughput Screening (HTS) Techniques: Overview of Applications in Chemical Biology. Wiley Encycl. Chem. Biol. 2009, 2, 260–274. [Google Scholar] [CrossRef]
- Macarron, R.; Banks, M.N.; Bojanic, D.; Burns, D.J.; Cirovic, D.A.; Garyantes, T.; Green, D.V.; Hertzberg, R.P.; Janzen, W.P.; Paslay, J.W.; et al. Impact of high-throughput screening in biomedical research. Nat. Rev. Drug Discov. 2011, 10, 188–195. [Google Scholar] [CrossRef] [PubMed]
- Lipinski, C.A.; Lombardo, F.; Dominy, B.W.; Feeney, P.J. Experimental and computational approaches to estimate solubility and permeability in drug discovery and development settings. Adv. Drug Deliv. Rev. 1997, 23, 3–25. [Google Scholar] [CrossRef]
- Lipinski, C.A.; Lombardo, F.; Dominy, B.W.; Feeney, P.J. Experimental and computational approaches to estimate solubility and permeability in drug discovery and development settings. Adv. Drug Deliv. Rev. 2001, 46, 3–26. [Google Scholar] [CrossRef]
- Lipinski, C.A. Lead- and drug-like compounds: The rule-of-five revolution. Drug Discov. Today Technol. 2004, 1, 337–341. [Google Scholar] [CrossRef] [PubMed]
- Veber, D.F.; Johnson, S.R.; Cheng, H.Y.; Smith, B.R.; Ward, K.W.; Kopple, K.D. Molecular Properties That Influence the Oral Bioavailability of Drug Candidates. J. Med. Chem. 2002, 45, 2615–2623. [Google Scholar] [CrossRef]
- Lovering, F.; Bikker, J.; Humblet, C. Escape from Flatland: Increasing Saturation as an Approach to Improving Clinical Success. J. Med. Chem. 2009, 52, 6752–6756. [Google Scholar] [CrossRef]
- Lovering, F. Escape from Flatland 2: Complexity and promiscuity. Med. Chem. Commun. 2013, 4, 515–519. [Google Scholar] [CrossRef]
- Hansson, M.; Pemberton, J.; Engkvist, O.; Feierberg, I.; Brive, L.; Jarvis, P.; Zander-Balderud, L.; Chen, H. On the Relationship between Molecular Hit Rates in High-Throughput Screening and Molecular Descriptors. J. Biomol. Screen. 2014, 19, 727–737. [Google Scholar] [CrossRef]
- Hirata, K.; Kotoku, M.; Seki, N.; Maeba, T.; Maeda, K.; Hirashima, S.; Sakai, T.; Obika, S.; Hori, A.; Hase, Y.; et al. SAR Exploration Guided by LE and Fsp3: Discovery of a Selective and Orally Efficacious RORγ Inhibitor. ACS Med. Chem. Lett. 2016, 7, 23–27. [Google Scholar] [CrossRef]
- Troelsen, N.; Shanina, E.; Gonzalez-Romero, D.; Danková, D.; Jensen, I.; Sniady, K.; Nami, F.; Zhang, H.; Rademacher, C.; Cuenda, A.; et al. The 3F Library: Fluorinated Fsp3-rich Fragments for Expeditious 19F-NMR-based Screening. Angew. Chem. Int. Ed. 2020, 59, 2204–2210. [Google Scholar] [CrossRef] [PubMed]
- Kombo, D.C.; Tallapragada, K.; Jain, R.; Chewning, J.; Mazurov, A.A.; Speake, J.D.; Hauser, A.T.; Toler, S. 3D Molecular Descriptors Important for Clinical Success. J. Chem. Inf. Model. 2013, 53, 327–342. [Google Scholar] [CrossRef] [PubMed]
- Nettles, J.H.; Jenkins, H.J.; Bender, A.; Deng, Z.; Davies, J.W.; Glick, M. Bridging Chemical and Biological Space: “Target Fishing” Using 2D and 3D Molecular Descriptors. J. Med. Chem. 2006, 49, 6802–6810. [Google Scholar] [CrossRef] [PubMed]
- Ritchie, T.J.; Macdonald, S.J.F. The impact of ring count on compound developability–are too many aromatic rings a liability in drug design? Drug Discov. Today 2009, 14, 1011–1020. [Google Scholar] [CrossRef]
- Ritchie, T.J.; Macdonald, S.J.F.; Young, R.J.; Pickett, S.D. The impact of aromatic ring count on compound developability: Further insights by examining carbo- and hetero-aromatic and –aliphatic ring types. Drug Discov. Today 2011, 16, 164–171. [Google Scholar] [CrossRef]
- Taylor, F.F.; Faloon, W.W. The role of potassium in the natriuretic response to a steroidal lactone (SC-9420). J. Clin. Endocrinol. Metab. 1959, 19, 1683–1687. [Google Scholar] [CrossRef]
- Li, D.B.; Rogers-Evans, M.; Carreira, E.M. Synthesis of novel azaspiro[3.4]octanes as multifunctional modules in drugdiscovery. Org. Lett. 2011, 13, 6134–6136. [Google Scholar] [CrossRef]
- Burkhard, J.A.; Guérot, C.; Knust, H.; Carreira, E.M. Expanding the Azaspiro[3.3]heptane Family: Synthesis of Novel Highly Functionalized Building Blocks. Org. Lett. 2012, 14, 66–69. [Google Scholar] [CrossRef]
- Li, D.B.; Rogers-Evans, M.; Carreira, E.M. Construction of multifunctional modules for drug discovery: Synthesis of novel thia/oxa-azaspiro[3.4]octanes. Org. Lett. 2013, 15, 4766–4769. [Google Scholar] [CrossRef]
- Carreira, E.M.; Fessard, T.C. Four-membered ring-containing spirocycles: Synthetic strategies and opportunities. Chem. Rev. 2014, 144, 8257–8322. [Google Scholar] [CrossRef]
- Zheng, Y.; Tice, C.M.; Singh, S.B. The use of spirocyclic scaffolds in drug discovery. Bioorg. Med. Chem. Lett. 2014, 24, 3673–3682. [Google Scholar] [CrossRef] [PubMed]
- Beekman, A.M.; Barrow, R.A. Fungal Metabolites as Pharmaceuticals. Aust. J. Chem. 2014, 67, 827–843. [Google Scholar] [CrossRef]
- Carone, L.; Oxberry, S.G.; Twycross, R.; Charlesworth, S.; Mary Mihalyo, M.; Wilcock, A. Spironolactone. J. Pain Symptom Manag. 2017, 53, 288–292. [Google Scholar] [CrossRef] [PubMed]
- Dodick, D.W.; Lipton, R.B.; Ailani, J.; Lu, K.; Finnegan, M.; Trugman, J.M.; Szegedi, A. Ubrogepant for the Treatment of Migraine. N. Engl. J. Med. 2019, 381, 2230–2241. [Google Scholar] [CrossRef] [PubMed]
- Zheng, Y.; Tice, C.M. The utilization of spyrocyclic scaffolds in novel drug discovery. Exp. Opin. Drug Discov. 2016, 11, 831–834. [Google Scholar] [CrossRef] [PubMed]
- Wermuth, C.G. Are pyridazines privileged structures? MedChemComm 2011, 2, 935–941. [Google Scholar] [CrossRef]
- Singh, J.; Sharma, D.; Bansal, R. Pyridazinone: An attractive lead for antiinflammatory and analgesic drug discovery. Future Med. Chem. 2017, 9, 95–127. [Google Scholar] [CrossRef]
- Abouzid, K.; Bekhit, S.A. Novel anti-inflammatory agents based on pyridazinone scaffold; design, synthesis and in vivo activity. Bioorg. Med. Chem. 2008, 16, 5547–5556. [Google Scholar] [CrossRef]
- Gokce, M.; Colak, S.C.; Kupeli, E.; Sahin, M.F. Synthesis and Analgesic and Anti-inflammatory Activity of 6-Phenyl/(4-methylphenyl)-3(2H)-pyridazinone-2-propionamide Derivatives. Arzneimittelforschung 2009, 59, 357–363. [Google Scholar] [CrossRef]
- Asif, M. The Pharmacological Importance of Some Diazine Containing Drug Molecules. Sci. Online Publ. Trans. Org. Chem. 2014, 1, 1–17. [Google Scholar]
- Akhtar, W.; Shaquiquzzaman, M.; Akhter, M.; Verma, G.; Khan, M.F.; Alam, M.M. The therapeutic journey of pyridazinone. Eur. J. Med. Chem. 2016, 123, 256–281. [Google Scholar] [CrossRef]
- Vigil-De Gracia, P.; Lasso, M.; Ruiz, E.; Vega-Malek, J.C.; De Mena, F.T.; Lopez, J.C. Severe hypertension in pregnancy: Hydralazine or labetalol: A randomized clinical trial. Eur. J. Obstet. Gynecol. Reprod. Biol. 2006, 128, 157–162. [Google Scholar] [CrossRef]
- Papp, Z.; Édes, I.; Fruhwald, S.; De Hert, S.G.; Salmenperä, M.; Leppikangas, H.; Mebazaa, A.; Landoni, G.; Grossini, E.; Caimmi, P.; et al. Levosimendan: Molecular Mechanisms and Clinical Implications: Consensus of Experts on the Mechanisms of Action of Levosimendan. Int. J. Cardiol. 2012, 159, 82–87. [Google Scholar] [CrossRef] [PubMed]
- Moore, J.B., Jr.; Combs, D.W.; Tobia, A.J.; Johnson, R.W. Bemoradan-A Novel Inhibitor of the Rolipram-Insensitive Cyclic AMP Phosphodiesterase from Canine Heart Tissue. Biochem. Pharmacol. 1991, 42, 679–683. [Google Scholar] [CrossRef]
- Kan, J.P.; Mouget-Goniot, C.; Worms, P.; Biziere, K. Effect of the antidepressant minaprine on both forms of monoamine oxidase in the rat. Biochem. Pharm. 1986, 35, 973–978. [Google Scholar] [CrossRef]
- Contreras, J.M.; Rival, Y.M.; Chayer, S.; Bourguignon, J.J.; Wermuth, C.G. Aminopyridazines as acetylcholinesterase inhibitors. J. Med. Chem. 1999, 42, 730–741. [Google Scholar] [CrossRef]
- Aleeva, G.N.; Molodavkin, G.M.; Voronina, T.A. Comparison of antidepressant effects of azafan, tianeptine, and paroxetine. Bull. Exp. Biol. Med. 2009, 148, 54–56. [Google Scholar] [CrossRef]
- Asif, M. Overview on Emorfazone and other related 3(2H)pyridazinone analogues displaying analgesic and anti-Inflammatory activity. Ann. Med. Chem. Res. 2015, 1, 1–9. [Google Scholar]
- Goldberg, A.D.; Nicklas, J.; Goldstein, S. Effectiveness of imazodan for treatment of chronic congestive heart failure. Am. J. Cardiol. 1991, 68, 631–636. [Google Scholar] [CrossRef]
- Avcı, D.; Bahçeli, S.; Tamer, O.; Atalay, Y. Comparative study of DFT/B3LYP, B3PW91, and HSEH1PBE methods applied to molecular structures and spectroscopic and electronic properties of flufenpyr and amipizone. Can. J. Chem. 2015, 93, 1147–1156. [Google Scholar] [CrossRef]
- Ukena, D.; Rentz, K.; Reiber, C.; Sybrecht, G.W. Effects of the mixed phosphodiesterase III/IV inhibitor, zardaverine, on airway function in patients with chronic airflow obstruction. Respir. Med. 1995, 89, 441–444. [Google Scholar] [CrossRef][Green Version]
- Kauffman, R.F.; Robertson, D.W.; Franklin, R.B.; Sandusky, G.E.; Dies, J.F.; McNay, J.L.; Hayes, J.S. Indolidan: A potent, long-acting cardiotonic and inhibitor of Type IV cyclic AMP phosphodiesterase. Cardiovasc. Drug Rev. 1990, 8, 303–322. [Google Scholar] [CrossRef]
- Summerfield, N.J.; Boswood, A.; Ogrady, M.R.; Gordon, S.G.; McEwan, J.D.; Oyama, M.A.; Smith, S.; Patteson, M.; French, A.T.; Culshaw, G.J.; et al. Efficacy of Pimobendan in the prevention of congestive heart failure or sudden death in doberman pinschers with preclinical dilated cardiomyopathy (The Protect Study). J. Vet. Int. Med. 2012, 26, 1337–1349. [Google Scholar] [CrossRef]
- Inskeep, P.B.; Reed, A.E.; Ronfeld, R.A. Pharmacokinetics of zopolrestat, a carboxylic acid aldose reductase inhibitor, in normal and diabetic rats. Pharm. Res. 1991, 8, 1511–1515. [Google Scholar] [CrossRef] [PubMed]
- Dyck, B.; Markison, S.; Zhao, L.; Tamiya, J.; Grey, J.; Rowbottom, M.W.; Zhang, M.; Vickers, T.; Sorensen, K.; Norton, C.; et al. A thienopyridazinone-based melanin-concentrating hormone receptor 1 antagonist with potent in vivo anorectic properties. J. Med. Chem. 2006, 49, 3753–3756. [Google Scholar] [CrossRef]
- Giovannoni, M.P.; Vergelli, C.; Biancalani, C.; Cesari, N.; Graziano, A.; Biagini, P.; Gracia, J.; Gavaldà, A.; Dal Piaz, V. Novel pyrazolopyrimidopyridazinones with potent and selective phosphodiesterase 5 (PDE5) inhibitory activity as potential agents for treatment of erectile dysfunction. J. Med. Chem. 2006, 49, 5363–5371. [Google Scholar] [CrossRef]
- Yamaguchi, M.; Kamei, K.; Koga, T.; Akima, M.; Kuroki, T.; Ohi, N. Novel antiasthmatic agents with dual activities of thromboxane A2 synthetase inhibition and bronchodilation. 1. 2-[2-(1-Imidazolyl)alkyl]-1(2H)-phthalazinones. J. Med. Chem. 1993, 36, 4052–4060. [Google Scholar] [CrossRef]
- Badger, A.M.; Schwartz, D.A.; Picker, D.H.; Dorman, J.W.; Bradley, F.C.; Cheeseman, E.N.; DiMartino, M.J.; Hanna, N.; Mirabellill, C.K. Antiarthritic and Suppressor Cell Inducing Activity of Azaspiranes: Structure-Function Relationships of a Novel Class of Immunomodulatory Agents. J. Med. Chem. 1990, 33, 2963–2970. [Google Scholar] [CrossRef]
- Norris, W.S.G.P.; Thorpe, J.F. TheFormation and Stability of spiro-Cornpounds. Part V. Derivatives of cycloHexanespirocyclohexane and of cycloPentanespirocyclohexane. J. Chem. Soc. 1921, 119, 1199–1210. [Google Scholar] [CrossRef]
- Stengel, T.; Maier, T.; Mann, A.; Stadlwieser, J.; Flockerzi, D.; Pahl, A.; Benediktus, E.; Hessmann, M.; Kanacher, T.; Hussong, R.; et al. Novel Phthalazinone-Pyrrolopyrimidinecarboxamide Derivatives. WO2012/1719000, 28 December 2012. [Google Scholar]
- Van der Mey, M.; Hatzelmann, A.; Van der Laan, I.J.; Sterk, G.J.; Thibaut, U.; Timmerman, H. Novel Selective PDE4 Inhibitors. 1. Synthesis, Structure-Activity Relationships, and Molecular Modeling of 4-(3,4-Dimethoxyphenyl)-2H-phthalazin-1-ones and Analogues. J. Med. Chem. 2001, 44, 2511–2522. [Google Scholar] [CrossRef]
- Bölcskei, H.; Mák, M.; Dravecz, F.; Domány, G. Synthesis of deuterated dextromethorphan derivatives. ARKIVOC 2008, 3, 182–193. [Google Scholar] [CrossRef]
- Sepsey Für, C.; Riszter, G.; Gerencsér, J.; Szigetvári, A.; Dékány, M.; Hazai, L.; Keglevich, G.; Bölcskei, H. Synthesis of Spiro[cycloalkane-pyridazinones] with High Fsp3 Character. Lett. Drug Discov. Des. 2020, 17, 731–744. [Google Scholar] [CrossRef]
- Sepsey Für, C.; Horváth, E.J.; Szigetvári, A.; Dékány, M.; Hazai, L.; Keglevich, G.; Bölcskei, H. Synthesis of Spiro[cycloalkane-pyridazinones] with High Fsp3 Character Part 2. Lett. Org. Chem. 2020. [Google Scholar] [CrossRef]
© 2020 by the authors. Licensee MDPI, Basel, Switzerland. This article is an open access article distributed under the terms and conditions of the Creative Commons Attribution (CC BY) license (http://creativecommons.org/licenses/by/4.0/).











