Results in Chemistry of Natural Organic Compounds. Synthesis of New Anticancer Vinca Alkaloids and Flavone Alkaloids
Abstract
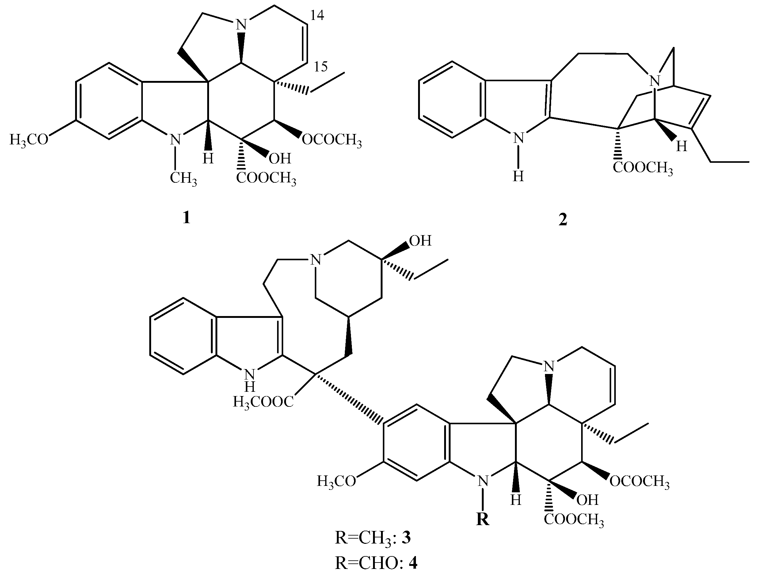
1. Introduction, Therapy and Previous Results
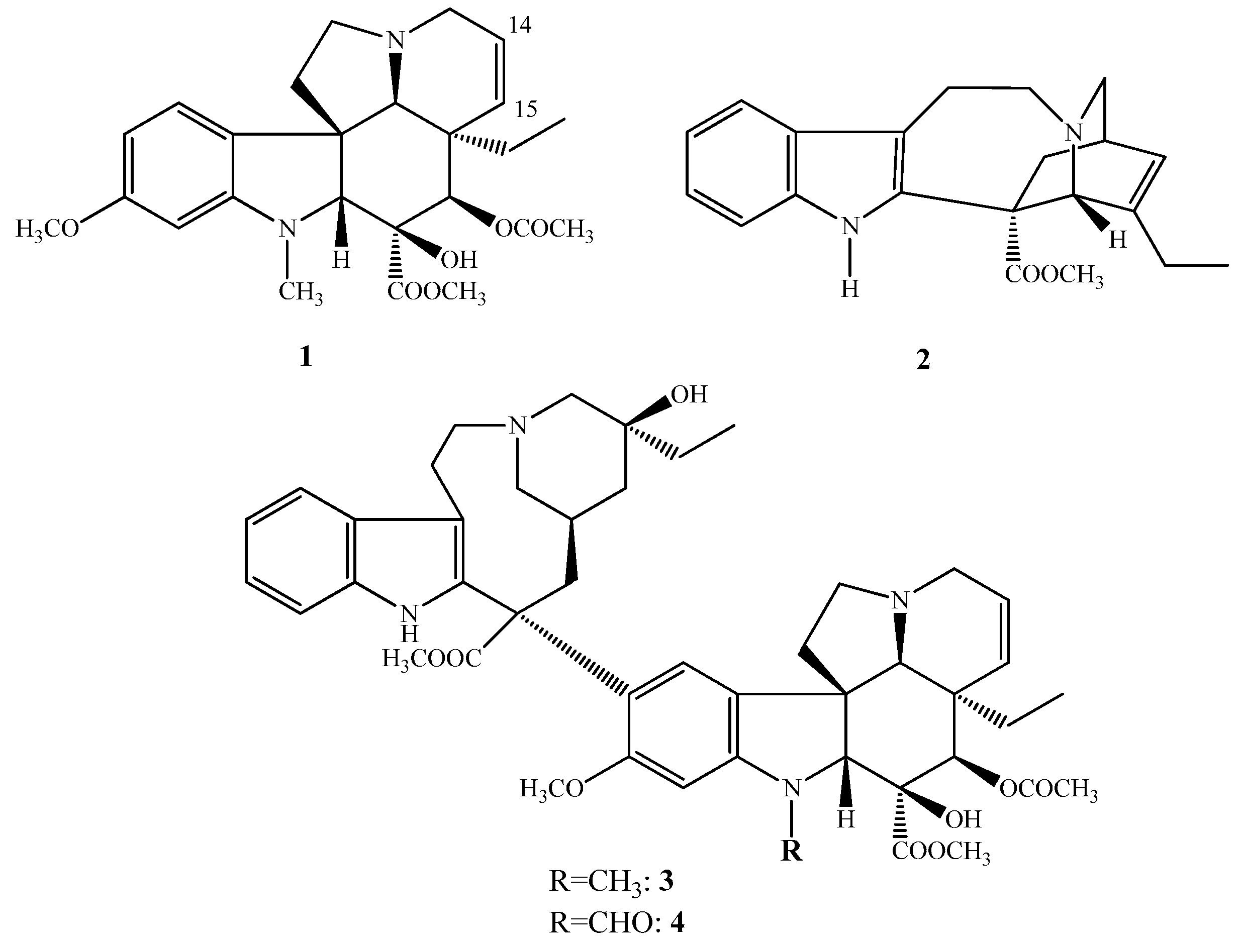
2. Research on Vinca Alkaloids
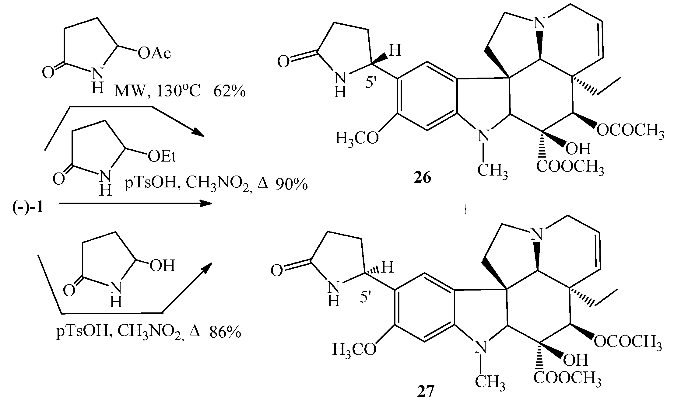
2.1. Derivatives Condensed the Three-Membered Rings
2.2. Vinca Hybrid Molecules Containing Amino Acid Esters
2.3. Vinca Hybrid Molecules Containing Steroid Vectors
2.4. Vinca Hybrid Molecules Containing Synthetic Pharmacophores
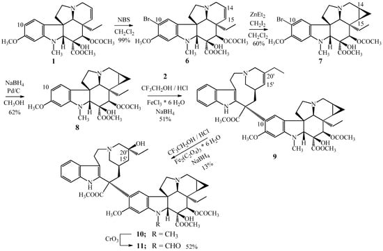
2.5. Halogenation Reactions of VINCA Alkaloids
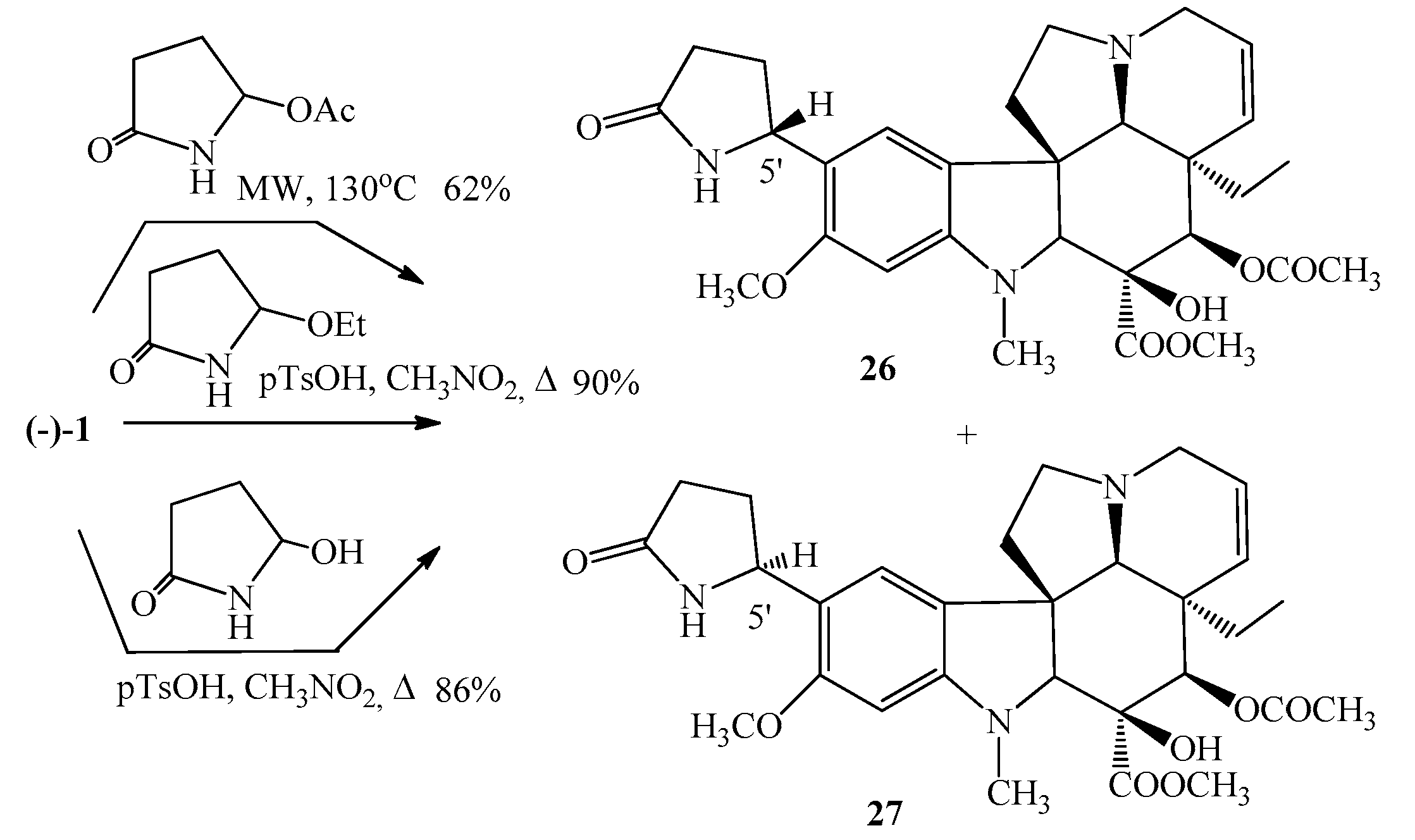
3. Vindoline and Flavone Derivatives Containing 2-Pyrrolidone Ring
4. 7-OH and 7-NH Modified Flavonoid Derivatives
Author Contributions
Funding
Conflicts of Interest
References
- Brossi, A.; Suffness, M. The Alkaloids; Academic Press Inc.: New York, NY, USA, 1990; Volume 37, pp. 1–240. [Google Scholar]
- Bölcskei, H.; Szabó, L.; Szántay, C. Synthesis of Vinblastine Derivatives. Front. Nat. Prod. Chem. 2005, 1, 43–49. [Google Scholar] [CrossRef]
- Keglevich, P.; Hazai, L.; Kalaus, G.; Szántay, C. Modifications on the Basic Skeletons of Vinblastine and Vincristine. Molecules 2012, 17, 5893–5914. [Google Scholar] [CrossRef] [PubMed]
- Keglevich, P.; Hazai, L.; Kalaus, G.; Szántay, C. Új, daganatellenes hatású, ciklopropángyűrűt tartalmazó vinblasztinszármazékok előállítása. Magy. Kém. F. Kém. Közlemények 2015, 121, 136–141. [Google Scholar]
- Raffa, D.; Maggio, B.; Riamondi, M.V.; Plescia, F.; Daidone, G. Recent discoveries of anticancer flavonoids. Eur. J. Med. Chem. 2017, 142, 213–228. [Google Scholar] [CrossRef]
- Midelton, E., Jr.; Kandswami, C. The Flavonoids—Advences in Research Since 1986; Harborne, J.B., Ed.; Chapman and Hall: Cambridge, UK, 1993; pp. 619–652. ISBN 978-1-4899-2915-0. [Google Scholar]
- Read, M.A. Flavonoids: Naturally occurring anti-inflammatory agents. Am. J. Pathol. 1995, 147, 235–237. [Google Scholar]
- Mani, R.; Natesan, V. Chrysin: Sorurces, beneficial pharmacological activities, and molecular mechanism of action. Phytochemistry 2018, 145, 187–196. [Google Scholar] [CrossRef] [PubMed]
- Li, B.; Zhang, F.; Serrao, E.; Cheng, H.; Sanches, T.W.; Yang, L.; Nemati, N.; Zheng, Y.; Wang, H.; Long, Y. Design and discovery of flavonoid-based HIV-1 integrase inhibitors targeting both the active site and the interaction with LEDGF/p75. Bioorg. Med. Chem. 2014, 22, 3146–3158. [Google Scholar] [CrossRef]
- Brinkworth, R.I.; Stoermer, M.J.; Fairlie, D.P. Flavones are inhibitors of HIV-1 proteinase. Biochem. Biopshys. Res. Commun. 1992, 188, 631–637. [Google Scholar] [CrossRef]
- Catapano, A.L. Antioxidant effect of flavonoids. Angiology 1997, 48, 39–44. [Google Scholar] [CrossRef]
- Chen, Y.H.; Yang, Z.S.; Wen, C.C.; Chang, Y.S.; Wang, B.C.; Hsiao, C.A. Evaluation of the structure-activity relationship of flavonoids as antioxidants and toxicants of zebrafish larvae. Food Chem. 2012, 134, 717–724. [Google Scholar] [CrossRef]
- Kim, M.K.; Choo, H.; Chong, Y. Water-Soluble and Cleavable Quercetin–Amino Acid Conjugates as Safe Modulators for P-Glycoprotein-Based Multidrug Resistance. J. Med. Chem. 2014, 57, 7216–7233. [Google Scholar] [CrossRef] [PubMed]
- Noble, R.L.; Beer, M.D.C.T.; McIntyre, R.W. Biological effects of dihydrovinblastine. Cancer 1967, 20, 885–890. [Google Scholar] [CrossRef]
- Keglevich, P.; Keglevich, A.; Hazai, L.; Kalaus, G.; Szántay, C. Natural Compounds Containing a Condensed Cyclopropane Ring. Natural and Synthetic Aspects. Curr. Org. Chem. 2014, 18, 2037–2042. [Google Scholar] [CrossRef]
- Weigert, F.J.; Roberts, J.D.J. Nuclear magnetic resonance spectroscopy. Carbon-carbon coupling in cyclopropane derivatives. Am. Chem. Soc. 1967, 89, 5962–5963. [Google Scholar] [CrossRef]
- Proton Chemical Shifts. Available online: https://www.chem.wisc.edu/areas/reich/nmr/h-data/hdata.htm (accessed on 19 June 2020).
- Clark, E.A.; Fiato, R.A. Aromaticity via cyclopropyl conjugation. Electronic structure of spiro[2.4]hepta-4,6-diene. J. Am. Chem. Soc. 1970, 92, 4736–4738. [Google Scholar] [CrossRef]
- Wiberg, K.B. Bent Bonds in Organic Compounds. Acc. Chem. Res. 1996, 29, 229–234. [Google Scholar] [CrossRef]
- Simmons, H.E.; Smith, R.D. A New Synthesis of Cyclopropanes from Olefins. J. Am. Chem. Soc. 1958, 80, 5323–5324. [Google Scholar] [CrossRef]
- Keglevich, P.; Hazai, L.; Dubrovay, Z.; Dékány, M.; Szántay, C., Jr.; Kalaus, G.; Szántay, C. Bisindole Alkaloids Condensed with a Cyclopropane Ring, Part 1. 14,15-Cyclopropanovinblastine and -vincristine. Heterocycles 2014, 89, 653–668. [Google Scholar] [CrossRef]
- Keglevich, P.; Hazai, L.; Dubrovay, Z.; Sánta, Z.; Dékány, M.; Szántay, C., Jr.; Kalaus, G.; Szántay, C. Bisindole Alkaloids Condensed with a Cyclopropane Ring, Part 2. Cyclopropano-vinorelbine and Its Derivatives. Heterocycles 2015, 90, 316–326. [Google Scholar] [CrossRef]
- Keglevich, P.; Hazai, L.; Kalaus, G.; Szántay, C. Cyclopropanation of Some Alkaloids. Period. Politech. Chem. Eng. 2015, 59, 3–15. [Google Scholar] [CrossRef]
- Vukovic, J.; Goodbody, A.E.; Kutney, J.P.; Misawa, M. Production of 3’, 4’-anhydrovinblastine: A unique chemical synthesis. Tetrahedron 1988, 44, 325–331. [Google Scholar] [CrossRef]
- Jovanovics, K.; Szász, K.; Fekete, G.; Bittner, E.; Dezséri, E.; Éles, J. Chromic Acid Oxidation of Vinblastine Sulfate to Form Vincristine. U.S. Patent US3899493A, 12 August 1975. [Google Scholar]
- Keglevich, P.; Hazai, L.; Gorka-Kereskényi, Á.; Péter, L.; Gyenese, J.; Lengyel, Z.; Kalaus, G.; Orbán, E.; Bánóczi, Z.; Szántay, C., Jr.; et al. Synthesis and in vitro Antitumor Effect of New Vindoline Derivatives Coupled with Amino Acid Esters. Heterocycles 2013, 87, 2299–2317. [Google Scholar] [CrossRef]
- Bánóczi, Z.; Gorka-Kereskényi, Á.; Reményi, J.; Orbán, E.; Hazai, L.; Tőkési, N.; Oláh, J.; Ovádi, J.; Béni, Z.; Háda, V.; et al. Synthesis and in Vitro Antitumor Effect of Vinblastine Derivative-Oligoarginine Conjugates. Bioconjugate Chem. 2010, 21, 1948–1955. [Google Scholar] [CrossRef] [PubMed]
- Keglevich, A.; Zsiros, V.; Keglevich, P.; Szigetvári, Á.; Dékány, M.; Szántay, C., Jr.; Mernyák, E.; Wölfling, J.; Hazai, L. Synthesis and in vitro Antitumor Effect of New Vindoline-Steroid Hybrids. Curr. Org. Chem. 2019, 23, 959–967. [Google Scholar] [CrossRef]
- Tsepaeva, O.V.; Nemtarev, A.V.; Abdullin, T.I.; Grigor’eva, L.R.; Kuznetsova, E.V.; Akhmadishina, R.A.; Ziganshina, L.E.; Cong, H.H.; Mironov, V.F. Design, Synthesis, and Cancer Cell Growth Inhibitory Activity of Triphenylphosphonium Derivatives of the Triterpenoid Betulin. J. Nat. Prod. 2017, 80, 2232–2239. [Google Scholar] [CrossRef] [PubMed]
- Al-Ghorbani, M.; Bushra, B.A.; Zabiulla, S.; Mamatha, S.V.; Ara Khanum, S. Piperazine and morpholine: Synthetic preview and pharmaceutical applications. J. Chem. Pharm. Res. 2015, 7, 281–301. [Google Scholar] [CrossRef]
- Keglevich, A.; Szigetvári, Á.; Dékány, M.; Szántay, C., Jr.; Keglevich, P.; Hazai, L. Synthesis of vinca alkaloid–triphenylphosphine derivatives having potential antitumor effect. Phosphorus Sulfur Silicon Relat. Elem. 2019, 194, 606–609. [Google Scholar] [CrossRef]
- Keglevich, A.; Szigetvári, Á.; Dékány, M.; Szántay, C., Jr.; Keglevich, P.; Hazai, L. Synthesis and in vitro Antitumor Effect of New Vindoline Derivatives Coupled with Triphenylphosphine. Curr. Org. Chem. 2019, 23, 852–858. [Google Scholar] [CrossRef]
- Keglevich, A.; Dányi, L.; Rieder, A.; Horváth, D.; Szigetvári, Á.; Dékány, M.; Szántay, C., Jr.; Latif, A.D.; Hunyadi, A.; Zupkó, I.; et al. Synthesis and Cytotoxic Activity of New Vindoline Derivatives Coupled to Natural and Synthetic Pharmacophores. Molecules 2020, 25, 1010. [Google Scholar] [CrossRef]
- Keglevich, P.; Ábrányi-Balogh, P.; Szigetvári, Á.; Szántay, C., Jr.; Szántay, C.; Hazai, L. Studies on the mechanism of quaternization of the catharanthine part of vinblastine and vincristine. Tetrahedron Lett. 2016, 57, 1672–1677. [Google Scholar] [CrossRef]
- Keglevich, A.; Hegedűs, L.; Péter, L.; Gyenese, J.; Szántay, C., Jr.; Dubrovay, Z.; Dékány, M.; Szigetvári, Á.; Martins, A.; Molnár, J.; et al. Anomalous products in the halogenation reactions of Vinca alkaloids. Curr. Org. Chem. 2016, 20, 2639–2646. [Google Scholar] [CrossRef]
- Novák, L.; Tóth, F.; Kalaus, G. Kutatások az MTA-BME Alkaloidkémiai Kutatócsoportban. Magy. Kém. Folyóirat 2008, 114, 88–94. [Google Scholar]
- Ilkei, V.; Bana, P.; Tóth, F.; Palló, A.; Holczbauer, T.; Czugler, M.; Sánta, Z.; Dékány, M.; Szigetvári, Á.; Hazai, L.; et al. A simple synthesis of bannucine and 5′-epibannucine from (−)-vindoline. Tetrahedron 2015, 71, 9579–9586. [Google Scholar] [CrossRef]
- Ali, I.; Chaudhary, M.I. Bannucine—A new dihydroindole alkaloid from Catharanthus roseus (L) G. Don. J. Chem. Soc. Perkin Trans. 1 1986, 923–926. [Google Scholar] [CrossRef]
- Ilkei, V.; Faragó, K.; Sánta, Z.; Dékány, M.; Hazai, L.; Szántay, C., Jr.; Szántay, C.; Kalaus, G. The First Synthesis of Sessiline. Int. J. Org. Chem. 2014, 4, 309–313. [Google Scholar] [CrossRef][Green Version]
- Lee, S.; Ji, J.; Shin, K.H.; Kim, B.-K. Composition and antimicrobial activity of the essential oil of Achillea multifida. Planta Medica 2002, 68, 939–941. [Google Scholar] [CrossRef]
- Ren, D.-M.; Guo, H.-F.; Yu, W.-T.; Wang, S.-Q.; Ji, M.; Lou, H.-X. Stereochemistry of flavonoidal alkaloids from Dracocephalum rupestre. Phytochemistry 2008, 69, 1425–1433. [Google Scholar] [CrossRef]
- Ilkei, V.; Spaits, A.; Prechl, A.; Szigetvári, Á.; Béni, Z.; Dékány, M.; Szántay, C., Jr.; Müller, J.; Könczöl, Á.; Szappanos, Á.; et al. Biomimetic synthesis and HPLC–ECD analysis of the isomers of dracocephins A and B. Beilstein J. Org. Chem. 2016, 12, 2523–2534. [Google Scholar] [CrossRef]
- Ilkei, V.; Spaits, A.; Prechl, A.; Müller, J.; Könczöl, Á.; Lévai, S.; Riethmüller, E.; Szigetvári, Á.; Béni, Z.; Dékány, M.; et al. C8-selective biomimetic transformation of 5, 7-dihydroxylated flavonoids by an acid-catalysed phenolic Mannich reaction: Synthesis of flavonoid alkaloids with quercetin and (–)-epicatechin skeletons. Tetrahedron 2017, 73, 1503–1510. [Google Scholar] [CrossRef]
- Medina, J.H.; Paladini, A.C.; Wolfman, C.; de Stein, M.L.; Calvo, D.; Diaz, L.E.; Peña, C. Chrysin (5,7-di-OH-flavone), a naturally-occurring ligand for benzodiazepine receptors, with anticonvulsant properties. Biochem. Pharmacol. 1990, 40, 2227–2231. [Google Scholar] [CrossRef]
- Dhawan, K.; Dhawan, S.; Sharma, A. Passiflora: A review update. J. Ethnopharmacol. 2004, 94, 1–23. [Google Scholar] [CrossRef] [PubMed]
- Ksaka, E.R.; Bodduluru, L.N.; Madana, R.M.; Athira, K.V.; Gogoi, R.; Barua, C.C. Chemopreventive and therapeutic potetntial of chrysin in cancer: Mechanistic perspectives. Toxicol. Lett. 2015, 233, 214–225. [Google Scholar] [CrossRef]
- Choe, H.; Kim, J.; Hong, S. Structure-based design of flavone-based inhibitors of wild-type and T315I mutant of ABL. Bioorg. Med. Chem. Lett. 2013, 23, 4324–4327. [Google Scholar] [CrossRef]
- Liu, Y.; Song, X.; Ma, J.; He, J.; Zheng, X.; Lei, X.; Jiang, G.; Zhao, Z.; Pan, X. Synthesis of new 7-O-modified chrysin derivatives and their anti-proliferative and apoptotic effects on human gastric carcinoma MGC-803 cells. Chem. Res. Chin. Univ. 2014, 30, 925–930. [Google Scholar] [CrossRef]
- Mayer, S.; Keglevich, P.; Ábrányi-Balogh, P.; Szigetvári, Á.; Dékány, M.; Szántay, C., Jr.; Hazai, L. Synthesis and In Vitro Anticancer Evaluation of Novel Chrysin and 7-Aminochrysin Derivatives. Molecules 2020, 25, 888. [Google Scholar] [CrossRef]














© 2020 by the authors. Licensee MDPI, Basel, Switzerland. This article is an open access article distributed under the terms and conditions of the Creative Commons Attribution (CC BY) license (http://creativecommons.org/licenses/by/4.0/).
Share and Cite
Mayer, S.; Keglevich, A.; Sepsey Für, C.; Bölcskei, H.; Ilkei, V.; Keglevich, P.; Hazai, L. Results in Chemistry of Natural Organic Compounds. Synthesis of New Anticancer Vinca Alkaloids and Flavone Alkaloids. Chemistry 2020, 2, 714-726. https://doi.org/10.3390/chemistry2030046
Mayer S, Keglevich A, Sepsey Für C, Bölcskei H, Ilkei V, Keglevich P, Hazai L. Results in Chemistry of Natural Organic Compounds. Synthesis of New Anticancer Vinca Alkaloids and Flavone Alkaloids. Chemistry. 2020; 2(3):714-726. https://doi.org/10.3390/chemistry2030046
Chicago/Turabian StyleMayer, Szabolcs, András Keglevich, Csilla Sepsey Für, Hedvig Bölcskei, Viktor Ilkei, Péter Keglevich, and László Hazai. 2020. "Results in Chemistry of Natural Organic Compounds. Synthesis of New Anticancer Vinca Alkaloids and Flavone Alkaloids" Chemistry 2, no. 3: 714-726. https://doi.org/10.3390/chemistry2030046
APA StyleMayer, S., Keglevich, A., Sepsey Für, C., Bölcskei, H., Ilkei, V., Keglevich, P., & Hazai, L. (2020). Results in Chemistry of Natural Organic Compounds. Synthesis of New Anticancer Vinca Alkaloids and Flavone Alkaloids. Chemistry, 2(3), 714-726. https://doi.org/10.3390/chemistry2030046
