Abstract
Carbohydrate-based crown ethers represent a special group of chiral phase transfer catalysts. Several derivatives of these macrocycles have been synthesized in our research group. Among these compounds, monoaza-15-crown-5 lariat ethers proved to be effective phase transfer and enantioselective catalysts in certain reactions. Those chiral azacrown ethers incorporating various carbohydrate moieties in the macrocyclic structure are reviewed, which generated asymmetric induction in reactions, such as Michael addition, epoxidation of enones, Darzens condensation and Michael-initiated ring-closure (MIRC) reaction. Effects on the catalytic activity of the structural changes are the focus.
1. Introduction
The modern and most economical method of preparing enantiopure compounds is asymmetric synthesis carried out in the presence of chiral catalysts or auxiliaries. An enormous number of catalysts have been prepared worldwide to replace the most commonly applied techniques, i.e., resolution of racemic mixtures. Chiral crown ethers represent a special type of chiral catalysts, which can generate asymmetric induction as phase transfer catalysts. The first chiral crown ethers were synthesized by Cram and co-workers using BINOL as the source of chirality, which proved to be effective as enantioselective catalysts in phase transfer reactions [1].
Phase transfer catalysis has been recognized as one of the most useful synthetic tools in organic chemistry offering several advantages, such as operational simplicity, mild reaction conditions, inexpensiveness and less harmful reagents and solvents. This research field has been serving as an attractive area of green chemistry as well. Asymmetric phase transfer catalysis, particularly over the past two decades or more, has become a topic of great scientific interest, and as a result of the efforts, many highly efficient enantioselective catalysts have been developed [2,3].
It seemed advantageous to use carbohydrates for the synthesis of crown ethers. Sugars are a suitable source of chirality, are commercially available in enantiomerically pure form and are well-endowed with functionality.
Although several chiral crown ethers have been prepared from carbohydrates earlier, only a few of them showed (at least) moderate asymmetric induction as catalysts in asymmetric reactions [4,5,6,7,8]. Our research group, as a pioneer in this field, started developing new carbohydrate-based crown ethers and tested these compounds as catalysts in enantioselective reactions. A variety of chiral crown ethers containing one or two sugar units in annulation with the macrocyclic ring from various monosaccharides and sugar alcohols were synthesized in our laboratory. These compounds generated significant asymmetric induction when used as chiral phase transfer catalysts in different reactions.
Some carbohydrate-based azacrown ethers have also been prepared by other European research groups. Diaza macrocycles derived from mannose (1a–d), glucose (2a–d) and galactose (3a–d), were synthesized by Polish researchers in 1984 [9]. Application as catalysts or investigation of crown compounds 1–3 have not been reported to date.

Jarosz and Lewandowski developed the synthesis of macrocyclic compounds from sucrose (a disaccharide). Among others, azacrown ethers 4a–b and 5 containing sucrose as the chiral base were synthesized [10]. Investigating the complexing properties, enhanced ability was determined towards NH4+ ions, especially in the case of 4b and 5.

Another disaccharide was used to build up chiral crown derivatives by Porwanski et al. Diaza macrocycles bearing two cellobiose units 6a–f were investigated in complexation of busulfan, lysine, arginine [11], acetylsalicylic acid, 4-acetamidophenol [12] and tosylamide [13]. Quantum chemical calculations were also applied to the complex of 6b with aspirin [14].
Rhatjens and Thiem published several azamacrocycles containing the nitrogen atoms as tosylamide units. First, starting from glucose, crown ethers, e.g., 7 and 8a–b, with larger rings in annulation of two monosaccharide moieties were prepared [15]. While in compounds 7 and 8, the macroring is formed in the 4 and 6 position of the sugar, in case of crown ethers 9–11, the ring was built up in the 2,3 vicinal positions [16]. Besides azacrowns 9, 10 and 11, several analogues have been reported. The same authors also used mannofuranoside as a starting compound to synthesize crown ethers bearing N-tosyl moieties, such as 12a–c [17]. To date, as far as we know, no studies have been reported for compounds 7–12 regarding the complex forming or the catalytic activity.

2. Synthesis and Application of Azacrown Ethers
2.1. Preparation of Macrocycles
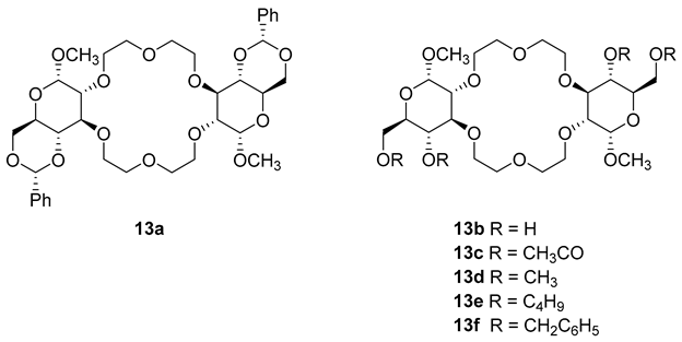
In our research group, the first carbohydrate-based crown ethers were synthesized in 1981. Starting from methyl 4,6-O-benzylidene-α-d-glucopyranoside, a few 18-crown-6-type macrocycles (13a–e) containing two glucose units were prepared. The complex forming ability of crown ethers 13a–e was investigated towards cations; however, catalytic activity was not examined [18]. Later, other derivatives were also synthesized to investigate complex forming ability [19].

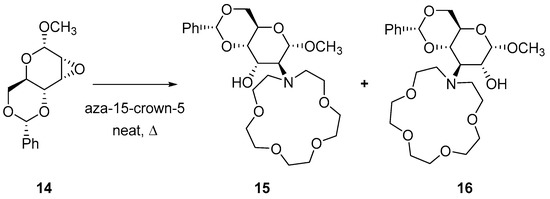
Using monoaza-15-crown-5 and anhydroallopyranoside 14 as starting materials, a monoaza macrocycle containing an altropyranoside moiety (15) was created, in which the sugar unit was connected to the macro ring with a single bond (Scheme 1) [20]. During the synthesis, a similar, but glucose-containing, crown compound (16) was also isolated. Crown ethers 15 and 16 have not been used as phase transfer catalysts.
Scheme 1.
Preparation of crown ethers 15 and 16.
A 2-amino-2-deoxy-altrose derivative, which was prepared from allopyranoside 14, also served as the source of chirality in monoaza-15-crown-5 17 and monoaza-18-crown-6 18 (Scheme 2) [21]. The macro ring was formed during the multi-step synthesis, in contrast to the synthesis of crowns 15 and 16, where the pre-formed crown structure was coupled with the sugar.
Scheme 2.
Synthesis of crown ethers 17 and 18.
The first carbohydrate-based monoaza-15-crown-5 lariat ethers (20a–g) were synthesized in 1995, alongside with diazacrown compounds 21 and 22 (Scheme 3 and Scheme 4) [22]. The complexing ability of these macrocycles was examined towards various picrate salts. The structure of compounds 20 became the base of further research, i.e., monoaza-15-crown-5 annulated to a carbohydrate unit and bearing a side arm on the nitrogen. It is known that armed crown ethers (or lariat ethers) have a unique guest specificity via the macro ring and side arm cooperativity. The three-step synthesis, which can be seen on Scheme 3, was used to build up the monoaza-15-crown-5 ethers bearing a substituent on the nitrogen from different carbohydrate units.
Scheme 3.
Synthesis of glucose-based lariat ethers 20.
Scheme 4.
Preparation of diaza-18-crown 6 compounds 21 and 22 derived from glucose.
Catalyst 20h, which has been applied the most in asymmetric syntheses so far, was reported 4 years later [23]. Substituents containing phosphorus were also introduced to the nitrogen of the macro ring. Methyl α-d-glucoside-based crown ethers bearing different phosphonoalkyl (20k, n = 1–5) [24] and phosphinoxidoalkyl side arms (20l, n = 1–5) were synthesized to determine the optimal distance between the N and P atoms [25]. As can be seen from the results of the asymmetric reactions, the side arm strongly influences the catalytic activity and the selectivity of the crown ethers. Substituents bearing different functional groups were introduced to the azacrown ring in macrocycles 20m–o to investigate the impact of the structural changes on the outcome of the asymmetric syntheses [26]. Substituted phenylethyl side chains proved to be effective in case of other carbohydrate-based catalysts, thus, crown compounds 20p and 20q were also prepared [27].
It has been hypothesized, that one of the influencing units in addition to the side arm may be the substituent on the anomeric center. To investigate this idea, a series of monoaza crown ethers derived from phenyl β-d-glucopyranoside (23a–k) were synthesized [28,29,30].

To determine whether the protecting group in the 4 and 6 positions of the glucose unit affects the activity of the crown catalyst, compounds 24a–d were prepared, in which the benzylidene moiety was replaced by 4,6-di-O-alkyl chains (Scheme 5) [31].
Scheme 5.
Synthesis of 4,6-di-O-alkyl glucoside-based catalysts 24a–d.
The 4,6-dibutyl-substituted 24e–h derivatives with other side chains have also been prepared. For this, the benzylidene protecting group of the methyl glucopyranoside 19 was removed and the free OH groups were butylated before the three-step cyclization (Scheme 6) [32].
Scheme 6.
Synthesis of crown ethers 24e–h with 4,6-di-O-butyl glucoside groups.
As a different source of chirality, d-galactose was also used to prepare monoaza crown compounds 26a–g [22,24,27,33,34]. Galactose is the C-4 epimer of glucose, both of which can form pyranose ring. While in the benzylidene-protected glucopyranoside, the six-membered rings are in anti (trans) annulation (planar), in benzylidene galactopyranoside the rings are syn- (cis) annulated (L-shape). This structural difference can also affect the selectivity in the reactions.

Sugar alcohol, d-mannitol can be transformed into a derivative, which contains two vicinal hydroxy groups, thus, it was suitable for the three-step ring-closure procedure. The mannitol moiety provides a different and less rigid structure to the catalysts. To investigate the effect of the deviation in flexibility, lariat ethers 27a–h were synthesized by the previously described method using different primary amines, and tosyl amide for 27i in the ring-closure step. Reaction of 27i with sodium amalgam resulted in the formation of 27j [35].
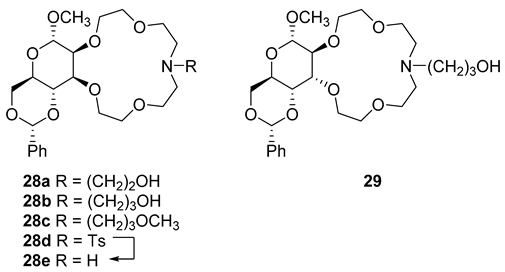
Mannose, which is the C-2 epimer of glucose was chosen for synthesis of sugar-based crown ethers. Whereas it has been proved previously that the sugar-based macrocycles with hydrocarbon-type side arms are generally ineffective in model reactions, mannose-based crown ethers with heteroatom-containing side arms 28a–d were prepared only. Compound 28d was reduced with Na(Hg) into 28e [36,37].

In glucose, hydroxy groups in C-2 and C-3 positions are equatorial. In mannose, OH-function of C-2 is axial. Mannose-based catalysts 28a–e were synthesized to determine whether this has a significant impact on the selectivity. Altrose is another hexopyranoside, in which hydroxy functions in C-2 and C-3 are axial. Using altrose as a staring material, lariat ether 29 was synthesized, in which—compared to the glucose-based macrocycles 20 —a different anti (trans) annulation can be found between the macro ring and the pyranoside unit [38].
It was found that the protecting group of the sugar unit in crown ethers 24 also has an impact on the enantioselectivity, thus, other crown compounds derived from glucose were synthesized. Instead of the benzylidene group, naphthylidene (30a–b) and isopropylidene moieties (31a–b) were introduced to the macrocycles [39]. Hydrogenation of catalysts 20h and 20j resulted in lariat ethers 32a–b bearing free OH-groups in the 4 and 6 positions (Scheme 7).
Scheme 7.
Removal of the benzylidene group of catalysts 20h and 20j to obtain compounds 32a and 32b.

An aldopentose, l-arabinose served as the source of chirality in crown compounds 33a–c. When arabinose is reacted with acetone or benzaldehyde, a six-membered pyranoside ring can be formed, while two vicinal hydroxy functions remain unprotected. After the three-step procedure of ring formation, the crown ring was connected to the carbohydrate unit in syn-annulation in macrocycles 33a–c [40].

An unnatural carbohydrate, 2-deoxy-ribo-hexopyranoside was prepared from glucose, and then fused to the monoaza-15-crown-5 ring resulting in catalysts 34a–d [41]. In this case, the annulation of the sugar unit and the macro ring was also syn, but in this case, C-3 and C-4 are the connecting atoms.
Monosaccharides can form not only pyranose but furanose rings too. A few crown compounds containing a glucofuranoside moiety (35a–d, 36a–b) were synthesized starting from glucose. In one type (35a–d), the furanoside unit is attached to the macrocycle by a single bond. while in the other, the five-membered furanoside is fused to the crown ring (36a–b). From d-xylose, catalysts 37a–b were prepared having an analogous structure to glucofuranoside-based crown ethers 36a–b. When the complexing ability was examined, surprisingly, the ion selectivity of crowns 35a–d towards silver was measured to be up to 30 times higher than that for sodium [42].

In addition to mannitol, another sugar alcohol, l-threitol was also used as a source of chirality in crown ethers [43]. Threitol-based catalysts 38a–f were prepared in three steps from 1,4-di-O-alkylated threitol derivatives, which could be easily synthesized starting from diethyl tartrate.
It was assumed that the ketal groups in the mannitol moiety can have an impact on the enantioselectivity. Therefore, the number of mannitol-based catalysts was increased by using different protecting groups during the syntheses, resulting in compounds 39a–b and 40a–b [44].

As mentioned before, one of the influencing moieties may be the substituent on the anomeric center. Therefore, additional glucose-based lariat ethers were synthesized to gain further information on the structure-activity relationship [27,45]. Catalysts 20h and 42a, 41a and 42b, and as well as 41b and 42c are epimer pairs, the only difference in the absolute configuration is on C-1.

The effect of the anomeric position on the enantioselectivity was also studied in the case of galactose-based lariat ethers. Crown compound 43 was synthesized from isopropyl α-d-galactoside, while alkyl and aryl 4,6-O-benzylidene-β-galactopyranosides were the key intermediates in the synthesis of macrocycles 44a–f [27,46].
Xylal- (45a–b, 46) and arabinal-based (47a–b, 48) lariat ethers were synthesized to examine the effect of fewer stereogenic centers in the sugar unit [47]. Crown catalysts 45a, 46, and as well as 47a and 48 are enantiomeric pairs. Unsaturated monosaccharides bearing free vicinal OH-groups, namely d- and l-xylal, and d- and l-arabinal can be prepared from the appropriate carbohydrates in four steps.

2.2. Enantioselective Syntheses
2.2.1. Michael Addition of 2-Nitropropane
The catalytic properties of the carbohydrate-based crown ethers were not investigated in the Hungarian research group until 1996, only measurements for complex forming ability were performed. Using a few derivatives of the two-glucose unit-containing 18-crown-6 (1), selective transportation of chiral ammonium salts was examined, but the experiments resulted in racemic mixtures [48].
The first asymmetric reaction, in which carbohydrate-based (lariat) azacrown compounds were investigated, was the Michael addition of 2-nitropropane (50) to chalcone (49, Ar1 = Ar2 = C6H5) (Scheme 8) [49,50]. In the presence of catalysts 20a–g, the S enantiomer of Michael adduct 51 was formed in excess. Lariat ether 20g having a (CH2)2OH side arm induced 34–65% ee (enantiomeric excess), depending on the conditions (Table 1, entry 1). Increasing the distance between the nitrogen and the oxygen led to higher enantiomeric excess. Application of crown ether 20h bearing a (CH2)3OH group resulted in an ee value of 85% (Table 1, entry 2) [24]. Replacement of the OH with a methoxy group in the hydroxyethyl chain also had a positive effect on the selectivity, 87% ee was measured in the presence of compound 20i (Table 1, entry 4). When methyl α-d-glucoside-based crown ethers 20k (n = 1–5) were tested, it turned out that the phosphonoalkyl chain has an optimal length. Using catalyst 20k (n = 4) with (CH2)4 spacer led to 82% enantioselectivity (Table 1, entry 5) [24]. The same phenomenon was observed in the case of 20l (n = 4) with the spacer (CH2)4, which generated 95% ee (Table 1, entry 6) [25,51]. Despite the similarity, macrocycles 20l bearing phosphinoxidoalkyl groups preferred the formation of the R enantiomer of 51, while using phosphonoalkyl-substituted 20k, the S isomer was in excess.
Scheme 8.
Michael addition of 2-nitropropane (50) to chalcones (49).
Table 1.
Effect of crown ethers in the Michael addition of 2-nitropropane (50) to chalcones (49).
In the Michael addition, substituted chalcone derivatives were also used as the acceptor. Applying catalysts 20i and 20k (n = 4) it was observed that substituents on the aromatic rings, regardless of the position, led to reduced enantiomeric excess [52]. In the presence of 20h and 20j, the addition of 2-nitropropane (50) to chalcone analogues (49) gave similar results, i.e., the substitution of the aromatic ring or replacement of the phenyl group to other aromatic moieties lowered the enantioselectivity [53].
When the efficiency of crown ethers derived from phenyl β-d-glucopryanoside 23a–g was examined in this Michael addition, it was proven again that the enantioselectivity highly depends on the structure of the side arm (as well). Among the hydrocarbon substituents of the nitrogen, the phenylethyl group was the most effective; catalyst 23d generated 82% ee (Table 1, entry 7). In the case of 23e and 23f, in which the side arm is a hydroxyethyl or a methoxyethyl group respectively, lower ee values were measured (45% and 60%, respectively) (Table 1, entries 8 and 9) [28]. At lower temperature, the enantiomeric excess and the yield decreased drastically [29].
When macrocycles 24a–d bearing alkyl substituents in the 4 and 6 positions were applied as phase transfer catalysts, poor enantioselectivity was observed, except for compound 24d, which generated an ee of 90% (Table 1, entry 10) [31]. The presence of a side arm in macrocycles 24e–h negatively affected the asymmetric induction, the best enantioselectivity was achieved using crown ether 24h of the above-mentioned ones (55% ee) (Table 1, entry 11) [32].
Compared to the glucose-based analogous macrocycles, the galactose-containing catalysts generated lower enantiomeric excess, e.g., product 51 had an optical purity of 52% when lariat ether 26e was used (Table 1, entry 12) [23].
Applying mannitol-based crown ethers (27), the less rigid structure proved to be insufficient to reach high enantioselectivity in this Michael addition. Substitution of the azacrown structure on the nitrogen affected the asymmetric induction negatively. While product 51 was formed in an ee of 67% using catalyst 27j, lariat ether 27e showed only 40% enantioselectivity (Table 1, entries 13 and 14) [35].
Among the methyl α-d-mannoside-based lariat ethers, 28b was the most efficient in the Michael addition of 2-nitropropane (50) (92% ee) (Table 1, entry 15) [38]. Crown ether 20h derived from glucose and mannose-based 28b was compared in detail in the Michael addition of 2-nitropropane to enones [54]. In the reaction of chalcone (49, Ar1 = Ar2 = C6H5), macrocycles 20h and 28b preferred the formation of opposite enantiomers. Application of chalcone analogues resulted in lower ee values in each cases, except for compound 51 with Ar1 = naphthalen-1-yl and Ar2 = C6H5 groups (87% and 84% ee, respectively) (Table 1, entries 3 and 16).
2.2.2. Michael Addition of a Phosphonoglycine Derivative
In a collaboration with an organophosphorus research group, a new asymmetric Michael addition has been published. Synthesis of chiral phosphonoglycine derivatives 54 (ee up to 86%) has been developed using phenyl β-glucopyranoside-based crown ethers 23g–i as phase transfer catalysts (Scheme 9) [55]. The best results were obtained in the presence of lariat ether 23i with acrylonitrile (53, R1 = R2 = H, EWG = CN) and crotonitrile (53, R1 = CH3, R2 = H, EWG = CN) as acceptors (75% and 86% ee, respectively) (Table 2, entries 1 and 2), however, the asymmetric induction was highly dependent on the structure of 53. Later, the number of applied crown compounds has been expanded by synthesizing phenyl β-glucopyranoside-based catalysts with different side arms (e.g., 23j–k), as well as further Michael acceptors having been investigated [30]. Enantioselectivity was the highest in case of nitrile compounds (53, EWG = CN). In the presence of lariat ether 23k, the Michael addition of crotonitrile (53, R1 = CH3, R2 = H, EWG = CN) led to a diastereomeric ratio (d.r.) 16:1 and an ee of 95% (Table 2, entry 3). Quantum mechanical calculations have revealed that the side arm has a very important role regarding the asymmetric induction, which is related to the distance of the sodium ion and the crown ring, influenced by the substituent of the nitrogen.
Scheme 9.
Michael addition of phosphonoglycine derivative 52 to electron deficient olefins (53).
Table 2.
Effect of crown ethers in the Michael addition of phosphonoglycine derivative 52 to electron deficient olefins (53).
2.2.3. Michael Addition of Cyanofluoromethyl Phosphonate
In collaboration with a research group from the field of organophosphorous chemistry, catalysts 23h–i and 23k were applied in the Michael addition of compound 55, containing a phosphonic ester moiety, to electron deficient olefins (Scheme 10) [56]. When a nitroolefin (56, EWG = NO2) was reacted with the phosphonate 55, enantioselectivity increased above 80% ee in the case of lariat ethers 23i and 23k (Table 3, entries 1and 2). In addition to the structural motifs of the carbohydrate-based catalyst, i.e., annulation of the ring and substitution of the nitrogen, the substrate also influenced the asymmetric induction.
Scheme 10.
Michael addition of diethyl cyanofluoromethyl phosphonate (55) to electron deficient olefins 56.
Table 3.
Effect of crown ethers in the Michael addition of diethyl cyanofluoromethyl phosphonate (55) to electron deficient olefins 56.
2.2.4. Michael Addition of Diethyl Acetamidomalonate
In 2011, another asymmetric Michael addition was reported. Diethyl acetamidomalonate (59) was reacted with β-nitrostyrene (58, Ar = C6H5) (Scheme 11) using crown ether 20h as the phase transfer catalyst. Product 60 (Ar = C6H5) was formed in excellent enantiomeric purity (99% ee) (Table 4, entry 1). Similar results were obtained using 4-chloro- (58, Ar = 4-Cl-C6H4) and 4-nitro-β-nitrostyrene (58, Ar = 4-O2N-C6H4) (99% and 97%, respectively) (Table 4, entries 2 and 3) [57]. Later, the effect of the substituent on the aromatic ring was examined using catalyst 20h. It was found that, except the above-mentioned two examples, in the reactions of substituted nitrostyrenes lower optical purity was observed in the products. When the phenyl group was replaced by another aromatic ring, the asymmetric induction was also weaker [58]. Effect of some glucose-based lariat ethers 20 with different substituents on the nitrogen atom was also systematically investigated. The results proved that the side arm on the nitrogen highly affects the catalytic activity. While macrocycle 20h bearing a hydroxypropyl side chain resulted in 99% optical purity, its methoxypropyl analogue, 20j gave the product in 38% ee (Table 4, entry 4). Elongation of the side arm in the crown ether (20n) led to the formation of a racemic mixture (Table 4, entry 6). Replacement of the OH function to a N(CH3)2 group (catalyst 20m, 78% ee generated) (Table 4, entry 5) affected the asymmetric induction unfavorably [26]. Later, the effect of the anomeric substituent of the carbohydrate on the catalytic activity was investigated, glucose-based crown compounds 20h, 41a–b (α-series) and 44a–c (β-series) were used as phase transfer catalysts in the Michael addition of β-nitrostyrene (58, Ar = C6H5). Altering the alkyl group in the axial position of C-1 (41a–b) or switching to equatorial substitution (44a–c), the asymmetric induction decreased significantly (e.g., in the case of 41a to 78% ee, while using 42b led to 68% ee; Table 4, entries 14 and 15).
Scheme 11.
Michael addition of diethyl acetamidomalonate (59) to nitrostyrenes (58).
Table 4.
Effect of crown ethers in the Michael addition of diethyl acetamidomalonate (59) to nitrostyrenes (58).
Arabinose-based compounds 33a–c generated moderate enantiomeric excess in the Michael addition of acetamidomalonate 59. Using catalyst 33c, the R enantiomer was formed in an ee of 61% (Table 4, entry 9) [40].
Monoaza-15-crown-5 ethers 34a–d, containing a 2-deoxy-ribo-hexopyranoside moiety, showed poor enantioselectivity in this Michael addition, except for 34c bearing a hydroxypropyl side arm and a methoxyphenyl substituent, which generated higher asymmetric induction (80% ee) (Table 4, entry 10) [41]. Comparison of the results of crown ether 20h derived from glucose and lariat ether 34c synthesized from 2-deoxy-ribo-hexopyranoside suggests that the interaction of the aromatic ring during the reaction is necessary to gain enantioselectivity.
Galactose-based lariat ether 26d, which is the C-4 epimer of crown ether 20h, proved to be highly effective in this Michael addition (92% ee) (Table 4, entry 7). As it was experienced earlier, using a catalyst bearing a methoxypropyl group, lower enantiomeric excess was measured (26f, 70%) (Table 4, entry 8) [34].
Among the threitol-based crown compounds, the above-mentioned phenomenon was observed again. The highest enantioselectivity was observed in the case of 1,4-di-O-benzyl-substituted 38c (95% ee) (Table 4, entry 11), while using its methoxypropyl pair 38c, the asymmetric induction has decreased to 51% (Table 4, entry 12) [43].
Lariat ethers 27, 39 and 40 synthesized from mannitol showed only moderate efficiency (14–65% ee). As it was assumed, ketal groups in the mannitol moiety had an impact on the enantioselectivity; macrocycle 40a bearing cyclohexylidene groups generated the highest ee value (65%) (Table 4, entry 13) [44].
Xylal- and arabinal-based crown compounds 45–48 were poorly effective in this reaction (5–34% ee), regardless of the side arm or the carbohydrate unit [47].
2.2.5. Michael Addition of Diethyl Acetoxymalonate
Michael addition of chalcones (49) and diethyl acetoxymalonate (61) was also studied in the presence of carbohydrate-based macrocycles (Scheme 12). Using catalyst 20h derived from glucose, excellent enantioselectivity was measured (96% ee) (Table 5, entry 1) [59,60]. Investigating the substituent effect on the outcome of the reaction revealed that the selectivity of catalyst 20h depends on the substrate. The highest asymmetric induction was observed in the case of 4-nitro-, 4-chloro- and 4-methoxychalcone (89%, 88% and 97% ee, respectively) (Table 5, entries 2–4). Interestingly, when, instead of a phenyl group, a heteroaromatic group (furan-2-yl or thiophen-2-yl) was introduced next to the carbonyl group of the chalcone, the Michael addition resulted in enantiomerically pure products (Table 5, entries 5 and 6) [60].
Scheme 12.
Michael addition of chalcones (49) and diethyl acetoxymalonate (61).
Table 5.
Effect of crown ethers in the Michael addition of chalcones (49) and diethyl acetoxymalonate (61).
In the reaction of acetoxymalonate 61, lariat ethers 26d and 26f containing galactose unit showed high enantioselectivity in many cases. The addition reaction of chalcone (49, Ar1 = Ar2 =C6H5) resulted in 99% ee in the presence of 26d bearing a hydroxypropyl side arm, and 98% ee using 26f having a methoxypropyl substituent (Table 5, entries 7 and 8). Among the substituted products, the 4-nitro and 4-methoxy derivatives were prepared with the highest ee values (in the case of 26d: 94% and 99%, in the case of 26f: 99% and 88%) (Table 5, entries 9–12) [34].
Threitol-based crown compounds generated at least moderate enantioselectivity when different chalcones were used. In the case of chalcone (49, Ar1 = Ar2 =C6H5), lariat ether 38a containing the di-O-methyl threitol moiety was the most effective (96% ee) (Table 5, entry 13), while catalysts 38c and 38e yielded the substituted products 62 with the highest ee values (38c: 99% ee for 62 Ar1 = C6H5, Ar2 = 4-Cl-C6H4; 38e: 99% ee for 62 Ar1 = C6H5, Ar2 = 4-H3CO-C6H4) (Table 5, entries 14 and 15) [43].
2.2.6. MIRC Reaction of Chalcones
When an electron deficient olefin is reacted with a compound that possesses both a leaving group and an acidic hydrogen on the same carbon atom, is a so-called Michael-initiated ring closure (MIRC) reaction. Applying chalcones (49) as Michael acceptors, chiral cyclopropane compounds 64 were synthesized with good enantioselectivity (up to 99% ee) using diethyl bromomalonate (63) (Scheme 13). Only the anti (trans) isomer of 64 could be isolated in all experiments.
Scheme 13.
Michael-initiated ring closure (MIRC) reaction of chalcones (61) and diethyl bromomalonate (64).
In the reaction of chalcone (49, Ar1 = Ar2 =C6H5), lariat ether 20h derived from glucose showed good enantioselectivity (88% ee) (Table 6, entry 1). When chalcone analogues were used under the same conditions, the substituents affected the catalytic activity of 20h. Except for two compounds (49, Ar1 = 4-O2N-C6H4, Ar2 = C6H5, 99% ee and 49, Ar1 = C6H5, Ar2 = thiophen-2-yl, 94% ee) enatiomeric excess decreased (Table 6, entries 2 and 3) [59,61].
Table 6.
Effect of crown ethers in the MIRC reaction of chalcones (49) and diethyl bromomalonate (63).
Applying methyl α-d-galactoside-based crown ethers, both 26d and 26f generated product 64 (Ar1 = Ar2 =C6H5) in excellent optical purity (98% and 99%, respectively) (Table 6, entries 4 and 5) [34].
Lariat ethers 38a, 38c and 38e with a hydroxypropyl side arm and threitol moiety proved to be also outstanding catalysts in this cyclopropanation. Presence of methyl (38a) or benzyl (38c) groups in the sugar unit led to high enantioselectivity (98% and 99%, respectively) (Table 6, entries 6 and 7), while using macrocycle 38e containing a 1,4-di-O-butyl threitol sub-unit, a somewhat lower enantioselectivity was observed (86% ee) (Table 6, entry 8) [43].
2.2.7. MIRC Reaction of Arylidenemalononitriles
To simplify the outcome of the MIRC reaction (i.e., the number of possible isomers), benzylidenemalononitrile (65, Ar = C6H5) was used to form new cyclopropane derivatives 66 (Scheme 14). Depending on the substituents of the aromatic ring, crown 20h generated enantiomeric excess up to 99% [59,61]. Interestingly, the asymmetric induction generated by catalyst 20h was low (32% ee) when an unsubstituted Michael acceptor (65, Ar = C6H5) was used (Table 7, entry 1). The best ee values (92% and 99%) were obtained in the reaction of 4-methyl- and 3,4-methylenedioxy-substituted benzylidenemalononitrile (65, Ar = 4-H3C-C6H4 and 3,4-methylenedioxy-C6H3, respectively) (Table 7, entries 2 and 3).
Scheme 14.
Michael-initiated ring closure reaction of arylidenemalononitriles (65) and diethyl bromomalonate (63).
Table 7.
Effect of crown ethers in the MIRC reaction of arylidenemalononitriles (65) and diethyl bromomalonate (63).
Galactose-based macrocycles proved to be highly efficient in this cyclopropanation. In the presence of crown compound 26f, the product 66 (Ar = C6H5) was formed in an ee of 78% (Table 7, entry 4), while using substituted 65 derivatives, the examined ones were mostly obtained with higher enantioselectivity (e.g., in case of 66 Ar = 4-H3C-C6H4, 98% ee) (Table 7, entry 5) [34]. Among the β-series of catalysts prepared from galactose, application of 44a resulted in the highest asymmetric induction (86% ee) (Table 7, entry 12) [46].
Lariat ethers synthesized from sugar alcohols (mannitol or threitol) showed diverse activity. Mannitol-containing crown ethers 27e, 39a, 40a and 40b gave cyclopropane 66 (Ar = 4-H3C-C6H4) with excellent enantioselectivity (99%, 96%, 98% and 99% ee, respectively) (Table 7, entries 6 and 9–11) [44]. Using threitol-based 38a as the catalyst, an ee value of 99% was achieved in the case of 3-methyl- and 4-methyl-substituted Michael acceptor 66 (Table 7, entries 7 and 8) [43]. In threitol-based compounds 38a–f, the groups attached to the chiral carbon atoms are rather simple, yet the outcome of the reaction is highly influenced by these substituents.
2.2.8. MIRC Reaction of Arylidene-1,3-Diphenylpropane-1,3-Diones
Reactions of arylidene-1,3-diphenylpropane-1,3-diones (67) and diethyl bromomalonate (63) resulted in cyclopropane derivatives 68 with only one stereogenic center as well (Scheme 15). Replacement of the nitrile groups to benzoyl functions in the previous reaction, resulted in lower ee values. Glucose-based crown ether 20h generated 60% ee (Table 8, entry 1). Substitution on the arylidene unit had a negative impact on the enantioselectivity of crown 20h [59,61].
Scheme 15.
Michael-initiated ring closure reaction of arylidene-1,3-diphenylpropane-1,3-diones (67) and diethyl bromomalonate (63).
Table 8.
Effect of crown ethers in the MIRC reaction of arylidene-1,3-diphenylpropane-1,3-diones (67) and diethyl bromomalonate (63).
Macrocycle 26d, the galactose analogue of 20h, showed the same efficiency (60% ee) (Table 8, entry 1), while 26f having a methoxypropyl group instead of hydroxypropyl, generated higher enantioselectivity (76% ee) (Table 8, entry 3 [34]).
Crown ether 28b derived from mannose and threitol-based catalyst 38e, both containing hydroxypropyl side arm, had similar activity to 20h (54% and 57% ee, respectively) (Table 8, entries 4 and 5) [43,61].
2.2.9. MIRC Reaction of Arylidene Indane-1,3-Diones
Cyclopropanation of arylidene indane-1,3-diones (69) (Scheme 16) resulted in chiral compounds 70 with good enantiomeric excess in the presence of carbohydrate-based crown ethers. When glucopyranoside-based lariat ether 20h was used in the reaction of benzylidene indane-1,3-dione (69, Ar = C6H5), only moderate enantiomeric excess was measured (56%) (Table 9, entry 1). Altering the substrate to other arylidene derivatives, higher ee values were obtained in general. Presence of a nitro group in each position increased the generated asymmetric induction (70–93% ee) (Table 9, entries 2–4) [61].
Scheme 16.
Michael-initiated ring closure reaction of arylidene indane-1,3-diones (69) and diethyl bromomalonate (63).
Table 9.
Effect of crown ethers in the MIRC reaction of arylidene indane-1,3-diones (69) and diethyl bromomalonate (63).
Crown ether 27e synthesized from diisopropylidene mannitol showed the same efficiency (56% ee) (Table 9, entry 5) as 20h derived from glucose [44].
The highest enantioselectivity was generated by β-galactoside-based catalysts 44a, 44b and 44c (91%, 96% and 95% ee, respectively) (Table 9, entries 6–8). As can be seen, the substituent of the anomeric center did not have a significant effect on the selectivity in this MIRC reaction [46].
2.2.10. MIRC Reaction of Arylidene Cyanosulfones
Asymmetric cyclopropanation of cyanosulfones 71 was carried out in the presence of glucose- and galactose-based catalysts (Scheme 17) [27]. Only one of the diastereomers was formed in all cases. Comparing the carbohydrate unit, the catalysts containing a galactoside moiety were slightly more efficient. Among the glucose-containing crown ethers 20q bearing 2-(3,4-dimethoxyphenyl)ethyl substituent on the nitrogen proved to be the most effective (73% ee) (Table 10, entry 1).
Scheme 17.
Michael-initiated ring closure reaction of arylidene cyanosulfones 71 and diethyl bromomalonate (63).
Table 10.
Effect of crown ethers in the MIRC reaction of arylidene cyanosulfones 71 and diethyl bromomalonate (63).
Again, the structure of the substrate has a high impact on the enantioselectivity, cyclopropane derivative 72 (Ar = naphthalen-2-yl) was formed with highest ee value (85%) (Table 10, entry 5). Substituents on the phenyl ring of 71 in the meta or para position had a positive effect on the asymmetric induction (e.g., 3-chlorophenyl 72: 84% ee; 3-methylphenyl 72: 81% ee; 4-nitrophenyl 72: 82% ee) (Table 10, entries 2–4), while ortho-substituted 72 derivatives were obtained as almost racemic mixtures.
While catalyst 26h derived from methyl α-d-galactoside gave the best result in the reaction of 71 (Ar = C6H5) (80% ee) (Table 10, entry 7), its β-phenyl-galactopyranoside-based analogue 44g generated a slightly lower ee value (72%) (Table 10, entry 8). In addition to the 2-(3,4-dimethoxyphenyl)ethyl substituent, 26g with a 2-(2-methoxyphenyl)ethyl side chain was also effective (76% ee) (Table 10, entry 6).
2.2.11. Michael Addition of Methyl Vinyl Ketone
Itoh and Shirakami investigated the Michael addition of a glycine derivative (73) to methyl vinyl ketone (74) in the presence of glucose-based crown ethers (Scheme 18) [62]. Crown ether 24d inspired the mentioned researchers to investigate the structure-activity relationship of monoaza-15-crown-5 compounds. Macrocycles 76 and 77 being analogous to 24d were synthesized from methyl 4,6-O-benzylidene-glucopyranoside (19) in 5–7 steps. In crown compound 76, the macro ring is attached to the 3,4 positions of the sugar unit, while in catalyst 77, the crown and the pyranoside ring is annulated in the 4,6 positions. Comparison the effect of 24d, 76 and 77 in the reaction of glycine derivative 73 and methyl vinyl ketone (74) gave interesting results. Application of 24d as the phase transfer catalyst resulted in the formation of the S enantiomer of 75 (72% ee), while in the presence of 76, R antipode was formed in excess (60% ee). Surprisingly, crown compound 77 was ineffective, a racemic mixture was obtained.
Scheme 18.
Michael addition of glycine derivative 74 to methyl vinyl ketone 75.

2.2.12. Darzens Condensations
Asymmetric Darzens reaction of 2-chloroacetophenone (78, Ar1 = C6H5) and benzaldehyde (79, Ar2 = C6H5) was first investigated in the presence of glucose-based azacrown ethers 20a–g in 1997 (Scheme 19). Catalyst 20g bearing a hydroxyethyl chain showed moderate enantioselectivity (42%) (Table 11, entry 1), which could be increased by lowering the temperature of the reaction to −22 °C. The synthesis was diastereoselective, only the formation of the anti (trans) product 80 was observed [50]. Replacement of the hydroxyethyl moiety in compound 20g to a hydroxypropyl group led to increased enantiomeric excess (20h, 62% ee) (Table 11, entry 2) [24]. The presence of the free hydroxyl group in the side chain proved to be crucial, when crown ethers bearing a propyl chain with different functional groups at the end were tested. Methylation (20j), elongation (20n), and changing to dimethylamino (20m) or phenylthiocarbamido (20o) groups led to a significant decrease in enantioselectivity [26].
Scheme 19.
Darzens condensation of aromatic 2-chloroketones (78) and benzaldehydes (79).
Table 11.
Effect of crown ethers in the Darzens condensation of aromatic 2-chloroketones (78) and benzaldehydes (79).
Altering the protective group in the 4,6 position of the carbohydrate influenced the catalytic activity of glucose-based crown ethers negatively (e.g., catalyst 30a bearing a naphthylidene moiety gave product 80 (Ar1 = Ar2 = C6H5) in an ee of 48% under the same conditions) (Table 11, entry 13) [39].
The substituent in the anomeric position of glucose had only a small impact on the enantioselectivity. When the alkoxy group was in the axial position (α-series), slightly higher ee values were measured than in the case of β-substituted derivatives. The best result was obtained in the reaction 2-chloroacetophenone (78, Ar1 = C6H5) and benzaldehyde (79, Ar2 = C6H5) by using crown ether 41a (73% ee) (Table 11, entry 15) [45].
Heteroaromatic chloroketones were synthesized and then investigated in Darzens condensation with aromatic aldehydes in the presence of crown ether 20h [57,63]. The temperature of the reactions was lowered to −5 °C to reach higher enantiomeric excess. When 2-chloroacetylfuran (78, Ar1 = furan-2-yl) and benzaldehyde was reacted (79, Ar2 = C6H5), moderate asymmetric induction was observed (54% ee) (Table 11, entry 3) (Scheme 19). Using substituted benzaldehydes, in general, the ee values were higher (e.g., 80 with Ar1 = furan-2-yl, Ar2 = 2-Cl-C6H4: 70% ee) (Table 11, entry 4). An inverse trend was observed for 2-chloracetylthiophene (78, Ar1 = thiophen-2-yl). In this case, a substituent on the aldehyde lowered the enantioselectivity, with one exception (80 with Ar1 = thiophen-2-yl, Ar2 = C6H5: 70% ee; 80 with Ar1 = thiophen-2-yl, Ar2 = 3,4- methylenedioxy-C6H3: 86% ee) (Table 11, entries 5 and 6). Moving the chloroacetyl group to the 3 position of the thiophene ring (78, Ar1 = thiophen-3-yl) led to lower optical purity (52% ee) (Table 11, entry 7). When pyrrol or 1-methylpyrrol analogues were reacted with benzaldehyde, the selectivity of 20h was weak (80 with Ar1 = pyrrol-2-yl, Ar2 = C6H5: 36% ee; 80 with Ar1 = 1-methylpyrrol-2-yl, Ar2 = 3,4- methylenedioxy-C6H3: 16% ee) (Table 11, entries 8 and 9).
The highest enantioselectivity was reached when 4′-phenyl-2-chloroacetophenon was reacted with benzaldehyde using glucose-based lariat ether 20h (product 80 with Ar1 = 4-phenyl-C6H4, Ar2 = C6H5: 96% ee) (Table 11, entry 10) (Scheme 19). With other aromatic aldehydes, lower ee values were measured [64].
Investigation of the efficiency of lariat ethers 23a–h, which contain a β-phenyl glucoside unit, demonstrated again that the side chain has a significant impact on the asymmetric induction. While catalysts 23a–d with a hydrocarbon substituent on the nitrogen atom were ineffective (4–12% ee), using 23g with a hydroxypropyl group, 74% ee was measured (Table 11, entry 11) [28,29].
Experiments with galactose-containing macrocycles had similar results. Catalyst 26d with a hydroxypropyl side arm and a α-methyl group was inferior (26% ee) (Table 11, entry 12) to crown compound 44d, which have the same side arm, but a β-phenyl group in C-1 (73% ee) (Table 11, entry 16) [46].
In the case of mannitol-based crown compounds, it was found again that in addition to the side arm, the protecting group also influenced the generated enantioselectivity. With the exception of compound 40a with cyclohexylidene moiety (62% ee) (Table 11, entry 14), low ee values were measured in the Darzens reaction [44].
When the effect of xylal- and arabinal-based crown ethers 45–48 were compared, catalysts 47a, 47b and 48 derived from l- and d-arabinal were ineffective. Application of crown ethers 45a and 46a, which are mirror images of each other, resulted in good enantiomeric excess (77% and 72%, respectively) (Table 11, entries 17 and 18) [47].
In addition to 2-chloroacetyl derivatives, cyclic chloroketones were also applied in Darzens condensations in the presence of lariat ether 20h containing glucose (Scheme 20). In the reaction of 2-chloroindanone (81, n = 0) with benzaldehyde (79, Ar2 = C6H5), 65% ee was obtained (Table 12, entry 1). In the case of substituted aromatic aldehydes, no clear tendency was observed. The best selectivity was 85% ee (79, Ar2 = 2-Cl-C6H4) (Table 12, entry 2). When 2-chlorotetralone (81, n = 1) was tested, the highest ee value was 74% in the product 82 (Ar = C6H5) (Table 12, entry 3). Any changes on the aromatic part of the aldehyde decreased the measured optical purity [64].
Scheme 20.
Darzens condensation of 2-chloroindanone (81, n = 0), and of 2-chlorotetralone (81, n = 1).
Table 12.
Effect of crown ethers in the Darzens condensation of 2-chloroindanone (81, n = 0), and of 2-chlorotetralone (81, n = 1).
2.2.13. Epoxidations
Asymmetric epoxidation of chalcone (49, Ar1 = Ar2 =C6H5) was first investigated using glucose- and mannose-based catalysts (Scheme 21) [36]. While screening the side arms, it was found that a free hydroxyl group is required to gain good enantioselectivity. The reaction was diastereoselective, only the anti (trans) isomer could be isolated. Catalyst 20g with a hydroxyethyl group generated 81% ee (Table 13, entry 1), while lariat ether 20h bearing a hydroxypropyl moiety showed even higher efficiency (92% ee) (Table 13, entry 2). Similar results were experienced in the case of mannose-based crown ethers, compounds 28a and 28b proved to be the most efficient (72% and 80% ee, respectively) (Table 13, entries 9 and 10). It is interesting, that catalysts derived from mannose preferred the formation of the 2S,3R enantiomer, while 2R,3S antipode was in excess in the case of glucose-based catalysts. It is worth to mention that glucose and mannose differs only in the configuration of C-2, therefore in the case of glucose, anti-annulation can be observed between the monosaccharide and the crown ring, while in the case of mannose, there is a syn-annulation. This difference can be the reason why different enantiomers are formed during the epoxidation reaction.
Scheme 21.
Liquid-liquid two phase epoxidation of chalcones (49).
Table 13.
Effect of crown ethers in the epoxidation of chalcones (49).
Comparison of the effect of catalysts containing a methyl glucoside (20h), a methyl mannoside (28b) and a methyl altroside (29) moiety in the epoxidation reaction was carried out not only with chemical experiments but using molecular modeling as well [38]. Crown compound 29 was ineffective regarding the asymmetric induction (Table 13, entry 11). This is, in fact, very interesting; because of the anti-annulation of the carbohydrate unit and the macro ring, catalyst 29 was expected to be effective, but as the results of the in silico experiments revealed, that the annulation is only one of the factors that affect the enantioselectivity.
Comparing the effect of the protecting group in glucose-based crown ethers, macrocycle 20h with a benzylidene group was the most effective (92% ee) (Table 13, entry 2), in the case of a naphthylidene unit (30a) the enantioselectivity was almost the same (89% ee) (Table 13, entry 12), but when an isopropylidene moiety (31a) was in the 4,6 position, the measured ee value decreased to 67% (Table 13, entry 13) [39].
The anomeric position also had an impact on the asymmetric induction. Selectivity of the α-alkyl analogues of 20h was retained (41a: 94% ee; 41b: 93% ee) (Table 13, entries 14 and 15), while catalysts of the β-series were less selective (e.g., 42a: 84% ee) (Table 13, entry 16) [45]. Crown ether 23g containing a phenoxy group in equatorial position also generated lower enantioselectivity (76% ee) (Table 13, entry 7) than macrocycle 20h [33].
Alteration on the anomeric center led to different ee values in the case of galactose-based crown ethers. The enantioselectivity was higher when the substituent of C-1 was equatorial. While catalyst 26d derived from methyl α-d-galactoside, which is analogous to glucose-based 20h, generated an ee of 53% (Table 13, entry 8), using its β-analogue 44a led to a slightly higher enantiomeric excess (59%) (Table 13, entry 17). In case of catalyst 44d bearing a β-phenyl group, the epoxidation of chalcone (49, Ar1 = C6H5, Ar2 = C6H5), resulted in 64% ee (Table 13, entry 18) [46].
The structure of the substrate influenced the outcome of the epoxidation as well. Crown ether 20h showed high enantioselectivity, when 4′-chloro- (49, Ar1 = 4-Cl-C6H4, Ar2 = C6H5), 3′-nitro- (49, Ar1 = 3-O2N-C6H4, Ar2 = C6H5) or 2,4-dichlorochalcone (49, Ar1 = C6H5, Ar2 =2,4-di-Cl-C6H4) was used (97%, 99% and 99% ee, respectively) (Table 13, entries 3–5) [65]. In case of unsaturated ketones containing a 1-methylpyrrol subunit, lariat ether 20h generated good enantiomeric excess (e.g., 79% ee in case of 61, Ar1 = 1-methylpyrrol-2-yl, Ar2 = C6H5) (Table 13, entry 6) [63].
From crown ethers 45–48 containing unsaturated carbohydrate units, only the xylal-based 45a and 46 resulted in an optically active product 80. While catalyst 45a derived from d-xylal generated the 2S,3R enantiomer of 80 (Ar1 = C6H5, Ar2 = C6H5) with 77% ee, application of crown ether 46 synthesized from l-xylal led to the formation of the 2R,3S antipode in an ee value of 72% ee (Table 13, entries 19 and 21). Using chalcone analogues, various enantiomeric excess was observed in the presence of lariat ether 45a. The best selectivity was obtained in the case of compound 80 (Ar1 = C6H5, Ar2 = naphthalen-2-yl) (96% ee) (Table 13, entry 20) [47].
3. Conclusions
A variety of chiral crown ethers containing one or two sugar units in annulation with the macrocyclic ring have been synthesized from monosaccharides (such as d-glucose, d-mannose, d-galactose, d-altrose, l-arabinose, etc.) and sugar alcohols (l-threitol, d-mannitol). These chiral macrocycles were tested as phase transfer catalysts in asymmetric reactions (in liquid-liquid and solid-liquid phase systems). A few representatives of the monosaccharide-based crown ethers induced a considerable asymmetric induction in certain reactions. It turned out, that there is no universally applicable catalyst for each reaction, viz. in each asymmetric reaction, different catalysts showed the best results. It was found that the type of the carbohydrate, the substituents on the sugar unit and on the nitrogen atom of the crown ring (side arms) have significant influence on both the chemical yield and the enantioselectivity.
Based on the experiments, monoaza-15-crown-5 lariat ethers incorporating a d-glucose, or a d-galactose moiety proved to be the most efficient catalysts. Sugar-based catalysts with a (CH2)3OH substituent on the nitrogen atom resulted in the best enantioselectivity in the liquid–liquid phase reactions. In solid–liquid reactions, (CH2)3OCH3 and 2-(3,4-dimethoxyphenyl)ethyl groups also enhanced the asymmetric induction.
Development of novel catalysts is of practical importance, as the lariat ethers can be utilized in phase transfer catalytic reactions, a part of which is to be explored.
The chiral compounds synthesized using carbohydrate-based catalysts are important intermediates in the chemical industry.
Funding
This research received no external funding.
Conflicts of Interest
The authors declare no conflict of interest.
References
- Cram, D.J.; Sogah, G.D.Y.J. Chiral crown complexes catalyse Michael addition reactions to give adducts in high optical yields. Chem. Soc. Chem. Commun. 1981, 625–628. [Google Scholar] [CrossRef]
- O’Donell, M.J. Asymmetric phase-transfer reactions. In Catalytic Asymmetric Synthesis, 2nd ed.; Ojima, I., Ed.; Wiley-VCH: New York, NY, USA, 2000; pp. 727–755. [Google Scholar] [CrossRef]
- Marouka, K. Asymmetric Phase Transfer Catalysis; Wiley-VCH Verlag GmbH & Co. KgaA: Weinheim, Germany, 2008. [Google Scholar] [CrossRef]
- Soddart, J.F. Chiral crown ethers. In Topics in Stereochemistry; Eliel, E.L., Wilen, S.H., Eds.; John Wiley & Sons: New York, NY, USA, 1987; Volume 17, pp. 207–288. [Google Scholar] [CrossRef]
- Alonso-Lopez, M.; Martin-Lomas, M.; Penadés, S. Asymmetric Michael reaction using macrocyclic lactose derivatives as chiral catalysts. Tetrahedron Lett. 1986, 27, 3551–3554. [Google Scholar] [CrossRef]
- Dehmlow, E.V.; Sauerbier, C. Enantioselektive Phasentransfer-Katalyse durch optisch aktive Kronenether. Liebigs Annalen Chemie 1989, 181–185. [Google Scholar] [CrossRef]
- Vicent, C.; Martin-Lomas, M.; Penades, S. New synthetic strategy to highly symmetric chiral macrocycles from carbohydrate derivatives. Tetrahedron 1989, 45, 3605–3612. [Google Scholar] [CrossRef]
- Van Maarschalkerwaart, D.A.H.; Willard, N.P.; Pandit, U.K. Synthesis of carbohydrate containing crown ethers and their application as catalysts in asymmetric Michael additions. Tetrahedron 1992, 48, 8825–8840. [Google Scholar] [CrossRef]
- Pietraszkiewicz, M.; Jurczak, J. Synthesis of chiral diaza-crown ethers incorporating carbohydrate units. Tetrahedron 1984, 40, 2967–2970. [Google Scholar] [CrossRef]
- Jarosz, S.; Lewandowski, B. Synthesis and complexation properties towards the ammonium cation of aza-coronand analogues containing sucrose. Carbohydr. Res. 2008, 343, 965–969. [Google Scholar] [CrossRef] [PubMed]
- Porwanski, S.; Dumarcay-Charbonnier, F.; Menuel, S.; Joly, J.-P.; Bulach, V.; Marsura, A. Bis-β-cyclodextrinyl- and bis-cellobiosyl-diazacrowns: Synthesis and molecular complexation behaviors toward Busulfan anticancer agent and two basic aminoacids. Tetrahedron 2009, 65, 6196–6203. [Google Scholar] [CrossRef]
- Pintal, M.; Kryczka, B.; Marsura, A.; Porwański, S. Synthesis of bis-cellobiose and bis-glucose derivatives of azacrown macrocycles as hosts in complexes with acetylsalicylic acid and 4-acetamidophenol. Carbohydr. Res. 2014, 386, 18–22. [Google Scholar] [CrossRef]
- Pintal, M.; Kryczka, B.; Porwański, S. Stability of the Complexes of Bis-Saccharide Crown Ethers with p-Toluenesulfonamide. Heteroatom Chem. 2015, 26, 161–167. [Google Scholar] [CrossRef]
- Ignaczak, A.; Porwański, S.; Szyszka, M. Deeper insight into the properties of the newly synthesized macrocycles as drug receptors—Some preliminary quantum chemical studies. New J. Chem. 2017, 41, 521–529. [Google Scholar] [CrossRef]
- Rathjens, A.; Thiem, J. Synthesis of carbohydrate-based azamacrocycles by Richman-Atkins cyclisation. C. R. Chim. 2011, 14, 286–300. [Google Scholar] [CrossRef]
- Rathjens, A.; Thiem, J. Carbohydrate-based aza-macrocycles by Richman-Atkins cyclization of glucopyranose precursors. Carbohydr. Res. 2017, 438, 18–25. [Google Scholar] [CrossRef]
- Rathjens, A.; Thiem, J. Syntheses of anomerically bridged mannofuranosides and aza-macrocycles by Richman-Atkins cyclization. J. Carbohydr. Chem. 2016, 35, 397–411. [Google Scholar] [CrossRef]
- Bakó, P.; Fenichel, L.; Tőke, L.; Czugler, M. Synthese und Komplexbildung von Kronenethern aus Methyl-4,6-O-benzyliden-α-d-glucopyranosid. Liebigs Annalen Chemie 1981, 1163–1171. [Google Scholar] [CrossRef]
- Bakó, P.; Fenichel, L.; Tőke, L. The complexing ability of crown ethers incorporating glucose. J. Incl. Phenom. Mol. 1993, 16, 17–23. [Google Scholar] [CrossRef]
- Tóth, G.; Dietrich, W.; Bakó, P.; Fenichel, L.; Tőke, L. Reaction of methyl 2,3-anhydro-4,6-O-benzylidene-α-d-allopyranoside with ethanolamine and 1,4,7,10-tetraoxa-13-azacyclopentadecane. Carbohydr. Res. 1987, 168, 141–145. [Google Scholar] [CrossRef]
- Bakó, P.; Fenichel, L.; Tőke, L. Novel azacrown ethers incorporating sugars: Synthesis and complex formation. J. Chem. Soc. Perkin I 1989, 2514–2516. [Google Scholar] [CrossRef]
- Bakó, P.; Tőke, L. Novel monoaza- and diazacrown ethers incorporating sugar units and their extraction ability towards picrate salts. J. Incl. Phenom. Mol. 1995, 23, 195–201. [Google Scholar] [CrossRef]
- Bakó, P.; Czinege, E.; Bakó, T.; Czugler, M.; Tőke, L. Asymmetric C-C bond forming reactions with chiral crown catalysts derived from d-glucose and d-galactose. Tetrahedron Asymmetry 1999, 10, 4539–4551. [Google Scholar] [CrossRef]
- Bakó, P.; Novák, T.; Ludányi, K.; Pete, B.; Tőke, L.; Keglevich, G. d-Glucose-based azacrown ethers with a phosphonoalkyl side chain: Application as enantioselective phase transfer catalysts. Tetrahedron Asymmetry 1999, 10, 2373–2380. [Google Scholar] [CrossRef]
- Novák, T.; Bakó, P.; Keglevich, G.; Dobó, A.; Vékey, K.; Tőke, L. Synthesis of d-Glucose-based Azacrown Ethers with Phosphinoxidoalkyl Side Chains and Their Application to an Enantioselective Reaction. J. Incl. Phenom. Macro. 2001, 40, 207–212. [Google Scholar] [CrossRef]
- Rapi, Z.; Bakó, P.; Drahos, L.; Keglevich, G. Side-Arm Effect of a Methyl α-d-Glucopyranoside Based Lariat Ether Catalysts in Asymmetric Syntheses. Heteroat. Chem. 2015, 26, 63–71. [Google Scholar] [CrossRef]
- Nemcsok, T.; Rapi, Z.; Bagi, P.; Hou, G.Y.; Orbán, I.; Keglevich, G.; Bakó, P. Enantioselective cyclopropanation of conjugated cyanosulfones using carbohydrate-based crown ether catalysts. Tetrahedron 2020, 76, 130965. [Google Scholar] [CrossRef]
- Bakó, P.; Vízvárdi, K.; Bajor, Z.; Tőke, L. Synthesis and application in asymmetric synthesis of azacrown ethers derived from d-glucose. Chem. Commun. 1998, 1193–1194. [Google Scholar] [CrossRef]
- Bakó, P.; Vízvárdi, K.; Toppet, S.; Van der Eycken, E.; Hoornaert, G.J.; Tőke, L. Synthesis, extraction ability and application in asymmetric synthesis of azacrown ethers derived from d-glucose. Tetrahedron 1998, 54, 14975–14988. [Google Scholar] [CrossRef]
- Pham, T.S.; Rapi, Z.; Bakó, P.; Petneházi, I.; Stirling, A.; Jászay, Z. Enantioselective synthesis of substituted α-aminophosphonates catalysed by d-glucose-based crown ethers: Pursuit of the origin of stereoselectivity. New J. Chem. 2017, 41, 14945–14953. [Google Scholar] [CrossRef]
- Bakó, P.; Kiss, T.; Tőke, L. Chiral azacrown ethers derived from d-glucose as catalysts for enantioselective Michael addition. Tetrahedron Lett. 1997, 38, 7259–7262. [Google Scholar] [CrossRef]
- Bakó, P.; Bajor, Z.; Tőke, L. Synthesis of novel chiral crown ethers derived from d-glucose and their application to an enantioselective Michael reaction. J. Chem. Soc. Perkin Trans I 1999, 3651–3655. [Google Scholar] [CrossRef]
- Bakó, T.; Bakó, P.; Keglevich, G.; Bombicz, P.; Kubinyi, M.; Pál, K.; Bodor, S.; Makó, A.; Tőke, L. Phase-transfer catalyzed asymmetric epoxidation of chalcones using chiral crown ethers derived from d-glucose, d-galactose, and d-mannitol. Tetrahedron Asymmetry 2004, 15, 1589–1595. [Google Scholar] [CrossRef]
- Rapi, Z.; Grün, A.; Keglevich, G.; Stirling, A.; Bakó, P. Synthesis of α-d-galactose-based azacrown ethers and their application as enantioselective catalysts in Michael reactions. New J. Chem. 2016, 40, 7856–7865. [Google Scholar] [CrossRef]
- Bakó, P.; Bakó, T.; Bisztray, K.; Szöllősy, Á.; Nagy, K.; Tőke, L. Synthesis, Extraction Ability and Application in an Asymmetric Synthesis of Azacrown Ethers Derived from d-Mannitol. J. Incl. Phenom. Macrocycl. 2001, 39, 247–251. [Google Scholar] [CrossRef]
- Bakó, P.; Bakó, T.; Mészáros, A.; Keglevich, G.; Szöllősy, Á.; Bodor, S.; Makó, A.; Tőke, L. Phase Transfer Catalysed Asymmetric Epoxidation of Chalcones Using Chiral Crown Ethers Derived from d-Glucose and d-Mannose. Synlett 2004, 643–646. [Google Scholar] [CrossRef]
- Bakó, P.; Makó, A.; Keglevich, G.; Kubinyi, M.; Pál, K. Synthesis of d-mannose-based azacrown ethers and their application in enantioselective reactions. Tetrahedron Asymmetry 2005, 16, 1861–1871. [Google Scholar] [CrossRef]
- Makó, A.; Menyhárd, D.K.; Bakó, P.; Keglevich, G.; Tőke, L. Asymmetric epoxidation of substituted chalcones and chalcone analogues catalyzed by α-d-glucose- and α-d-mannose-based crown ethers. J. Mol. Struct. 2008, 892, 336–342. [Google Scholar] [CrossRef]
- Makó, A.; Szöllősy, Á.; Keglevich, G.; Menyhárd, D.K.; Bakó, P.; Tőke, L. Synthesis of methyl-α-d-glucopyranoside-based azacrown ethers and their application in enantioselective reactions. Monats. Chem. 2008, 139, 525–535. [Google Scholar] [CrossRef]
- Szabó, T.; Rapi, Z.; Keglevich, G.; Szöllősy, Á.; Drahos, L.; Bakó, P. Synthesis of l-arabinose-based crown ethers and their applications as enantioselective phase transfer catalysts. ARKIVOC 2012, 36–48. [Google Scholar] [CrossRef]
- Rapi, Z.; Bakó, P.; Keglevich, G.; Szöllősy, Á.; Drahos, L.; Hegedűs, L. Synthesis of ribo-hexopyranoside- and altrose-based azacrown ethers and their application in an asymmetric Michael addition. Carbohydr. Res. 2013, 365, 61–68. [Google Scholar] [CrossRef] [PubMed]
- Rapi, Z.; Ozohanics, O.; Tóth, G.; Bakó, P.; Höfler, L.; Nemcsok, T.; Kánya, N.; Keglevich, G. Syntheses and complexing ability of α-d-gluco- and α-d-xylofuranoside-based lariat ethers. J. Incl. Phenom. Macro. 2016, 85, 19–32. [Google Scholar] [CrossRef]
- Rapi, Z.; Nemcsok, T.; Pálvölgyi, Á.; Keglevich, G.; Grün, A.; Bakó, P. Synthesis of l-threitol-based crown ethers and their application as enantioselective phase transfer catalyst in Michael additions. Chirality 2017, 29, 257–272. [Google Scholar] [CrossRef]
- Nemcsok, T.; Rapi, Z.; Keglevich, G.; Grün, A.; Bakó, P. Synthesis of d-mannitol-based crown ethers and their application as catalyst in asymmetric phase transfer reactions. Chirality 2018, 30, 407–419. [Google Scholar] [CrossRef]
- Pálvölgyi, Á.; Rapi, Z.; Ozohanics, O.; Tóth, G.; Keglevich, G.; Bakó, P. Synthesis of alkyl α- and β-d-glucopyranoside-based chiral crown ethers and their application as enantioselective phase-transfer catalysts. Res. Chem. Intermed. 2018, 44, 1627–1645. [Google Scholar] [CrossRef]
- Rapi, Z.; Nemcsok, T.; Bagi, P.; Keglevich, G.; Bakó, P. Synthesis of chiral crown ethers derived from d-galactose and their application in enantioselective reactions. Tetrahedron 2019, 75, 3993–4004. [Google Scholar] [CrossRef]
- Nemcsok, T.; Rapi, Z.; Bagi, P.; Keglevich, G.; Bakó, P. Synthesis of xylal- and arabinal-based crown ethers and their application as asymmetric phase transfer catalysts. Chirality 2020, 32, 107–119. [Google Scholar] [CrossRef] [PubMed]
- Bakó, P.; Fenichel, L.; Tőke, L. Synthesis and complex-forming properties of crown ethers incorporating glucuronic acid moieties. J. Incl. Phenom. Mol. 1996, 26, 321–330. [Google Scholar] [CrossRef]
- Bakó, P.; Tőke, L.; Szöllősy, Á.; Bombicz, P. Asymmetric Michael addition of 2-nitropropane to a chalcone catalyzed by chiral crown ethers incorporating a d-glucose unit. Heteroatom Chem. 1997, 8, 333–337. [Google Scholar] [CrossRef]
- Bakó, P.; Szöllősy, Á.; Bombicz, P.; Tőke, L. Asymmetric C-C Bond Forming Reactions by Chiral Crown Catalysts; Darzens Condensation and Nitroalkane Addition to the Double Bond. Synlett 1997, 291–292. [Google Scholar] [CrossRef]
- Novák., T.; Tatai, J.; Bakó, P.; Czugler, M.; Keglevich, G.; Tőke, L. Asymmetric Michael Addition Catalyzed by d-Glucose-based Azacrown Ethers. Synlett 2001, 424–426. [Google Scholar] [CrossRef]
- Bakó, T.; Bakó, P.; Szöllősy, Á.; Keglevich, G.; Czugler, M.; Tőke, L. Enantioselective Michael reaction of 2-nitropropane with substituted chalcones catalysed by chiral azacrown ethers derived from α-d-glucose. Tetrahedron Asymmetry 2002, 13, 203–209. [Google Scholar] [CrossRef]
- Bakó, T.; Bakó, P.; Báthori, N.; Keglevich, G.; Czugler, M.; Tatai, J.; Novák, T.; Parlagh, G.; Tőke, L. Enantioselective Michael addition of 2-nitropropane to chalcone analogues catalyzed by chiral azacrown ethers based on α-d-glucose and d-mannitol. Tetrahedron Asymmetry 2003, 14, 1917–1923. [Google Scholar] [CrossRef]
- Makó, A.; Rapi, Z.; Drahos, L.; Szöllősy, Á.; Keglevich, G.; Bakó, P. Enantioselective Michael Addition of 2-Nitropropane to Substituted Chalcones and Chalcone Analogues Catalyzed by Chiral Crown Ethers Incorporating an α-d-Glucose or an α-d-Mannose Unit. Lett. Org. Chem. 2010, 7, 424–431. [Google Scholar] [CrossRef]
- Jászay, Z.; Pham, T.S.; Németh, G.; Bakó, P.; Petneházi, I.; Tőke, L. Asymmetric Synthesis of Substituted α-Amino Phosphonates with Chiral Crown Ethers as Catalysts. Synlett 2009, 1429–1432. [Google Scholar] [CrossRef]
- Jászay, Z.; Tódor, I.; Rapi, Z.; Bakó, P.; Petneházi, I.; Tőke, L. Diethyl (cyanofluoromethyl)phosphonate: Application in catalytic enantioselective Michael additions. Phosphorus Sulfur 2017, 192, 659–664. [Google Scholar] [CrossRef][Green Version]
- Bakó, P.; Rapi, Z.; Keglevich, G.; Szabó, T.; Sóti, P.L.; Vigh, T.; Grün, A.; Holczbauer, T. Asymmetric C–C bond formation via Darzens condensation and Michael addition using monosaccharide-based chiral crown ethers. Tetrahedron Lett. 2011, 52, 1473–1476. [Google Scholar] [CrossRef]
- Rapi, Z.; Démuth, B.; Keglevich, G.; Grün, A.; Drahos, L.; Sóti, P.L.; Bakó, P. Enantioselective Michael addition of malonates to aromatic nitroalkenes catalyzed by monosaccharide-based chiral crown ethers. Tetrahedron Asymmetry 2014, 25, 141–147. [Google Scholar] [CrossRef]
- Bakó, P.; Rapi, Z.; Grün, A.; Nemcsok, T.; Hegedűs, L.; Keglevich, G. Asymmetric Michael Addition of Malonates to Enones Catalyzed by an α-d-Glucopyranoside-Based Crown Ether. Synlett 2015, 1847–1851. [Google Scholar] [CrossRef]
- Rapi, Z.; Grün, A.; Nemcsok, T.; Hessz, D.; Kállay, M.; Kubinyi, M.; Keglevich, G.; Bakó, P. Crown ether derived from d-glucose as an efficient phase-transfer catalyst for the enantioselective Michael addition of malonates to enones. Tetrahedron Asymmetry 2016, 27, 960–972. [Google Scholar] [CrossRef]
- Rapi, Z.; Nemcsok, T.; Grün, A.; Pálvölgyi, Á.; Samu, G.; Hessz, D.; Kubinyi, M.; Kállay, M.; Keglevich, G.; Bakó, P. Asymmetric cyclopropanation reactions catalyzed by carbohydrate-based crown ethers. Tetrahedron 2018, 74, 3512–3526. [Google Scholar] [CrossRef]
- Itoh, T.; Shirakami, S. Synthesis of Chiral Azacrown Ethers Derived from α-d-Glucose and Their Catalytic Properties on the Asymmetric Michael Addition. Heterocycles 2001, 55, 37–43. [Google Scholar] [CrossRef]
- Rapi, Z.; Szabó, T.; Keglevich, G.; Szöllősy, Á.; Drahos, L.; Bakó, P. Enantioselective synthesis of heteroaromatic epoxyketones under phase-transfer catalysis using d-glucose- and d-mannose-based crown ethers. Tetrahedron Asymmetry 2011, 22, 1189–1196. [Google Scholar] [CrossRef]
- Rapi, Z.; Bakó, P.; Keglevich, G.; Szöllősy, Á.; Drahos, L.; Botyánszky, A.; Holczbauer, T. Asymmetric phase transfer Darzens reactions catalyzed by d-glucose- and d-mannose-based chiral crown ethers. Tetrahedron Asymmetry 2012, 23, 489–496. [Google Scholar] [CrossRef]
- Makó, A.; Rapi, Z.; Keglevich, G.; Szöllősy, Á.; Drahos, L.; Hegedűs, L.; Bakó, P. Asymmetric epoxidation of substituted chalcones and chalcone analogues catalyzed by α-d-glucose- and α-d-mannose-based crown ethers. Tetrahedron Asymmetry 2010, 21, 919–925. [Google Scholar] [CrossRef]
Publisher’s Note: MDPI stays neutral with regard to jurisdictional claims in published maps and institutional affiliations. |
© 2021 by the authors. Licensee MDPI, Basel, Switzerland. This article is an open access article distributed under the terms and conditions of the Creative Commons Attribution (CC BY) license (https://creativecommons.org/licenses/by/4.0/).




















