Abstract
The shape parameters and energy spectra of the decoupled bands in isotopes , 101,103,105,107Pd and 101,103,105,107Cd are analyzed using the particle-plus-rotor model and cranked shell model calculations. The quasiparticle-plus-rotor (PRM) model calculations are performed, considering both soft and rigid triaxial cores, using the constant-moment-of-inertia (CMI) and variable-moment-of-inertia (VMI) approaches. The asymmetry parameter obtained from the PRM model calculations is found to be consistent with the results obtained from the cranked shell model calculations when the core exhibited CMI behavior.
1. Introduction
There is ample experimental evidence that nuclei in the mass region around A∼100 exhibit stable distortions. In this mass region, valence nucleons begin to occupy the neutron and proton orbitals. It has been observed that isotopes with neutron numbers 60 have an E()/E() ratio of the energies of the and excited states of nuclei greater than 3, indicating the characteristics of a well-deformed rotor. Furthermore, the properties of these nuclei show high sensitivity to the number of neutrons and protons, resulting in intriguing structural variations. For example, triaxial deformations have been discussed in Mo and Ru nuclei [1,2,3,4]. The majority of triaxial even–even nuclei are soft, with only a few exhibiting a certain -rigidity [5,6]. The ground-state rotational bands in strongly deformed nuclei follow the level energy as a function of I(I + 1)/2ℑ with I the nuclear spin state angular momentum, where the moment of inertia ℑ is considered constant (the so-called constant-momenta-of-inertia (CMI) model). However, when the level energy of the rotational band does not strictly follow this relation, it can be reasonably approximated by assuming that the nucleus rotates with a moment of inertia that increases with angular momentum. This behavior suggests a “soft” nucleus, which is modeled using a variable-moment-of-inertia (VMI) representation for the core.
The odd-A isotopes of Mo [4], Ru [7,8,9], Pd [10,11,12,13] and Cd [14,15,16,17] exhibit decoupled = 2 bands based on the unique-parity neutron orbital, with energy spacings closely resembling those observed in an even core. It has long been known that the behavior of decoupled bands in odd-A nuclei can be sufficiently well described by the quasiparticle triaxial rotor (PRM) model, which has been extensively employed. The PRM is a mean-field model that combines both the CMI and VMI approaches.
In the present paper, the experimental energies of the decoupled band levels for Ru, Pd and Cd (N = 55, 57, 59, 61) isotopes are successfully reproduced using PRM calculations. The asymmetry parameter is determined through both PRM and cranked shell model calculations.
2. Theoretical Background and Discussion
2.1. Cranked Shell Model Calculations
The cranked shell model calculations were performed using the Ultimate Cranker (UC) code [18] with standard Nilsson parameters. Total-energy–surface (or total routhian surface, TRS [19]) plots for the yrast negative-parity state in and are given in Figure 1. The shape parameters —the quadrupole deformation prameter and the asymmetry parameter —from the current calculations, as well as from other studies, are listed in Table 1 and Table 2. Cranking calculations for Mo isotopes reveal a trend in which lighter isotopes ( 97) exhibit an energy minimum at positive values of . As the isotopes become heavier ( 101), the lowest energy minimum on the potential energy surface shifts to a collective triaxial structure with a negative value of . For isotopes, the lowest potential energy surface corresponds to a collective triaxial structure with a negative value of . For the and isotopes, the energy minimum corresponds to positive values of .
Figure 1.
Total-energy–surface (TRS) plots for the yrast, negative-parity () state in and 105Pd (with the signature quantum number and excited state spin I, as indicated) from the Ultimate Cranker code [18]. The energy minima (surrounded dots) are for the shape parameters as follows (see text for details): = 0.19, = —38° for ; = 0.21, = 38° for ; = 0.20, = −32° for ; = 0.16, = 11.5° for 105Pd, as indicated. The spacing between the adjacent contours is of 200 keV.
Table 1.
The shape parameters ( and ) from the TRS and PRM calculations. For the RMSD calculations, the values for Mo isotopes are taken from Ref. [4], while those for Ru isotopes represent the current paper calculations. The values for core nuclei are taken from Ref. [20]. The absence of values corresponding to PRM calculations reflects the insensitivity of the measured ratio values to . See text for details.
Table 2.
The shape parameters ( and ) from the TRS and PRM calculations and the lowest RMSD values, where the latter correspond to the CMI and VMI approaches by using the and values from TRS, PRM calculations and for core nuclei from Ref. [20]. The TRS calculations for are taken from Refs. [10,21,22] and those for 103,105,107,109Cd are taken from Refs. [14,23,24]. The absence of values for the PRM calculations results from the insensitivity of the measured ratio values to . See text for details.
2.2. Particle-Plus-Rotor Model Calculations
A calculation of the negative-parity sequences, namely the decoupled bands of 99,101Mo based on the yrast state, was performed in Ref. [4] using the PRM computer codes GAMPN and ASYRMO [25]. The PRM is a mean-field model, with detailed formulas available in Refs. [26,27,28,29,30]. The PRM, using empirically derived parameters, was successfully applied to interpret the structure of several deformed nuclei in this region. For the current study, the PRM calculations were performed by considering both soft and rigid triaxial cores, with the formulas of the CMI and VMI approaches. The parameters used in the UC code were standard values. Pairing correlations were taken into account by a standard Bardeen—Cooper—Schrieffer (BCS) approximation, using the values of the pairing strength parameters = 22.0 MeV and = 8.0 MeV. The Fermi surface and paring gap were calculated using the code. Standard empirical values for the surface diffuseness and interaction strength parameters of the and terms were used [31]. The input parameters—A, atomic number Z, deformation parameters (, , ) and GAMMA ()—depend on the isotope. For the present calculations, and were taken from the PRM and cranked shell model calculations (Section 2.1 and Section 2.3), while higher-order deformations (, ) were set to zero. Seven quasiparticle states around the Fermi surface were used in the coupling to the rotor core.
In the CMI approach, the moments of inertia are normalized using effective core energy, which is not directly linked to the actual energy of the core state. Instead, it functions purely as a scaling factor, adjusted to match the excitation energies of the odd nucleus. Since E() is only a scaling parameter, its variation alone cannot provide an accurate energy fit. In the VMI approach, the main fitting parameters are the VMI core parameters, encoding as A00 and STIFF, which correspond to 1/2 and 1/2, respectively, where and represent the standard Harris parameters for even–even core nuclei. The CMI and VMI parameters are adjusted to achieve the best fit and the lowest root-mean-square deviation (RMSD) values between the measurements and theory calculations.
2.3. Calculation of Asymmetry Parameter from PRM Calculations
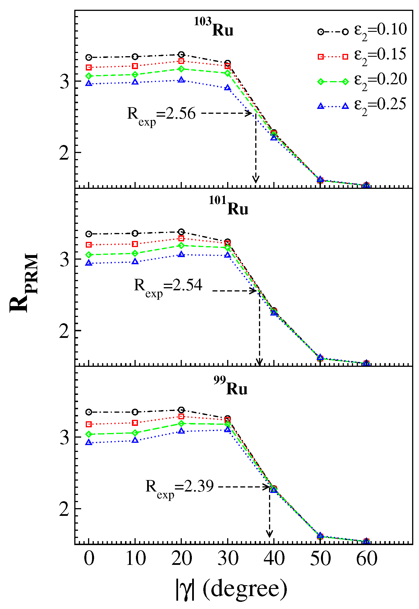
PRM calculations were utilized to calculate the -parameter for 97,99,101Mo, as described in Ref. [4]. It was found that the values obtained from TRS and PRM calculations are similar when the core’s moment of inertia exhibits CMI behavior. This method was extended to calculate the -parameter for the decoupled bands of Ru, Pd and Cd isotopes. As an example, Figure 2 shows the behavior of the ratio
for as a function of ||, corresponding to several values of . It can be observed that the measured value of is insensitive to the value of but is sensitive to the value of . the experimental values of , , are shown for the three isotopes of Ru. The corresponding values are 39° for , 37° for and 36° for . These deformation parameters imply triaxial shapes for the decoupled bands of .
Figure 2.
ratio versus for decoupled bands of for different values as indicated. The dashed arrow associates the measured values of , , with the corresponding values. See text for details.
2.4. Discussion
The experimental energies of the negative-parity states of [7,8,9], [10,11,12,13] and [14,15,16,17] are reasonably well reproduced by the PRM calculations. The theoretical energies of states were calculated for the following: (i) values of the cores [20] and values from the PRM calculations with CMI (see Table 2); (ii) and values from the TRS calculations with CMI and VMI. With respect to the differences between the experimental and theoretical excitation energies, the RMSD values are listed in Table 1 and Table 2. Figure 3, Figure 4 and Figure 5 display the experimental energies of the negative-parity yrast states for , and , along with the results of PRM calculations corresponding to the lowest RMSD values. It can be concluded that the VMI formula provides a better prediction of the level structure than the CMI approach for and , while the CMI formula performs better for . Similar studies of shape changes in 100 even–even nuclei based on the Woods–Saxon model, the TRS technique and cranking calculations were discussed in Ref. [32]. In the present study, the energy of excited states is also calculated.
Figure 3.
A comparison of the experimental data (“Exp.”) [7,8,9] for the energy levels of the decoupled bands and the present PRM calculations for isotopes. See text for details.
Figure 4.
A comparison of the experimental data (“Exp”) [10,11,12,13] for the energy levels of the decoupled bands and the present PRM calculations for isotopes. See text for details.
Figure 5.
A comparison of the experimetal data (“Exp”) [14,15,16,17] for the energy levels of the decoupled bands and the present PRM calculations for isotopes. See text for details.
3. Conclusions
In this paper, we have shown that the PRM calculations successfully reproduce the experimental energies of the decoupled bands in , and . The agreement between theory and experiment is obtained to be quite good for under the CMI formula, and for and under the VMI formula. The PRM calculations indicate that the energy spectrum of the low-lying members of the decoupled band in mass 100 is highly sensitive to the triaxiality (asymmetry) parameter , but relatively less sensitive to the quadrupole deformation parameter . The values from the TRS and PRM calculations are consistent when the core follows the CMI behavior.
Author Contributions
Conceptualization, A.C.; methodology, A.C., V.K. and A.S.; investigation, A.C., V.K. and A.S.; writing—original draft preparation, A.C. and V.K.; data curation and formal analysis, V.K.; writing—review and editing, A.S.; visualization, V.K.; supervision, V.K. and A.S.; project administration, V.K. and A.S. All authors have read and agreed to the published version of the manuscript.
Funding
This work received no external funding.
Data Availability Statement
This manuscript has no associated data or the data will not be deposited.
Conflicts of Interest
The authors declare no conflicts of interest.
References
- Shizuma, K.; Lawin, H.; Sistemich, K. Level structure of 106Mo. Z. Phys. A 1983, 311, 71–78. [Google Scholar] [CrossRef]
- Luo, Y.X.; Rasmussen, J.O.; Stefanescu, I.; Gelberg, A.; Hamilton, J.H.; Ramayya, A.V.; Hwang, J.K.; Zhu, S.J.; Gore, P.M.; Fong, D.; et al. Shape trends and triaxiality in neutron-rich odd-mass Y and Nb isotopes. J. Phys. G 2005, 31, 1303–1327. [Google Scholar] [CrossRef]
- Zhu, S.J.; Luo, Y.X.; Hamilton, J.H.; Ramayya, A.V.; Hwang, J.K.; Gore, P.M.; Jones, E.F.; Li, K.; Ding, H.B.; Che, X.L.; et al. Triaxiality, chiral bands and gamma vibrations in A = 99–114 nuclei. Prog. Part. Nucl. Phys. 2007, 59, 329–336. [Google Scholar] [CrossRef]
- Kumar, V.; Chapman, R.; Ollier, J.; Orlandi, R.; Smith, J.F.; Spohr, K.-M.; Torres, D.A.; Wady, P.; Tandel, S.K.; Shukla, A.; et al. Spectroscopic study of 97Mo, 99Mo, and 101Mo. Phys. Rev. C 2024, 110, 044308. [Google Scholar] [CrossRef]
- Caprio, M.A. Exact diagonalization of the Bohr Hamiltonian for rotational nuclei: Dynamical γ softness and triaxiality. Phys. Rev. C 2011, 83, 064309. [Google Scholar] [CrossRef]
- Li, W.; Frauendorf, S.; Caprio, M.A. Triaxiality explored by an odd quasi-particle. Eur. Phys. J. A 2022, 58, 218. [Google Scholar] [CrossRef]
- Gizon, J.; Jerrestam, D.; Gizon, A.; Jozsa, M.; Bark, R.; Fogelberg, B.; Ideguchi, E.; Klamra, W.; Lindblad, T.; Mitarai, S.; et al. Alignments and band termination in 99,100Ru. Z. Phys. A 1993, 345, 335–336. [Google Scholar] [CrossRef]
- Yamamoto, A.D.; Regan, P.H.; Beausang, C.W.; Xu, F.; Caprio, M.A.; Casten, R.F.; Gürdal, G.; Hecht, A.A.; Hutter, C.; Krücken, R.; et al. High-j proton and neutron alignments in γ-soft 101Ru. Phys. Rev. C 2002, 66, 024302. [Google Scholar] [CrossRef]
- Haenni, D.R.; Dejbakhsh, H.; Schmitt, R.P.; Mouchaty, G. Evidence for h11/2 neutron alignment in band crossings for the transitional mass 100 nuclei. Phys. Rev. C 1986, 33, 1543–1546. [Google Scholar] [CrossRef]
- Zhou, H.B.; Zhou, X.H.; Zhang, Y.H.; Zheng, Y.; Liu, M.; Zhang, N.T.; Chen, L.; Wang, S.T.; Li, G.S.; Wang, H.X.; et al. High-j proton alignments in 101Pd. Eur. Phys. J. A 2011, 47, 107. [Google Scholar] [CrossRef]
- Nyakó, B.M.; Gizon, J.; Gizon, A.; Timár, J.; Zolnai, L.; Boston, A.J.; Joss, D.T.; Paul, E.S.; Semple, A.T.; O’Brien, N.J.; et al. Band terminations in 103Pd. Phys. Rev. C 1999, 60, 024307. [Google Scholar] [CrossRef]
- Macchiavelli, A.O.; Burde, J.; Diamond, R.M.; Beausang, C.W.; Deleplanque, M.A.; McDonald, R.J.; Stephens, F.S.; Draper, J.E. Snperdeformation in 104,105Pd. Phys. Rev. C 1988, 38, 1088–1091. [Google Scholar] [CrossRef]
- Pohl, K.R.; Regan, P.H.; Bush, J.E.; Raines, P.E.; Balamuth, D.P.; Ward, D.; Galindo-Uribarri, A.; Janzen, V.P.; Mullins, S.M.; Pilotte, S. High-spin states in 107Pd, 108Pd, and 109Ag. Phys. Rev. C 1996, 53, 2682–2700. [Google Scholar] [CrossRef]
- Chakraborty, A.; Krishichayan; Mukhopadhyay, S.; Ray, S.; Chintalapudi, S.N.; Ghugre, S.S.; Pattabiraman, N.S.; Sinha, A.K.; Sarkar, S.; Garg, U.; et al. High-spin structure and band termination in 103Cd. Phys. Rev. C 2007, 76, 044327. [Google Scholar] [CrossRef]
- Choudhury, D.; Jain, A.K.; Patial, M.; Gupta, N.; Arumugam, P.; Dhal, A.; Sinha, R.K.; Chaturvedi, L.; Joshi, P.K.; Trivedi, T.; et al. Evidence of antimagnetic rotation in odd-A 105Cd. Phys. Rev. C 2010, 82, 061308. [Google Scholar] [CrossRef]
- Ohya, S.; Shida, Y.; Hashimoto, O.; Yoshikawa, N.; Ishii, M. High-spin states in 107,109,111Cd following (α, 3nγ) reactions. Nucl. Phys. A 1979, 325, 408–410. [Google Scholar] [CrossRef]
- Chiara, C.J.; Asztalos, S.J.; Busse, B.; Clark, R.M.; Cromaz, M.; Deleplanque, M.A.; Diamond, R.M.; Fallon, P.; Fossan, D.B.; Jenkins, D.G.; et al. Shears mechanism in 109Cd. Phys. Rev. C 2000, 61, 034318. [Google Scholar] [CrossRef]
- Bengtsson, T. The high-spin structure of 158Er: A theoretical study. Nucl. Phys. A 1990, 512, 124–128. [Google Scholar] [CrossRef]
- Nazarewicz, W.; Wyss, R.; Johnson, A. Structure of superdeformed bands in the A ≈ 150 mass region. Nucl. Phys. A 1989, 503, 285–330. [Google Scholar] [CrossRef]
- Nudat 3.0; National Nuclear Data Center, Brookhaven National Laboratory: Upton, NY, USA, 2024. Available online: https://www.nndc.bnl.gov/nudat3/ (accessed on 13 April 2025).
- Sharma, A.; Raut, R.; Muralithar, S.; Singh, R.P.; Bhattacharjee, S.S.; Das, S.; Samanta, S.; Ghugre, S.S.; Palit, R.; Jehangir, S.; et al. Evidence of antimagnetic rotational motion in 103Pd. Phys. Rev. C 2021, 103, 024324. [Google Scholar] [CrossRef]
- Juutinen, S.; Šimeček, P.; Fahlander, C.; Julin, R.; Kumpulainen, J.; Lampinen, A.; Lönnroth, T.; Maj, A.; Mitarai, S.; Müller, D.; et al. High-spin states in 109,111Cd and 107Pd. Nucl. Phys. A 1994, 577, 727–752. [Google Scholar] [CrossRef]
- Raju, M.K.; Negi, D.; Muralithar, S.; Singh, R.P.; Sheikh, J.A.; Bhat, G.H.; Kumar, R.; Bala, I.; Trivedi, T.; Dhal, A.; et al. High spin spectroscopy and shape evolution in 105Cd. Phys. Rev. C 2015, 91, 024319. [Google Scholar] [CrossRef]
- Regan, P.H.; Middleton, J.S.; Pohl, K.R.; Bush, J.E.; Raines, P.E.; Balamuth, D.P.; Mullins, S.M.; Ward, D.; Galindo-Uribarri, A.; Janzen, V.P.; et al. Rotational bands and neutron alignments in neutron rich odd-A cadmium isotopes. Phys. Rev. C 1994, 49, 1885–1895. [Google Scholar] [CrossRef]
- Semmes, P.B.; Ragnarsson, I.; (Department of Matematical Physics, Lund Institute of Technology, Lund, Sweden). The Particle + Triaxial Rotor Model: A User’s Guide, Distributed at the Hands-on Nuclear Physics Workshop, Oak Ridge, TN, USA, 5–16 August 1991. unpublished.
- Larsson, S.E.; Leander, G.; Ragnarsson, I. Nuclear core-quasiparticle coupling. Nucl. Phys. A 1978, 307, 189–223. [Google Scholar] [CrossRef]
- Mariscotti, M.A.J.; Scharff-Goldhaber, G.; Buck, B. Phenomenological analysis of ground-state bands in even-even nuclei. Phys. Rev. 1969, 178, 1864–1887. [Google Scholar] [CrossRef]
- Ragnarsson, I.; Semmes, P.B. Description of nuclear moments and nuclear spectra in the particle–rotor model. Hyperfine Interact. 1988, 43, 423–440. [Google Scholar] [CrossRef]
- Nilsson, S.G.; Ragnarsson, I. Shapes and Shells in Nuclear Structure; Cambridge University Press: Cambridge, UK, 1995. [Google Scholar] [CrossRef]
- Bohr, A.; Mottelson, B.R. Nuclear Structure. Volume II: Nuclear Deformations; World Scientific Publishing Co. Pte. Ltd.: Singapore, 1989; Available online: http://nuclphys.sinp.msu.ru/books/b/Bohr_Mottelson_II.pdf (accessed on 13 April 2025).
- Bengtsson, T.; Ragnarsson, I. Rotational bands and particle–hole excitations at very high spin. Nucl. Phys. A 1985, 436, 14–82. [Google Scholar] [CrossRef]
- Skalski, J.; Mizutori, S.; Nazarewicz, W. Equilibrium shapes and high-spin properties of the neutron-rich A ≈ 100 nuclei. Nucl. Phys. A 1997, 617, 282–315. [Google Scholar] [CrossRef]
Disclaimer/Publisher’s Note: The statements, opinions and data contained in all publications are solely those of the individual author(s) and contributor(s) and not of MDPI and/or the editor(s). MDPI and/or the editor(s) disclaim responsibility for any injury to people or property resulting from any ideas, methods, instructions or products referred to in the content. |
© 2025 by the authors. Licensee MDPI, Basel, Switzerland. This article is an open access article distributed under the terms and conditions of the Creative Commons Attribution (CC BY) license (https://creativecommons.org/licenses/by/4.0/).




