Social Depolarization: Blume–Capel Model
Abstract
1. Introduction
2. Method: A Dynamic Mean-Field Model
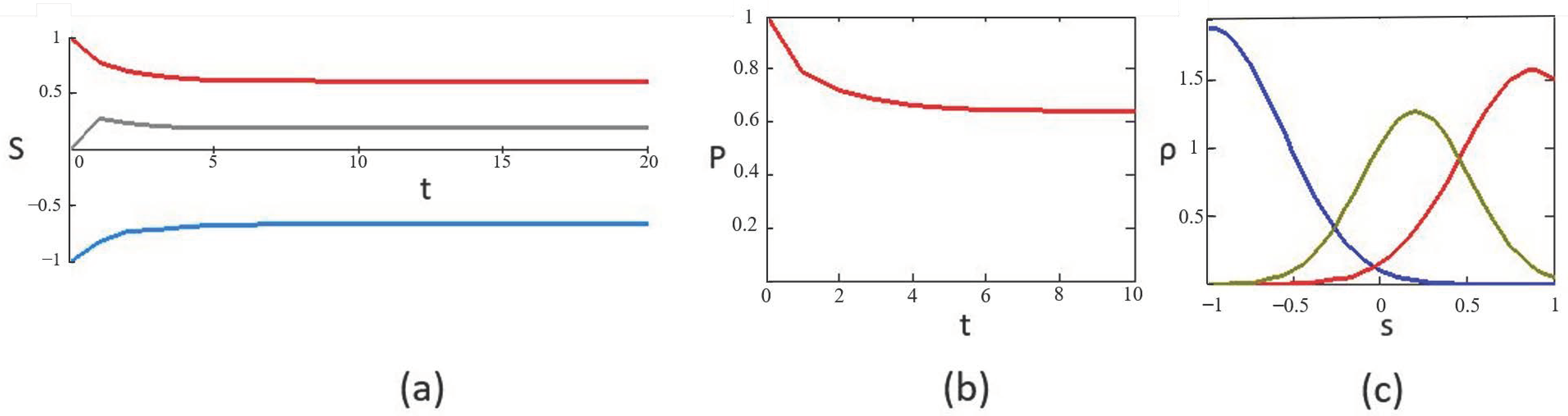
3. Numerical Results and Discussion
4. Concluding Remarks
Author Contributions
Funding
Data Availability Statement
Conflicts of Interest
References
- Baldassarri, D.; Gelman, A. Partisans without constraint: Political polarization and trends in American public opinion. Am. J. Sociol. 2008, 114, 408–446. [Google Scholar] [CrossRef]
- Bramson, A.; Grim, P.; Singer, D.J.; Berger, W.J.; Sack, G.; Fisher, S.; Holman, B. Understanding polarization: Meanings, measures, and model evaluation. Philos. Sci. 2017, 84, 115–159. [Google Scholar] [CrossRef]
- Burgess, G.; Burgess, H.; Kaufman, S. Applying conflict resolution insights to the hyper-polarized, society-wide conflicts threatening liberal democracies. Confl. Resolut. Quart. 2022, 39, 355–369. [Google Scholar] [CrossRef]
- Burgess, G.; Burgess, H. Challenging “Bad-Faith” actors who seek to amplify and exploit our conflicts. In Beyond Intractability/Moving Beyong Intractability. Conflict Frontiers Seminar; March 2021; Available online: https://www.beyondintractability.org/frontiers/bad-faith-actors (accessed on 10 December 2023).
- McCoy, J.; Press, B.; Somer, M.; Tuncel, O. Reducing pernicious polarization: A comparative historical analysis of depolarization. In Carnegie Endowment for International Peace (CEP). Publications; Coherent Digital, LLC: Alexandria, VA, USA, 5 May 2022; Available online: https://policycommons.net/artifacts/2392500/reducing-pernicious-polarization/3413931/ (accessed on 10 December 2023).
- McCoy, J.; Somer, M. (Eds.) Special Issue: Polarization and Democracy: A Janus-faced Relationship with Pernicious Consequences. Am. Behav. Sci. 2018, 62, 3–145. Available online: https://journals.sagepub.com/toc/absb/62/1 (accessed on 10 December 2023).
- McCoy, J.; Rahman, T.; Somer, M. Polarization and the global crisis of democracy: Common patterns, dynamics, and pernicious consequences for democratic polities. Am. Behav. Sci. 2018, 62, 16–42. [Google Scholar] [CrossRef]
- Somer, M.; McCoy, J. Déjà vu? Polarization and endangered democracies in the 21st century. Am. Behav. Sci. 2018, 62, 3–15. [Google Scholar] [CrossRef]
- Böttcher, L.; Gersbach, H. The great divide: Drivers of polarization in the US public. EPJ Data Sci. 2020, 9, 32. [Google Scholar] [CrossRef] [PubMed]
- Schaeffer, K. Far more Americans see ‘very strong’ partisan conflicts now than in the last two presidential election years. Pew Research Center, 4 March 2020. Available online: https://pewrsr.ch/2uRKXSs (accessed on 10 December 2023).
- Kaufman, M.; Kaufman, S.; Diep, H.T. Statistical mechanics of political polarization. Entropy 2022, 24, 1262. [Google Scholar] [CrossRef] [PubMed]
- Manning, J.E. Membership of the 118th Congress: A Profile; CRS Report R47470; U.S. Congressional Research Service: Washington, DC, USA, 2023. Available online: https://crsreports.congress.gov/product/pdf/R/R47470 (accessed on 10 December 2023).
- Williamson, E. Hundreds of Biden nominees stuck in Senate limbo amid G.O.P. blockade. The New York Times, 8 January 2022. Available online: https://www.nytimes.com/2022/01/08/us/politics/biden-nominees-senate-confirmation.html (accessed on 10 December 2023).
- Walter, J.; Helmore, E. Joe Manching hails expansive bill he finally agrees to as “great for America”. The Guardian, 31 July 2022. Available online: https://www.theguardian.com/us-news/2022/jul/31/joe-manchin-hails-deal-inflation-reduction-act (accessed on 10 December 2023).
- Newport, F. Update: Partisan gaps expand most on government power, climate. Gallup, 7 August 2023. Available online: https://news.gallup.com/poll/509129/update-partisan-gaps-expand-government-power-climate.aspx?version=print&thank-you-subscription-form=1 (accessed on 10 December 2023).
- Doherty, C.; Kiley, J.; Johnson, B. The partisan divide on political values grows even wider. Pew Research Center, 5 October 2017. Available online: https://www.pewresearch.org/politics/2017/10/05/the-partisan-divide-on-political-values-grows-evenwider/ (accessed on 10 December 2023).
- Fukuyama, F. Paths to depolarization. Persuasion, 3 August 2022. Available online: https://www.persuasion.community/p/fukuyama-paths-to-depolarization (accessed on 10 December 2023).
- Klein, E.; Robison, J. Like, post, and distrust? How social media use affects trust in government. Political Commun. 2020, 37, 46–64. [Google Scholar] [CrossRef]
- Rekker, R. The nature and origins of political polarization over science. Public Underst. Sci. 2021, 30, 352–368. [Google Scholar] [CrossRef]
- Kubin, E.; von Sikorski, C. The role of (social) media in political polarization: A systematic review. Ann. Int. Commun. Assoc. 2021, 45, 188–206. [Google Scholar] [CrossRef]
- Maes, M.; Flache, A. Differentiation without distancing. Explaining bi-polarization of opinions without negative influence. PLoS ONE 2013, 8, e74516. [Google Scholar] [CrossRef] [PubMed]
- Dandekar, P.; Goel, A.; Lee, D.T. Biased assimilation, homophily, and the dynamics of polarization. Proc. Natl. Acad. Sci. USA 2013, 110, 5791–5796. [Google Scholar] [CrossRef] [PubMed]
- Doise, W. Intergroup relations and polarization of individual and collective judgments. J. Personal. Soc. Psychol. 1969, 12, 136–143. [Google Scholar] [CrossRef]
- Mackie, D.; Cooper, J. Attitude polarization: Effects of group membership. J. Personal. Soc. Psychol. 1984, 46, 575–585. [Google Scholar] [CrossRef]
- Nuesser, A.; Johnston, R.; Bodet, M.A. The dynamics of polarization and depolarization: Methodological considerations and European evidence. In Proceedings of the American Political Association 2014 Annual Meeting and Exhibition, Washington, DC, USA, 28–31 August 2014; Available online: https://ssrn.com/abstract=2452108 (accessed on 10 December 2023).
- van der Linden, S.; Leiserowitz, A.; Maibach, E.W. Communicating the scientific consensus on human-caused climate change is an effective and depolarizing public engagement strategy: Experimental evidence from a large national replication study. SSRN 2016, 2733956. [Google Scholar] [CrossRef]
- Liu, R.; Wang, L.; Jia, C.; Vosoughi, S. Political depolarization of news articles using attribute-aware word embeddings. Proceed. Intl. AAAI Conf. Weblogs Soc. Media 2021, 15, 385–396. [Google Scholar] [CrossRef]
- Ojer, J.; Starnini, M.; Pastor-Satorras, R. Modeling explosive opinion depolarization in interdependent topics. Phys. Rev. Lett. 2023, 130, 207401. [Google Scholar] [CrossRef] [PubMed]
- Sude, D.J.; Knobloch-Westerwick, S. When we have to get along: Depolarizing impacts of cross-cutting social media. Int. J. Commun. 2023, 17, 5268–5290. [Google Scholar]
- Vinokur, A.; Burnstein, E. Depolarization of attitudes in groups. J. Personal. Soc. Psychol. 1978, 36, 872–885. [Google Scholar] [CrossRef]
- Brauer, M.; Judd, C.M. Group polarization and repeated attitude expressions: A new take on an old topic. Eur. Rev. Soc. Psychol. 1996, 7, 173–207. [Google Scholar] [CrossRef]
- McCoy, J.; Somer, M. Toward a theory of pernicious polarization and how it harms democracies: Comparative evidence and possible remedies. Ann. Am. Acad. Political Soc. Sci. 2019, 681, 234–271. [Google Scholar] [CrossRef]
- Somer, M.; McCoy, J. Transformations through polarizations and global threats to democracy. Ann. Am. Acad. Political Soc. Sci. 2019, 681, 8–22. [Google Scholar] [CrossRef]
- Sobkowicz, P. Social depolarization and diversity of opinions—Unified ABM framework. Entropy 2023, 25, 568. [Google Scholar] [CrossRef] [PubMed]
- McCoy, J.; Somer, M. Overcoming polarization. J. Democr. 2021, 32, 6–21. [Google Scholar] [CrossRef]
- The Hyper-Polarization Crisis: A Conflict Resolution Challenge. In Beyond Intractability/Moving Beyond Intractability. Constructive Conflict Initiative; Available online: https://www.beyondintractability.org/crq-bi-hyper-polarization-discussion (accessed on 10 December 2023).
- Diamond, M.J.; Lobitz, W.C. When familiarity breeds respect: The effects of an experimental depolarization program on police and student attitudes toward each other. J. Soc. Iss. 1973, 29, 95–109. [Google Scholar] [CrossRef]
- Currin, C.B.; Vera, S.V.; Khaledi-Nasab, A. Depolarization of echo chambers by random dynamical nudge. Sci. Rep. 2022, 12, 9234. [Google Scholar] [CrossRef] [PubMed]
- Galam, S. Sociophysics. A Physicist’s Modeling of Psycho-political Phenomena; Springer Science + Business Medai, LLC: New York, NY, USA, 2012; pp. 3–19. [Google Scholar] [CrossRef]
- Galam, S. Unanimity, coexistence, and rigidity: Three sides of polarization. Entropy 2023, 25, 622. [Google Scholar] [CrossRef] [PubMed]
- Galam, S. Opinion dynamics and unifying principles: A global unifying frame. Entropy 2022, 24, 1201. [Google Scholar] [CrossRef]
- Diep, H.T.; Kaufman, M.; Kaufman, S. An agent-based statistical physics model for political polarization: A Monte Carlo study. Entropy 2023, 25, 981. [Google Scholar] [CrossRef]
- Epstein, J.M. Agent-based computational models and generative social science. Complexity 1999, 4, 41–60. [Google Scholar] [CrossRef]
- Lempert, R. Agent-based modeling as organizational and public policy simulators. Proc. Natl. Acad. Sci. USA 2002, 99 (Suppl. S3), 7195–7196. [Google Scholar] [CrossRef] [PubMed]
- Kaufman, M.; Diep, H.T.; Kaufman, S. Sociophysics of intractable conflicts: Three-group dynamics. Phys. A 2019, 517, 175–187. [Google Scholar] [CrossRef]
- Batty, M.; Torrens, P.M. Modelling complexity: The limits to prediction. Cybergeo Eur. J. Geogr. 2001, Dossiers, 201. [Google Scholar] [CrossRef]
- Jones, J. U.S Party Preferences Evenly Split in 2022 after Shift to GOP. Gallup, 12 January 2023. Available online: https://news.gallup.com/poll/467897/party-preferences-evenly-split-2022-shift-gop.aspx (accessed on 10 December 2023).
- Gallup. Party Affiliation. Trend since 2004. Available online: https://news.gallup.com/poll/15370/party-affiliation.aspx (accessed on 10 December 2022).
- Blume, M. Theory of the first-order magnetic phase change in UO2. Phys. Rev. 1966, 141, 517–525. [Google Scholar] [CrossRef]
- Capel, H.W. On the possibility of first-order phase transitions in Ising systems of triplet ions with zero-field splitting. Physica 1966, 32, 966–988. [Google Scholar] [CrossRef]
- Blume, M.; Emery, V.J.; Griffiths, R.B. Ising model for the λ transition and phase separation in He3–He4 mixtures. Phys. Rev. A 1971, 4, 1071–1077. [Google Scholar] [CrossRef]
- Lipiecki, A.; Sznajd-Weron, K. Polarization in the three-state q-voter model with anticonformity and bounded confidence. Chaos Solitons Fractals 2022, 165, 112809. [Google Scholar] [CrossRef]
- Burgess, G.; Burgess, H. Massively Parallel Peacebuilding. Beyond Intractability, 2020. Available online: https://www.beyondintractability.org/frontiers/mpp-paper (accessed on 10 December 2023).




Disclaimer/Publisher’s Note: The statements, opinions and data contained in all publications are solely those of the individual author(s) and contributor(s) and not of MDPI and/or the editor(s). MDPI and/or the editor(s) disclaim responsibility for any injury to people or property resulting from any ideas, methods, instructions or products referred to in the content. |
© 2024 by the authors. Licensee MDPI, Basel, Switzerland. This article is an open access article distributed under the terms and conditions of the Creative Commons Attribution (CC BY) license (https://creativecommons.org/licenses/by/4.0/).
Share and Cite
Kaufman, M.; Kaufman, S.; Diep, H.T. Social Depolarization: Blume–Capel Model. Physics 2024, 6, 138-147. https://doi.org/10.3390/physics6010010
Kaufman M, Kaufman S, Diep HT. Social Depolarization: Blume–Capel Model. Physics. 2024; 6(1):138-147. https://doi.org/10.3390/physics6010010
Chicago/Turabian StyleKaufman, Miron, Sanda Kaufman, and Hung T. Diep. 2024. "Social Depolarization: Blume–Capel Model" Physics 6, no. 1: 138-147. https://doi.org/10.3390/physics6010010
APA StyleKaufman, M., Kaufman, S., & Diep, H. T. (2024). Social Depolarization: Blume–Capel Model. Physics, 6(1), 138-147. https://doi.org/10.3390/physics6010010
