Abstract
New tetrasubstituted porphyrin tin complexes (5–14) were prepared in two different ways: In the first preparation procedure, tin porphyrin complexes were prepared by a direct reaction of butyltin trichloride and dibutyltin dichloride with tetra/tetrakis(4-X-phenyl)porphyrins (X = H, F, Cl, Br, CF3, CH3O, and (CH3)2N). In the second procedure, the same tin porphyrin complexes were synthesized from the reaction of butyltin trichloride and dibutyltin dichloride with lithium porphyrinato derivatives. These novel tin complexes were characterized by elemental analysis, 1H, 13C NMR, FTIR, UV-Vis spectroscopy, and mass spectrometry. Among these complexes, tin porphyrin containing methoxy group [Bu2Sn(TMOPP)] was tested as an adsorbent to remove tetracycline antibiotics from wastewater. The TTC antibiotic removal efficiency (R%) of this complex was measured using UV-Vis spectroscopy. After 120 min of equilibration, the final R% and adsorption capacity (qt) were measured at 60.15% and 18.10 mg/g, respectively.
1. Introduction
In recent years, different strategies have been studied to functionally modify the porphyrin core to make it more suitable for use in applications such as catalysis [1,2], photo sensors in photodynamic therapy (PDT) [3,4], solar cells [5], electrochemical devices [6], optoelectronic gates [7], biomimetic modeling studies [8,9], and capturing both precious and toxic ions [10,11]. Recently, there have been rapid developments in the pharmaceutical industry to prevent negative developments in the health of living organisms, and a wide variety of new generation antibiotics have been developed and put into use [12]. These antibiotics, whose use is increasing day by day, indirectly enter the waste ecosystem in large quantities, not only posing potential threats to human health but also posing a threat to aquatic organisms [13]. If some of these antibiotics remain unexcreted in the living body for a long time and accumulate in the natural environment, they can harm aquatic habitats [14], microbial soil [15], plants [16], and microorganisms [17,18]. Tetracycline (TTC), a broad-spectrum antibiotic widely used by all living organisms [19], is the second most commonly produced and used antibiotic. Since TTC is chemically very stable and has low solubility, it is one of the most important antibiotics to be removed from the environment [20,21].
While photodynamic and degradation studies of tin(IV) porphyrin derivatives are sufficiently available in the literature [22], there are not enough studies on adsorption properties. A limited number of adsorption studies have been conducted in recent years, which can be summarized as follows. One of these studies is covalently grafting porphyrin on SnO2 nanorods for tetracycline removal from real pharmaceutical wastewater by Yangqing et al. [23]. Removal rates in deionized water, tap water, and real wastewater are 90.5%, 72.2%, and 85%, respectively. The result was almost 13 times higher than that of pristine SnO2 nanorods in deionized water. Shee and Kim synthesized the compound [Sn(H2PO4)2(TPyHP)](H2PO4)4∙6H2O, an ionic tin porphyrin complex, from the reaction of [Sn(OH)2TPyP] with a dilute aqueous solution of polyprotic acid (H3PO4) [24]. The photocatalytic degradation efficiency of tetracycline antibiotic by [Sn(H2PO4)2(TPyHP)](H2PO4)4∙6H2O was 75% within 60 min (rate constant = 0.018 min−1). A novel zinc-porphyrin-based microporous organic network (Zn-MONs) based on zinc-porphyrins has been synthesized via a facile solvothermal route for the detection of tetracyclines (TTCs). Zn-MONs, with their network structure having a significant specific surface area and appropriately sized pores, enabled TCCs to increase on the surface, leading to their successful removal from wastewater [25]. It is important to develop tin porphyrin compounds that do not have toxic effects on the health of living organisms, like zinc below a certain amount [26]. For this purpose, it will be interesting to synthesize new tin porphyrin compounds and examine their adsorption activities. In the known tin complexes, the Sn(IV) center is usually six-coordinate with two axial ligands, such as carbanions, aryloxides, carboxylates, and halides [27,28,29,30]. We have previously published a limited number of butyltinporphyrin compounds and their catalytic activity over ring opening polymerization (ROP) of ε-caprolactone [31].
However, there are not enough studies about dibutyltin dichloride and butyltin trichloride with various tetrakis(4-substitutedphenyl)porphyrins. It is also important to prepare tin porphyrins containing two covalently linked butyl groups axially linked to the tin center to compare their spectroscopic and adsorption properties.
The first goal of the present work was to prepare and characterize the butyltin(IV) and dibutyltin(IV) complexes of tetraphenylporphyrins (TPPs) substituted with F, Cl, Br, CF3, CH3O, and (CH3)2N groups. The second goal was to assess their use as adsorbents to remove tetracycline antibiotics from wastewater.
2. Experimental Section
2.1. Materials and Instruments
Butyltin trichloride (95%, Sigma-Aldrich Chemie GmbH, Taufkirchen, Germany), dibutyltin dichloride (96%, Sigma-Aldrich), lithium bis(trimethylsilyl)amide (97%, Sigma-Aldrich), pyrrole (97%, Merck, Hohenbrunn, Germany), propionic acid (99%, Merck), 3-glycidyloxypropyltrimethoxysilane (GPTMS, 98%, Sigma-Aldrich), 4-fluorobenzaldehyde (98%, Sigma-Aldrich), 4-bromobenzaldehyde (99%, Sigma-Aldrich), 4-chlorobenzaldehyde (97%, Sigma-Aldrich), 4-trifluoromethybenzaldehyde (Merck), 4-methoxybenzaldehyde (98%, Sigma-Aldrich), and 4-dimethylaminobenzaldehyde (98%, Merck) were used as received. Tetrahydrofuran (THF) (99.9%, Merck), methanol (99.9%, Merck), and toluene (99.7%, Sigma-Aldrich) were dried over activated 4 Å molecular sieves before use.
Tin porphyrin complexes were characterized by elemental analysis, 1HNMR, 13C-NMR spectroscopy, mass spectrometry, FTIR, and UV-Vis spectroscopy. In the nuclear magnetic measurements of porphyrin compounds, 1HNMR (Bruker DPX, 400 MHz, Bruker Corporation, Billerica, MA, USA) and 13C-NMR spectroscopy (Bruker DPX, 100 MHz) were used. The infrared spectra of tin porphyrin compounds were recorded on a Bruker Tensor 27 FTIR spectrophotometer using a single reflection ATR universal plate of diamond crystal. The wavenumbers were in the range from 400 to 4000 cm−1. The elemental analysis was carried out with a LECO CHNS-932 elemental analyzer (LECO Corporation, St. Joseph, MI, USA). Bruker Microflex LT MALDI-TOF MS and Waters SYNAPT HRMS (ESI±) (Waters Corporation, Milford, MA, USA) systems were used to obtain the molecular weight of BuSn(TXPP)Cl and Bu2Sn(TXPP) complexes. In the characterization of porphyrin derivatives and their adsorption studies, UV-Vis measurements were carried out by an Agilent-Cary (Santa Clara, CA, USA) 60 UV-Vis spectrophotometer.
2.2. Preparation of 5,10,15,20-Tetrakis(4-methoxyphenyl)porphyrin (TMOPPH2)
TMOPPH2 was prepared according to the reported procedure by the reaction of 4-methoxybenzaldehyde (2.72 g, 20 mmol) with pyrrole (1.34 g, 20 mmol) in 20 mL of hot propionic acid [32,33]. The reaction mixture was stirred for 30 min at reflux temperature. Then, the mixture was cooled at room temperature and filtered. The filtrate was washed with methanol and hot distilled water and then dried in a furnace. The purple product was obtained with a yield of 21%. Elemental analysis (C48H38O4N4, Mw = 734.8560 g/mol), Calcd.: C, 78.45; H, 5.21; N, 7.62%. Found: C, 77.32; H, 5.42; N, 7.32%. MALDI-MS (m/z): Calcd.: 734.2893 Da for [C48H38O4N4], Found: 735.2971 [M + H]+. 1H NMR (400 MHz; CDCl3; Me4Si): δH, ppm 8.89 (s, 8H, porphyrin), 8.14 (s, 8H, Ph), 7.32 (s, 8H, Ph), 4.12 (s, 12H, OCH3) −2.72 (s, 2H, NH, porphyrin) (In Figure S1, it is marked which proton comes where). 13C NMR (400 MHz; CDCl3; Me4Si): δ, ppm 161.69, 154.83, 146.27, 140.27, 131.12, 128.10, 124.31, 114.23, 109.99 (porphyrin), 55.84 (OCH3). FTIR: ν, cm−1 3318 (N-H, secondary amine), 3030 (C-H, phenyl), 2956 (asym C-H, sp3), 2833 (sym C-H, sp3), 1604 (C=C), 1573, (C=N), 1469 (C-H), 1352 (C-N), 1100 (C-O), 966 (C-H, β-pyrrole), 788 (pyrrole).
The other porphyrin ligands of 5,10,15,20-tetraphenylporphyrin (TPPH2), 5,10,15,20-tetrakis(4-bromophenyl)porphyrin (TBPPH2), 5,10,15,20-tetrakis(4-chlorophenyl)porphyrin (TCPPH2), 5,10,15,20-tetrakis(4-fluorophenyl)porphyrin (TFPPH2), 5,10,15,20-tetrakis(4-trifluoromethylphenyl)porphyrin (TFMPPH2), and 5,10,15,20-tetrakis(4-dimethyaminophenyl)porphyrin (TMAPPH2) were prepared and characterized with the same procedure above (Section 2.2).
2.3. Preparation of Butyl(5,10,15,20-tetrakis(4-methoxyphenyl)porphyrinato)tin(IV) Chloride, [Bu(TMOPP)SnCl]
Butyltin trichloride (0.073 g, 0.24 mmol) was added gradually to a solution of TMOPPH2 (0.12 g, 0.16 mmol) in 5 mL of THF. The reaction mixture was stirred for 3 h at reflux temperature under a nitrogen atmosphere. Then, the volatile parts were removed by vacuum evaporation at 40 °C and dried. The product was washed with hexane and then dried by vacuum evaporation. The product was obtained with a yield of 48%. Elemental analysis (C52H45ClO4N4Sn, Mw = 944.1160 g/mol), Calcd.: C, 66.15; H, 4.80; N 5.93%. Found: C, 65.85; H, 4.63; N, 5.99%. MALDI-MS (m/z): Calcd.: 944.2151 Da for [C4H9(TMOPP)SnCl] Found: 945.2230 [M + H]+, 735.2971 Da for [TMOPP + H]+. 1H NMR (400 MHz; CDCl3; Me4Si): δH, ppm 8.53 (brd, 8H, porphyrin), 7.57 (brd, 8H, Ph), 7.32 (brd, 8H, Ph), 4.19 (12H, OCH3), 1.45 (m, 2H, γCH2), 0.91 (brd, 2H, βCH2), 0.60 (brd, 3H, δCH3), −0.36 (2H, Sn-αCH2). 13C NMR (CDCl3): δC, ppm 161.69, 146.27, 140.26, 131.05, 127.84, 122.22, 118.71, 113.98, 109.99, 55.85 (OCH3), 26.54, 21.93, 15.92, 8.19. FTIR: ν, cm−1 3045 (C-H, phenyl), 2959 (asym C-H, Bu), 2939 (sym C-H, Bu), 1599, 1568, 1508, (C=C, C=N), 1479 (C-H), 1296 (C-N), 1173 (C-O), 986 (C-H, β-pyrrole), 822 (pyrrole). (Sn-αCH2βCH2γCH2δCH3; brd: broad).
The other tin porphyrin chloride complexes of [Bu(TBPP)SnCl], [Bu(TFMPP)SnCl], and [Bu(TMAPP)SnCl] were prepared and characterized with the same procedure above (Section 2.3).
2.4. Preparation of Dibutyl(5,10,15,20-tetrakis(4-methoxyphenyl)porphyrinato)tin(IV), [Bu2Sn(TMOPP)]
Dibutyltin dichloride (0.076 g, 0.24 mmol) was added gradually to a solution of TMOPPH2 (0.12 g, 0.16 mmol) in 10 mL of toluene. The reaction mixture was stirred for 3 h at reflux temperature under a nitrogen atmosphere. Then, the volatile parts were removed by vacuum evaporation at 40 °C and dried. The product was washed with hexane and then dried by vacuum evaporation. The product was obtained with a yield of 49%. Elemental analysis (C56H54O4N4Sn, Mw = 965.7820 g/mol), Calcd.: C, 69.50; H, 5.83; N, 5.79%. Found: C, 68.47; H, 5.63; N, 5.93%. MALDI-MS (m/z): Calcd.: 966.3167 Da for [(C4H9)2Sn(TMOPP)], Found: 1031.3770 [M + 2CH3OH + H]+, 735.30 Da for [TMOPP + H]+. 1H NMR (400 MHz; CDCl3; Me4Si): δH, ppm 8.53 (brd, 8H, porphyrin), 7.57 (brd, 8H, Ph), 7.32 (brd, 8H, Ph), 4.19 (12H, OCH3), 1.45 (m, 4H, γCH2), 0.91 (brd, 4H, βCH2), 0.60 (brd, 6H, δCH3), −0.34 (4H, Sn-αCH2). 13C NMR (CDCl3): δC, ppm 161.69, 146.27, 140.26, 131.05, 127.84, 122.22, 118.71, 113.98, 109.99, 55.85 (OCH3), 26.54, 21.93, 15.92, 8.19. FTIR: ν, cm−1 3045 (C-H, phenyl), 2959 (asym C-H, Bu), 2939 (sym C-H, Bu), 1603 (C=C), 1568 (C=N), 1505 (C=C,), 1479 (C-H), 1296 (C-N), 1173 (C-O), 986 (C-H, β-pyrrole), 822 (pyrrole). (Sn-αCH2βCH2γCH2δCH3; brd: broad).
2.5. Preparation of (5,10,15,20-Tetrakis(4-methoxyphenyl)porphyrinato)lithium(I), [Li2(TMOPP)]
TMOPPH2 + 2LiN(SiMe3)2 → Li2(TMOPP) + 2HN(SiMe3)2
Lithium bis(trimethylsilyl)amide (40 μL, 0.2 mmol) was added drop by drop to a solution of TMOPPH2 (73.4 mg, 0.1 mmol) in 20 mL of THF. The progress of the reaction was followed by UV-Vis spectroscopy and was terminated at the end of 8 h when double Q bands were seen in the UV-Vis spectrum. Then, the volatile parts were reduced to half under vacuum, and hexane was added and left to crystallize at −25 °C for 8 h. After crystallization, it was filtered and dried by vacuum evaporation. The product was obtained with a yield of 94%. FTIR: ν, cm−1 2956 (C-H, phenyl), 2929 (asym C-H, Bu), 2833 (sym C-H, Bu), 1602, 1506, (C=C, C=N), 1444 (C-H bending), 1248 (C-N), 1173 (C-O), 986 (C-H, β-pyrrole), 822 (pyrrole). UV-Vis (nm, in THF): 440 (B band), 575, 620 (Q bands).
The other lithium porphyrin complexes, TPP, TFPP, TCPP, TBPP, TFMPP, and TMAPP, were prepared and characterized using the same procedure (Section 2.5).
2.6. Preparation of Dibutyl(5,10,15,20-tetrakis(4-methoxyphenyl)porphyrinato)tin(IV) from [Li2(TMOPP)]
Li2(TMOPP) + Bu2SnCl2 → Bu2Sn(TMOPP) + 2LiCl
Dibutyltin dichloride (57 mg, 0.18 mmol) in 2 mL of toluene was added drop by drop to a solution of [Li2(TMOPP)] (186 mg, 0.18 mmol) in 20 mL of toluene. The progress of the reaction was followed by thin layer chromatography. The mixture was stirred in an inert atmosphere at 0 °C for 24 h. Then, it was filtered and dried by evaporating the solvent in a vacuum evaporator. The product was obtained with a yield of 47%. FTIR: ν, cm−1 2954 (C-H, phenyl), 2928 (asym C-H, Bu), 2830 (sym C-H, Bu), 1603, 1568, 1505, (C=C, C=N), 1440 (C-H bending), 1244 (C-N), 1173 (C-O), 986 (C-H, β-pyrrole), 822 (pyrrole). UV-Vis (nm, in THF): 440 (B band), 575, 620 (Q bands).
The other butyltin and dibutyltin porphyrin complexes of Li2TPP, Li2TFPP, Li2TCPP Li2TBPP, Li2TFMPP, and Li2TMAPP were prepared and characterized with the same above procedure (Section 2.6).
2.7. Adsorption Studies
One of the porphyrin compounds, Bu2Sn(TMOPP), was used as an adsorbent for the removal of tetracycline antibiotics. A standard solution of TTC antibiotic was prepared with a concentration of 10 mg/L and used in the adsorption process. Adsorption experiments were carried out at 20 to 50 °C. Antibiotic removal efficiency (%) was calculated using the following Equations (1) and (2):
where Co and Ce are the initial and equilibrium concentrations (mg/L) of TTC antibiotics in the liquid phase, respectively [34]. In Equation (2), V is the volume of 10 mg/L tetracycline solution used, and m represents the quantity of Bu2Sn(TMOPP) adsorbent. The methoxyporphyrin compound (0.5 g/L) was mixed with 10 mg/L of TTC aqueous solution and stirred at 35 °C. After certain intervals (0, 20, 40, 60, 80, 100, and 120 min), 5 mL of the solution was removed from the mixture and centrifuged. Then, the supernatant was analyzed using a UV–Vis spectrophotometer.
Removal efficiency (%) = [(Co − Ce)/Co] × 100
Adsorption capacity (qe) = [(Co − Ce)V/m]
3. Results and Discussions
3.1. Characterization of Porphyrin Complexes
In this study, free bases of tetraphenylporphyrin and its derivatives were prepared from the pyrrole and the corresponding aldehydes according to the literature procedure [31]. Then, novel tin porphyrin complexes were synthesized in two different ways. In the first way, BuSnCl3 and Bu2SnCl2 compounds were reacted with a 1.5:1 mole ratio of TFPP, TCPP, TBPP, TFMPP, TMOPP, and TMAPP ligands in THF at reflux temperature (or in toluene at 90 °C for Bu2SnCl2) in accordance with the following reactions (Scheme 1). The products were formulated to be Bu(TPP)SnCl, Bu(TFPP)SnCl, Bu(TCPP)SnCl, Bu(TBPP)SnCl, Bu(TFMPP)SnCl, Bu(TMOPP)SnCl, Bu(TMAPP)SnCl, Bu2Sn(TPP), Bu2Sn(TFPP), Bu2Sn(TCPP), Bu2Sn(TBPP), Bu2Sn(TFMPP), Bu2Sn(TMOPP), and Bu2Sn(TMAPP). The first three compounds were also mentioned in our previous article [31].
Scheme 1.
Synthesis reactions of Bu(TXPP)SnCl and Bu2Sn(TXPP) complexes. (I) Benzaldehyde and its derivatives when X is H, F, Cl, Br, CF3, OCH3, and N(CH3)2; (II) pyrrole; (III) 5,10,15,20-tetrakis(4-substitutedphenyl)porphyrins; (IV) butyl(5,10,15,20-tetrakis(4-substitutedphenyl)porphyrinato)tin(IV) chloride; (V) dibutyl(5,10,15,20-tetrakis(4-substitutedphenyl)porphyrinato)tin(IV) complexes.
The formulations of tin porphyrin complexes were determined by elemental analysis, MALDI-TOF MS, HRMS, FTIR, UV-visible absorption spectroscopy, and NMR (1H and 13C) measurements. The FTIR spectra of free TXPPH2 ligands exhibited a band at around 3307 cm–1 corresponding to the stretching vibration of the N-H secondary amine [35]. After the coordination of TXPP ligands to butyltin trichloride and dibutyltin dichloride, the band at around 3307 cm−1 disappeared in the FTIR spectra. For example, in the FTIR spectrum (Figure 1) of dibutyl(5,10,15,20-tetrakis(4-methoxyphenyl)porphyrinato)tin(IV) complex, the bands at 1603, 1568, and 1505 cm−1 correspond to C=C (phenyl and pyrrole rings), C=N, and C=C (phenyl rings) vibrations. These values are consistent with those detected in a number of metal porphyrin complexes [36,37]. Other characteristic peaks at 1479 (C-H), 1296 (C-N), 1173 (C-O), 986 (C-H, β-pyrrole), and 822 (pyrrole) cm−1 belong to the groups given in parenthesis.
Figure 1.
FTIR spectra of TMOPP, Li2(TMOPP), and Bu2Sn(TMOPP).
1H NMR spectral data of some studied complexes were given in the experimental section. The proton resonance signals for phenyl groups of the Bu2Sn(TFMPP) complex appeared at 8.64 and 8.32 ppm as a singlet, while the porphyrin protons of the Bu2Sn(TFMPP) complex appeared at 8.76 ppm as a singlet (Figure S2). These data are very characteristic of metal bonded substituted-porphyrin complexes [37,38,39]. The αCH2 (Sn-C4H9) protons of the axial butyl groups resonate at a high field in the 1H NMR spectra of Sn-porphyrins since the axial ligand experiences strong shielding due to the proximity of the aromatic porphyrin macrocycle. For instance, the characteristic peak of αCH2 protons (Sn-αCH2, 2H) appeared at 0.42 ppm. Integration of butyl proton signals into porphyrin proton signals confirmed that the stoichiometry of axial ligation involves two butyl groups. The αCH2 protons (Sn-αCH2, 2H) of 14 tin porphyrin compounds synthesized in this study appeared between −0.91 and +0.55 ppm. The N-H secondary amine peak disappeared in the 1H-NMR spectra of the tin porphyrin complexes while it was at around −2.82 ppm in the free porphyrin ligand. The disappearance of the N-H peak can be attributed to the formation of a covalent bond between tin and nitrogen atoms. These results are comparable to those published for the porphyrin-metal complexes [40].
The 13C NMR spectrum of the Bu2Sn(TFMPP) complex showed characteristic peaks for ring carbon atoms of TFMPP and butyl groups. Carbons for both rings and butyl groups appeared at 151.15, 145.83, 138.70, 132.08, 128.31, 125.41, 121.48, 109.99, 35.35, 30.12, 26.84, 26.26, 13.47 ppm (Figure S3). These values are very characteristic of metal-bonded substituted-porphyrin complexes [40,41]. 1H NMR and 13C NMR spectra of other tin porphyrin compounds are given in the Supplementary Section (Figures S4–S24). HRMS measurement of [Bu2Sn(TFMPP)] gave an exact mass of 1151.7284 g/mol for [M + CH3OH + H]+ (Figure 2). The calculated molecular weight of this complex with methanol and proton (H+) is 1151.2580 g/mol. Since the complex is dissolved in methanol during the mass measurement, it binds methanol to its structure. The good agreement between the measured and calculated results confirms the pure synthesis of the complex and the accuracy of the proposed formula. The complex [Bu2Sn(TFMPP).CH3OH] (m/z = 1150.2502 g/mol) showed a parent ion peak at 1107.04557 Da for the [(C4H9)(CH2)Sn(TFMPP).CH3OH]+ ion obtained by removing the propyl unit (-CH2CH2CH3) from the butyl group. The other peak at 1077.6600 Da corresponds to the loss of methanol from the complex and gives the ion [(C4H9)(CH2)Sn(TFMPP) + H]+. As shown in Figure 2, fragmentation continues in a similar manner. The mass spectrum of the Bu2Sn(TMAPP) complex gave the parent ion peak at 1057.15 Da [exact mass for Bu2Sn(TMAPP). 2H2O + 3H+ is 1057.4878] as shown in Figure S25. It is clear from MS measurements that such large molecules can bind some solvent methanol or water molecules to their structure during the synthesis or mass measurements. Mass spectra of similar compounds containing porphyrins gave parent ion peaks and fragmentation peaks similar to the fragmentations in this study [42].
Figure 2.
MS spectrum of the Bu2Sn(TFMPP) complex.
Similarly, the formulations of the other tin porphyrin complexes Bu2Sn(TXPP) and Bu(TXPP)SnCl were also determined by elemental analysis, FTIR, NMR, and mass measurements. The comparison of the integral of the signals in 1H-NMR spectra and the peak data in mass spectra confirmed the suggested formulas.
A careful examination of the measured elemental analysis results (Table 1) of the synthesized Bu2Sn(TXPP) and Bu(TXPP)SnCl porphyrin complexes shows that the products obtained are sufficiently pure and in agreement with the proposed formulation.
Table 1.
Elemental analysis of porphyrin complexes of Bu2Sn(TXPP) and Bu(TXPP)SnCl.
In a second way, first, porphyrins were reacted with lithium bis(trimethylsilyl)amide in a 1:2 mol ratio, and then BuSnCl3 and Bu2SnCl2 were added to the Li-porphyrinato solution (Scheme 2).
Scheme 2.
Synthesis of Bu2Sn(TXPP) and Bu(TXPP)SnCl from [Li2(TXPP)].
The UV-visible absorption spectra of free base porphyrins (Figure 3), Li-porphyrins (Figure 4), and Sn(IV) porphyrins (Figure 6) are shown below, and their photophysical data are summarized in Table 2.
Figure 3.
UV-visible absorption spectra of porphyrins.
Figure 4.
The UV-visible absorption spectra of Li2(TXPP) complexes.
Table 2.
Selected physicochemical data of free base, Li2 porphyrins, and Bu2Sn(IV) porphyrins in aTHF and bpyridine solvents.
The UV-visible absorption spectra of porphyrins, Li-porphyrins, and Sn-porphyrins were measured at 1 × 10−5 molL−1 in tetrahydrofurane and pyridine, respectively. As expected, the free H2TPP ligands (D2h point group, low symmetry) gave an intense B band and four weak Q bands [43,44].
As shown in Figure 3 and Figure 4, the spectra of H2TMOPP and Li2TMOPP were typical of those observed for porphyrins and non-aggregated metal porphyrins.
It seems that there are more spectroscopic changes in TMAPP compared to other porphyrins. Perhaps the reason is that it interacted more with the pyridine used as a solvent. As seen from the Gouterman four orbital model (Figure 5), the electronic absorption spectrum of a typical porphyrin consists of a strong transition to the second excited state (S0-S2) at about 415 nm (the Soret or B band) and a weak transition to the first excited state (S0-S1) at about 550 nm (the Q band). The B and the Q bands both arise from π–π* transitions and can be explained by considering the four frontier orbitals (HOMO and LUMO orbitals).
Figure 5.
The Frontier Orbitals relevant to the Gouterman Four-Orbital, (the relative energies of HOMOs will depend on the substitution of the rings) [45].
Metalloporphyrin compounds such as Li2TMOPP (D4h point group, high symmetry) gave narrow and intense B bands at 440 nm and Q bands at 575 and 620 nm, respectively. Only two Q bands are observed in the spectra of the Li porphyrins, as summarized in Table 2. The spectra were found to strictly obey the Beer-Lambert law, suggesting that these complexes exist only as monomers in pyridine solution. While tin porphyrin compounds are expected to give UV-Vis spectra like lithium porphyrin, the reason why they give spectra more similar to free porphyrins can be attributed to the fact that the tin atom is slightly above the center of the porphyrin and thus its symmetry is reduced (Figure 6) [27]. Aggregation due to π-π stacking is a commonly encountered issue with porphyrins and metal porphyrins compounds. Fortunately, the presence of two trans-axial butyl ligands suppressed aggregation by preventing the Sn-porphyrin compounds from approaching each other. As can be seen in Figure 6, Bu2SnTBPP and Bu2SnTMAPP compounds are not completely soluble, resulting in scattering in the spectrum, which causes the baseline to rise.
Figure 6.
The UV-visible absorption spectra of Bu2Sn(TXPP) complexes.
The meso-substituents of tetraphenylporphyrins (TPPs) greatly influence their physicochemical properties. The electron donating substituents (like dimethylamino and methoxy group) which can extend the delocalization of the π-electrons in the porphyrin core, tend to absorb at longer wavelengths (red shifted) since there is a narrowing of the HOMO–LUMO gap [46]. The main Q and B (or Soret) bands of meso-methoxyphenyl and meso-dimethylaminophenyl substituted porphyrins and their tin compounds were observed to appear at longer wavelengths than those in the spectra of F, Cl, Br, and CF3 substituted tetraphenylporphyrins. As seen from Table 2, it is also important to note that the axial substitution does not have a significant influence on the optical properties and electronic structures of the Sn(IV) porphyrins. 1H-NMR and 13C-NMR, FTIR, and UV-Vis spectra of all compounds are available in Hanifi Yaman’s PhD thesis; for more detailed information, please refer to the thesis [47].
The development of “single-site” metal-organic or metalloporphyrin catalysts has been an important goal for the production of polymers with controllable molecular weights and polydispersities [48]. The first groups of Bu(TXPP)SnCl complexes were single sites and used as catalysts in the polymerization of epoxy (GPTS) monomers, as mentioned in our previous article [31]. However, the second group, Bu2Sn(TXPP) complexes, were inactive as catalysts in the ROP of epoxy monomers in mild reaction conditions. In other words, since Bu2Sn(TXPP) compounds include two axial butyl ligands covalently bonded to the tin center atom, they were inactive and needed cocatalysts in the ROP of epoxy monomers. In this study, the evaluation of dibutyl porphyrin derivatives with inactive or low activity in polymerization as adsorbents and removal of impurities such as tetracycline antibiotics from wastewater was aimed and achieved. Another reason for considering dibutyl tin porphyrin derivatives as adsorbents in this study was that they contain covalent butyl groups attached to tin, whereas the first group compounds (1–7) can be hydrolyzed more easily in aqueous media because they contain chlorine atoms attached to tin (more ionic bond, Sn-Cl) [49]. Preliminary studies of tetracycline removal by dibutyl porphyrin containing compounds have been carried out and found between 40% and 60%. However, we found it appropriate to examine in detail the study of methoxy-substituted tin porphyrin, which is more stable in aqueous media and has a slightly higher antibiotic removal performance.
3.2. Adsorption Studies of Tetracycline (TTC) Antibiotic Using Bu2Sn(TMOPP) Compound
3.2.1. Effect of pH on the Adsorption Process
The pH of solutions largely determines the physicochemical behavior of tetracycline molecules and greatly affects their sorption capacity. Tetracycline (TTC) exists in different ionic forms depending on pH: TTC+ under highly acidic conditions (pH < 3.3), neutral TTC0 between pH 3.3 and 7.7, anionic TTC– from pH 7.7 to 9.7, and dianionic TTC2– at pH > 9.7 [10,50]. These species influence its solubility, adsorption, and interaction with materials. The pH of the TTC (10 mg/L) solution is adjusted to 4 to 10 with HCl (0.1 M) and NaOH (0.1 M). As a result, this pH range tunes how TTC molecules and organic/inorganic functional groups on the porphyrine adsorbents interact. Figure 7 illustrates the significance of solution pH for TTC adsorption on Bu2Sn(TMOPP) (0.5 g/L), spanning a pH range of 4 to 10. An adsorption efficiency (R%) of TTC removed by Bu2Sn(TMOPP) reaches 39.76% with an adsorption capacity (qe) of 14.45 mg/g at pH 5 and after 90 min of equilibration. The optimal adsorption at pH 5 likely arises from a balance between the surface charge of the adsorbent and the zwitterionic nature of tetracycline at this pH. At pH 5, the adsorbent surface may have a slightly positive or neutral charge, allowing favorable π-π stacking interactions, electrostatic interactions, or hydrogen bonding with tetracycline, which carries both positive and negative functional groups. As pH increases, the adsorbent surface becomes negatively charged due to deprotonation, while tetracycline predominantly exists in its anionic form, leading to electrostatic repulsion and a significant reduction in adsorption efficiency [51].
Figure 7.
Effect of pH on the adsorption process of tetracycline antibiotic on Bu2Sn(TMOPP) compound; adsorbent dose = 0.5 g/L, time = 90 min, temperature = 35 °C, TTC = 10 mg/L.
3.2.2. Effect of Temperature on the Adsorption Process
Temperature is a critical parameter in adsorption investigations [52]. To elucidate the temperature-dependent adsorption of TTC on Bu2Sn(TMOPP) (0.5 g/L), adsorption tests were conducted at various temperatures ranging from 20 to 50 °C, as seen in Figure 8. The graph of Figure 8 illustrates the concurrent increase in the adsorption efficiency of TTC (10 mg/L) as temperature rises. This temperature-dependent trend indicates that the adsorption process of Bu2Sn(TMOPP) for TTC is sensitive to temperature variations. The adsorption efficiency of Bu2Sn(TMOPP) enhanced between 20 and 35 °C during 90 min of equilibration. The adsorption efficiency stabilized around 35 °C, exhibiting a marginal increase with a progressive rise in temperature. The enhanced adsorption effectiveness with rising temperature indicates that the adsorption process occurs endothermically [53]. From a thermodynamic perspective, an endothermic process generally signifies that adsorption between 20 and 35 °C is attributable to an increase in entropy, perhaps arising from the reorganization of molecules on the adsorbent’s surface or inside its pores. This may suggest a mechanism wherein kinetic energy at increased temperatures (e.g., 35 °C) enables TTC molecules to surmount potential energy barriers, hence enhancing the interaction of Bu2Sn(TMOPP) with active adsorbent sites.
Figure 8.
Effect of temperature on the adsorption process of tetracycline antibiotic on Bu2Sn(TMOPP) compound; adsorbent dose = 0.5 g/L, time = 90 min, pH = 5.0, TTC = 10 mg/L.
3.2.3. Effect of Time on the Adsorption Process
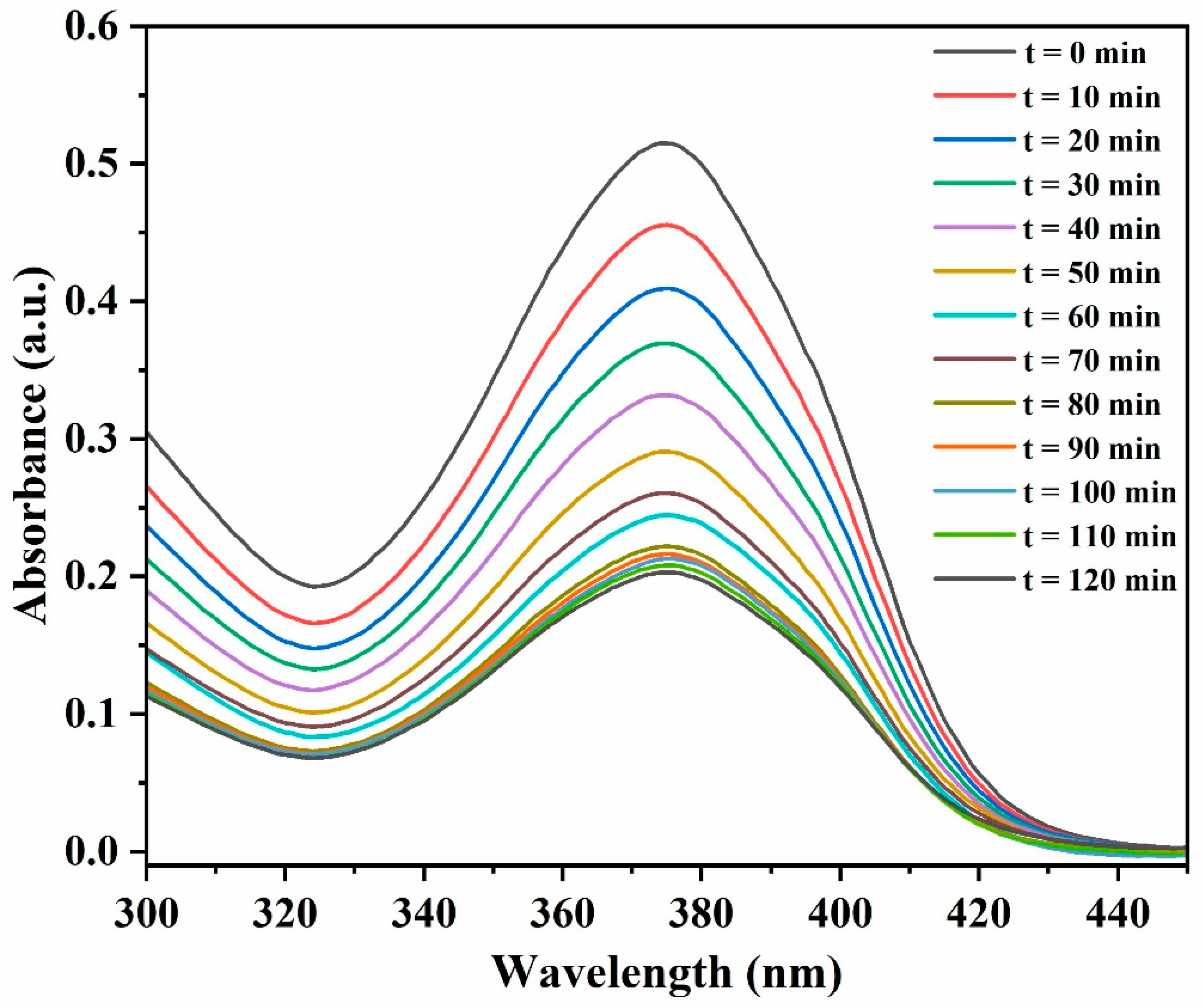
The impact of time on the adsorption efficiency (R%) and capacity (qe) for TTC was investigated by keeping the optimum pH 5 and optimum antibiotic concentration 10 mg/L since the interaction time of antibiotic with adsorbent is a crucial parameter in the adsorption process [54]. The Bu2Sn(TMOPP) (0.5 g/L, adsorbent in powder form) was stirred with TTC at various time intervals from 0 to 120 min, and the final sample was collected after 120 min of equilibration. As depicted in Figure 9 and Figure 10, a slow, steady, but gradual increase in adsorption efficiency was observed with time until 80 min of the contact time. The slow rate of adsorption is due to the hydrophobic nature of Bu2Sn(TMOPP) due to the presence of the phenyl group. A partial adsorption-desorption equilibrium was reached around 80 min of agitation. After 80 min, there was a significant decline in the rate of adsorption, but still, the process did not acquire a complete equilibrium because the process is mostly dominated by chemisorption, which is a steady rate of reaction between adsorbent and adsorbate molecules. After 120 min of equilibration, the final R% was measured as 60.15% and qt as 18.10 mg/g (Figure 10).
Figure 9.
Effect of time on the adsorption process of tetracycline antibiotic on Bu2Sn(TMOPP) compound; adsorbent dose = 0.5 g/L, pH = 5.0, temperature = 35 °C, TTC = 10 mg/L.
Figure 10.
UV–Vis absorption spectra for tetracycline adsorption in the presence of Bu2Sn(TMOPP); adsorbent dose = 0.5 g/L, pH = 5.0, temperature = 35 °C, TTC = 10 mg/L.
3.2.4. Adsorption Mechanism
Scheme 3 shows the adsorption interactions between Bu2Sn(TMOPP) adsorbent and tetracycline antibiotic. The first interaction is hydrogen bonding, which occurs between the methoxy groups (-OCH3) in the Bu2Sn(TMOPP) adsorbent and the hydroxy groups (-OH) in the TTC antibiotic molecule. The second interaction is electrostatic attraction, which occurs between the positive tin atom in the center of the Bu2Sn(TMOPP) adsorbent and the negative oxygen atoms (-O) of the TTC antibiotic. The third interaction is the presence of nonbonding electrons in the methoxy groups in the porphyrin compound, and the empty π* orbitals in the TCC molecule can provide active sites for TTC adsorption by n-π interaction [50,55]. The fourth interaction is the π-π stacking interaction between the π orbitals in the phenyl groups in the porphyrin compound and the π orbitals in the TCC molecule.
Scheme 3.
Schematic illustration of the adsorption mechanisms between Bu2Sn(TMOPP) and tetracycline antibiotic.
4. Conclusions
In this work, novel tin porphyrin complexes (5–14) were synthesized and characterized by a combination of elemental analysis, FTIR, NMR, UV-Vis spectroscopy, and mass spectrophotometry. As has been reported previously, the incorporation of meso-methoxy and dimethylaminophenyl rings results in a significant red shift of the Q and B bands of the porphyrin ligand. Facile synthesized axially linked Sn(IV) tetraarylporphyrin complexes have been synthesized that can provide superior absorption properties in the therapeutic window through further red shifting of the Q band. This is comparable to existing photosensitizer chemicals approved for clinical use and could be used successfully at even lower light doses. This results in a narrowing of the HOMO-LUMO range and a significant red shift of the Q and B bands, making porphyrin compounds more suitable for therapeutic use. In this study, only one of the synthesized porphyrins, a tetrasubstituted porphyrin tin complex, Bu2Sn(TMOPP), was used as an adsorbent to remove tetracycline antibiotics from wastewater, and reassuring results were obtained for the future. Overall, there are many aspects of Sn(IV) porphyrins that have not yet been fully developed. In addition to their medical applications, Sn(IV) porphyrinoids will continue to be of interest in areas such as waste antibiotics, dye, and heavy metal removal. Tin porphyrin compounds will find important uses not only as adsorbents but also as degradation catalysts.
Supplementary Materials
The following supporting information can be downloaded at https://www.mdpi.com/article/10.3390/reactions6010012/s1: Figure S1. 1H-NMR data of TMOPP compound; Figure S2. 1H-NMR spectrum of Bu2Sn(TFMPP) complex; Figure S3. 13C-NMR spectrum of Bu2Sn(TFMPP) complex; Figures S4–S24. 1H NMR and 13 C NMR spectra of other tin porphyrin compounds; Figure S25. MS spectrum of Bu2(TMAPP)Sn complex.
Author Contributions
H.Y.: data curation, investigation, drawing graphics, formal analysis, writing—original draft. M.T.B.: data curation, investigation, drawing graphics, formal analysis, conceptualization, writing—original draft. A.K.: conceptualization, methodology, resources, supervision, project administration, funding acquisition, writing—reviewing, editing, visualization. All authors have read and agreed to the published version of the manuscript.
Funding
This research received funding from Kocaeli University (Project No. FBA-3952/2024).
Data Availability Statement
All data generated or analyzed during this study are included in this published article.
Conflicts of Interest
The authors declare no conflicts of interest.
References
- Tian, J.; Zhang, W. Synthesis, self-assembly and applications of functional polymers based on porphyrins. Prog. Polym. Sci. 2019, 95, 65–117. [Google Scholar] [CrossRef]
- Kayan, A. Polymerization of 3-glycidyloxypropyltrimethoxysilane with different catalysts. J. Appl. Polym. Sci. 2012, 123, 3527–3534. [Google Scholar] [CrossRef]
- Nagarajan, T.; Gayathri, M.P.; Mack, J.; Nyokong, T.; Govindarajan, S.; Babu, B. Blue-Light-Activated Water-Soluble Sn (IV)-Porphyrins for Antibacterial Photodynamic Therapy (aPDT) against Drug-Resistant Bacterial Pathogens. Mol. Pharm. 2024, 21, 2365–2374. [Google Scholar] [CrossRef] [PubMed]
- Hlabangwane, K.; Matshitse, R.; Managa, M.; Nyokong, T. The application of Sn(IV)Cl2 and In(III)Cl porphyrin-dyed TiO2 nanofibers in photodynamic antimicrobial chemotherapy for bacterial inactivation in water. Photodiagn. Photodyn. Ther. 2023, 44, 103795. [Google Scholar] [CrossRef] [PubMed]
- Chen, J.; Gao, Y.; Xu, Y.; Xu, F.; Zhang, Q.; Lu, X. Theoretical study of novel porphyrin D-π-A conjugated organic dye sensitizer in solar cells. Mater. Chem. Phys. 2019, 225, 417–425. [Google Scholar] [CrossRef]
- Weber, K.T.; Karikis, K.; Weber, M.D.; Coto, P.B.; Charisiadis, A.; Charitaki, D.; Costa, R.D. Cunning metal core: Efficiency/stability dilemma in metallated porphyrin based light-emitting electrochemical cells. Dalton Trans. 2016, 45, 13284–13288. [Google Scholar] [CrossRef] [PubMed][Green Version]
- Yadav, C.; Roy, S. Ultrafast all-optical universal logic gates with graphene and graphene-oxide metal porphyrin composites. J. Comput. Electron. 2015, 14, 209–213. [Google Scholar] [CrossRef]
- Park, J.M.; Hong, K.I.; Lee, H.; Jang, W.D. Bioinspired applications of porphyrin derivatives. Acc. Chem. Res. 2021, 54, 2249–2260. [Google Scholar] [CrossRef]
- Verma, P.; Samanta, D.; Sutar, P.; Kundu, A.; Dasgupta, J.; Maji, T.K. Biomimetic Approach toward Visible Light-Driven Hydrogen Generation Based on a Porphyrin-Based Coordination Polymer Gel. ACS Appl. Mater. Interfaces 2022, 15, 25173–25183. [Google Scholar] [CrossRef]
- Nguyen, T.S.; Hong, Y.; Dogan, N.A.; Yavuz, C.T. Gold Recovery from E-Waste by Porous Porphyrin–Phenazine Network Polymers. Chem. Mater. 2020, 32, 5343–5349. [Google Scholar] [CrossRef]
- Radi, S.; El Abiad, C.; Moura, N.M.; Faustino, M.A.; Neves, M.G.P. New hybrid adsorbent based on porphyrin functionalized silica for heavy metals removal: Synthesis, characterization, isotherms, kinetics and thermodynamics studies. J. Hazard. Mater. 2019, 370, 80–90. [Google Scholar] [CrossRef] [PubMed]
- Zhang, X.; Cai, T.; Zhang, S.; Hou, J.; Cheng, L.; Chen, W.; Zhang, Q. Contamination distribution and non-biological removal pathways of typical tetracycline antibiotics in the environment: A review. J. Hazard. Mater. 2024, 463, 132862. [Google Scholar] [CrossRef] [PubMed]
- Baig, M.T.; Kayan, A. Advanced biopolymer-based Ti/Si-terephthalate hybrid materials for sustainable and efficient adsorption of the tetracycline antibiotic. Int. J. Biol. Macromol. 2024, 280, 135676. [Google Scholar] [CrossRef]
- Liao, Q.; Huang, Z.; Li, S.; Wang, Y.; Liu, Y.; Luo, R.; Shang, J. Effects of wind–wave disturbances on adsorption and desorption of tetracycline and sulfadimidine in water–sediment systems. Environ. Sci. Pollut. Res. 2018, 25, 22561–22570. [Google Scholar] [CrossRef] [PubMed]
- Gao, F.; Cui, S.; Li, P.; Wang, X.; Li, M.; Song, J.; Li, J.; Song, Y. Ecological toxicological effect of antibiotics in soil. IOP Conf. Ser. Earth Environ. Sci. 2018, 186, 012082. [Google Scholar] [CrossRef]
- Krupka, M.; Piotrowicz-Cie’slak, A.I.; Michalczyk, D.J. Effects of antibiotics on the photosynthetic apparatus of plants. J. Plant Interact. 2022, 17, 96–104. [Google Scholar] [CrossRef]
- Du, C.; Zhang, Z.; Yu, G.; Wu, H.; Wang, S. A review of metal organic framework (MOFs)-based materials for antibiotics removal via adsorption and photocatalysis. Chemosphere 2021, 272, 129501. [Google Scholar] [CrossRef] [PubMed]
- Amangelsin, Y.; Semenova, Y.; Dadar, M.; Aljofan, M.; Bjørklund, G. The impact of tetracycline pollution on the aquatic environment and removal strategies. Antibiotics 2023, 12, 440. [Google Scholar] [CrossRef] [PubMed]
- Mirsoleimani-azizi, S.M.; Setoodeh, P.; Zeinali, S.; Rahimpour, M.R. Tetracycline antibiotic removal from aqueous solutions by MOF-5: Adsorption isotherm, kinetic and thermodynamic studies. J. Environ. Chem. Eng. 2018, 6, 6118–6130. [Google Scholar] [CrossRef]
- Li, R.; Li, W.; Jin, C.; He, Q.; Wang, Y. Fabrication of ZIF-8@TiO2 micron composite via hydrothermal method with enhanced absorption and photocatalytic activities in tetracycline degradation. J. Alloys Compd. 2020, 825, 154008. [Google Scholar] [CrossRef]
- Jia, F.; Zhao, D.; Shu, M.; Sun, F.; Wang, D.; Chen, C.; Deng, Y.; Zhu, X. Co-doped Fe-MIL-100 as an adsorbent for tetracycline removal from aqueous solution. Environ. Sci. Pollut. Control Ser. 2022, 29, 55026–55038. [Google Scholar] [CrossRef]
- Shee, N.K.; Kim, H.J. Integration of Sn (IV) porphyrin on mesoporous alumina support and visible light catalytic photodegradation of methylene blue. Mater. Today Commun. 2024, 39, 109033. [Google Scholar] [CrossRef]
- He, Y.; Mei, M.; Yang, Q.; Yang, Y.; Ma, Z. Covalently grafting porphyrin on SnO2 nanorods for hydrogen evolution and tetracycline hydrochloride removal from real pharmaceutical wastewater with significantly improved efficiency. Chem. Eng. J. 2023, 472, 144859. [Google Scholar] [CrossRef]
- Shee, N.K.; Kim, H.J. Self-Assembled Nanostructure of Ionic Sn (IV) porphyrin Complex Based on Multivalent Interactions for Photocatalytic Degradation of Water Contaminants. Molecules 2024, 29, 4200. [Google Scholar] [CrossRef] [PubMed]
- Wang, Y.; Han, W.; Hua, Y.; Chen, J.; Liu, D.; Zhang, J.; Guo, H. Efficient visual detection and adsorption of tetracyclines using zinc porphyrin-based microporous organic networks. Sep. Purif. Technol. 2024, 339, 126491. [Google Scholar] [CrossRef]
- Kayan, G.O.; Muhaffel, F.; Kayan, A.; Nofar, M.; Cimenoglu, H. A Study on Tailoring Silver Release from Micro-Arc Oxidation Coating Fabricated on Titanium. Adv. Eng. Mater. 2024, 26, 2401129. [Google Scholar] [CrossRef]
- Arnold, D.P.; Blok, J. The coordination chemistry of tin porphyrin complexes. Coord. Chem. Rev. 2004, 248, 299–319. [Google Scholar] [CrossRef]
- Thomas, A.; Kuttassery, F.; Mathew, S.; Remello, S.N.; Ohsaki, Y.; Yamamoto, D.; Inoue, H. Protolytic behavior of axially coordinated hydroxy groups of Tin (IV) porphyrins as promising molecular catalysts for water oxidation. J. Photochem. Photobiol. A Chem. 2018, 358, 402–410. [Google Scholar] [CrossRef]
- Dar, U.A.; Shahnawaz, M.; Taneja, P.; Dar, M.A. Recent Advances in Main Group Coordination Driven Porphyrins: A Comprehensive Review. ChemistrySelect 2024, 9, e202304817. [Google Scholar] [CrossRef]
- Giannoudis, E.; Benazzi, E.; Karlsson, J.; Copley, G.; Panagiotakis, S.; Landrou, G.; Coutsolelos, A.G. Photosensitizers for H2 Evolution Based on Charged or Neutral Zn and Sn Porphyrins. Inorg. Chem. 2020, 59, 1611–1621. [Google Scholar] [CrossRef] [PubMed]
- Yaman, H.; Kayan, A. Synthesis of novel single site tin porphyrin complexes and the catalytic activity of tin tetrakis (4-fluorophenyl) porphyrin over ε-caprolactone. J. Porphyr. Phthalocya. 2017, 21, 231–237. [Google Scholar] [CrossRef]
- Adler, A.D.; Sklar, L.; Longo, F.R.; Finarelli, J.D.; Finarelli, M.G. A Mechanistic Study of the Synthesis of meso-Tetraphenylporphin. J. Heterocycl. Chem. 1968, 5, 669–678. [Google Scholar] [CrossRef]
- Lindsey, J.S.; Schreiman, I.C.; Hsu, H.C.; Kearney, P.C.; Marguerettaz, A.M. Rothemund and Adler-Longo reactions revisited: Synthesis of tetraphenylporphyrins under equilibrium conditions. J. Organic Chem. 1987, 52, 827–836. [Google Scholar] [CrossRef]
- Cerrahoğlu, E.; Kayan, A.; Bingöl, D. New inorganic–organic hybrid materials and their oxides for removal of heavy metal ions: Response surface methodology approach. J. Inorg. Organomet. Polym. Mater. 2017, 27, 427–435. [Google Scholar] [CrossRef]
- Mayers, J.M.; Larsen, R.W. Vibrational spectroscopy of Fe tetrakis (4-sulphonatophenyl) porphyrin encapsulated within the metal organic framework HKUST-1. Inorg. Chem. Commun. 2019, 107, 107457. [Google Scholar] [CrossRef]
- Lewandowska, K.; Rosiak, N.; Bogucki, A.; Cielecka-Piontek, J.; Mizera, M.; Bednarski, W.; Szaciłowski, K. Supramolecular complexes of graphene oxide with porphyrins: An interplay between electronic and magnetic properties. Molecules 2019, 24, 688. [Google Scholar] [CrossRef] [PubMed]
- Şen, P.; Hirel, C.; Andraud, C.; Aronica, C.; Bretonnière, Y.; Mohammed, A.; Lindgren, M. Fluorescence and FTIR spectra analysis of trans-A2B2-substituted di-and tetra-phenyl porphyrins. Materials 2010, 3, 4446–4475. [Google Scholar] [CrossRef]
- Stanisław, O.; Beata, Ł.; Agnieszka, M. Shielding Effects in 1H NMR Spectra of Halogen-Substituted meso-Tetraphenylporphyrin Derivatives. Macroheterocycles 2019, 12, 17–21. [Google Scholar] [CrossRef]
- Alka, A.; Pareek, Y.; Shetti, V.S.; Rajeswara Rao, M.; Theophall, G.G.; Lee, W.Z.; Ravikanth, M. Construction of Novel Cyclic Tetrads by Axial Coordination of Thiaporphyrins to Tin (IV) Porphyrin. Inorg. Chem. 2017, 56, 13913–13929. [Google Scholar] [CrossRef]
- Kaur, K.; Gupta, H.; Singh, R.; Kaur, V.; Capalash, N. Benzo-γ-pyrone-based diorganotin (IV) chelates as fluorescent probes for the detection of picric acid from soil and aqueous samples. Appl. Organomet. Chem. 2022, 36, e6902. [Google Scholar] [CrossRef]
- Ohsaki, Y.; Thomas, A.; Kuttassery, F.; Mathew, S.; Remello, S.N.; Nabetani, Y.; Inoue, H. How does the tin (IV)-insertion to porphyrins proceed in water at ambient temperature?: Re-investigation by time dependent 1H NMR and detection of intermediates. Inorg. Chim. Acta 2018, 482, 914–924. [Google Scholar] [CrossRef]
- Kumar, N.; Guleria, M.; Shelar, S.; Amirdhanayagam, J.; Das, T. Copper metal insertion in porphyrin core compromises the photocytotoxicity of free base porphyrin: Revelation during synthesis of natCu/[64Cu] Cu-porphyrin complex. J. Photochem. Photobiol. A Chem. 2023, 441, 114754. [Google Scholar] [CrossRef]
- Abdulaeva, I.A.; Birin, K.P.; Polivanovskaia, D.A.; Gorbunova, Y.G.; Tsivadze, A.Y. Functionalized heterocycle-appended porphyrins: Catalysis matters. RSC Adv. 2020, 10, 42388–42399. [Google Scholar] [CrossRef]
- Babu, B.; Amuhaya, E.; Oluwole, D.; Prinsloo, E.; Mack, J.; Nyokong, T. Preparation of NIR absorbing axial substituted tin (IV) porphyrins and their photocytotoxic properties. MedChemComm 2019, 10, 41–48. [Google Scholar] [CrossRef] [PubMed]
- Gouterman, M.; Wagnière, G.H.; Snyder, L.C. Spectra of porphyrins: Part II. Four orbital model. J. Mol. Spectrosc. 1963, 11, 108–127. [Google Scholar] [CrossRef]
- Oppelt, K.T.; Wöß, E.; Stiftinger, M.; Schöfberger, W.; Buchberger, W.; Knör, G. Photocatalytic reduction of artificial and natural nucleotide co-factors with a chlorophyll-like tin-dihydroporphyrin sensitizer. Inorg. Chem. 2013, 52, 11910–11922. [Google Scholar] [CrossRef]
- Yaman, H. Synthesis of Tin Porphyrin Derivatives and Usage of These Compounds in Polymerization of Epoxy and Lactone. Ph.D. Thesis, Kocaeli University, İzmit, Türkiye, 2020. [Google Scholar]
- Kayan, A. Recent studies on single site metal alkoxide complexes as catalysts for ring opening polymerization of cyclic compounds. Catal. Surv. Asia 2020, 24, 87–103. [Google Scholar] [CrossRef]
- Yang, C.B.; Tung, J.Y.; Chen, J.H.; Liao, F.L.; Wang, S.L.; Wang, S.S.; Hwang, L.P. Crystal structure and two-stage hydrolysis of dimethoxo (meso-tetra (4-methoxyphenylporphyrinato)) tin (IV), Sn(tmpp)(OMe)2. J. chem. Crystallogr. 1998, 28, 481–486. [Google Scholar] [CrossRef]
- Zhou, Y.; Wang, J.; Yang, J.; Duan, L.H.; Liu, H.B.; Wu, J.; Gao, L. Mesoporous Silica-Confined MOF-525 for Stable Adsorption of Tetracycline over a Wide pH Application Range. ACS Appl. Nano Mater. 2024, 7, 3806–3816. [Google Scholar] [CrossRef]
- Mehraban Khaledi, S.; Taherimehr, M.; Hassaninejad-Darzi, S.K. Porous F e-Porphyrin as an Efficient Adsorbent for the Removal of Ciprofloxacin from Water. ACS Omega 2024, 9, 15950–15958. [Google Scholar] [CrossRef]
- Demirci, G.V.; Baig, M.T.; Kayan, A. UiO-66 MOF/Zr-di-terephthalate/cellulose hybrid composite synthesized via sol-gel approach for the efficient removal of methylene blue dye. Int. J. Biol. Macromol. 2024, 283, 137950. [Google Scholar] [CrossRef] [PubMed]
- Zong, Y.; Ma, S.; Gao, J.; Xu, M.; Xue, J.; Wang, M. Synthesis of porphyrin Zr-MOFs for the adsorption and photodegradation of antibiotics under visible light. ACS Omega 2021, 6, 17228–17238. [Google Scholar] [CrossRef] [PubMed]
- Zhao, S.; Li, S.; Zhao, Z.; Su, Y.; Long, Y.; Zheng, Z.; Zhang, Z. Microwave-assisted hydrothermal assembly of 2D copper-porphyrin metal-organic frameworks for the removal of dyes and antibiotics from water. Environ. Sci. Pollut. Res. 2020, 27, 39186–39197. [Google Scholar] [CrossRef]
- Baig, M.T.; Kayan, A. Eco-friendly novel adsorbents composed of hybrid compounds for efficient adsorption of methylene blue and Congo red dyes: Kinetic and thermodynamic studies. Sep. Sci. Technol. 2023, 58, 862–883. [Google Scholar] [CrossRef]
Disclaimer/Publisher’s Note: The statements, opinions and data contained in all publications are solely those of the individual author(s) and contributor(s) and not of MDPI and/or the editor(s). MDPI and/or the editor(s) disclaim responsibility for any injury to people or property resulting from any ideas, methods, instructions or products referred to in the content. |
© 2025 by the authors. Licensee MDPI, Basel, Switzerland. This article is an open access article distributed under the terms and conditions of the Creative Commons Attribution (CC BY) license (https://creativecommons.org/licenses/by/4.0/).












