Hierarchically Coupled Ornstein–Uhlenbeck Processes for Transient Anomalous Diffusion
Abstract
1. Introduction
2. Hierarchically Coupled OU Equations
3. Transient Anomalous Diffusion
3.1. Case A: Ballistic to Diffusive Crossover
3.2. Case B: Ballistic to Anomalous to Fickian Diffusion
3.3. Case C: Fickian to Anomalous Back to Fickian Diffusion
3.4. Case D: Multilayered Transient Anomalous Diffusion
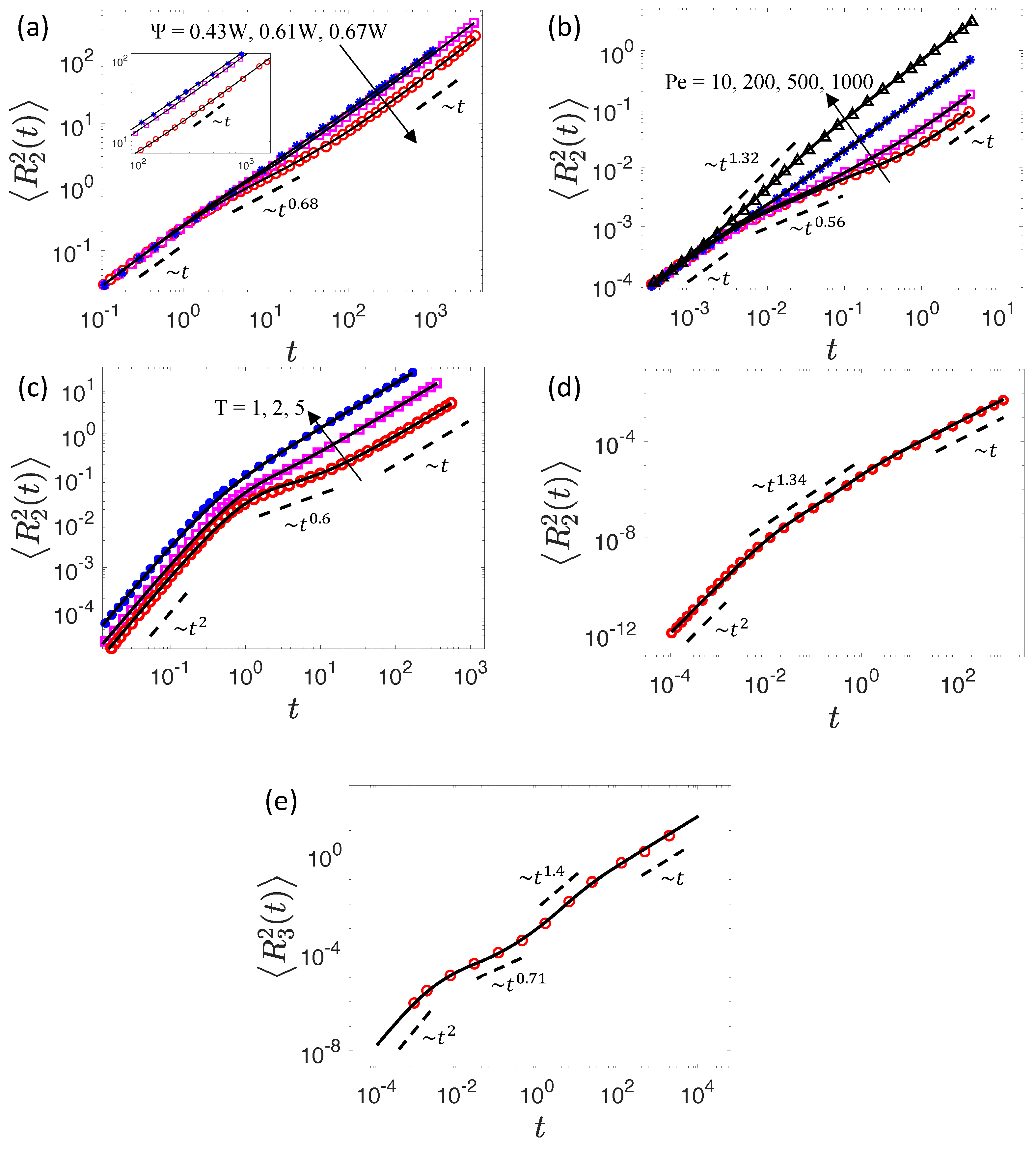
4. Comparison with Experimental and MD Results
4.1. Transient Subdiffusion of Colloidal Suspensions in Optical Speckle Fields
4.2. Transient Anomalous Diffusion in Bedload Tracers
4.3. Transient Subdiffusion in Supercooled Liquids
4.4. Transient Superdiffusion in Semiconductor Alloys
4.5. Multilayer Transient Anomalous Diffusion in Highly Packed Soft Colloids
5. Conclusions
Author Contributions
Funding
Data Availability Statement
Conflicts of Interest
Appendix A
Appendix A.1. Fitting Parameters
| p | ||||
|---|---|---|---|---|
| Pe | p | |||
|---|---|---|---|---|
| 10 | ||||
| 200 | ||||
| 500 | ||||
| 1000 | - |
| T | p | |||
|---|---|---|---|---|
| 1 | - | |||
| 2 | - | |||
| 5 |
| p | |||
|---|---|---|---|
| p | |||
|---|---|---|---|
| - |
Appendix A.2. Equilibrium Covariance Matrix
References
- Sokolov, I.M. Models of anomalous diffusion in crowded environments. Soft Matter 2012, 8, 9043–9052. [Google Scholar] [CrossRef]
- Metzler, R.; Jeon, J.H.; Cherstvy, A.G.; Barkai, E. Anomalous diffusion models and their properties: Non-stationarity, non-ergodicity, and ageing at the centenary of single particle tracking. Phys. Chem. Chem. Phys. 2014, 16, 24128–24164. [Google Scholar] [CrossRef] [PubMed]
- Romanczuk, P.; Bär, M.; Ebeling, W.; Lindner, B.; Schimansky-Geier, L. Active Brownian particles: From individual to collective stochastic dynamics: From individual to collective stochastic dynamics. Eur. Phys. J. Spec. Top. 2012, 202, 1–162. [Google Scholar] [CrossRef]
- Bechinger, C.; Di Leonardo, R.; Löwen, H.; Reichhardt, C.; Volpe, G.; Volpe, G. Active particles in complex and crowded environments. Rev. Mod. Phys. 2016, 88, 045006. [Google Scholar] [CrossRef]
- Bouchaud, J.P.; Georges, A. Anomalous diffusion in disordered media: Statistical mechanisms, models and physical applications. Phys. Rep. 1990, 195, 127–293. [Google Scholar] [CrossRef]
- Oliveira, F.A.; Ferreira, R.M.S.; Lapas, L.C.; Vainstein, M.H. Anomalous diffusion: A basic mechanism for the evolution of inhomogeneous systems. Front. Phys. 2019, 7, 18. [Google Scholar] [CrossRef]
- Wang, B.; Anthony, S.M.; Sung, C.B.; Granick, S. Anomalous yet Brownian. Proc. Natl. Acad. Sci. USA 2009, 106, 15160–15164. [Google Scholar] [CrossRef]
- Wang, B.; Kuo, J.; Bae, S.C.; Granick, S. When Brownian diffusion is not Gaussian. Nat. Mater. 2012, 11, 481–485. [Google Scholar] [CrossRef] [PubMed]
- Hwang, J.; Kim, J.; Sung, B.J. Dynamics of highly polydisperse colloidal suspensions as a model system for bacterial cytoplasm. Phys. Rev. E 2016, 94, 022614. [Google Scholar] [CrossRef]
- Di Rienzo, C.; Piazza, V.; Gratton, E.; Beltram, F.; Cardarelli, F. Probing short-range protein Brownian motion in the cytoplasm of living cells. Nat. Commun. 2014, 5, 5891. [Google Scholar] [CrossRef] [PubMed]
- Grady, M.E.; Parrish, E.; Caporizzo, M.A.; Seeger, S.C.; Composto, R.J.; Eckmann, D.M. Intracellular nanoparticle dynamics affected by cytoskeletal integrity. Soft Matter 2017, 13, 1873–1880. [Google Scholar] [CrossRef] [PubMed]
- Guan, J.; Wang, B.; Granick, S. Even hard-sphere colloidal suspensions display Fickian yet non-Gaussian diffusion. ACS Nano 2014, 8, 3331–3336. [Google Scholar] [CrossRef] [PubMed]
- Eaves, J.D.; Reichman, D.R. Spatial dimension and the dynamics of supercooled liquids. Proc. Natl. Acad. Sci. USA 2009, 106, 15171–15175. [Google Scholar] [CrossRef] [PubMed]
- Sengupta, S.; Karmakar, S. Distribution of diffusion constants and Stokes-Einstein violation in supercooled liquids. J. Chem. Phys. 2014, 140, 224505. [Google Scholar] [CrossRef] [PubMed]
- Sciortino, F.; Gallo, P.; Tartaglia, P.; Chen, S.-H. Supercooled water and the kinetic glass transition. Phys. Rev. E 1996, 54, 6331–6343. [Google Scholar] [CrossRef] [PubMed]
- Overduin, S.D.; Patey, G.N. An analysis of fluctuations in supercooled TIP4P/2005 water. J. Chem. Phys. 2013, 138, 184502. [Google Scholar] [CrossRef] [PubMed]
- Song, S.; Park, S.J.; Kim, M.; Kim, J.S.; Sung, B.J.; Lee, S.; Kim, J.-H.; Sung, J. Transport dynamics of complex fluids. Proc. Natl. Acad. Sci. USA 2019, 116, 12733–12742. [Google Scholar] [CrossRef] [PubMed]
- Hu, Z.; Margulis, C.J. Heterogeneity in a room-temperature ionic liquid: Persistent local environments and the red-edge effect. Proc. Natl. Acad. Sci. USA 2006, 103, 831–836. [Google Scholar] [CrossRef] [PubMed]
- Berthier, L.; Biroli, G. Theoretical perspective on the glass transition and amorphous materials. Rev. Mod. Phys. 2011, 83, 587–645. [Google Scholar] [CrossRef]
- Berthier, L.; Kob, W. The Monte Carlo dynamics of a binary Lennard-Jones glass-forming mixture. J. Phys. Condens. Matter 2007, 19, 205130. [Google Scholar] [CrossRef]
- Chaudhuri, P.; Berthier, L.; Kob, W. Universal nature of particle displacements close to glass and jamming transitions. Phys. Rev. Lett. 2007, 99, 060604. [Google Scholar] [CrossRef]
- Charbonneau, P.; Jin, Y.; Parisi, G.; Zamponi, F. Hopping and the Stokes-Einstein relation breakdown in simple glass formers. Proc. Natl. Acad. Sci. USA 2014, 111, 15025–15030. [Google Scholar] [CrossRef]
- Orpe, A.V.; Kudrolli, A. Velocity correlations in dense granular flows observed with internal imaging. Phys. Rev. Lett. 2007, 98, 238001. [Google Scholar] [CrossRef] [PubMed]
- Weeks, E.R.; Crocker, J.C.; Levitt, A.C.; Schofield, A.; Weitz, D.A. Three-dimensional direct imaging of structural relaxation near the colloidal glass transition. Science 2000, 287, 627–631. [Google Scholar] [CrossRef] [PubMed]
- Rusciano, F.; Pastore, R.; Greco, F. Fickian non-Gaussian diffusion in glass-forming liquids. Phys. Rev. Lett. 2022, 128, 168001. [Google Scholar] [CrossRef] [PubMed]
- Kegel, W.K. Direct observation of dynamical heterogeneities in colloidal hard-sphere suspensions. Science 2000, 287, 290–293. [Google Scholar] [CrossRef] [PubMed]
- Rusciano, F.; Pastore, R.; Greco, F. Universal evolution of Fickian non-Gaussian diffusion in two- and three-dimensional glass-forming liquids. Int. J. Mol. Sci. 2023, 24, 7871. [Google Scholar] [CrossRef] [PubMed]
- Gnan, N.; Zaccarelli, E. The microscopic role of deformation in the dynamics of soft colloids. Nat. Phys. 2019, 15, 683–688. [Google Scholar] [CrossRef]
- Li, H.; Zheng, K.; Yang, J.; Zhao, J. Anomalous diffusion inside soft colloidal suspensions investigated by variable length scale fluorescence correlation spectroscopy. ACS Omega 2020, 5, 11123–11130. [Google Scholar] [CrossRef]
- Pastore, R.; Ciarlo, A.; Pesce, G.; Greco, F.; Sasso, A. Rapid Fickian yet non-Gaussian diffusion after subdiffusion. Phy. Rev. Lett. 2021, 126, 158003. [Google Scholar] [CrossRef] [PubMed]
- Pastore, R.; Ciarlo, A.; Pesce, G.; Sasso, A.; Greco, F. A model-system of Fickian yet non-Gaussian diffusion: Light patterns in place of complex matter. Soft Matter 2022, 18, 351–364. [Google Scholar] [CrossRef] [PubMed]
- Berg, H.C.; Brown, D.A. Chemotaxis in Escherichia coli analysed by three-dimensional tracking. Nature 1972, 239, 500–504. [Google Scholar] [CrossRef] [PubMed]
- Sánchez, S.; Soler, L.; Katuri, J. Chemically powered micro- and nanomotors. Angew. Chem. Int. Ed. 2015, 54, 1414–1444. [Google Scholar] [CrossRef] [PubMed]
- Viswanathan, G.M.; Raposo, E.P.; da Luz, M.G.E. Lévy flights and superdiffusion in the context of biological encounters and random searches. Phys. Life Rev. 2008, 5, 133–150. [Google Scholar] [CrossRef]
- Montroll, E.W.; Weiss, G.H. Random walks on lattices. II. J. Math. Phys. 1965, 6, 167–181. [Google Scholar] [CrossRef]
- Chaudhuri, P.; Gao, Y.; Berthier, L.; Kilfoil, M.; Kob, W. A random walk description of the heterogeneous glassy dynamics of attracting colloids. J. Phys. Condens. Matter 2008, 20, 244126. [Google Scholar] [CrossRef]
- Hidalgo-Soria, M.; Barkai, E.; Burov, S. Cusp of non-Gaussian density of particles for a diffusing diffusivity model. Entropy 2021, 23, 231. [Google Scholar] [CrossRef] [PubMed]
- Rubner, O.; Heuer, A. From elementary steps to structural relaxation: A continuous-time random-walk analysis of a supercooled liquid. Phys. Rev. E 2008, 78, 011504. [Google Scholar] [CrossRef] [PubMed]
- Helfferich, J.; Ziebert, F.; Frey, S.; Meyer, H.; Farago, J.; Blumen, A.; Baschnagel, J. Continuous-time random-walk approach to supercooled liquids. II. Mean-square displacements in polymer melts. Phys. Rev. E 2014, 89, 042604. [Google Scholar] [CrossRef] [PubMed]
- Jeon, J.H.; Barkai, E.; Metzler, R. Noisy continuous time random walks. J. Chem. Phys. 2013, 139, 121916. [Google Scholar] [CrossRef] [PubMed]
- Song, M.S.; Moon, H.C.; Jeon, J.-H.; Park, H.Y. Neuronal messenger ribonucleoprotein transport follows an aging Lévy walk. Nat. Commun. 2018, 9, 344. [Google Scholar] [CrossRef] [PubMed]
- Barkai, E.; Metzler, R.; Klafter, J. From continuous time random walks to the fractional Fokker–Planck equation. Phys. Rev. E 2000, 61, 132–138. [Google Scholar] [CrossRef] [PubMed]
- Barkai, E. CTRW pathways to the fractional diffusion equation. Chem. Phys. 2002, 284, 13–27. [Google Scholar] [CrossRef]
- Mandelbrot, B.B.; Ness, J.W.V. Fractional Brownian motions, fractional noises and applications. SIAM Rev. 1968, 10, 422–437. [Google Scholar] [CrossRef]
- Wang, W.; Cherstvy, A.G.; Chechkin, A.V.; Thapa, S.; Seno, F.; Liu, X.; Metzler, R. Fractional Brownian motion with random diffusivity: Emerging residual nonergodicity below the correlation time. J. Phys. A Math. Theor. 2020, 53, 474001. [Google Scholar] [CrossRef]
- Bodrova, A.S.; Chechkin, A.V.; Cherstvy, A.G.; Safdari, H.; Sokolov, I.M.; Metzler, R. Underdamped scaled Brownian motion: (non-)existence of the overdamped limit in anomalous diffusion. Sci. Rep. 2016, 6, 30520. [Google Scholar] [CrossRef] [PubMed]
- Safdari, H.; Cherstvy, A.G.; Chechkin, A.V.; Bodrova, A.; Metzler, R. Aging underdamped scaled Brownian motion: Ensemble- and time-averaged particle displacements, nonergodicity, and the failure of the overdamping approximation. Phys. Rev. E 2017, 95, 012120. [Google Scholar] [CrossRef] [PubMed]
- Joo, S.; Durang, X.; Lee, O.C.; Jeon, J.H. Anomalous diffusion of active Brownian particles cross-linked to a networked polymer: Langevin dynamics simulation and theory. Soft Matter 2020, 16, 9188–9201. [Google Scholar] [CrossRef]
- Zwanzig, R. Memory effects in irreversible thermodynamics. Phys. Rev. 1961, 124, 983. [Google Scholar] [CrossRef]
- Mori, H. Transport, collective motion, and Brownian motion. Prog. Theor. Phys. 1965, 33, 423–455. [Google Scholar] [CrossRef]
- McKinley, S.A.; Nguyen, H.D. Anomalous diffusion and the generalized Langevin equation. SIAM J. Math. Anal. 2018, 50, 5119–5160. [Google Scholar] [CrossRef]
- Um, J.; Song, T.; Jeon, J.-H. Langevin dynamics driven by a telegraphic active noise. Front. Phys. 2019, 7, 143. [Google Scholar] [CrossRef]
- Malakar, K.; Jemseena, V.; Kundu, A.; Kumar, K.V.; Sabhapandit, S.; Majumdar, S.N.; Redner, S.; Dhar, A. Steady state, relaxation and first-passage properties of a run-and-tumble particle in one-dimension. J. Stat. Mech. Theory Exp. 2018, 2018, 043215. [Google Scholar] [CrossRef]
- ten Hagen, B.; van Teeffelen, S.; Löwen, H. Brownian motion of a self-propelled particle. J. Phys. Condens. Matter 2011, 23, 194119. [Google Scholar] [CrossRef] [PubMed]
- Peruani, F.; Morelli, L.G. Self-propelled particles with fluctuating speed and direction of motion in two dimensions. Phys. Rev. Lett. 2007, 99, 010602. [Google Scholar] [CrossRef] [PubMed]
- Fortuna, I.; Perrone, G.C.; Krug, M.S.; Susin, E.; Belmonte, J.M.; Thomas, G.L.; Glazier, J.A.; de Almeida, R.M. CompuCell3D simulations reproduce mesenchymal cell migration on flat substrates. Biophys. J. 2020, 118, 2801–2815. [Google Scholar] [CrossRef] [PubMed]
- Voulgarakis, N.K. Multilayered noise model for transport in complex environments. Phys. Rev. E 2023, 108, 064105. [Google Scholar] [CrossRef] [PubMed]
- Toman, K.; Voulgarakis, N.K. Stochastic pursuit-evasion curves for foraging dynamics. Phys. A Stat. Mech. Appl. 2022, 597, 127324. [Google Scholar] [CrossRef]
- Kim, S.; Pochitaloff, M.; Stooke-Vaughan, G.A.; Campàs, O. Embryonic tissues as active foams. Nat. Phys. 2021, 17, 859–866. [Google Scholar] [CrossRef] [PubMed]
- Wu, Z.; Singh, A.; Fu, X.; Wang, G. Transient anomalous diffusion and advective slowdown of bedload tracers by particle burial and exhumation. Water Resour. Res. 2019, 55, 7964–7982. [Google Scholar] [CrossRef]
- Kob, W.; Andersen, H.C. Testing mode-coupling theory for a supercooled binary Lennard-Jones mixture. II. Intermediate scattering function and dynamic susceptibility. Phys. Rev. E 1995, 52, 4134. [Google Scholar] [CrossRef] [PubMed]
- Vermeersch, B.; Carrete, J.; Mingo, N.; Shakouri, A. Superdiffusive heat conduction in semiconductor alloys. I. Theoretical foundations. Phys. Rev. B 2015, 91, 085202. [Google Scholar] [CrossRef]
- Caprini, L.; Marini Bettolo Marconi, U. Active particles under confinement and effective force generation among surfaces. Soft Matter 2018, 14, 9044–9054. [Google Scholar] [CrossRef] [PubMed]
- Martin, D.; de Pirey, T.A. AOUP in the presence of Brownian noise: A perturbative approach. J. Stat. Mech. Theory Exp. 2021, 2021, 043205. [Google Scholar] [CrossRef]
- Caprini, L.; Ldov, A.; Gupta, R.K.; Ellenberg, H.; Wittmann, R.; Löwen, H.; Scholz, C. Emergent memory from tapping collisions in active granular matter. Commun. Phys. 2024, 7, 52. [Google Scholar] [CrossRef]
- Sprenger, A.R.; Caprini, L.; Löwen, H.; Wittmann, R. Dynamics of active particles with translational and rotational inertia. J. Phys. Condens. Matter 2023, 35, 305101. [Google Scholar] [CrossRef] [PubMed]
- Pastore, R.; Raos, G. Glassy dynamics of a polymer monolayer on a heterogeneous disordered substrate. Soft Matter 2015, 11, 8083–8091. [Google Scholar] [CrossRef]
- Rohatgi, A. Webplotdigitizer. Version 4.7; Automeris LLC: Dublin, CA, USA, 2024; Available online: https://automeris.io/WebPlotDigitizer.html (accessed on 7 March 2024).
- Debenedetti, P.G.; Stillinger, F.H. Supercooled liquids and the glass transition. Nature 2001, 410, 259–267. [Google Scholar] [CrossRef] [PubMed]
- Pastore, R.; Pesce, G.; Sasso, A.; Ciamarra, M.P. Many facets of intermittent dynamics in colloidal and molecular glasses. Colloids Surf. A Physicochem. Eng. Asp. 2017, 532, 87–96. [Google Scholar] [CrossRef]


Disclaimer/Publisher’s Note: The statements, opinions and data contained in all publications are solely those of the individual author(s) and contributor(s) and not of MDPI and/or the editor(s). MDPI and/or the editor(s) disclaim responsibility for any injury to people or property resulting from any ideas, methods, instructions or products referred to in the content. |
© 2024 by the authors. Licensee MDPI, Basel, Switzerland. This article is an open access article distributed under the terms and conditions of the Creative Commons Attribution (CC BY) license (https://creativecommons.org/licenses/by/4.0/).
Share and Cite
Wang, J.; Voulgarakis, N.K. Hierarchically Coupled Ornstein–Uhlenbeck Processes for Transient Anomalous Diffusion. Physics 2024, 6, 645-658. https://doi.org/10.3390/physics6020042
Wang J, Voulgarakis NK. Hierarchically Coupled Ornstein–Uhlenbeck Processes for Transient Anomalous Diffusion. Physics. 2024; 6(2):645-658. https://doi.org/10.3390/physics6020042
Chicago/Turabian StyleWang, Jingyang, and Nikolaos K. Voulgarakis. 2024. "Hierarchically Coupled Ornstein–Uhlenbeck Processes for Transient Anomalous Diffusion" Physics 6, no. 2: 645-658. https://doi.org/10.3390/physics6020042
APA StyleWang, J., & Voulgarakis, N. K. (2024). Hierarchically Coupled Ornstein–Uhlenbeck Processes for Transient Anomalous Diffusion. Physics, 6(2), 645-658. https://doi.org/10.3390/physics6020042

