Abstract
The two-phase emission detector RED-100 with 130 kg of liquid xenon as a working medium has been exhibited at a distance of 19 m from the core of the VVER-1000/320 nuclear power reactor at the fourth power unit of the Kalinin Nuclear Plant Power in 2021–2022. Due to the high sensitivity of the detector for weak ionization signals (down to single electrons), the detector has been used to search for the elastic coherent scattering of reactor electron antineutrinos off xenon nuclei. However, the observation of ~30 kHz single-electron noise did not quite allow for an effective selection of the useful events. The next experiment with the RED-100 detector is considered to be arranged with 62 kg of liquid argon as a working medium. The advantages of this approach are discussed in this paper.
1. Introduction
The effect of coherent elastic neutrino-nucleus scattering (CEvNS) was predicted in 1974 [1,2] and was first observed in the COHERENT experiment at the Spallation Neutron Source (SNS at the Oak Ridge National Laboratory (ORNL), Oak Ridge, TN, USA) in 2017 [3]. For neutrinos, whose wavelength is comparable to the size of a heavy nucleus, the cross section of the CEvNS process according to the Standard Model is greatly enhanced due to the coherence effect and is proportional to the square of the number of neutrons in the nucleus [1]. However, efficient registration of reactor electron antineutrinos via the CEvNS channel requires technologies for detecting signals from recoiling nuclei with an energy of the order of 1 keV or less. The most promising detector technologies of this kind are based on the use of two-phase emission detectors based on condensed noble gases [4,5,6].
In the case of the successful implementation of the effective registration of the CEvNS process, a tempting prospect opens up for studying new physics in the neutrino sector and possible deviations from the predictions of the Standard Model [7], as well as creating innovative technologies for monitoring the core of nuclear reactors by neutrino radiation in order to improve the safety of nuclear energy [8,9].
At present, there is a surge of interest all over the world in studying the possibility of the efficient registration of the CEvNS of reactor neutrinos with an average energy of about 3 MeV [10,11,12,13,14,15,16,17,18]. However, all current experiments use detectors with a working substance mass that does not exceed a few kilograms. To date, RED-100 is the most massive detector tested at a nuclear power plant for the purpose of registering CEvNS, in which 130 kg of liquid xenon was used as a working medium [19].
2. Exposition of the RED-100 Detector with Liquid Xenon as the Working Medium at Kalinin NPP
In 2022, the first experiment was completed to search for the effect of elastic coherent scattering of reactor electron antineutrinos on xenon nuclei, which was carried out using the two-phase emission detector RED-100 at the 4th power unit of the Kalinin Nuclear Plant Power (Kalinin NPP, near Udomlya, Russia) [19]. The exposure of the RED-100 detector at the Kalinin NPP took place in 2021–2022, both during the periods of the active reactor and fuel shut down for refueling (14 January to 19 February 2022), and it was completed on 2 March 2022. As a result of the experiment, it was established that the RED-100 detector with a specially designed copper–water shielding can successfully operate under the conditions of an operating nuclear power plant when placed in a power unit outside the reactor compartment. It was also shown that the RED-100 facility is capable of detecting weak ionization signals down to single electrons, which are expected to represent signals for elastic coherent scattering of reactor electron antineutrinos on xenon nuclei. However, experimental studies have shown the presence of a previously unknown source of technogenic single-electron (SE) noise similar to those observed when liquid xenon is irradiated by cosmic muons in laboratory conditions [20].
3. Observation of Single-Electron Noise Imitating CEvNS Signals
When liquid xenon is used as the working substance of an emission detector operating under ground conditions, the following two dominant sources of SE noise are observed [21]:
- Subsurface electrons trapped by a potential barrier at the phase boundary (a relatively weak source with characteristic times on the order of the lifetime of excess electrons before being captured by electronegative impurities).
- The working volume of the detector itself, filled with liquid xenon after irradiation with ionizing radiation (a relatively intense source with characteristic times in the millisecond range).
To reduce the intensity of the first source, the RED-100 detector uses an electronic shutter that blocks the collection of ionization electrons from the working volume of the detector through the phase interface in the case of the passage of strongly ionizing radiation, such as cosmic muons, through the detector [21].
Experimental studies of the detection of muons of cosmic origin using the RED-100 detector showed that the second source of generation of single electrons is located in the working volume of the detector filled with liquid xenon [20]. A similar observation about the position of this SE noise source was also made by the LUX Collaboration [22,23]. Such a source can be the spontaneous release of electrons by negative −O2 ions drifting in the center of massive complexes of polarized xenon atoms, which weakens the binding energy of an electron with an oxygen molecule [24].
When operating with sufficiently pure xenon (the lifetime of electrons before being captured by electronegative impurities exceeds 1 ms), the frequency of the SE noise in the RED-100 detector with the shutter turned on during the operation at the Kalinin NPP was ~30 kHz, regardless of whether the reactor was operating or not. At this frequency of the SE noise, it is quite a complicated task to isolate useful CEvNS events. Processing of the experimental data obtained at the Kalinin NPP is ongoing; however, one can already say with certainty that, in the best-case scenario, only an upper limit will be set on the xenon CEvNS cross section for reactor electron antineutrinos.
4. Liquid Argon as Alternative Media for Observation of CEvNS at NPP
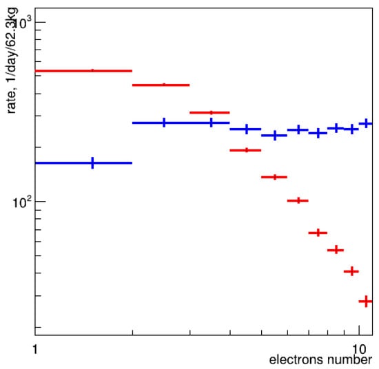
The dedicated computer simulation carried out showed that, despite the reduced cross section of the CEvNS process compared to xenon (the ratio of the number of events per unit volume of the liquid phase of the target argon/xenon is of approximately 1/8), argon as the working medium of the RED-100 detector has a significant advantage, i.e., the value of the ionization signal during the registration of reactor neutrinos can significantly exceed the signal value in liquid xenon since, in the case of xenon, the spectrum of recoiling nuclei, determined by the mass of the nucleus, is limited between by about 1 keV and 3.5 keV in the case of argon; see Figure 1. This makes it possible to count on a more efficient separation of the useful signals and one-electron noise when using argon as the working medium. Since the threshold for the emission of quasi-free electrons from liquid argon is significantly lower (about 0.2 kV/cm) than that from liquid xenon (about 1.8 kV/cm [4]), the efficiency of electron extractions from the liquid phase of argon into the gas phase in the RED-100 detector can be close to 100%, in contrast to what was observed at the Kalinin NPP when liquid xenon was used, where this value did not exceed 35%.
Figure 1.
Calculated energy spectra of recoiling nuclei produced in the coherent elastic neutrino-nucleus scattering (CEvNS) reaction in 100 kg of liquid xenon and argon per day at a distance of 19 m from the reactor core at the 4th unit of the Kalinin Nuclear Power Plant (Kalinin NPP).
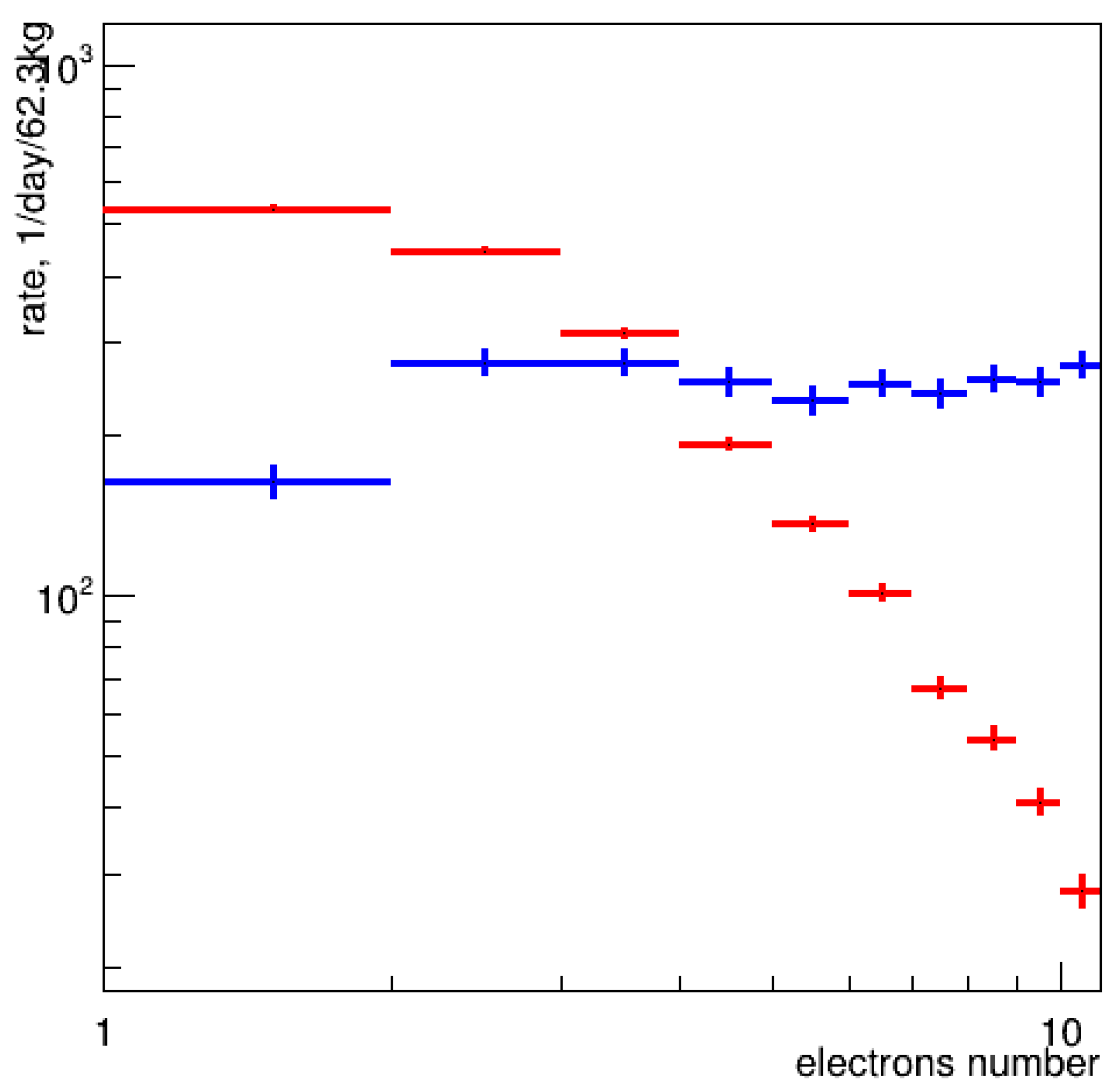
A significant disadvantage of argon extracted from the atmosphere is the presence of the beta-active isotope Ar39 [25], with an activity of ~1 Bq/kg. However, a comparison of the spectra of the expected signals from the CEvNS process in liquid argon and from Ar39 shows (Figure 2) that the selection of useful events against the background of signals from Ar39 in the region of low-energy releases (less than four electrons) is quite possible when the emission probability of excess electrons from the liquid argon is close to 100%.
Figure 2.
Simulated spectra of generated signals under the condition of 100% emission probability of excess electrons from liquid argon. The blue symbols represents Ar39-based β-spectrum [26]; the red symbols represent CEvNS of reactor electron antineutrinos when the RED-100 detector is placed at the same position at the Kalinin NPP and based on ionization yield [27].
On the basis of the presented results of the computer simulation, it can be concluded that, even with a daily exposure, the background fluctuations will be approximately four times less than the CEvNS signal, i.e., the observation of the effect on natural argon seems quite possible. The background contribution from the superposition of single-electron events in the region of more than four electrons region requires special experimental studies due to the limited spatial resolution of the RED-100 detector.
It should be noted that the COHERENT Collaboration has already observed the CEvNS process in argon at the ORNL’s SNS, but at neutrino energies an order of magnitude higher than in the experiment at the Kalinin NPP.
The following two circumstances also favor the choice of argon as the working medium due to the fact that the scintillation yield for recoiling nuclei in argon is 20–40% higher than the scintillation yield in xenon:
- The significant difference in the decay times of the singlet and triplet components of argon radiation can be used as an additional tool for selecting useful signals against the background.
- A relatively higher probability of detecting double events (a scintillation signal followed by an electroluminescence signal), which can also be used to improve the separation of useful events and background.
The disadvantages of argon include the need to use more complex technologies, such as the following:
- The operating temperature of the argon target is approximately −186 °C versus −108 °C for the xenon target, i.e., the RED-100 cryogenic system should ensure the performance of the detector at lower (by about 80 °C lower) temperatures.
- The need to use a shifter for the spectrum of argon scintillation and electroluminescent radiation is due to the insensitivity of the HAMAMATSU R11410-20 photomultipliers (PMs) used in the RED-100 detector to the relatively short (about 130 nm) wavelength range of argon radiation.
5. Preparation of RED-100/Ar Experiment
At present, the RED-100 collaboration has begun preparing the next stage of the experiment at nuclear power plants using liquid argon as the working medium of the RED-100 detector.
In the spring of 2022, the RED-100 unit was returned to the National Research Nuclear University (NRNU) MEPhI (Moscow, Russia) from the Kalinin NPP and installed in the laboratory at NRNU MEPhI to develop the modernization project and conduct the necessary technical tests. In the fall of 2022, full-scale tests of the cryogenic system of the facility were carried out to check the possibility of working with liquid argon. It was found that the cryogenic system of the RED-100 facility makes it possible to provide the temperature regime of the detector at 80 °C lower than when working with liquid xenon. Thus, technically, it has been shown that liquid argon can be used as the working substance of the RED-100 detector without a major alteration to the setup.
To update the RED-100 detector to work with argon, an increase in the PMT’s sensitivity to photons in the region of hard vacuum ultraviolet (110–150 nm) is required. A vacuum-deposited tetraphenyl butadiene (TPB) with a thickness of about 0.1 mg/cm2 is chosen to be used as a wavelength shifter [28,29]. The technology of vacuum deposition of PMTs was developed and tested for the application of TPB, which provides a sufficiently high purity of the deposited TPB layer for the operation of a two-phase emission detector with a drift length of excess electrons in a liquid of 40 cm. Cryogenic tests of PMTs with vacuum-deposited TPB with thicknesses of 0.02 mg/cm2 and 0.2 mg/cm2 were carried out to detect liquid argon scintillation radiation with a similar efficiency.
6. Conclusions
Liquid argon appears to be an attractive working medium for the next stage of the RED-100 experiment at the NPP because it provides a higher energy of CEvNS nuclear recoils that may improve the separation of useful events from the SE background. The RED-100 installation is under modernization to use liquid argon as a working medium at the next test at the Kalinin NPP.
Funding
This research was funded by the Russian Science Foundation (grant number 22-12-00082) and the Russian Ministry of Science and Higher Education, project “Neutrino detectors for remote monitoring of nuclear power plants and astrophysical installations”, no. FSWU-2022-0018.
Data Availability Statement
Not applicable.
Acknowledgments
The collaboration is grateful to the administrations of the Institute of Nuclear Physics and Technologies of the National Research Nuclear University MEPhI and the National Research Center “Kurchatov Institute” (Moscow, Russia) for their support in the development of a technology of two-phase emission detectors and in the arrangement experiments searching for observations of elastic coherent neutrino scattering off heavy nuclei.
Conflicts of Interest
The authors declare no conflict of interest.
Appendix A. Membership of the RED-100 Collaboration
Dmitriy Akimov 1, Ivan Alexandrov 1,2, Vladimir Belov 1,3, Alexander Bolozdynya 1,*, Ekaterina Borisova 4,5, Alexei Buzulutskov 4,5, Alexander Etenko 1,3, Andrey Galavanov 1,6, Yuriy Gusakov 1,6, Alexander Khromov 1,2, Alexey Konovalov 1,7, Vasiliy Kornoukhov 1,8, Alexey Kovalenko 1,3, Ekaterina Kozlova 1,3, Alexander Kumpan 1,2, Anton Lukyashin 1, Valery Nosov 4,5, Artem Pinchuk 1, Olga Razuvaeva 1,3, Dmitriy Rudik 1, Alexey Shakirov 1, Grigoriy Simakov 1,3, Andrey Sokolov 4,5, Valery Sosnovtsev 1, Anton Vasin 1.
Affiliations
- Institute of Nuclear Physics and Technology, National Research Nuclear University MEPhI, 115409 Moscow, Russia
- Research and Education Center for Advanced Studies, National Research Tomsk Polytechnic University, 634050 Tomsk, Russia
- National Research Center ”Kurchatov Institute”, 123182 Moscow, Russia
- Budker Institute of Nuclear Physics SB RAS, 630090 Novosibirsk, Russia
- Faculty of Physics, Novosibirsk State University, 630090 Novosibirsk, Russia
- Joint Institute for Nuclear Research, 141980 Dubna, Russia
- The P.N. Lebedev Physical Institute, 119991 Moscow, Russia
- Institute for Nuclear Research, 117312 Moscow, Russia
- *
- Correspondence: aibolozdynya@mephi.com
References
- Freedman, D.Z. Coherent effects of a weak neutral current. Phys. Rev. D 1974, 9, 1389–1392. [Google Scholar] [CrossRef]
- Kopeliovich, V.D.; Frankfurt, L.L. Isotopic and chiral structure of neutral current. JETP Lett. 1974, 19, 145–147. Available online: http://jetpletters.ru/ps/1776/article_27044.shtml (accessed on 10 April 2023).
- Akimov, D.; Albert, J.B.; An, P.; Awe, C.; Barbeau, P.S.; Becker, B.; Belov, V.; Brown, A.; Bolozdynya, A.; Cabrera-Palmer, B.; et al. Observation of coherent elastic neutrino-nucleus scattering. Science 2017, 357, 1123–1126. [Google Scholar] [CrossRef]
- Hagmann, C.; Bernstein, A. Two-phase emission detector for measuring coherent neutrino-nucleus scattering. IEEE Trans. Nucl. Sci. 2004, 51, 2151–2155. [Google Scholar] [CrossRef]
- Aprile, E.; Bolotnikov, A.E.; Bolozdynya, A.I.; Doke, T. Noble Gas Detectors; Wiley-VCH Verlag GmbH & Co. KGaA: Weinheim, Germany, 2006. [Google Scholar] [CrossRef]
- Akimov, D.; Bondar, A.; Burenkov, A.; Buzulutskov, A. Detection of reactor antineutrino coherent scattering off nuclei with a two-phase noble gas detector. J. Instrum. 2009, 4, P06010. [Google Scholar] [CrossRef]
- Billard, J.; Johnston, J.; Kavanagh, B.J. Prospects for exploring New Physics in Coherent Elastic Neutrino-Nucleus Scattering. J. Cosmol. Astropart. Phys. 2018, 11, 16. [Google Scholar] [CrossRef]
- Mikaelyan, L.A. Neutrino laboratory in the atomic plant (fundamental and applied researches). In Proceedings of the 5th International Conference on Neutrino Physics and Astrophysics: Neutrino 77, Elbrus Mountains, Russia, 18–24 June 1977; pp. 383–387. Available online: https://enpl.mephi.ru/download/articles/Neutrino77.pdf (accessed on 10 April 2023).
- Bernstein, A.; Baldwin, G.; Boyer, B.; Goodman, M.; Learned, J.; Lund, J.; Reyna, D.; Svoboda, R. Nuclear security applications of antineutrino detectors: Current capabilities and future prospects. Sci. Glob. Secur. 2010, 18, 127–192. [Google Scholar] [CrossRef]
- Belov, V.; Brudanin, V.; Egorov, V.; Filosofov, D.; Fomina, M.; Gurov, Y.; Korotkova, L.; Lubashevskiy, A.; Medvedev, D.; Pritula, R. The νGeN experiment at the Kalinin Nuclear Power Plant. J. Instrum. 2015, 10, P12011. [Google Scholar] [CrossRef]
- Wong, H.T.-K. Taiwan EXperiment On NeutrinO—History, status and prospects. Int. J. Mod. Phys. A 2018, 16, 1830014. [Google Scholar] [CrossRef]
- Agnolet, G.; Baker, W.; Barker, D.; Beck, R.; Carroll, T.J.; Cesar, J.; Cushman, P.; Dent, J.B.; De Rijck, S.; Dutta, B.; et al. Background studies for the MINER Coherent Neutrino Scattering reactor experiment. Nucl. Instrum. Meth. A 2017, 853, 53–60. [Google Scholar] [CrossRef]
- Angloher, G.; et al. [NUCLEUS Collaboration]. Exploring CEνNS with NUCLEUS at the Chooz nuclear power plant. Eur. Phys. J. C 2019, 79, 1018. [Google Scholar] [CrossRef]
- Xu, J. Status of the CHILLAX Detector Development. Talk at the Magnificent CEνNS 2021 Workshop, Online, 6–7 October 2021. Available online: https://indico.cern.ch/event/1075677/contributions/4556726/ (accessed on 10 April 2023).
- Bonet, H.; et al. [CONUS Collaboration]. Constraints on elastic neutrino nucleus scattering in the fully coherent regime from the CONUS experiment. Phys. Rev. Lett. 2021, 126, 041804. [Google Scholar] [CrossRef] [PubMed]
- Colaresi, J.; Collar, J.I.; Hossbach, T.W.; Kavner, A.R.L.; Lewis, C.M.; Robinson, A.E.; Yocum, K.M. First results from a search for coherent elastic neutrino-nucleus scattering at a reactor site. Phys. Rev. D 2021, 104, 072003. [Google Scholar] [CrossRef]
- Salagnac, T.; Billar, J.; Colas, J.; Chaize, D.; De Jesus, M.; Dumoulin, L.; Filippini, J.-B.; Gascon, J.; Juillard, A.; Lattaud, H.; et al. Optimization and performance of the CryoCube detector for the future RICOCHET low-energy neutrino experiment. arXiv 2021, arXiv:2111.12438. [Google Scholar] [CrossRef]
- Flores, L.J.; Peinado, E.; et al. [CEνNS Theory Group at IF-UNAM]; Alfonso-Pita, E. et al. [SBC Collaboration]. Physics reach of a low threshold scintillating argon bubble chamber in coherent elastic neutrino-nucleus scattering reactor experiments. Phys. Rev. D 2021, 103, L091301. [Google Scholar] [CrossRef]
- Akimov, D.Y.; Alexandrov, I.S.; Alyev, R.R.; Belov, V.A.; Bolozdynya, A.I.; Etenko, A.V.; Galavanov, A.V.; Glagovsky, E.M.; Gusakov, Y.V.; Khromov, A.V.; et al. The RED-100 experiment. J. Instrum. 2022, 17, T11011. [Google Scholar] [CrossRef]
- Akimov, D.Y.; Alexandrov, I.S.; Belov, V.A.; Bolozdynya, A.I.; Etenko, A.V.; Galavanov, A.V.; Gusakov, Y.V.; Khromov, A.V.; Konovalov, A.M.; Kovalenko, A.G.; et al. Electronic noise generated by cosmic muons in the two-phase xenon emission detector RED-100. Instrum. Exp. Tech. 2023, 1, 1–9. (In Russian) [Google Scholar]
- Akimov, D.Y.; Alexanderov, I.S.; Belov, V.A.; Bolozdynya, A.I.; Etenko, A.V.; Galavanov, A.V.; Gusakov, Y.V.; Khromov, A.V.; Konovalov, A.M.; Kovalenko, A.G.; et al. The RED-100 two-phase emission detector. Instrum. Exp. Tech. 2017, 60, 175–181. [Google Scholar] [CrossRef]
- Sorenson, P.; Kamdin, K. Two distinct components of the delayed single electron noise in liquid xenon emission detectors. J. Instrum. 2018, 13, P02032. [Google Scholar] [CrossRef]
- Akerib, D.S.; Alsum, S.; Araujo, H.M.; Bai, X.; Balaithy, J.; Baxter, A.; Bernard, E.P.; Bernstein, A.; Biesiadzinski, T.P.; Boulton, E.M.; et al. Investigation of background electron emission in the LUX detector. Phys. Rev. D 2020, 102, 092004. [Google Scholar] [CrossRef]
- Khrapak, A.G.; Volykhin, K.F. Negative ions in liquid xenon. J. Exp. Theor. Phys. 1999, 88, 320–324. [Google Scholar] [CrossRef]
- Akimov, D.; et al. [COHERENT Collaboration]. First measurement of coherent elastic neutrino-nucleus scattering on argon. Phys. Rev. Lett. 2021, 126, 012002. [Google Scholar] [CrossRef] [PubMed]
- Lidgard, J.J. Pulse Shape Discrimination Studies in Liquid Argon for the DEAP-1 Detector. Master’s Thesis, Queen’s University, Kingston, ON, Canada, April 2008. Available online: http://deap3600.ca/student-thesis/ (accessed on 10 April 2023).
- Bondar, A.; Buzulutskov, A.; Dolgov, A.; Grishnyaev, E.; Nosov, V.; Oleynikov, V.; Polosatkin, S.; Shekhtman, L.; Shemyakina, E.; Sokolov, A. Measurement of the ionization yield of nuclear recoils in liquid argon using a two-phase detector with electroluminescence gap. J. Instrum. 2017, 12, C05010. [Google Scholar] [CrossRef]
- Aoyama, K.; Tanaka, M.; Kimura, M.; Yorita, K. Development of a high-light-yield liquid argon detector using tetraphenyl butadiene and silicon photomultiplier array. Prog. Theor. Exp. Phys. 2021, 2022, 043H01. [Google Scholar] [CrossRef]
- Adhikari, G.; Al Kharusi, S.; Angelico, E.; Anton, G.; Arnquist, I.J.; Badhrees, I.; Bane, J.; Belov, V.; Bernard, E.P.; Bhatta, T.; et al. nEXO: Neutrinoless double beta decay search beyond 1028 years half-life sensitivity. J. Phys. G 2022, 49, 015104. [Google Scholar] [CrossRef]
Disclaimer/Publisher’s Note: The statements, opinions and data contained in all publications are solely those of the individual author(s) and contributor(s) and not of MDPI and/or the editor(s). MDPI and/or the editor(s) disclaim responsibility for any injury to people or property resulting from any ideas, methods, instructions or products referred to in the content. |
© 2023 by the author. Licensee MDPI, Basel, Switzerland. This article is an open access article distributed under the terms and conditions of the Creative Commons Attribution (CC BY) license (https://creativecommons.org/licenses/by/4.0/).

