An Upper Limit to O2 Evolution as Test for Radical and Nonradical Mechanisms for the Fenton Reaction
Abstract
:1. Introduction
2. The Mechanism
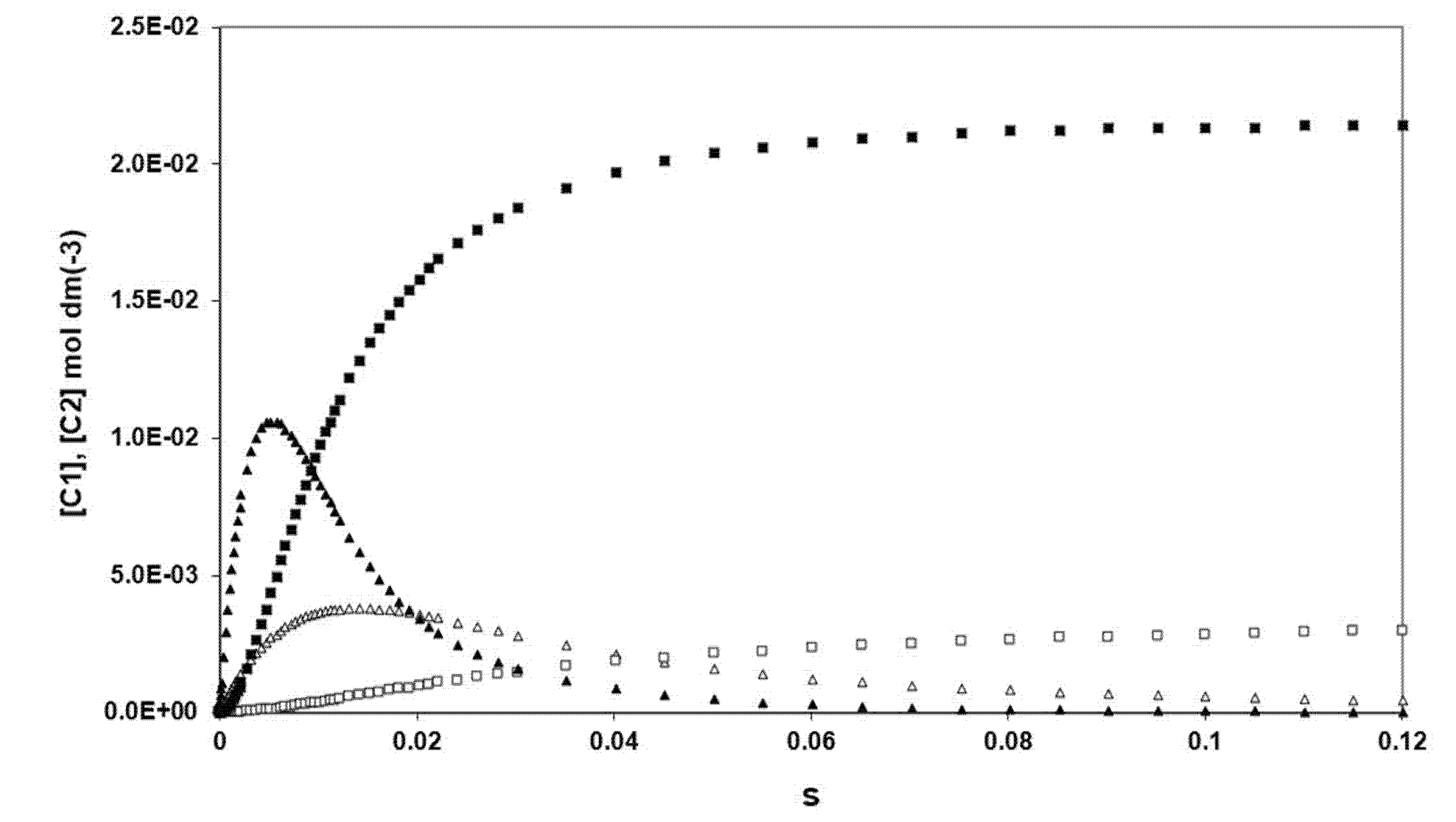
3. Results
| [Fe2+]o = 4.00 × 10−2 mol dm−3 | |
| [H2O2]o = 0.5 mol dm−3 (triangles) | [H2O2]o = 3.5 mol dm−3 (squares) |
| k1 = 3.84 × 10 mol−1 dm3 s−1 | k3 = 1.19 × 102 s−1 |
| k9 = 3.16 × 10 mol−1 dm3 s−1 | k10 = 2.02 × 10−4 s−1 |
| k4/k5 = 2.82 × 10−3 | k6/k5 = 1.52 × 10−1 |
4. Discussion
- The starting value of R1 was 0.12. It rose in 0.2 s to 0.59 and remains constant.(Although [H2O2] is decreasing, R1 is increasing due to the steep decrease in the [Fe2+] term in the denominator.)
- The starting value of R2 was 0.88. It decreased in 0.2 s to practically zero.
- The starting value of R3 was 0. It rose in 0.2 s to 0.41 and remained constant.
5. Free Radical Models of the Mechanism of the Fenton Reaction
6. Conclusions
- Change in the ratio of concentrations of the products when the ratio of concentrations of reactants is varied.
- Coupling of the evolution of O2 with the regeneration of Fe2+.
- The existence of an upper limit to the amount of O2 formed when [H2O2] is increased beyond a certain value.The mechanism of Haber and Weiss fails to explain all three points.The mechanism of Barb et al. explains points one and two but fails to explain point three [4].The nonradical mechanism explains all three points.
Funding
Conflicts of Interest
References
- Pignatello, J.J.; Oliveros, E.; MacKay, A. Advanced oxidation processes for organic contaminant destruction based on the Fenton reaction and related chemistry. Crit. Rev. Environ. Sci. Tech. 2006, 36, 1–84. [Google Scholar] [CrossRef]
- Burkitt, M.J. Chemical, Biological and Medical Controversies Surrounding the Fenton Reaction. Prog. React. Kinet. Mech. 2003, 28, 75–104. [Google Scholar] [CrossRef]
- Haber, F.; Weiss, J. The catalytic decomposition of hydrogen peroxide by iron salts. J. Proc. R. Lond. Ser. A 1934, 147, 332–349. [Google Scholar]
- Barb, W.G.; Baxendale, J.H.; George, P.; Hargrave, K.R. Reactions of ferrous and ferric ions with hydrogen peroxide. Part 1–the ferrous\ ion reaction. Trans. Faraday Soc. 1951, 47, 462–500. [Google Scholar] [CrossRef]
- Bray, W.C.; Gorin, M.H. Ferryl ion, a compound of tetravalent iron. J. Am. Chem. Soc. 1932, 54, 2124–2125. [Google Scholar] [CrossRef]
- Walling, C. Fenton’s reagent revisited. Acc. Chem. Res. 1975, 8, 125–131. [Google Scholar] [CrossRef]
- Walling, C. Intermediates in the Reactions of Fenton Type Reagents. Acc. Chem. Res. 1998, 31, 155–157. [Google Scholar] [CrossRef]
- Goldstein, S.; Meyerstein, D.; Czapski, G. The Fenton Reagents. Free Radical Biol. Med. 1993, 15, 435–445. [Google Scholar] [CrossRef]
- Dunford, H.B. Oxidations of iron(II)/iron(III) by hydrogen peroxide from aquo to enzyme. Coord. Chem. Rev. 2002, 233–234, 311–318. [Google Scholar] [CrossRef]
- Kremer, M.L. Mechanism of the Fenton reaction. Evidence for a new intermediate. Phys. Chem. Chem. Phys. 1999, 1, 3595–3605. [Google Scholar] [CrossRef]
- Kremer, M.L. New kinetic analysis of the Fenton reaction: Critical examination of the free radical–chain reaction concept. Prog. React. Kinet. Mech. 2019, 44, 289–299. [Google Scholar] [CrossRef] [Green Version]
- Gallard, H.; de Laat, J.; Legube, B. Effect of pH on the Oxidation Rate of Organic Compounds by FeII/H2O2. Mechanisms and simulation. New J. Chem. 1998, 22, 263–268. [Google Scholar] [CrossRef]
- de Laat, J.; Gallard, H. Catalytic Decomposition of Hydrogen Peroxide by Fe(III) in Homogeneous Aqueous Solution: Mechanism and Kinetic Modeling. Environ. Sci. Technol. 1999, 33, 2726–2732. [Google Scholar] [CrossRef]
- Bossmann, S.H.; Oliveros, E.; Göb, S.; Siegwart, S.; Dahlen, E.P.; Payavan, L., Jr.; Straub, M.; Wörner, M.; Braun, A.M. New Evidence against Hydroxyl Radicals as Reactive Intermediates in the Thermal and Photochemically Enhanced Fenton Reactions. J. Phys. Chem. A 1998, 102, 5542–5550. [Google Scholar] [CrossRef]
- Buda, F.; Ensing, B.; Gribnau, M.C.M.; Baerends, E. DFT Study of the Active Intermediate in the Fenton Reaction. Chem. Eur. J. 2001, 7, 2775–2783. [Google Scholar] [CrossRef]
- Lu, H.F.; Chen, H.F.; Kao, C.L.; ChaO, I.; Chen, H.Y. A computational study of the Fenton reaction in different pH ranges. Phys. Chem. Chem. Phys. 2018, 20, 22890–22901. [Google Scholar] [CrossRef] [PubMed]
- Rush, J.D.; Koppenol, W.H. The reaction between ferrous polyaminocarboxylate complexes and hydrogen peroxide: An investigation of the reaction intermediates by stopped flow spectrophotometry. J. Inorg. Biochem. 1987, 29, 199–215. [Google Scholar] [CrossRef]
- Masarwa, A.; Rachmilowich-Calis, S.; Meyerstein, N.; Meyerstein, D. Oxidation of organic substrates in aerated aqueous solutions by the Fenton reagent. Coord. Chem. Rev. 2005, 249, 1937–1943. [Google Scholar] [CrossRef]
- Kremer, M.L. Strong inhibition of the Fe3+ + H2O2 reaction by ethanol: Evidence against the free radical theory. Prog. React. Kinet. Mech. 2017, 42, 397–413. [Google Scholar] [CrossRef]
- Perez-Benito, J.F. Iron (III)–Hydrogen Peroxide Reaction: Kinetic Evidence for a Hydroxyl–Mediated Chain Mechanism. J. Phys. Chem. A 2004, 108, 4853–4858. [Google Scholar] [CrossRef]







| [O2]exp mol dm−3 | [O2]sim mol dm−3 | [H2O2]o mol dm−3 |
|---|---|---|
| 1.40 × 10−2 | 1.41 × 10−2 | 0.5 |
| 1.40 × 10−2 | 1.38 × 10−2 | 1 |
| ----- | 1.40 × 10−2 | 1.5 |
| 1.40 × 10−2 | 1.41 × 10−2 | 2 |
| ----- | 1.41 × 10−2 | 2.5 |
| ----- | 1.40 × 10−2 | 3 |
| 1.37 × 10−2 | 1.39 × 10−2 | 3.5 |
Publisher’s Note: MDPI stays neutral with regard to jurisdictional claims in published maps and institutional affiliations. |
© 2021 by the author. Licensee MDPI, Basel, Switzerland. This article is an open access article distributed under the terms and conditions of the Creative Commons Attribution (CC BY) license (https://creativecommons.org/licenses/by/4.0/).
Share and Cite
Kremer, M.L. An Upper Limit to O2 Evolution as Test for Radical and Nonradical Mechanisms for the Fenton Reaction. Reactions 2021, 2, 301-311. https://doi.org/10.3390/reactions2030019
Kremer ML. An Upper Limit to O2 Evolution as Test for Radical and Nonradical Mechanisms for the Fenton Reaction. Reactions. 2021; 2(3):301-311. https://doi.org/10.3390/reactions2030019
Chicago/Turabian StyleKremer, Mordechai L. 2021. "An Upper Limit to O2 Evolution as Test for Radical and Nonradical Mechanisms for the Fenton Reaction" Reactions 2, no. 3: 301-311. https://doi.org/10.3390/reactions2030019
APA StyleKremer, M. L. (2021). An Upper Limit to O2 Evolution as Test for Radical and Nonradical Mechanisms for the Fenton Reaction. Reactions, 2(3), 301-311. https://doi.org/10.3390/reactions2030019
