Nuclear Modification Factor in Small System Collisions within Perturbative QCD including Thermal Effects †
Abstract
1. Introduction
2. Theoretical Framework and Main Predictions
2.1. Nuclear Effects in the Gluon Distribution in a Nucleus
2.2. Collective Expansion and the Blast-Wave Model
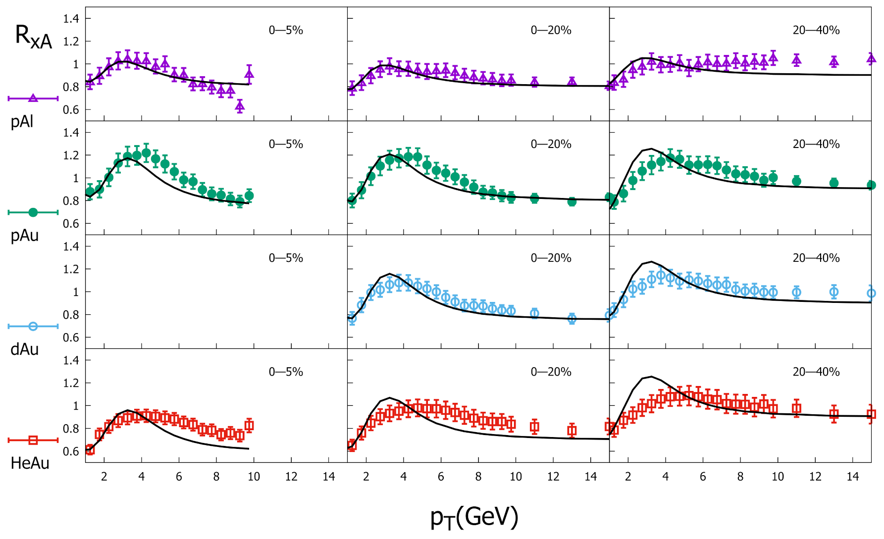
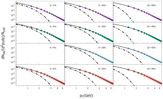
3. Results and Discussions
4. Summary and Conclusions
Author Contributions
Funding
Data Availability Statement
Conflicts of Interest
References
- Khachatryan, V.; Sirunyan, A.M.; Tumasyan, A.; Adam, W.; Bergauer, T.; Dragicevic, M.; Erö, J.; Fabjan, C.; Friedl, M.; Frühwirth, R.; et al. Observation of long-range near-side angular correlations in proton-proton collisions at the LHC. JHEP 2010, 9, 91. [Google Scholar] [CrossRef]
- Aad, G.; Abbott, B.; Abdallah, J.; Aben, R.; Abolins, M.; AbouZeid, O.S.; Abramowicz, H.; Abreu, H.; Abreu, R.; Abulaiti, Y.; et al. Observation of long-range elliptic azimuthal anisotropies in = 13 and 2.76 TeV pp collisions with the ATLAS Detector. Phys. Rev. Lett. 2016, 116, 172301. [Google Scholar] [CrossRef] [PubMed]
- Khachatryan, V.; Sirunyan, A.M.; Tumasyan, A.; Adam, W.; Asilar, E.; Bergauer, T.; Brandstetter, J.; Brondolin, E.; Dragicevic, M.; Erö, J.; et al. Evidence for collectivity in pp collisions at the LHC. Phys. Lett. B 2017, 765, 193–220. [Google Scholar] [CrossRef]
- Aaboud, M.; Aad, G.; Abbott, B.; Abeloos, B.; Abidi, S.H.; AbouZeid, O.S.; Abraham, N.L.; Abramowicz, H.; Abreu, H.; Abreu, R.; et al. Measurement of long-range multiparticle azimuthal correlations with the subevent cumulant method in pp and p + Pb collisions with the ATLAS detector at the CERN Large Hadron Collider. Phys. Rev. C 2018, 97, 024904. [Google Scholar] [CrossRef]
- Adam, J.; Adamova, D.; Aggarwal, M.M.; Rinella, G.A.; Agnello, M.; Agrawal, N.; Ahammed, Z.; Ahmad, S.; Ahn, S.U.; Aiola, S.; et al. Enhanced production of multi-strange hadrons in high-multiplicity proton-proton collisions. Nat. Phys. 2017, 13, 535–539. [Google Scholar] [CrossRef]
- Acharya, S.; Adamová, D.; Adhya, S.P.; Adler, A.; Adolfsson, J.; Aggarwal, M.M.; Rinella, G.A.; Agnello, M.; Agrawal, N.; Ahammed, Z.; et al. Multiplicity dependence of (multi-)strange hadron production in proton-proton collisions at = 13 TeV. Eur. Phys. J. C 2020, 80, 167. [Google Scholar] [CrossRef]
- Cronin, J.; Frisch, H.J.; Shochet, M.; Boymond, J.; Mermod, R.; Piroue, P.; Sumner, R.L. Production of hadrons with large transverse momentum at 200, 300, and 400 GeV. Phys. Rev. D 1975, 11, 3105–3123. [Google Scholar] [CrossRef]
- Wang, X.N. Systematic study of high pT hadron spectra in pp, pA and AA collisions from SPS to RHIC energies. Phys. Rev. C 2000, 61, 064910. [Google Scholar] [CrossRef]
- Kopeliovich, B.Z.; Nemchik, J.; Schafer, A.; Tarasov, A.V. Cronin effect in hadron production off nuclei. Phys. Rev. Lett. 2002, 88, 232303. [Google Scholar] [CrossRef]
- Vitev, I.; Gyulassy, M. High pT tomography of d + Au and Au + Au at SPS, RHIC, and LHC. Phys. Rev. Lett. 2002, 89, 252301. [Google Scholar] [CrossRef]
- Kharzeev, D.; Kovchegov, Y.V.; Tuchin, K. Cronin effect and high-pT suppression in pA collisions. Phys. Rev. 2003, D68, 094013. [Google Scholar] [CrossRef]
- Hwa, R.C.; Yang, C.B. Final state interaction as the origin of the Cronin effect. Phys. Rev. Lett. 2004, 93, 082302. [Google Scholar] [CrossRef]
- Gelis, F.; Jalilian-Marian, J. From DIS to proton nucleus collisions in the color glass condensate model. Phys. Rev. D 2003, 67, 074019. [Google Scholar] [CrossRef]
- Albacete, J.L.; Armesto, N.; Milhano, J.G.; Salgado, C.A.; Wiedemann, U.A. Numerical analysis of the Balitsky-Kovchegov equation with running coupling: Dependence of the saturation scale on nuclear size and rapidity. Phys. Rev. D 2005, 71, 014003. [Google Scholar] [CrossRef]
- Baier, R.; Kovner, A.; Wiedemann, U.A. Saturation and parton level Cronin effect: Enhancement versus suppression of gluon production in p-A and A-A collisions. Phys. Rev. D 2003, 68, 054009. [Google Scholar] [CrossRef]
- Blaizot, J.P.; Gelis, F.; Venugopalan, R. High-energy pA collisions in the color glass condensate approach. 1. Gluon production and the Cronin effect. Nucl. Phys. A 2004, 743, 13–56. [Google Scholar] [CrossRef]
- Blaizot, J.P.; Iancu, E. The Quark gluon plasma: Collective dynamics and hard thermal loops. Phys. Rep. 2002, 359, 355–528. [Google Scholar] [CrossRef]
- Jalilian-Marian, J.; Kovchegov, Y.V. Saturation physics and deuteron-gold collisions at RHIC. Prog. Part. Nucl. Phys. 2006, 56, 104–231. [Google Scholar] [CrossRef]
- Tripathy, S.; Bhattacharyya, T.; Garg, P.; Kumar, P.; Sahoo, R.; Cleymans, J. Nuclear modification factor using Tsallis non-extensive statistics. Eur. Phys. J. A 2016, 52, 289. [Google Scholar] [CrossRef]
- Tripathy, S.; Khuntia, A.; Tiwari, S.K.; Sahoo, R. Transverse momentum spectra and nuclear modification factor using Boltzmann transport equation with flow in Pb + Pb collisions at = 2.76 TeV. Eur. Phys. J. A 2017, 53, 99. [Google Scholar] [CrossRef]
- Qiao, L.; Che, G.; Gu, J.; Zheng, H.; Zhang, W. Nuclear modification factor in Pb–Pb and p-Pb collisions using Boltzmann transport equation. J. Phys. G Nucl. Part. Phys. 2020, 47, 075101. [Google Scholar] [CrossRef]
- Florkowski, W.; Ryblewski, R. Separation of elastic and inelastic processes in the relaxation-time approximation for the collision integral. Phys. Rev. C 2016, 93, 064903. [Google Scholar] [CrossRef]
- Bylinkin, A.; Chernyavskaya, N.; Rostovtsev, A. Two components in charged particle production in heavy-ion collisions. Nucl. Phys. B 2016, 903, 204–210. [Google Scholar] [CrossRef]
- Giannini, A.V.; Goncalves, V.P.; Silva, P.V.R.G. Thermal radiation and inclusive production in the running coupling kT-factorization approach. Eur. Phys. J. A 2021, 57, 43. [Google Scholar] [CrossRef]
- Urmossy, K.; Barnaföldi, G.G.; Harangozó, S.; Biró, T.S.; Xu, Z. A ‘soft + hard’ model for heavy-ion collisions. J. Phys. Conf. Ser. 2017, 805, 012010. [Google Scholar] [CrossRef]
- Adams, J.; Aggarwal, M.M.; Ahammed, Z.; Amonett, J.; Anderson, B.D.; Anderson, M.; Arkhipkin, D.; Averichev, G.S.; Bai, Y.; Balewski, J.; et al. The Multiplicity dependence of inclusive pt spectra from pp collisions at = 200-GeV. Phys. Rev. D 2006, 74, 032006. [Google Scholar] [CrossRef]
- Trainor, T.A. Centrality evolution of p(t) and y(t) spectra from Au-Au collisions at s(NN)**(1/2) = 200-GeV. Int. J. Mod. Phys. E 2008, 17, 1499–1540. [Google Scholar] [CrossRef]
- Trainor, T.A. A two-component model for identified-hadron pt spectra from 5 TeV p-Pb collisions. J. Phys. G 2020, 47, 045104. [Google Scholar] [CrossRef]
- Moriggi, L.S.; Peccini, G.M.; Machado, M.V.T. Role of nuclear gluon distribution on particle production in heavy ion collisions. Phys. Rev. D 2021, 103, 034025. [Google Scholar] [CrossRef]
- Acharya, U.A.; Adare, A.; Aidala, C.; Ajitan, N.N.; Akiba, Y.; Al-Bataineh, H.; Alexander, J.; Alfred, M.; Andrieux, V.; Angerami, A.; et al. Systematic study of nuclear effects in p + Al, p + Au, d + Au, and 3He+Au collisions at = 200 GeV using π0 production. Phys. Rev. C 2022, 105, 064902. [Google Scholar] [CrossRef]
- Rath, R.; Khuntia, A.; Sahoo, R.; Cleymans, J. Event multiplicity, transverse momentum and energy dependence of charged particle production, and system thermodynamics in pp collisions at the Large Hadron Collider. J. Phys. G 2020, 47, 055111. [Google Scholar] [CrossRef]
- Jiang, K.; Zhu, Y.; Liu, W.; Chen, H.; Li, C.; Ruan, L.; Tang, Z.; Xu, Z.; Xu, Z. Onset of radial flow in p+p collisions. Phys. Rev. C 2015, 91, 024910. [Google Scholar] [CrossRef]
- Eskola, K.J.; Honkanen, H. A Perturbative QCD analysis of charged particle distributions in hadronic and nuclear collisions. Nucl. Phys. 2003, A713, 167–187. [Google Scholar] [CrossRef][Green Version]
- Helenius, I.; Eskola, K.J.; Paukkunen, H. Centrality dependence of inclusive prompt photon production in d+Au, Au+Au, p+Pb, and Pb+Pb collisions. JHEP 2013, 5, 30. [Google Scholar] [CrossRef]
- Helenius, I.; Paukkunen, H.; Eskola, K.J. Nuclear PDF constraints from p+Pb collisions at the LHC. arXiv 2015, arXiv:1509.02798. [Google Scholar] [CrossRef]
- Kovarik, K.; Kusina, A.; Ježo, T.; Clark, D.B.; Keppel, C.; Lyonnet, F.; Morfín, J.G.; Olness, F.I.; Owens, J.F.; Schienbein, I.; et al. nCTEQ15—Global analysis of nuclear parton distributions with uncertainties in the CTEQ framework. Phys. Rev. D 2016, 93, 085037. [Google Scholar] [CrossRef]
- Abdul Khalek, R.; Ethier, J.J.; Rojo, J. Nuclear parton distributions from lepton-nucleus scattering and the impact of an electron-ion collider. Eur. Phys. J. C 2019, 79, 471. [Google Scholar] [CrossRef]
- Vitev, I.; Zhang, B.W. A Systematic study of direct photon production in heavy ion collisions. Phys. Lett. B 2008, 669, 337–344. [Google Scholar] [CrossRef]
- Zhang, Y.; Fai, G.I.; Papp, G.; Barnafoldi, G.G.; Levai, P. High pT pion and kaon production in relativistic nuclear collisions. Phys. Rev. C 2002, 65, 034903. [Google Scholar] [CrossRef]
- Glauber, R. Cross-sections in deuterium at high-energies. Phys. Rev. 1955, 100, 242–248. [Google Scholar] [CrossRef]
- Mueller, A.H. Small-x Behavior and Parton Saturation: A QCD Model. Nucl. Phys. B 1990, 335, 115–137. [Google Scholar] [CrossRef]
- Albacete, J.L.; Armesto, N.; Kovner, A.; Salgado, C.A.; Wiedemann, U.A. Energy dependence of the Cronin effect from nonlinear QCD evolution. Phys. Rev. Lett. 2004, 92, 082001. [Google Scholar] [CrossRef]
- Lappi, T.; Mäntysaari, H. Single inclusive particle production at high energy from HERA data to proton-nucleus collisions. Phys. Rev. D 2013, 88, 114020. [Google Scholar] [CrossRef]
- Dumitru, A.; Hayashigaki, A.; Jalilian-Marian, J. Geometric scaling violations in the central rapidity region of d + Au collisions at RHIC. Nucl. Phys. 2006, A770, 57–70. [Google Scholar] [CrossRef]
- Goncalves, V.P.; Kugeratski, M.S.; Machado, M.V.T.; Navarra, F.S. Saturation physics at HERA and RHIC: An nified description. Phys. Lett. 2006, B643, 273–278. [Google Scholar] [CrossRef]
- Boer, D.; Utermann, A.; Wessels, E. Geometric Scaling at RHIC and LHC. Phys. Rev. 2008, D77, 054014. [Google Scholar] [CrossRef]
- Rezaeian, A.H. CGC predictions for p+A collisions at the LHC and signature of QCD saturation. Phys. Lett. B 2013, 718, 1058–1069. [Google Scholar] [CrossRef]
- Kharzeev, D.; Kovchegov, Y.V.; Tuchin, K. Nuclear modification factor in d+Au collisions: Onset of suppression in the color glass condensate. Phys. Lett. B 2004, 599, 23–31. [Google Scholar] [CrossRef]
- Armesto, N.; Salgado, C.A.; Wiedemann, U.A. Relating high-energy lepton-hadron, proton-nucleus and nucleus-nucleus collisions through geometric scaling. Phys. Rev. Lett. 2005, 94, 022002. [Google Scholar] [CrossRef]
- Albacete, J.L.; Dumitru, A. A model for gluon production in heavy-ion collisions at the LHC with rcBK unintegrated gluon densities. arXiv 2010, arXiv:1011.5161. [Google Scholar] [CrossRef]
- Kharzeev, D.; Levin, E.; Nardi, M. Color glass condensate at the LHC: Hadron multiplicities in pp, pA and AA collisions. Nucl. Phys. 2005, A747, 609–629. [Google Scholar] [CrossRef]
- Tribedy, P.; Venugopalan, R. QCD saturation at the LHC: Comparisons of models to p+p and A+A data and predictions for p+Pb collisions. Phys. Lett. B 2012, 710, 125–133, Erratum in Phys. Lett. B 2013, 718, 1154–1154. [Google Scholar] [CrossRef]
- Lappi, T. Energy dependence of the saturation scale and the charged multiplicity in pp and AA collisions. Eur. Phys. J. C 2011, 71, 1699. [Google Scholar] [CrossRef]
- Levin, E.; Rezaeian, A.H. Gluon saturation and energy dependence of hadron multiplicity in pp and AA collisions at the LHC. Phys. Rev. D 2011, 83, 114001. [Google Scholar] [CrossRef]
- Albacete, J.L.; Marquet, C. Single inclusive hadron production at RHIC and the LHC from the color glass condensate. Phys. Lett. B 2010, 687, 174–179. [Google Scholar] [CrossRef]
- Durães, F.; Giannini, A.; Goncalves, V.; Navarra, F. Testing the running coupling kT-factorization formula for the inclusive gluon production. Phys. Rev. D 2016, 94, 054023. [Google Scholar] [CrossRef]
- Czech, M.; Szczurek, A. Unintegrated CCFM parton distributions and pion production in proton-proton collisions at high energies. Phys. Rev. C 2005, 72, 015202. [Google Scholar] [CrossRef]
- Czech, M.; Szczurek, A. Unintegrated parton distributions and pion production in pp collisions at RHIC’s energies. J. Phys. G 2006, 32, 1253–1268. [Google Scholar] [CrossRef][Green Version]
- Moriggi, L.; Peccini, G.; Machado, M. Investigating the inclusive transverse spectra in high-energy pp collisions in the context of geometric scaling framework. Phys. Rev. D 2020, 102, 034016. [Google Scholar] [CrossRef]
- McLerran, L.; Praszalowicz, M. Saturation and scaling of multiplicity, mean pT and pT distributions from 200 GeV ≤ ≤ 7 TeV. Acta Phys. Polon. B 2010, 41, 1917–1926. [Google Scholar]
- McLerran, L.; Praszalowicz, M. Saturation and scaling of multiplicity, mean pT and pT distributions from 200 GeV ≤ ≤ 7 TeV—Addendum. Acta Phys. Polon. B 2011, 42, 99–103. [Google Scholar] [CrossRef]
- Praszałowicz, M.; Francuz, A. Geometrical Scaling in Inelastic Inclusive Particle Production at the LHC. Phys. Rev. D 2015, 92, 074036. [Google Scholar] [CrossRef]
- Staśto, A.M.; Golec-Biernat, K.J.; Kwiecinski, J. Geometric scaling for the total γ*p cross section in the low x region. Phys. Rev. Lett. 2001, 86, 596–599. [Google Scholar] [CrossRef] [PubMed]
- De Jager, C.; De Vries, H.; De Vries, C. Nuclear charge and magnetization density distribution parameters from elastic electron scattering. Atom. Data Nucl. Data Tabl. 1974, 14, 479–508, Erratum in Atom. Data Nucl. Data Tabl. 1975, 16, 580–580. [Google Scholar] [CrossRef]
- De Vries, H.; De Jager, C.; De Vries, C. Nuclear charge-density-distribution parameters from elastic electron scattering. At. Data Nucl. Data Tables 1987, 36, 495–536. [Google Scholar] [CrossRef]
- Hulthén, L.; Sugawara, M. The two-nucleon problem. In Structure of Atomic Nuclei/Bau der Atomkerne; Springer: Berlin/Heidelberg, Germany, 1957; Volume 8/39, pp. 1–143. [Google Scholar] [CrossRef]
- McCarthy, J.S.; Sick, I.; Whitney, R.R. Electromagnetic structure of the helium isotopes. Phys. Rev. C 1977, 15, 1396–1414. [Google Scholar] [CrossRef]
- Schnedermann, E.; Sollfrank, J.; Heinz, U.W. Thermal phenomenology of hadrons from 200A GeV S+S collisions. Phys. Rev. C 1993, 48, 2462–2475. [Google Scholar] [CrossRef]
- Abelev, B.I.; Aggarwal, M.M.; Ahammed, Z.; Anderson, B.D.; Arkhipkin, D.; Averichev, G.S.; Bai, Y.; Balewski, J.; Barannikova, O.; Barnby, L.S.; et al. Systematic measurements of identified particle spectra in pp,d+ Au and Au+Au collisions from STAR. Phys. Rev. C 2009, 79, 034909. [Google Scholar] [CrossRef]
- Adams, J.; Adler, C.; Aggarwal, M.M.; Ahammed, Z.; Amonett, J.; Anderson, B.D.; Anderson, M.; Arkhipkin, D.; Averichev, G.S.; Badyal, S.K.; et al. Identified particle distributions in pp and Au+Au collisions at = 200 GeV. Phys. Rev. Lett. 2004, 92, 112301. [Google Scholar] [CrossRef]
- Adamczyk, L.; Adkins, J.K.; Agakishiev, G.; Aggarwal, M.M.; Ahammed, Z.; Ajitan, N.N.; Alekseev, I.; Anderson, D.M.; Aoyama, R.; Aparin, A.; et al. Bulk properties of the medium produced in relativistic heavy-ion collisions from the beam energy scan program. Phys. Rev. C 2017, 96, 044904. [Google Scholar] [CrossRef]
- Abelev, B.; Adam, J.; Adamová, D.; Adare, A.M.; Aggarwal, M.M.; Rinella, G.A.; Agnello, M.; Agocs, A.G.; Agostinelli, A.; Ahammed, Z.; et al. Centrality dependence of π, K, p production in Pb-Pb collisions at = 2.76 TeV. Phys. Rev. C 2013, 88, 044910. [Google Scholar] [CrossRef]
- Acharya, S.; Adamová, D.; Adhya, S.P.; Adler, A.; Adolfsson, J.; Aggarwal, M.M.; Rinella, G.A.; Agnello, M.; Agrawal, N.; Ahammed, Z.; et al. Production of charged pions, kaons, and (anti-)protons in Pb-Pb and inelastic pp collisions at = 5.02 TeV. Phys. Rev. C 2020, 101, 044907. [Google Scholar] [CrossRef]
- Abelev, B.; Adam, J.; Adamová, D.; Adare, A.M.; Aggarwal, M.M.; Rinella, G.A.; Agnello, M.; Agocs, A.G.; Agostinelli, A.; Ahammed, Z.; et al. Multiplicity dependence of pion, kaon, proton and lambda production in p-Pb collisions at = 5.02 TeV. Phys. Lett. B 2014, 728, 25–38. [Google Scholar] [CrossRef]
- Acharya, S.; Adamová, D.; Adler, A.; Adolfsson, J.; Aggarwal, M.M.; Rinella, G.A.; Agnello, M.; Agrawal, N.; Ahammed, Z.; Ahn, S.U.; et al. Multiplicity dependence of light-flavor hadron production in pp collisions at = 7 TeV. Phys. Rev. C 2019, 99, 024906. [Google Scholar] [CrossRef]
- Bearden, I.G.; Bøggild, H.; Boissevain, J.; Dodd, J.; Erazmus, B.; Esumi, S.; Fabjan, C.W.; Ferenc, D.; Fields, D.E.; Franz, A.; et al. Collective expansion in high-energy heavy ion collisions. Phys. Rev. Lett. 1997, 78, 2080–2083. [Google Scholar] [CrossRef]
- Adare, A.; Aidala, C.; Ajitan, N.N.; Akiba, Y.; Alfred, M.; Andrieux, V.; Aoki, K.; Apadula, N.; Asano, H.; Ayuso, C.E.; et al. Pseudorapidity dependence of particle production and elliptic flow in asymmetric nuclear collisions of p + Al, p + Au, d + Au, and 3He + Au at = 200 GeV. Phys. Rev. Lett. 2018, 121, 222301. [Google Scholar] [CrossRef]
- Gu, J.B.; Li, C.Y.; Wang, Q.; Zhang, W.C.; Zheng, H. Collective expansion in pp collisions using the Tsallis statistics. arXiv 2022, arXiv:2201.02091. [Google Scholar] [CrossRef]
- Adare, A.; Afanasiev, S.; Aidala, C.; Ajitan, N.N.; Akiba, Y.; Akimoto, R.; Al-Bataineh, H.; Alexander, J.; Alfred, M.; Al-Ta’ani, H.; et al. Scaling properties of fractional momentum loss of high-pT hadrons in nucleus-nucleus collisions at from 62.4 GeV to 2.76 TeV. Phys. Rev. C 2016, 93, 024911. [Google Scholar] [CrossRef]




| (0–5)% | (0–20)% | ||||||
|---|---|---|---|---|---|---|---|
| T (GeV) | 0.054 | 0.055 | 0.041 | 0.043 | 0.046 | 0.045 | 0.035 |
| 0.579 | 0.587 | 0.620 | 0.558 | 0.588 | 0.601 | 0.608 | |
| 0.223 | 0.301 | 0.528 | 0.223 | 0.223 | 0.288 | 0.357 | |
| (20–40)% | |||||||
| T (GeV) | 0.032 | 0.028 | 0.045 | 0.034 | |||
| 0.457 | 0.508 | 0.557 | 0.473 | ||||
| 0.105 | 0.105 | 0.105 | 0.105 | ||||
Publisher’s Note: MDPI stays neutral with regard to jurisdictional claims in published maps and institutional affiliations. |
© 2022 by the authors. Licensee MDPI, Basel, Switzerland. This article is an open access article distributed under the terms and conditions of the Creative Commons Attribution (CC BY) license (https://creativecommons.org/licenses/by/4.0/).
Share and Cite
Moriggi, L.; Machado, M. Nuclear Modification Factor in Small System Collisions within Perturbative QCD including Thermal Effects. Physics 2022, 4, 787-799. https://doi.org/10.3390/physics4030050
Moriggi L, Machado M. Nuclear Modification Factor in Small System Collisions within Perturbative QCD including Thermal Effects. Physics. 2022; 4(3):787-799. https://doi.org/10.3390/physics4030050
Chicago/Turabian StyleMoriggi, Lucas, and Magno Machado. 2022. "Nuclear Modification Factor in Small System Collisions within Perturbative QCD including Thermal Effects" Physics 4, no. 3: 787-799. https://doi.org/10.3390/physics4030050
APA StyleMoriggi, L., & Machado, M. (2022). Nuclear Modification Factor in Small System Collisions within Perturbative QCD including Thermal Effects. Physics, 4(3), 787-799. https://doi.org/10.3390/physics4030050

