Constraining Dense Matter Physics Using f-Mode Oscillations in Neutron Stars
Abstract
1. Introduction
2. Formalism
2.1. Microscopic Description
2.2. Macroscopic Description
2.3. Solving the Mode Pulsation Equations
3. Results
3.1. Testing the Numerical Scheme
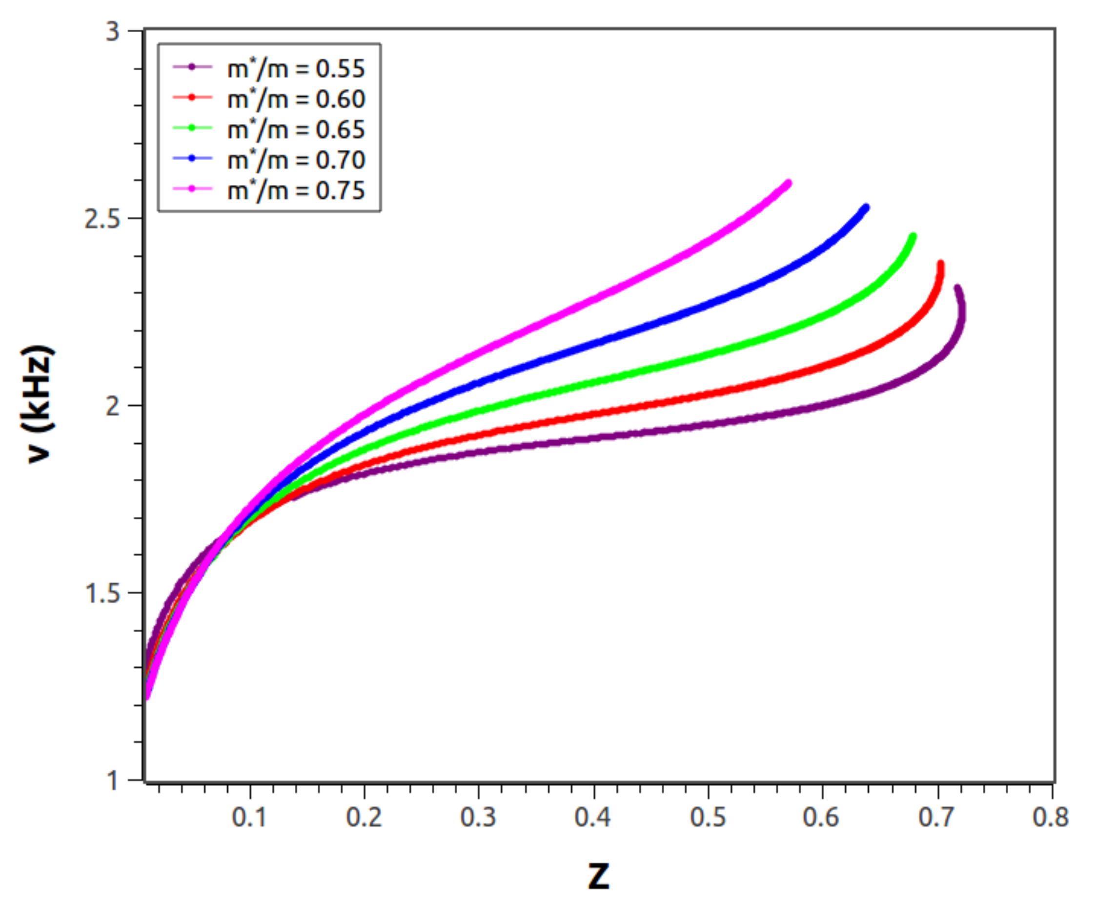
3.2. Sensitivity Study
3.2.1. Calculation of f-Modes
3.2.2. f-Modes and Tidal Deformability
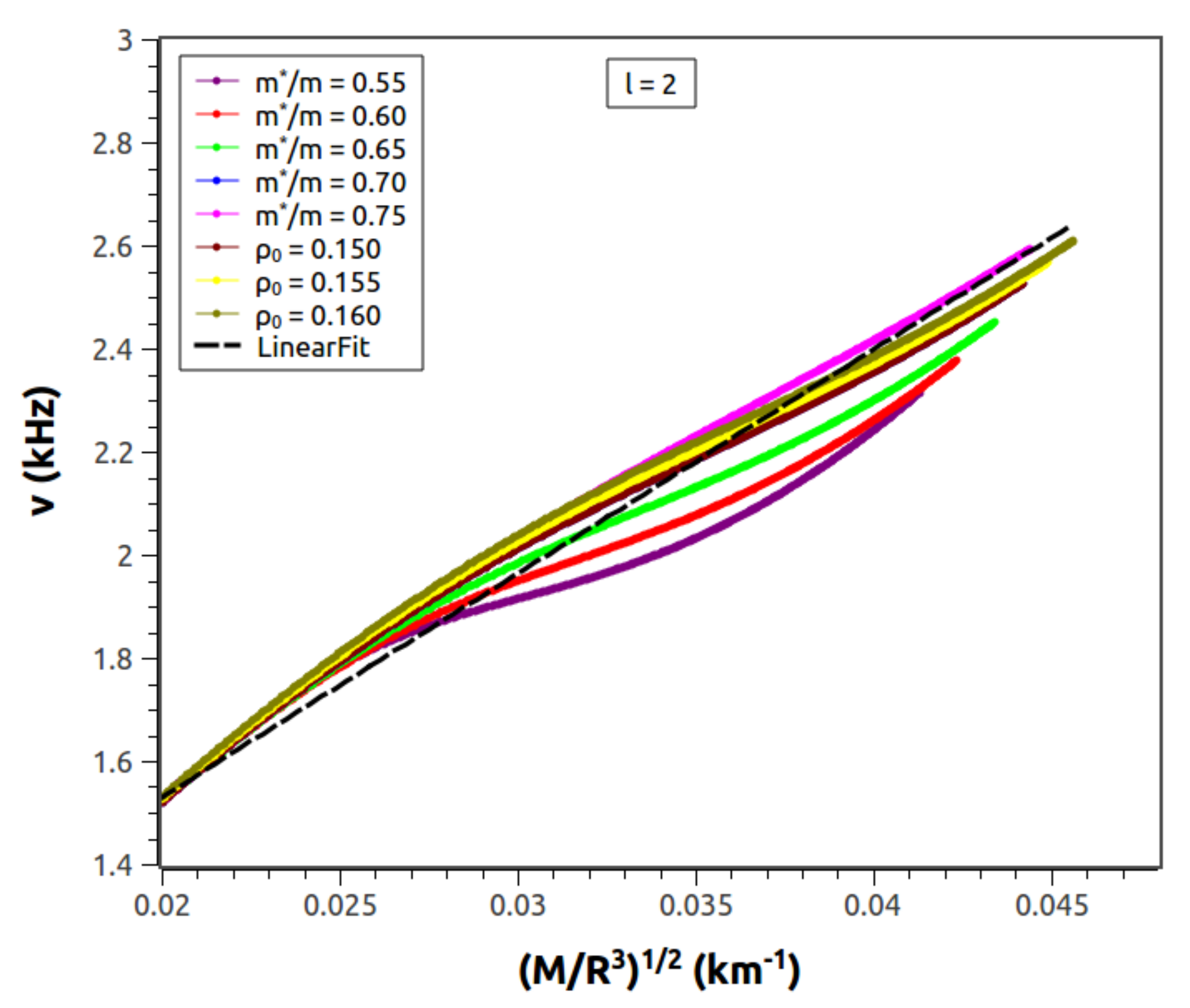
3.3. Asteroseismology Relations for f-Modes
3.3.1. Linear Relation with Average Density
3.3.2. Higher-Order f-Modes
3.3.3. Scaled Universal Relations
4. Discussions
Author Contributions
Funding
Acknowledgments
Conflicts of Interest
References
- Abbott, B.P.; Abbott, R.; Abbott, T.; Acernese, F.; Ackley, K.; Adams, C.; Adams, T.; Addesso, P.; Adhikari, R.; Adya, V.; et al. GW170817: Observation of gravitational waves from a binary neutron star inspiral. Phys. Rev. Lett. 2017, 119, 161101. [Google Scholar] [CrossRef]
- Abbott, B.P.; Abbott, R.; Abbott, T.; Acernese, F.; Ackley, K.; Adams, C.; Adams, T.; Addesso, P.; Adhikari, R.; Adya, V.; et al. Multi-messenger observations of a binary neutron star merger. Astrophys. J. Lett. 2017, 848, L12. [Google Scholar] [CrossRef]
- Oertel, M.; Hempel, M.; Klähn, T.; Typel, S. Equations of state for supernovae and compact stars. Rev. Mod. Phys. 2017, 89, 015007. [Google Scholar] [CrossRef]
- Demorest, P.B.; Pennucci, T.; Ransom, S.M.; Roberts, M.S.E.; Hessels, J.W.T. A Two-solar-mass neutron star measured using Shapiro delay. Nature 2010, 467, 1081. [Google Scholar] [CrossRef]
- Antoniadis, J.; Freire, P.C.C.; Wex, N.; Tauris, T.M.; Lynch, R.S.; van Kerkwijk, M.H.; Kramer, M.; Bassa, C.; Dhillon, V.S.; Dreibe, T.; et al. A Massive pulsar in a compact relativistic binary. Science 2013, 340, 448. [Google Scholar] [CrossRef] [PubMed]
- Miller, M.C.; Lamb, F.K.; Dittmann, A.J.; Bogdanov, S.; Arzoumanian, Z.; Gendreau, K.C.; Guillot, S.; Harding, A.K.; Ho, W.C.G.; Lattimer, J.M.; et al. PSR J0030+0451 Mass and radius from NICER data and implications for the properties of neutron star matter. Astrophys. J. Lett. 2019, 887, L24. [Google Scholar] [CrossRef]
- Arzoumanian, Z.; Gendreau, K.C.; Baker, C.L.; Cazeau, T.; Hestnes, P.; Kellogg, J.W.; Kenyon, S.J.; Kozon, R.P.; Liu, K.-C.; Manthripragada, S.S.; et al. The Neutron Star Interior Composition Explorer (NICER): Mission definition. Int. Soc. Opt. Photonics 2014, 9144, 914420. [Google Scholar]
- Abbott, B.P.; Abbott, R.; Abbott, T.; Acernese, F.; Ackley, K.; Adams, C.; Adams, T.; Addesso, P.; Adhikari, R.; Adya, V.; et al. GW170817: Measurements of neutron star radii and equation of state. Phys. Rev. Lett. 2018, 121, 161101. [Google Scholar] [CrossRef]
- Abbott, B.P.; Abbott, R.; Abbott, T.; Acernese, F.; Ackley, K.; Adams, C.; Adams, T.; Addesso, P.; Adhikari, R.; Adya, V.; et al. Constraining the p-mode-g-mode tidal instability with GW170817. Phys. Rev. Lett. 2019, 122, 061104. [Google Scholar] [CrossRef]
- Bauswein, A.; Stergioulas, N.; Janka, H.-T. Exploring properties of high-density matter through remnants of neutron-star mergers. Eur. Phys. J. A 2016, 52, 56. [Google Scholar] [CrossRef]
- Faber, J.A.; Rasio, F.A. Binary neutron star mergers. Living Rev. Rel. 2012, 15, 8. [Google Scholar] [CrossRef] [PubMed]
- Rezzolla, L.; Zanotti, O. Relativistic Hydrodynamics; Oxford University Press: Oxford, UK, 2013. [Google Scholar]
- Glampedakis, K.; Gualtieri, L. Gravitational waves from single neutron stars: An advanced detector era survey. Astrophys. Space Sci. Libr. 2018, 457, 673. [Google Scholar]
- Andersson, N.; Kokkotas, K.D. Gravitational waves and pulsating stars: What can we learn from future observations? Phys. Rev. Lett. 1996, 77, 4134. [Google Scholar] [CrossRef] [PubMed]
- Andersson, N.; Kokkotas, K.D. Towards gravitational-wave asteroseismology. Mon. Not. R. Astron. Soc. 1998, 299, 1059. [Google Scholar] [CrossRef]
- Schutz, B.F. Asteroseismology of neutron stars and black holes. J. Phys. Conf. Ser. 2008, 118, 012005. [Google Scholar] [CrossRef]
- Wen, D.-H.; Li, B.-A.; Chen, H.-Y.; Zhang, N.-B. GW170817 implications on the frequency and damping time of f-mode oscillations of neutron stars. Phys. Rev. C 2019, 99, 045806. [Google Scholar] [CrossRef]
- Blázquez-Salcedo, J.L.; González-Romero, L.M.; Navarro-Lérida, F. Polar quasi-normal modes of neutron stars with equations of state satisfying the 2M⊙ constraint. Phys. Rev. D 2014, 89, 044006. [Google Scholar] [CrossRef]
- Doneva, D.D.; Gaertig, E.; Kokkotas, K.D.; Krüger, C. Gravitational wave asteroseismology of fast rotating neutron stars with realistic equations of state. Phys. Rev. D 2013, 88, 044052. [Google Scholar] [CrossRef]
- Flores, C.V.; Lugones, G. Gravitational wave asteroseismology limits from low density nuclear matter and perturbative QCD. J. Cosmol. Astropart. Phys. 2018, 8, 46. [Google Scholar] [CrossRef]
- Horowitz, C.J.; Serot, B.D. Self-consistent hartree description of finite nuclei in a relativistic quantum field theory. Nucl. Phys. A 1981, 368, 503. [Google Scholar] [CrossRef]
- Horowitz, C.J.; Piekarewicz, J. Neutron star structure and the neutron radius of 208Pb. Phys. Rev. Lett. 2001, 86, 5647. [Google Scholar] [CrossRef]
- Fattoyev, F.J.; Piekarewicz, J. Relativistic models of the neutron-star matter equation of state. Phys. Rev. C 2010, 82, 025805. [Google Scholar] [CrossRef]
- Chen, W.-C.; Piekarewicz, J. Building relativistic mean field models for finite nuclei and neutron stars. Phys. Rev. C 2014, 90, 044305. [Google Scholar] [CrossRef]
- Hornick, N.; Tolos, L.; Zacchi, A.; Christian, J.-E.; Schaffner-Bielich, J. Relativistic parameterizations of neutron matter and implications for neutron stars. Phys. Rev. C 2018, 98, 065804. [Google Scholar] [CrossRef]
- Glendenning, N.K.; Moszkowski, S.A. Reconciliation of neutron-star masses and binding of the Λ in hypernuclei. Phys. Rev. Lett. 1991, 67, 2414. [Google Scholar] [CrossRef]
- Glendenning, N.K. Compact Stars; Springer: New York, NY, USA, 2000. [Google Scholar]
- Yagi, K.; Yunes, N. I-Love-Q relations in neutron stars and their applications to astrophysics, gravitational waves, and fundamental physics. Phys. Rev. D 2013, 88, 023009. [Google Scholar] [CrossRef]
- Annala, E.; Gorda, T.; Kurkela, A.; Vuorinen, A. Gravitational-wave constraints on the neutron-star-matter equation of state. Phys. Rev. Lett. 2018, 120, 172703. [Google Scholar] [CrossRef] [PubMed]
- Most, E.R.; Weih, L.R.; Rezzolla, L.; Schaffner-Bielich, J. New constraints on radii and tidal deformabilities of neutron stars from GW170817. Phys. Rev. Lett. 2018, 120, 261103. [Google Scholar] [CrossRef]
- De, S.; Finstad, D.; Lattimer, J.M.; Brown, D.A.; Berger, E.; Biwer, C.M. Tidal deformabilities and radii of neutron stars from the observation of GW170817. Phys. Rev. Lett. 2018, 121, 091102. [Google Scholar] [CrossRef]
- Thorne, K.S.; Campolattaro, A. Non-radial pulsation of general-relativistic stellar models. I. Analytic analysis for L >= 2. Astrophys. J. 1967, 149, 591. [Google Scholar] [CrossRef]
- Kokkotas, K.D.; Schmidt, B.G. Quasi-normal modes of stars and black holes. Living Rev. Relativ. 1999, 2, 1. [Google Scholar] [CrossRef]
- Chandrasekhar, S.; Ferrari, V. On the non-radial oscillations of a star. Proc. Roy. Soc. Lond. A 1991, 432, 247. [Google Scholar]
- Detweiler, S.; Lindblom, L. On the nonradial pulsations of general relativistic stellar models. Astrophys. J. 1985, 292, 12. [Google Scholar] [CrossRef]
- Thorne, K.S. Nonradial pulsation of general-relativistic stellar models. III. Analytic and numerical results for neutron stars. Astrophys. J. 1969, 158, 1. [Google Scholar] [CrossRef]
- Thorne, K.S. Nonradial pulsation of general-relativistic stellar models. IV. The weakfield limit. Astrophys. J. 1969, 158, 997. [Google Scholar] [CrossRef]
- Thorne, K.S. Gravitational radiation damping. Phys. Rev. Lett. 1968, 21, 320. [Google Scholar] [CrossRef]
- Sotani, H.; Yasutake, N.; Maruyama, T.; Tatsumi, T. Signatures of hadron-quark mixed phase in gravitational waves. Phys. Rev. D 2011, 83, 024014. [Google Scholar] [CrossRef]
- Cowling, T.G. The Non-radial oscillations of polytropic stars. Mon. Not. R. Astron. Soc 1941, 101, 367. [Google Scholar] [CrossRef]
- Flores, C.V.; Lugones, G. Discriminating hadronic and quark stars through gravitational waves of fluid pulsation modes. Class. Quantum Grav. 2014, 31, 155002. [Google Scholar] [CrossRef]
- Flores, C.V.; Lugones, G. Constraining color flavor locked strange stars in the gravitational wave era. Phys. Rev. C 2017, 95, 025808. [Google Scholar] [CrossRef]
- Tonetto, L.; Lugones, G. Discontinuity gravity modes in hybrid stars: Assessing the role of rapid and slow phase conversions. Phys. Rev. D 2020, 101, 123029. [Google Scholar] [CrossRef]
- Ranea-Sandoval, I.F.; Guilera, O.M.; Mariani, M.; Orsaria, M.G. Oscillation modes of hybrid stars within the relativistic Cowling approximation. J Cosmol. Astropart. Phys. 2018, 12, 31. [Google Scholar] [CrossRef]
- Sotani, H. Gravitational wave asteroseismology for low-mass neutron stars. Phys. Rev. D 2020, 102, 063023. [Google Scholar] [CrossRef]
- Abbott, B.P.; Abbott, R.; Abbott, T.; Acernese, F.; Ackley, K.; Adams, C.; Adams, T.; Addesso, P.; Adhikari, R.; Adya, V.; et al. Model comparison from LIGO–Virgo data on GW170817’s binary components and consequences for the merger remnant. Class. Quantum Grav. 2020, 37, 045006. [Google Scholar] [CrossRef]
- Benhar, O.; Ferrari, V.; Gualtieri, L. Gravitational waves from neutron stars described by modern EOS. AIP Conf. Proc. 2005, 751, 211. [Google Scholar]
- Gaertig, E.; Glampedakis, K.; Kokkotas, K.D.; Zink, B. f-Mode instability in relativistic neutron Stars. Phys. Rev. Lett. 2011, 107, 101102. [Google Scholar] [CrossRef]
- Passamonti, A.; Gaertig, E.; Kokkotas, K.D.; Doneva, D. Evolution of the f-mode instability in neutron stars and gravitational wave detectability. Phys. Rev. D 2013, 87, 084010. [Google Scholar] [CrossRef]
- Lau, H.K.; Leung, P.T.; Lin, L.M. Inferring physical parameters of compact stars from their f-mode gravitational wave signals. Astrophys. J. 2010, 714, 1234. [Google Scholar] [CrossRef]
- Alvarez-Castillo, D.E.; Ayriyan, A.; Barnaföldi, G.G.; Grigorian, H.; Pósfay, P. Studying the parameters of the extended σ-ω model for neutron star matter. Eur. Phys. Spec. Top. 2020, 229, 3615. [Google Scholar] [CrossRef]
- Alvarez-Castillo, D.E.; Ayriyan, A.; Barnaföldi, G.G.; Pósfay, P. Estimating the values and variations of Neutron Star observables by dense nuclear matter properties. Phys. Part. Nucl. 2020, 51, 725. [Google Scholar] [CrossRef]
- Schneider, A.S.; Roberts, L.F.; Ott, C.D.; O’Connor, E. Equation of state effects in the core collapse of a 20-M⊙ star. Phys. Rev. C 2019, 100, 055802. [Google Scholar] [CrossRef]













| Model | /m | |||||
|---|---|---|---|---|---|---|
| [fm ] | [MeV] | [MeV] | [MeV] | [MeV] | ||
| GM1 | 0.153 | −16.3 | 300 | 32.5 | 93.7 | 0.70 |
| GM3 | 0.153 | −16.3 | 240 | 32.5 | 89.7 | 0.78 |
| RMF fixed | 0.16 | −16.0 | 240 | 32 | 60 | 0.60 |
| variation | [0.15, 0.16] | [−16.5, −15.5] | [240, 280] | [30, 32] | [50, 60] | [0.55, 0.75] |
Publisher’s Note: MDPI stays neutral with regard to jurisdictional claims in published maps and institutional affiliations. |
© 2021 by the authors. Licensee MDPI, Basel, Switzerland. This article is an open access article distributed under the terms and conditions of the Creative Commons Attribution (CC BY) license (https://creativecommons.org/licenses/by/4.0/).
Share and Cite
Jaiswal, S.; Chatterjee, D. Constraining Dense Matter Physics Using f-Mode Oscillations in Neutron Stars. Physics 2021, 3, 302-319. https://doi.org/10.3390/physics3020022
Jaiswal S, Chatterjee D. Constraining Dense Matter Physics Using f-Mode Oscillations in Neutron Stars. Physics. 2021; 3(2):302-319. https://doi.org/10.3390/physics3020022
Chicago/Turabian StyleJaiswal, Sukrit, and Debarati Chatterjee. 2021. "Constraining Dense Matter Physics Using f-Mode Oscillations in Neutron Stars" Physics 3, no. 2: 302-319. https://doi.org/10.3390/physics3020022
APA StyleJaiswal, S., & Chatterjee, D. (2021). Constraining Dense Matter Physics Using f-Mode Oscillations in Neutron Stars. Physics, 3(2), 302-319. https://doi.org/10.3390/physics3020022

