N-Aryl Amino Acids as Potential Antibacterial Agents
Abstract
1. Introduction
2. Experimental
2.1. Materials and Methods
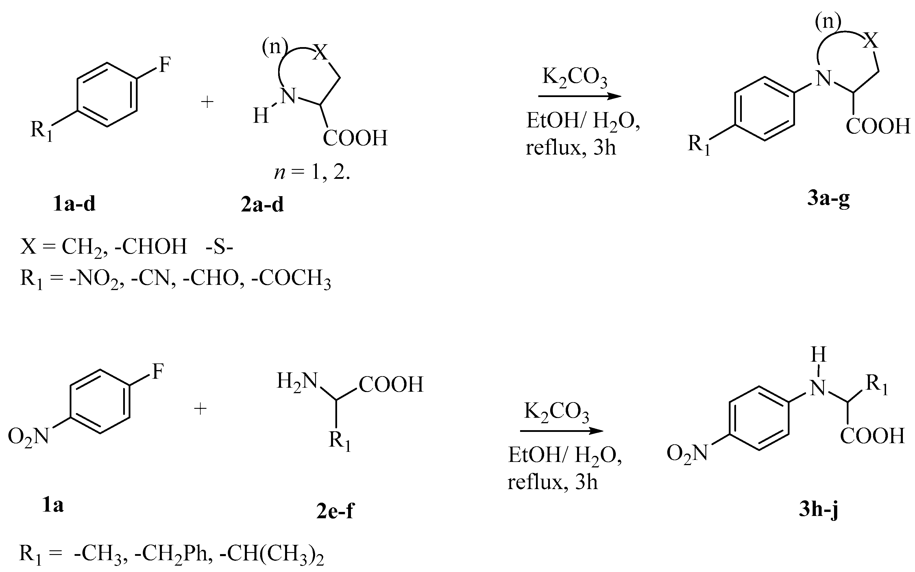
2.2. General Procedure for the Preparation of 3a–3j [20,21]
2.3. Evaluation of Antimicrobial Activities
2.4. Minimum Inhibitory Concentration (MIC) of the Synthesized Compounds
3. Results and Discussion
Antibacterial Activity of Compounds 3a–j
4. Conclusions
Author Contributions
Funding
Conflicts of Interest
References
- Barrett, G.C. Amino Acids. In Amino Acids, Peptides, and Proteins; Davies, J.S., Ed.; Royal Society of Chemistry: Cambridge, UK, 2000; Volume 31, pp. 1–85. [Google Scholar]
- Odusami, J.A.; Ikhile, M.I.; Fotsing, M.C.; Olasupo, I.A.; Izunobi, J.U.; Bamgbade, E.O.; Fonkui, T.Y. Towards eradicating antibiotic-resistant bacteria: Synthesis and antibacterial activities of substituted N-(2-nitrophenyl) pyrrolidine-and piperidine-2-carboxylic acids. J. Chin. Pharm. Sci. 2019, 28, 704–715. [Google Scholar]
- Kitajima, H.I.R.O.S.H.I.; Sakashita, H.; Akahoshi, F.; Hayashi, Y. Preparation of Proline Derivatives as Dipeptidyl Peptidase IV (DPP-IV) Inhibitors and use Thereof as Drugs. PCT International Patent Application WO2002014271A1, 21 February 2002. [Google Scholar]
- Dougherty, D.A. Unnatural amino acids as probes of protein structure and function. Curr. Opin. Chem. Biol. 2000, 4, 645–652. [Google Scholar] [CrossRef] [PubMed]
- King, S.M.; Buchwald, S.L. Development of a Method for the N-Arylation of Amino Acid Esters with Aryl Triflates. Org. Lett. 2016, 18, 4128–4131. [Google Scholar] [CrossRef] [PubMed]
- Fischer, C.; Koenig, B. Palladium-and copper-mediated N-aryl bond formation reactions for the synthesis of biologically active compounds. Beilstein J.Org. Chem. 2011, 7, 59–74. [Google Scholar] [CrossRef] [PubMed]
- Ma, D.; Zhang, Y.; Yao, J.; Wu, S.; Tao, F. Accelerating effect induced by the structure of α-amino acid in the copper-catalysed coupling reaction of aryl halides with α-amino acids. Synthesis of benzolactam-V8. J. Am. Chem. Soc. 1998, 120, 12459–12467. [Google Scholar] [CrossRef]
- Chu, W.; Yang, Y.; Cai, J.; Kong, H.; Bai, M.; Fu, X.; Qin, S.; Zhang, E. Synthesis and bioactivities of new membrane-active agents with aromatic linker: High selectivity and broad-spectrum antibacterial activity. ACS Infect. Dis. 2019, 5, 1535–1545. [Google Scholar] [CrossRef] [PubMed]
- Fang, H.; Chen, Z.; Liu, Y.; Zhang, T.; Chang, J.; Li, Z.; Zhang, L.; Sui, J.; Ru, J.; Gu, Y.; et al. Discovery of Aryloxy-, Arylthio-, and Arylamino-Containing Acethydrazides as Fungicidal Agents. J. Agric. Food Chem. 2023, 71, 920–933. [Google Scholar] [CrossRef] [PubMed]
- Nowak, M.G.; Skwarecki, A.S.; Milewska, M.J. Amino Acid Based Antimicrobial Agents—Synthesis and Properties. ChemMedChem 2021, 16, 3513–3544. [Google Scholar] [CrossRef] [PubMed]
- Malkov, A.V.; Stončius, S.; MacDougall, K.N.; Mariani, A.; McGeoch, G.D.; Kočovský, P. Formamides derived from N-methyl amino acids serve as new chiral organocatalysts in the enantioselective reduction of aromatic ketimines with trichlorosilane. Tetrahedron 2006, 62, 264–284. [Google Scholar] [CrossRef]
- World Health Organization. Antimicrobial-Resistance. 2021. Available online: https://www.who.int/news-room/fact-sheets/detail/antimicrobial-resistance (accessed on 25 March 2022).
- World Health Organization. Global Priority List of Antibiotic-Resistant Bacteria to Guide Research, Discovery, and Development of New Antibiotics. 2017. Available online: http://www.quotidianosanita.it/allegati/allegato4135670.pdf (accessed on 27 April 2022).
- De Oliveira, D.M.; Forde, B.M.; Kidd, T.J.; Harris, P.N.; Schembri, M.A.; Beatson, S.A.; Paterson, D.L.; Walker, M.J. Antimicrobial resistance in ESKAPE pathogens. Clin. Microbiol. Rev. 2020, 33, e00181-19. [Google Scholar] [CrossRef] [PubMed]
- Vargas-Casanova, Y.; Rodríguez-Mayor, A.V.; Cardenas, K.J.; Leal-Castro, A.L.; Muñoz-Molina, L.C.; Fierro-Medina, R.; Rivera-Monroy, Z.J.; García-Castañeda, J.E. Synergistic bactericide and antibiotic effects of dimeric, tetrameric, or palindromic peptides containing the RWQWR motif against gram-positive and gram-negative strains. RSC Adv. 2019, 9, 7239–7245. [Google Scholar] [CrossRef] [PubMed]
- Pezzella, C.; Ricci, A.; DiGiannatale, E.; Luzzi, I.; Carattoli, A. Tetracycline and streptomycin resistance genes, transposons, and plasmids in Salmonella enterica isolates from animals in Italy. Antimicrob. Agents Chemother. 2004, 48, 903–908. [Google Scholar] [CrossRef] [PubMed]
- Partridge, S.R.; Kwong, S.M.; Firth, N.; Jensen, S.O. Mobile genetic elements associated with antimicrobial resistance. Clin. Microbiol. Rev. 2018, 31, e00088-17. [Google Scholar] [CrossRef] [PubMed]
- Tanwar, J.; Das, S.; Fatima, Z.; Hameed, S. Multidrug resistance: An emerging crisis. Interdiscip. Perspect. Infect. Dis. 2014, 2014, 541340. [Google Scholar] [CrossRef] [PubMed]
- Dadgostar, P. Antimicrobial resistance: Implications and costs. Infect. Drug Resist. 2019, 12, 3903. [Google Scholar] [CrossRef] [PubMed]
- Osinubi, A.D.; Izunobi, J.U.; Asekun, O.T.; Familoni, O.B.; Bao, X. Transition Metal-Free, Base-Induced Arylation of Amino Acids: Synthesis of N-(para-Substituted phenyl)amino-2-carboxylic acids. ChemistrySelect 2020, 5, 8644–8648. [Google Scholar] [CrossRef]
- Osinubi, A.; Izunobi, J.; Bao, X.; Asekun, O.; Kong, J.; Gui, C.; Familoni, O. Synthesis and in vitro anticancer activities of substituted N-(4′-nitrophenyl)-L-prolinamides. R. Soc. Open Sci. 2020, 7, 200906. [Google Scholar] [CrossRef] [PubMed]
- Adeniyi, B.A.; Odelola, H.A.; Oso, B.A. Antimicrobial potentials of Diospyros mespiliformis (Ebenaceae). Afr. J. Med. Med. Sci. 1996, 25, 221–224. [Google Scholar] [PubMed]
- Adeniyi, C.B.A.; Lawal, T.O.; Mahady, G.B. In vitro susceptibility of Helicobacter pylori to extracts of Eucalyptus camaldulensis and Eucalyptus torelliana. Pharm. Biol. 2009, 47, 99–102. [Google Scholar] [CrossRef] [PubMed]




| Entry | R1-Ar-X | AMINO ACID | Product | Yield | |
|---|---|---|---|---|---|
| R1 | X | (%) | |||
| 1. | NO2 | F | 2a | N-(4-Nitrophenyl)-L-proline (3a) | 90 |
| 2. | NO2 | F | 2b | N-(4-Nitrophenyl)-D, L-pipecolinic acid (3b) | 70 a |
| 3. | CN | F | 2a | N-(4-Cyanophenyl)-L-proline (3c) | 69 |
| 4. | CHO | F | 2a | N-(4-Formylphenyl)-L-proline (3d) | 65 |
| 5. | NO2 (OH) | F | 2d | N-(4-Nitrophenyl)-L-hydroxyproline (3e) | 89 |
| 6. | CH3CO | F | 2a | N-(4-Acetylphenyl)-L-proline (3f) | 54 |
| 7. | NO2 (S) | F | 2c | N-(4-Nitrophenyl)-L-thioproline (3g) | 35 b |
| 8. | NO2 | F | 2g | N-(4-Nitrophenyl)-L-phenylalanine (3h) | 30 c |
| 9. | NO2 | F | 2e | N-(4-Nitrophenyl)-L-alanine (3i) | 25 b |
| 10. | NO2 | F | 2f | N-(4-Nitrophenyl)-L-valine (3j) | 50 |
| Bacterial Strains | 3a R1 = NO2 n = 3 | 3b R1 = NO2 n = 4 | 3c R1 = CN n = 3 | 3d R1 = CHO n = 3 | 3e R1 = NO2 R2 = OH n = 3 | 3f R1 = CH3CO n = 3 | 3g R1 = NO2, Thioproline n = 3 | 3h R1 = NO2 n = 0 | 3i R1 = NO2 n = 0 | 3j R1 = NO2 n = 0 | Strep |
|---|---|---|---|---|---|---|---|---|---|---|---|
| (a) Gram-positive | |||||||||||
| Bacillus subtilis | - | - | - | - | - | - | - | - | - | - | 40 |
| Streptococcus pneumoniae | 16 | 10 | - | 16 | 6 | 8 | 10 | 6 | 14 | 18 | 10 |
| Staphylococcus aureus | 22 | 10 | 16 | 12 | 14 | 12 | - | 12 | 10 | 20 | 16 |
| Staphylococcus epidermidis | 8 | 10 | 16 | 16 | 14 | 12 | - | 10 | 12 | 18 | 30 |
| (b) Gram-negative | |||||||||||
| Enterobacter cloacae | 8 | 4 | - | 8 | 4 | 2 | - | 4 | 4 | 4 | 16 |
| Escherichia coli | 12 | 6 | 8 | 6 | 6 | 8 | 6 | 6 | 8 | 20 | 8 |
| Proteus mirabilis | 12 | 6 | 8 | 16 | 6 | 8 | 6 | 4 | 12 | 18 | 8 |
| Klebsiella oxytoca | 10 | 8 | - | 12 | 6 | 4 | 10 | 6 | 10 | 12 | 12 |
| Bacterial Strains | 3a | 3b | 3c | 3d | 3e | 3f | 3h | 3j |
|---|---|---|---|---|---|---|---|---|
| (a) Gram-positive | ||||||||
| Bacillus subtilis | - | - | - | - | - | - | - | - |
| Streptococcus pneumoniae | 5 | 20 | >20 | 10 | >20 | 20 | >20 | 20 |
| Staphylococcus aureus | 5 | 20 | 10 | >20 | 10 | 10 | >20 | 10 |
| Staphylococcus epidermidis | 5 | >20 | 10 | 10 | 10 | 10 | 10 | 10 |
| (b) Gram-negative | ||||||||
| Enterobacter cloacae | 5 | >20 | >20 | >20 | >20 | 20 | >20 | 20 |
| Escherichia coli | 2.5 | 5 | 2.5 | 10 | 5 | 5 | 10 | 1.25 |
| Proteus mirabilis | 5 | 20 | 10 | 10 | 10 | 20 | >20 | 5 |
| Klebsiella oxytoca | 5 | 10 | >20 | 20 | >20 | 20 | 10 | 2.5 |
Disclaimer/Publisher’s Note: The statements, opinions and data contained in all publications are solely those of the individual author(s) and contributor(s) and not of MDPI and/or the editor(s). MDPI and/or the editor(s) disclaim responsibility for any injury to people or property resulting from any ideas, methods, instructions or products referred to in the content. |
© 2023 by the authors. Licensee MDPI, Basel, Switzerland. This article is an open access article distributed under the terms and conditions of the Creative Commons Attribution (CC BY) license (https://creativecommons.org/licenses/by/4.0/).
Share and Cite
Osinubi, A.D.; Asekun, O.T.; Familoni, O.B. N-Aryl Amino Acids as Potential Antibacterial Agents. Reactions 2023, 4, 286-294. https://doi.org/10.3390/reactions4020017
Osinubi AD, Asekun OT, Familoni OB. N-Aryl Amino Acids as Potential Antibacterial Agents. Reactions. 2023; 4(2):286-294. https://doi.org/10.3390/reactions4020017
Chicago/Turabian StyleOsinubi, Adejoke D., Olayinka T. Asekun, and Oluwole B. Familoni. 2023. "N-Aryl Amino Acids as Potential Antibacterial Agents" Reactions 4, no. 2: 286-294. https://doi.org/10.3390/reactions4020017
APA StyleOsinubi, A. D., Asekun, O. T., & Familoni, O. B. (2023). N-Aryl Amino Acids as Potential Antibacterial Agents. Reactions, 4(2), 286-294. https://doi.org/10.3390/reactions4020017

