SIR-Solution for Slowly Time-Dependent Ratio between Recovery and Infection Rates
Abstract
:1. Introduction
2. Starting Equations
3. Analytical Adiabatic Approximations
- version I of the adiabatic analytical approximation. Additionally, three slightly different versions of this model are investigated, named versions II to IV.
- Version IV combines versions II and III.
4. Comparison of Analytical and Exact Results in Reduced Time
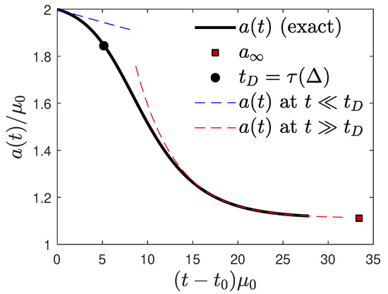
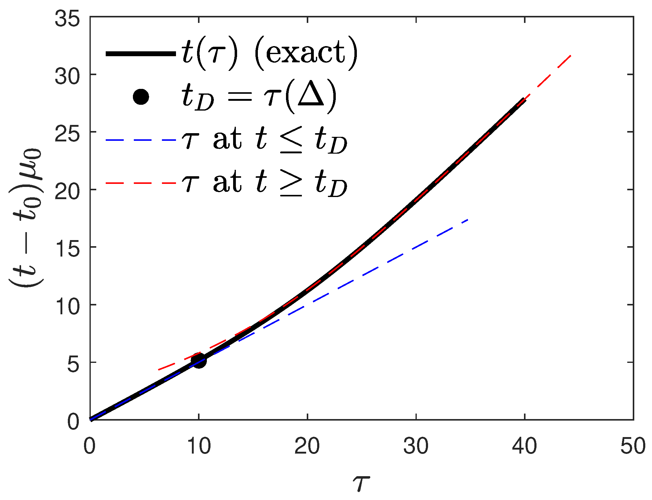
5. Relation between the Reduced and Real Time Dependence of the Infection and Recovery Rate
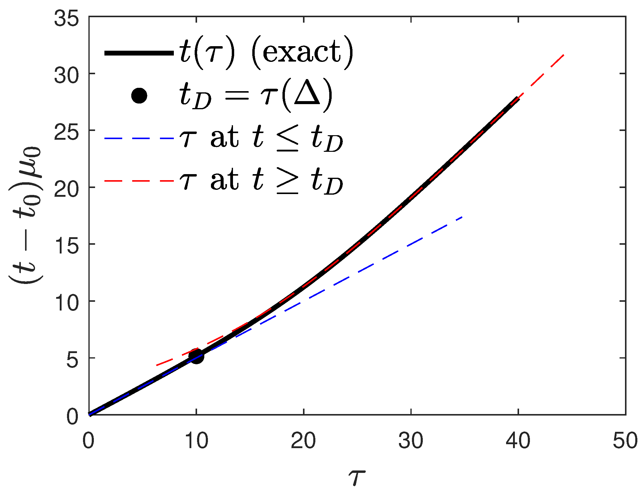
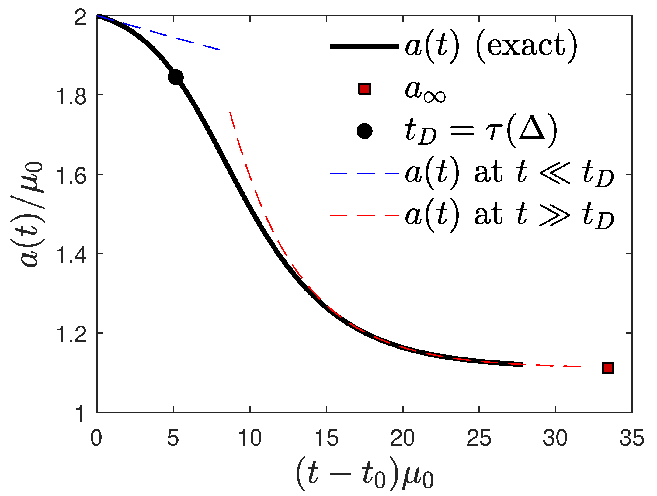
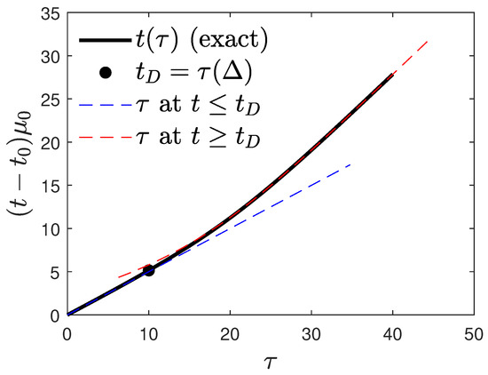
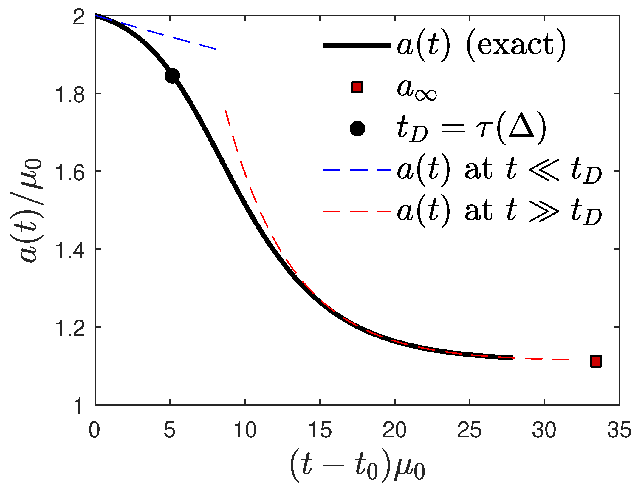
5.1. Case 1: Pre-Specified Infection Rate
5.2. Case 2: Pre-Specified Recovery Rate
5.2.1. Small Real Times
5.2.2. Large Real Times
5.2.3. Variable Recovery Rate
5.3. Real Time Dependence of the Rate of New Infections for a Constant Recovery Rate
6. Summary and Conclusions
Author Contributions
Funding
Data Availability Statement
Conflicts of Interest
References
- Kermack, W.O.; McKendrick, A.G. A contribution to the mathematical theory of epidemics. Proc. R. Soc. A Math. Phys. Eng. Sci. 1927, 115, 700–721. [Google Scholar] [CrossRef] [Green Version]
- Kendall, D.G. Deterministic and stochastic epidemics in closed populations. In Proceedings of the Third Berkeley Symposium on Mathematical Statistics and Probability, Los Angeles, CA, USA, December 1954 and July–August 1955; Neyman, J., Ed.; University of California Press: Berkeley, CA, USA; Los Angeles, CA, USA, 1956; Volume 4, pp. 149–165. Available online: https://digitalassets.lib.berkeley.edu/math/ucb/text/math_s3_v4_article-08.pdf (accessed on 25 April 2022).
- Hethcode, H.W. The mathematics of infectious deseases. SIAM Rev. 2000, 42, 599. [Google Scholar] [CrossRef] [Green Version]
- Keeling, M.J.; Rohani, F. Modeling Infectious Diseases in Humans and Animals; Princeton University Press: Princeton, NJ, USA, 2007. [Google Scholar]
- Schlickeiser, R.; Kröger, M. Analytical modelling of the temporal evolution of epidemics outbreaks accounting for vaccinations. Physics 2021, 3, 386–426. [Google Scholar] [CrossRef]
- Estrada, E. COVID-19 and SARS-CoV-2. Modeling the present, looking at the future. Phys. Rep. 2020, 869, 1–51. [Google Scholar] [CrossRef]
- Harko, T.; Lobo, F.S.N.; Mak, M.K. Exact analytical solution of the susceptible-infected-recovered (SIR) epidemic model and of the SIR model with equal death and birth rates. Appl. Math. Comput. 2014, 236, 184–194. [Google Scholar] [CrossRef] [Green Version]
- Kröger, M.; Schlickeiser, R. Analytical solution of the SIR-model for the temporal evolution of epidemics. Part A: Time-independent reproduction factor. J. Phys. A 2020, 53, 505601. [Google Scholar] [CrossRef]
- Schlickeiser, R.; Kröger, M. Analytical solution of the SIR-model for the temporal evolution of epidemics: Part B. Semi-time case. J. Phys. A 2021, 54, 175601. [Google Scholar] [CrossRef]
- Kröger, M.; Schlickeiser, R. Verification of the accuracy of the SIR model in forecasting based on the improved SIR model with a constant ratio of recovery to infection rate by comparing with monitored second wave data. R. Soc. Open Sci. 2021, 8, 211379. [Google Scholar] [CrossRef]
- Schlickeiser, R.; Kröger, M. Forecast of omicron wave time evolution. COVID 2022, 2, 216–229. [Google Scholar] [CrossRef]
- Lerche, I. Epidemic evolution: Multiple analytical solutions for the SIR model. Preprints 2020, 2020080479. [Google Scholar] [CrossRef]
- Schoner, G.; Haken, H. A systematic elimination procedure for Ito stochastic differential-equations and the adiabatic approximation. Z. Physik B 1987, 68, 89–103. [Google Scholar] [CrossRef]
- Yukalov, V.I. Adiabatic theorems for linear and nonlinear Hamiltonians. Phys. Rev. A 2009, 79, 052117. [Google Scholar] [CrossRef] [Green Version]
- Wentzel, G. Eine Verallgemeinerung der Quantenbedingungen für die Zwecke der Wellenmechanik. Z. Physik 1926, 38, 518–529. [Google Scholar] [CrossRef]
- Kramers, H.A. Wellenmechanik und halbzahlige Quantisierung. Z. Physik 1926, 39, 828–840. [Google Scholar] [CrossRef]
- Brillouin, L. La mécanique ondulatoire de Schrödinger: Une méthode générale de résolution par approximations successives. Compt. Rend. Hebd. Séances Acad. Sci. 1926, 183, 24–26. Available online: http://gallica.bnf.fr/ark:/12148/bpt6k3136h/f24 (accessed on 25 April 2022).
- Jeffreys, H. On certain approximate solutions of linear differential equations of the second order. Proc. Lond. Math. Soc. 1925, 23, 428–436. [Google Scholar] [CrossRef]
- Born, M.; Oppenheimer, R. Zur Quantentheorie der Molekeln. Ann. Phys. 1927, 389, 457–484. [Google Scholar] [CrossRef]
- Schüttler, J.; Schlickeiser, R.; Schlickeiser, J.; Kröger, M. COVID-19 predictions using a Gauss model, based on data from april 2. Physics 2020, 2, 197–212. [Google Scholar] [CrossRef]
- Fricke, L.M.; Glockner, S.; Dreier, M.; Lange, B. Impact of non-pharmaceutical interventions targeted at COVID-19 pandemic on influenza burden—A systematic review. J. Infect. 2021, 82, 1–35. [Google Scholar] [CrossRef]
- Kasting, M.L.; Head, K.J.; Hartsock, J.A.; Sturm, L.; Zimet, G.D. Public perceptions of the effectiveness of recommended non-pharmaceutical intervention behaviors to mitigate the spread of SARS-CoV-2. PLoS ONE 2020, 15, e0241662. [Google Scholar] [CrossRef]
- Ullah, S.; Khan, M.A. Modeling the impact of non-pharmaceutical interventions on the dynamics of novel coronavirus with optimal control analysis with a case study. Chaos Solitons Fractals 2020, 139, 110075. [Google Scholar] [CrossRef] [PubMed]
- Flaxman, S.; Mishra, S.; Gandy, A.; Unwin, H.J.T.; Mellan, T.A.; Coupland, H.; Whittaker, C.; Zhu, H.; Berah, T.; Eaton, J.W.; et al. Estimating the effects of non-pharmaceutical interventions on COVID-19 in Europe. Nature 2020, 584, 257–261. [Google Scholar] [CrossRef] [PubMed]
- Hsiang, S.; Allen, D.; Annan-Phan, S.; Bell, K.; Bolliger, I.; Chong, T.; Druckenmiller, H.; Huang, L.Y.; Hultgren, A.; Krasovich, E.; et al. The effect of large-scale anti-contagion policies on the COVID-19 pandemic. Nature 2020, 584, 262–267. [Google Scholar] [CrossRef] [PubMed]
- Nicola, M.; O’Neill, N.; Sohrabi, C.; Khan, M.; Agha, M.; Agha, R. Evidence based management guideline for the COVID-19 pandemic—Review article. Int. J. Surg. 2020, 77, 206–216. [Google Scholar] [CrossRef] [PubMed]
- Eikenberry, S.E.; Mancuso, M.; Iboi, E.; Phan, T.; Eikenberry, K.; Kuang, Y.; Kostelich, E.; Gumel, A.B. To mask or not to mask: Modeling the potential for face mask use by the general public to curtail the COVID-19 pandemic. Infect. Dis. Model. 2020, 5, 293–308. [Google Scholar] [CrossRef] [PubMed]
- Merler, S.; Ajelli, M.; Fumanelli, L.; Gomes, M.F.C.; Pastore y Piontti, A.; Rossi, L.; Chao, D.L.; Longini, I.M., Jr.; Halloran, M.E.; Vespignani, A. Spatiotemporal spread of the 2014 outbreak of Ebola virus disease in Liberia and the effectiveness of non-pharmaceutical interventions: A computational modelling analysis. Lancet Infect. Dis. 2015, 15, 204–211. [Google Scholar] [CrossRef] [Green Version]
- Ferguson, N.M.; Cummings, D.A.T.; Fraser, C.; Cajka, J.C.; Cooley, P.C.; Burke, D.S. Strategies for mitigating an influenza pandemic. Nature 2006, 442, 448–452. [Google Scholar] [CrossRef]
- Haas, F.; Kröger, M.; Schlickeiser, R. Multi-hamiltonian structure of the epidemics model accounting for vaccinations and a suitable test for the accuracy of its numerical solvers. J. Phys. A 2022. [Google Scholar] [CrossRef]
- Shampine, L.F.; Hosea, M.E. Analysis and implementation of TR-BDF2. Appl. Numer. Math. 1996, 20, 21–37. [Google Scholar]
- Shampine, L.F.; Reichelt, M.W.; Kierzenka, J.A. Solving index-1 DAEs in matlab and simulink. SIAM Rev. 1999, 41, 538–552. [Google Scholar] [CrossRef]
- Schlickeiser, R.; Kröger, M. Epidemics forecast from SIR-modeling, verification and calculated effects of lockdown and lifting of interventions. Front. Phys. 2021, 8, 593421. [Google Scholar] [CrossRef]
- Mechanic, D. Approaches for coordinating primary and specialty care for persons with mental illness. Gen. Hosp. Psych. 1997, 19, 395–402. [Google Scholar] [CrossRef]
- Yuan, E.C.; Alderson, D.L.; Stromberg, S.; Carlson, J.M. Optimal Vaccination in a stochastic epidemic model of two non-interacting populations. PLoS ONE 2015, 10, e0115826. [Google Scholar] [CrossRef] [Green Version]
- Hu, Y.; Zhong, W.; Cen, Y.; Han, S.; Feng, Z.; Zhang, X.; Li, W.; Wang, L.; Li, B.; Issa, S.; et al. Prediction of epidemiological characteristics of vascular cognitive impairment using SIR mathematical model and effect of brain rehabilitation and health measurement system on cognitive function of patients. Res. Phys. 2021, 25, 104331. [Google Scholar] [CrossRef]
- Fiscon, G.; Salvadore, F.; Guarrasi, V.; Garbuglia, A.R.; Paci, P. Assessing the impact of data-driven limitations on tracing and forecasting the outbreak dynamics of COVID-19. Comput. Biol. Med. 2021, 135, 104657. [Google Scholar] [CrossRef]
- d’Andrea, V.; Gallotti, R.; Castaldo, N.; De Domenico, M. Individual risk perception and empirical social structures shape the dynamics of infectious disease outbreaks. PLoS Comput. Biol. 2022, 18, e1009760. [Google Scholar] [CrossRef]
- Jiang, J.Y.; Zhou, Y.; Chen, X.; Jhou, Y.R.; Zhao, L.; Liu, S.; Yang, P.C.; Ahmar, J.; Wang, W. COVID-19 surveiller: Toward a robust and effective pandemic surveillance system basedon social media mining. Philos. Trans. R. Soc. A 2022, 380, 20210125. [Google Scholar] [CrossRef] [PubMed]
- Roman, H.E.; Croccolo, F. Spreading of infections on network models: Percolation clusters and random trees. Mathematics 2021, 9, 3054. [Google Scholar] [CrossRef]
- Baerwolff, G. A local and time resolution of the COVID-19 propagation—A two-dimensional approach for Germany including diffusion phenomena to describe the spatial spread of the COVID-19 pandemic. Physics 2021, 3, 536–548. [Google Scholar] [CrossRef]
- Rusu, A.C.; Emonet, R.; Farrahi, K. Modelling digital and manual contact tracing for COVID-19. Are low uptakes and missed contacts deal-breakers? PLoS ONE 2021, 16, e0259969. [Google Scholar] [CrossRef]
- Kartono, A.; Karimah, S.V.; Wahyudi, S.T.; Setiawan, A.A.; Sofian, I. Forecasting the long-term trends of coronavirus disease 2019 (COVID-19) epidemic using the susceptible-infectious-recovered (SIR) model. Infect. Disease Rep. 2021, 13, 668–684. [Google Scholar] [CrossRef] [PubMed]
- Hynd, R.; Ikpe, D.; Pendleton, T. Two critical times for the SIR model. J. Math. Anal. Appl. 2022, 505, 125507. [Google Scholar] [CrossRef]
- Kavitha, C.; Gowrisankar, A.; Banerjee, S. The second and third waves in India: When will the pandemic be culminated? Eur. Phys. J. Plus 2021, 136, 596. [Google Scholar] [CrossRef] [PubMed]
- Hussain, S.; Madi, E.N.; Khan, H.; Etemad, S.; Rezapour, S.; Sitthiwirattham, T.; Patanarapeelert, N. Investigation of the stochastic modeling of COVID-19 with environmental noise from the analytical and numerical point of view. Mathematics 2021, 9, 3122. [Google Scholar] [CrossRef]







Publisher’s Note: MDPI stays neutral with regard to jurisdictional claims in published maps and institutional affiliations. |
© 2022 by the authors. Licensee MDPI, Basel, Switzerland. This article is an open access article distributed under the terms and conditions of the Creative Commons Attribution (CC BY) license (https://creativecommons.org/licenses/by/4.0/).
Share and Cite
Kröger, M.; Schlickeiser, R. SIR-Solution for Slowly Time-Dependent Ratio between Recovery and Infection Rates. Physics 2022, 4, 504-524. https://doi.org/10.3390/physics4020034
Kröger M, Schlickeiser R. SIR-Solution for Slowly Time-Dependent Ratio between Recovery and Infection Rates. Physics. 2022; 4(2):504-524. https://doi.org/10.3390/physics4020034
Chicago/Turabian StyleKröger, Martin, and Reinhard Schlickeiser. 2022. "SIR-Solution for Slowly Time-Dependent Ratio between Recovery and Infection Rates" Physics 4, no. 2: 504-524. https://doi.org/10.3390/physics4020034
APA StyleKröger, M., & Schlickeiser, R. (2022). SIR-Solution for Slowly Time-Dependent Ratio between Recovery and Infection Rates. Physics, 4(2), 504-524. https://doi.org/10.3390/physics4020034
