Interpretation of Quantum Mechanics with Indefinite Norm
Abstract
1. Introduction
| proposed by | T-parity | T-parity | norm | ||
| Schroedinger | even | odd | , positive | ||
| Dirac-Pauli | odd | even | , indefinite |
2. Quantum Mechanics Bypassing Probabilities
employs probability only if is a generic state. If instead is an eigenstate of the operator to be measured the probability is unity, which means certainty: The Born rule reduces to the following deterministic statement:“when an observable corresponding to a self-adjoint operator is measured in a state , the result is an eigenvalue of with probability ”
“when an observable corresponding to a self-adjoint operator is measured in an eigenstate of , the result is the eigenvalue ”.
2.1. Repeated States
2.2. Repeated Measurements
- (C)
- Coefficient convergence. Figure 1 shows that the height of the peak decreases with n, so both sequence of coefficients and tend to zero as . This would be exacerbated by choosing , while would make all coefficients divergent as . Given that we want to compute eigenvectors and eigenvalues, the normalization of states is irrelevant (as usual in quantum mechanics), so the right notion of convergence is projective:which is satisfied. In general this applies to a set of , rather than a single k.
- (N)
3. Interpreting Indefinite-Norm Quantum Mechanics
3.1. Observables That Commute with One Ghost Operator
- (N)
- Norm convergence. The indefinite-norm averages of projectors considered in Equation (15) are now given byThereby asymptotically has zero projective norm,Decomposing in terms of eigenvalues and projectors , norm-converges to an eigenvector of with eigenvalue .
- (C)
- Coefficient convergence. The discussion in Section 2 about the algebraic properties of remains unaltered (in particular Equations (3), (9) and (11)), up to one new issue: The basis coefficients of can get big and diverge even when computing high powers of a unit-norm state such as . Since the overall normalization of states has no physical meaning, we renormalise the coefficients of , for example setting the biggest coefficient to unity (as already done in Equation (13) to deal with positive norm and ). Following this intuitive procedure one finds that for large n the coefficients of again projectively converge to a narrow bell peaked at the same as in Equation (8),and the coefficients of converge to those of . Thereby becomes eigenvector of with eigenvalue .
3.2. Observables That Don’t Commute with Any Ghost Operator
3.3. Observables that Commute with Many Ghost Operators
4. Examples
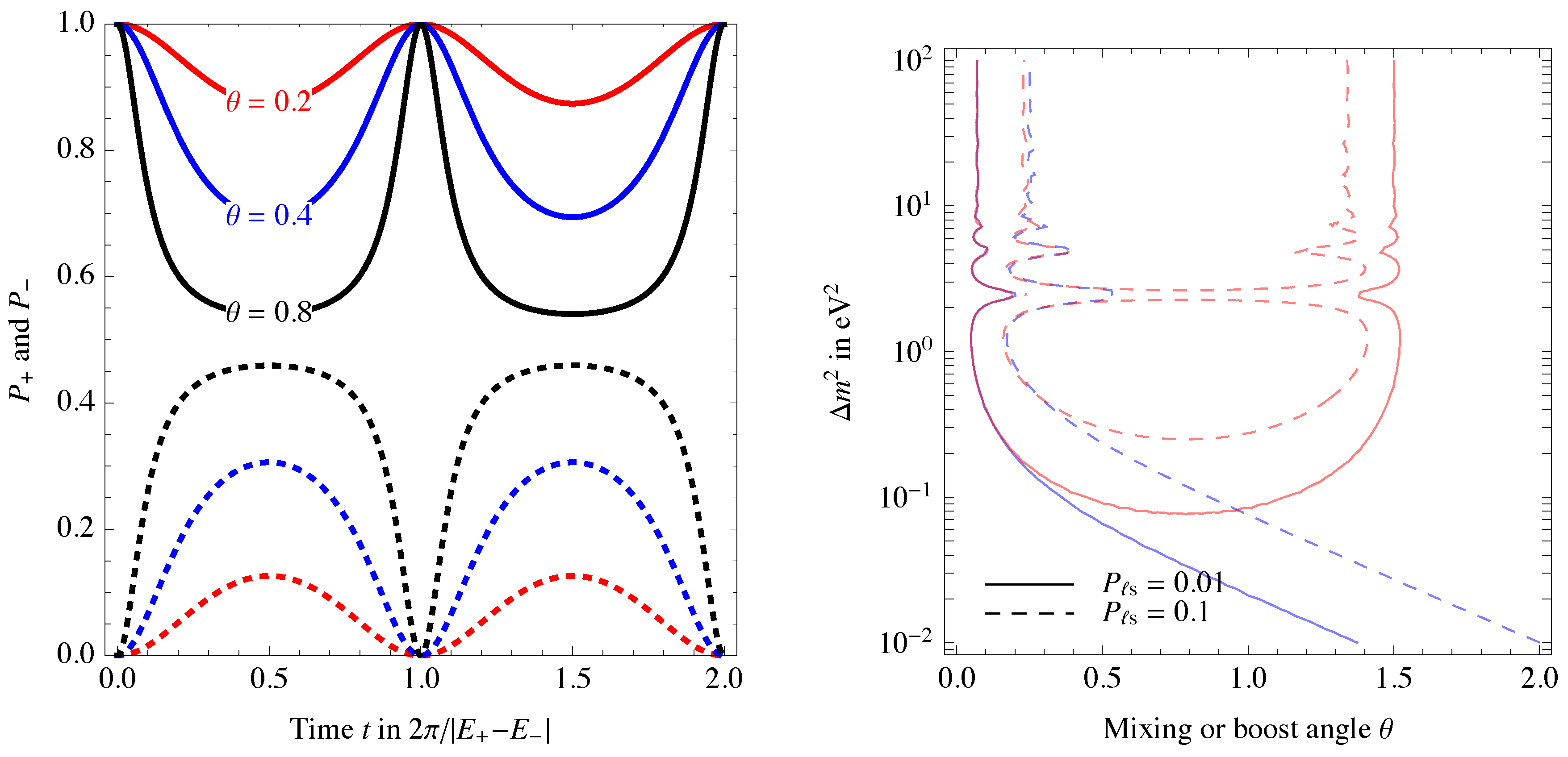
4.1. The Indefinite-Norm Two-State System
4.2. The Indefinite-Norm Free Harmonic Oscillator
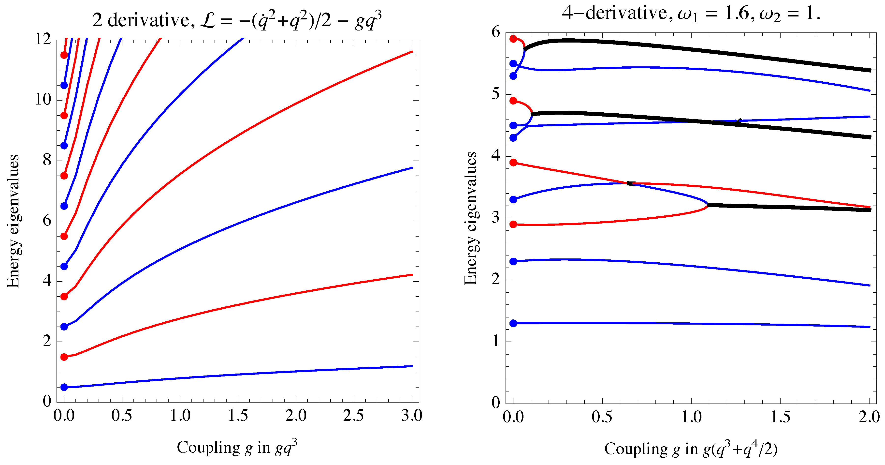
4.3. The 4-Derivative Oscillator
5. Conclusions
- (1)
- If Equation (37) has a unique solution, allows to define a positive norm and a probabilistic interpretation of , which agrees with the interpretation suggested by repeated measurements. As discussed in Section 2, the solution is unique when the eigenvectors of define a unique basis: The eigenvectors must lie away from the null-cone of configuration space, and the eigenvalues must be non-degenerate.
- (2)
- If no ghost operator commutes with , we cannot associate any positive norm to and no interpretation. In Section 3.2 we show that this happens for operators with pairs of eigenvectors along the null-cone of configuration space. In such a case commutes with norm-preserving U(1,1) ‘boosts’ in the 2-dimensional subspace, given that ‘boosts’ act multiplicatively along the null-cone. Thereby such operators fail to define a basis in configuration space. In more physical terms, they correspond to measurement apparata that cannot split states into events. This is the case of the position operator in Pauli-Dirac coordinate representation.
- (3)
- If Equation (37) has multiple solutions, the interpretation of is ambiguous. This is the case of degenerate operators, which have the same eigenvalue for a positive-norm state and a negative-norm state . This describes measurements that do not discriminate from , as they manifest as the same macroscopic state. As discussed in Section 3.3, the Dirac-Pauli operator belongs to this category: it does not discriminate from . In such a case the ambiguity is removed by imposing that acts as translations, dictating the interpretation of .
Funding
Acknowledgments
Conflicts of Interest
References
- Stelle, K.S. Renormalization of Higher Derivative Quantum Gravity. Phys. Rev. D 1977, 16, 953–969. [Google Scholar] [CrossRef]
- Salvio, A.; Strumia, A. Agravity. J. High Energy Phys. 2014, 1406, 80. [Google Scholar] [CrossRef]
- Salvio, A.; Strumia, A. Agravity up to infinite energy. Eur. Phys. J. C 2018, 78, 124. [Google Scholar] [CrossRef]
- Ostrogradski, M. Mémoire sur les équations différentielles relatives au problème des isopérimètres. Mem. Acad. St. Petersbourg VI 1850, 4, 385–517. [Google Scholar]
- Pais, A.; Uhlenbeck, G.E. On Field theories with nonlocalized action. Phys. Rev. 1950, 79, 145–165. [Google Scholar] [CrossRef]
- Pagani, E.; Tecchiolli, G.; Zerbini, S. On the Problem of Stability for Higher Order Derivatives: Lagrangian Systems. Lett. Math. Phys. 1987, 14, 311–319. [Google Scholar] [CrossRef]
- Smilga, A.V. Ghost-free higher-derivative theory. Phys. Lett. B 2005, 632, 433–438. [Google Scholar] [CrossRef]
- Stephen, N.G. On the Ostrogradski instability for higher-order derivative theories and a pseudo-mechanical energy. J. Sound Vib. 2008, 310, 729–739. [Google Scholar] [CrossRef]
- Smilga, A.V. Comments on the dynamics of the Pais-Uhlenbeck oscillator. SIGMA 2008, 5, 017. [Google Scholar] [CrossRef]
- Ilhan, I.B.; Kovner, A. Some Comments on Ghosts and Unitarity: The Pais-Uhlenbeck Oscillator Revisited. Phys. Rev. D 2013, 88, 044045. [Google Scholar] [CrossRef]
- Pavšič, M. Stable Self-Interacting Pais-Uhlenbeck Oscillator. Mod. Phys. Lett. A 2013, 28, 1350165. [Google Scholar] [CrossRef]
- Peter, P.; Salles, F.D.O.; Shapiro, I.L. On the ghost-induced instability on de Sitter background. Phys. Rev. D 2018, 97, 064044. [Google Scholar] [CrossRef]
- Dirac, P.A.M. The Physical Interpretation of Quantum Mechanics. Bakerian Lecture. 1942. Available online: http://rspa.royalsocietypublishing.org/content/180/980/1 (accessed on 5 December 2018).
- Pauli, W. On Dirac’s New Method of Field Quantization. Rev. Mod. Phys. 1943, 15, 175–207. [Google Scholar] [CrossRef]
- Salvio, A.; Strumia, A. Quantum mechanics of 4-derivative theories. Eur. Phys. J. C 2016, 76, 227. [Google Scholar] [CrossRef] [PubMed]
- Everett, H. Relative state formulation of quantum mechanics. Rev. Mod. Phys. 1957, 29, 454–462. [Google Scholar] [CrossRef]
- Hartle, J.B. Quantum mechanics of individual systems. Am. J. Phys. 1968, 36, 704–712. [Google Scholar] [CrossRef]
- Farhi, E.; Goldstone, J.; Gutmann, S. How probability arises in quantum mechanics. Ann. Phys. 1989, 192, 368–382. [Google Scholar] [CrossRef]
- Squires, E.J. On an alleged ‘proof’ of the quantum probability law. Phys. Lett. A 1990, 145, 67–68. [Google Scholar] [CrossRef]
- Arkani-Hamed, N. Fundamental Physics, Cosmology and the Landscape. TASI Lecture. 2007. Available online: https://physicslearning.colorado.edu/tasi/tasi_2007/tasi_2007.htm (accessed on 5 December 2018).
- Bender, C.M.; Brody, D.C.; Jones, H.F. Complex extension of quantum mechanics. Phys. Rev. Lett. 2002, 89, 270401. [Google Scholar] [CrossRef]
- Bender, C.M. Making sense of non-Hermitian Hamiltonians. Rept. Prog. Phys. 2007, 70, 947. [Google Scholar] [CrossRef]
- Bender, C.M.; Mannheim, P.D. No-ghost theorem for the fourth-order derivative Pais-Uhlenbeck oscillator model. Phys. Rev. Lett. 2007, 100, 110402. [Google Scholar] [CrossRef] [PubMed]
- Bender, C.M.; Mannheim, P.D. Exactly solvable PT-symmetric Hamiltonian having no Hermitian counterpart. Phys. Rev. D 2008, 78, 025022. [Google Scholar] [CrossRef]
- Japaridze, G.S. Space of state vectors in PT symmetrical quantum mechanics. J. Phys. A 2001, 35, 1709–1718. [Google Scholar] [CrossRef]
- Bender, C.M.; Brody, D.C.; Jones, H.F.; Meister, B.K. Faster than Hermitian quantum mechanics. Phys. Rev. Lett. 2006, 98, 040403. [Google Scholar] [CrossRef] [PubMed]
- Gunther, U.; Samsonov, B.F. Non-unitary operator equivalence classes, the PT-symmetric brachistochrone problem and Lorentz boosts. Phys. Rev. A 2007, 78, 042115. [Google Scholar] [CrossRef]
- Mostafazadeh, A. Exact PT symmetry is equivalent to Hermiticity. J. Phys. A 2003, 36, 7081–7092. [Google Scholar] [CrossRef]
- Mostafazadeh, A. Pseudo-Hermitian Representation of Quantum Mechanics. Int. J. Geom. Meth. Mod. Phys. 2008, 7, 1191–1306. [Google Scholar] [CrossRef]
- Mostafazadeh, A. Conceptual Aspects of PT-Symmetry and Pseudo-Hermiticity: A status report. Phys. Scr. 2010, 82, 038110. [Google Scholar] [CrossRef]
- Raidal, M.; Veermäe, H. On the Quantisation of Complex Higher Derivative Theories and Avoiding the Ostrogradsky Ghost. Nucl. Phys. B 2017, 916, 607–626. [Google Scholar] [CrossRef]
- Lee, Y.-C.; Hsieh, M.-H.; Flammia, S.T.; Lee, R.-K. Local PT symmetry violates the no-signaling principle. Phys. Rev. Lett. 2014, 112, 130404. [Google Scholar] [CrossRef]
- Croke, S. PT-symmetric Hamiltonians and their application to quantum information. Phys. Rev. A 2015, 91, 052113. [Google Scholar] [CrossRef]
- Japaridze, G.; Pokhrel, D.; Wang, X.-Q. No-signaling principle and Bell inequality in PT-symmetric quantum mechanics. J. Phys. A 2017, 50, 185301. [Google Scholar] [CrossRef]
- Aguilar-Arevalo, A.A.; Brown, B.C.; Bugel, L.; Cheng, G.; Conrad, J.M.; Cooper, R.L.; Dharmapalan, L.; Diaz, A.; Djurcic, Z.; Finley, D.A.; et al. Significant Excess of Electron-Like Events in the MiniBooNE Short-Baseline Neutrino Experiment. Phys. Rev. Lett. 2018, 121, 221801. [Google Scholar] [CrossRef]
- Dentler, M.; Hernández-Cabezudo, A.; Kopp, J.; Machado, P.; Maltoni, M.; Martinez-Soler, I.; Schwetz, T. Updated Global Analysis of Neutrino Oscillations in the Presence of eV-Scale Sterile Neutrinos. arXiv, 2018; arXiv:1803.10661. [Google Scholar]
- Kim, Y.S.; Noz, M.E. Covariant Harmonic Oscillators and the Quark Model; Springer: Dordrecht, The Netherlands, 1988; pp. 255–264. [Google Scholar]
- Cangemi, D.; Jackiw, R.; Zwiebach, B. Physical states in matter coupled dilaton gravity. Ann. Phys. 1995, 245, 408–444. [Google Scholar] [CrossRef]
- Benedict, E.; Jackiw, R.; Lee, H.J. Functional Schrodinger and BRST quantization of (1+1)-dimensional gravity. Phys. Rev. D 1996, 54, 6213–6225. [Google Scholar] [CrossRef]
- Pavšič, M. PseudoEuclidean signature harmonic oscillator, quantum field theory and vanishing cosmological constant. Phys. Lett. A 1998, 254, 119–125. [Google Scholar]
- Pavšič, M. Quantum Field Theories in Spaces with Neutral Signatures. J. Phys. Conf. Ser. 2012, 437, 012006. [Google Scholar] [CrossRef]
- Woodard, R.P. Avoiding dark energy with 1/r modifications of gravity. Lect. Notes Phys. 2006, 720, 403–433. [Google Scholar]
- Pavšič, M. Pais-Uhlenbeck oscillator and negative energies. Int. J. Geom. Meth. Mod. Phys. 2016, 13, 1630015. [Google Scholar] [CrossRef]
- Lee, T.D.; Wick, G.C. Negative Metric and the Unitarity of the S Matrix. Nucl. Phys. B 1969, 9, 209–243. [Google Scholar] [CrossRef]
- Anselmi, D.; Piva, M. Perturbative unitarity of Lee-Wick quantum field theory. Phys. Rev. D 2017, 96, 045009. [Google Scholar] [CrossRef]
- Peres, A.; Terno, D.R. Quantum information and relativity theory. Rev. Mod. Phys. 2002, 76, 93–123. [Google Scholar] [CrossRef]



© 2018 by the author. Licensee MDPI, Basel, Switzerland. This article is an open access article distributed under the terms and conditions of the Creative Commons Attribution (CC BY) license (http://creativecommons.org/licenses/by/4.0/).
Share and Cite
Strumia, A. Interpretation of Quantum Mechanics with Indefinite Norm. Physics 2019, 1, 17-32. https://doi.org/10.3390/physics1010003
Strumia A. Interpretation of Quantum Mechanics with Indefinite Norm. Physics. 2019; 1(1):17-32. https://doi.org/10.3390/physics1010003
Chicago/Turabian StyleStrumia, Alessandro. 2019. "Interpretation of Quantum Mechanics with Indefinite Norm" Physics 1, no. 1: 17-32. https://doi.org/10.3390/physics1010003
APA StyleStrumia, A. (2019). Interpretation of Quantum Mechanics with Indefinite Norm. Physics, 1(1), 17-32. https://doi.org/10.3390/physics1010003

