Effects of Combination of Cover Crops and Controlled Agricultural Machinery Traffic on Soybean Performance and Yield
Abstract
1. Introduction
2. Materials and Methods
2.1. Study Location
2.2. Experimental Procedure
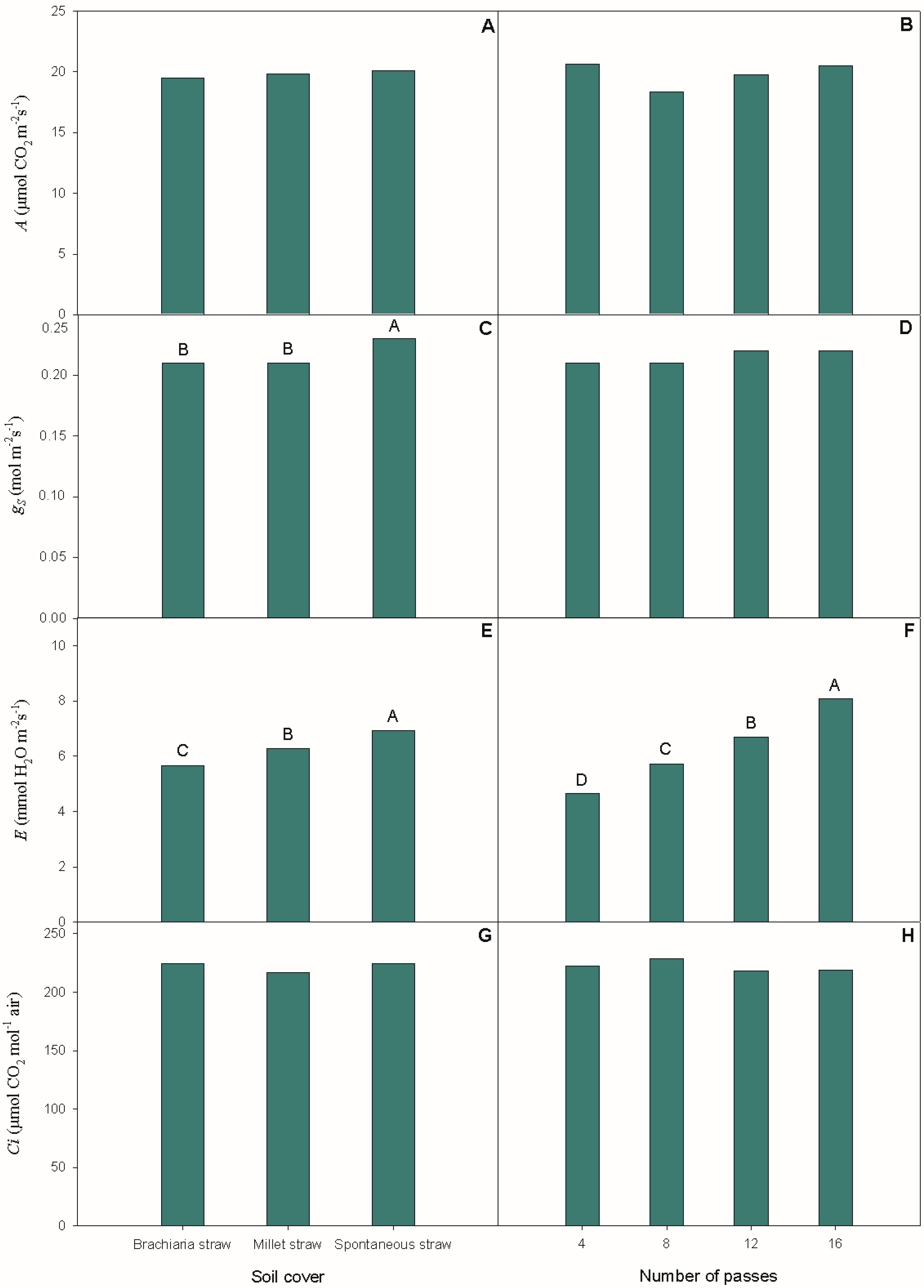
2.3. Gas Exchange Analysis
2.4. Phenological and Productive Response of Soybeans
2.5. Statistical Analysis
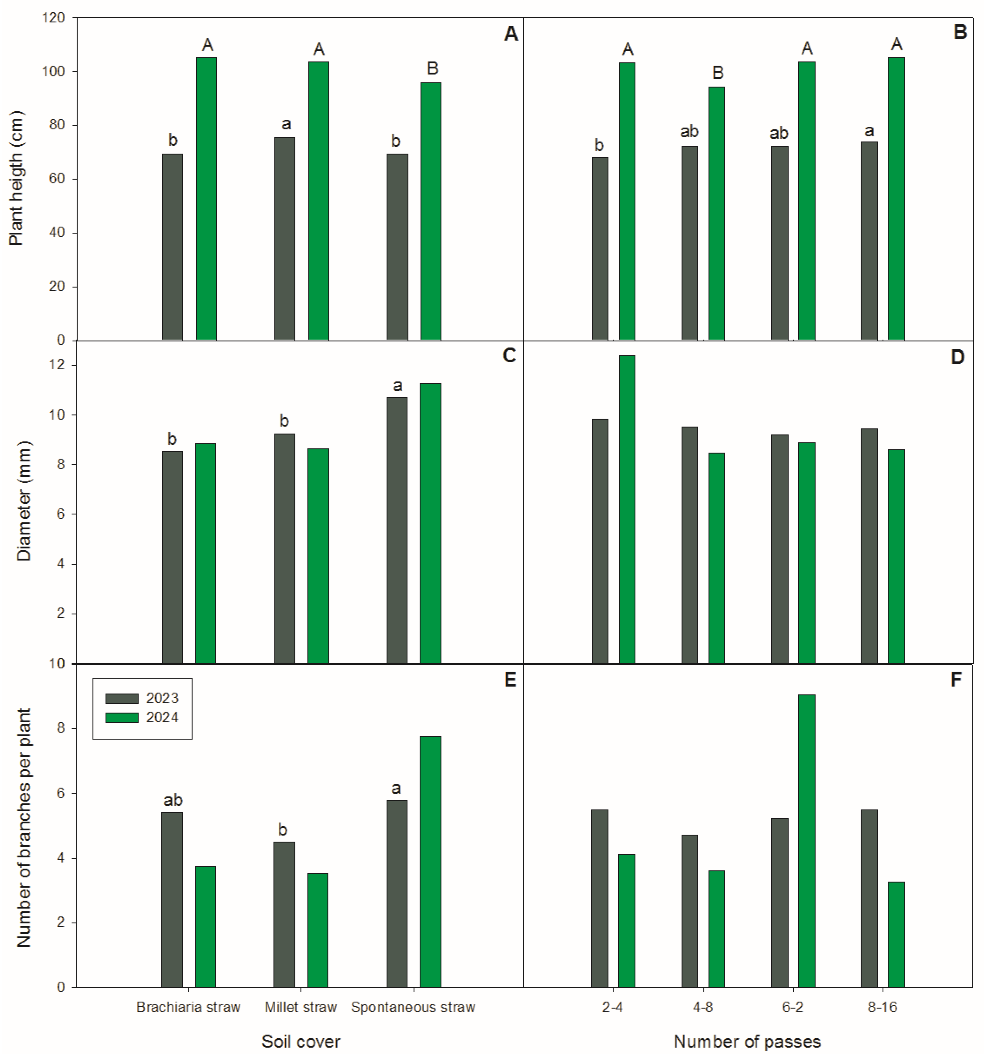
3. Results

4. Discussion
5. Conclusions
Author Contributions
Funding
Data Availability Statement
Conflicts of Interest
References
- Klein, H.S.; Luna, F.V. Soybeans. In Brazilian Crops in the Global Market: The Emergence of Brazil as a World Agribusiness Exporter Since 1950; Springer Nature: Cham, Switzerland, 2023; pp. 79–106. [Google Scholar]
- dos Santos, P.R.R.; Ribeiro, B.G.; de Souza, L.N.; Ribeiro, S.L.M.; de Carvalho, E.V. Performance of soybean cultivars for seed production in tropical floodplains under different growing conditions. Rev. Agric. Neotrop. 2024, 11, e8541. [Google Scholar] [CrossRef]
- Li, X.; Chen, M.; He, S.; Xu, X.; Shao, P.; Su, Y.; He, L.; Qiao, J.; Xu, M.; Zhao, Y.; et al. Optimization of the Canopy Three-Dimensional Reconstruction Method for Intercropped Soybeans and Early Yield Prediction. Agriculture 2025, 15, 729. [Google Scholar] [CrossRef]
- Pacheco, L.P.; Kappes, C.; Côrt, A.S.D.; da Silva, R.G.; de Souza, E.D.; Guedes, T.R.M.; Silva, L.S.; Ratke, R.F.; Petter, F.A.; Ferreira, J.H.d.S.; et al. Crop rotation and succession in soybean production systems: Cover crop biomass, grain yield and revenue. Plant Soil 2025, 517, 525–542. [Google Scholar] [CrossRef]
- Hancock, C.N.; Hancock, L.R.; Fogle, B.; Kirk, K. Identification of Nitrogen-Deficient Soybeans Facilitates Yield Rescue. Agriculture 2025, 15, 2314. [Google Scholar] [CrossRef]
- Driesen, E.; Van den Ende, W.; De Proft, M.; Saeys, W. Influence of Environmental Factors Light, CO2, Temperature, and Relative Humidity on Stomatal Opening and Development: A Review. Agronomy 2020, 10, 1975. [Google Scholar] [CrossRef]
- Giller, K.E.; Hijbeek, R.; Andersson, J.A.; Sumberg, J. Regenerative agriculture: An agronomic perspective. Outlook Agric. 2021, 50, 13–25. [Google Scholar] [CrossRef] [PubMed]
- Possamai, E.J.; Conceição, P.C.; Amadori, C.; Bartz, M.L.C.; Ralisch, R.; Vicensi, M.; Marx, E.F. Adoption of the no-tillage system in Paraná State: A review. Rev. Bras. Ciência Solo 2022, 46, e0210104. [Google Scholar] [CrossRef]
- Rempelos, L.; Kabourakis, E.; Leifert, C. Innovative Organic and Regenerative Agricultural Production. Agronomy 2023, 13, 1344. [Google Scholar] [CrossRef]
- Merlo, M.N.; Avanzi, J.C.; Silva, L.d.C.M.d.; Aragão, O.O.d.S.; Borghi, E.; Moreira, F.M.d.S.; Thebaldi, M.S.; Resende, Á.V.d.; Silva, M.L.N.; Silva, B.M. Microbiological Properties in Cropping Systems and Their Relationship with Water Erosion in the Brazilian Cerrado. Water 2022, 14, 614. [Google Scholar] [CrossRef]
- Rampim, L.; Pott, C.A.; Volanin, A.J.D.; Spliethoff, J.; Camilo, E.L.; Camilo, M.L.; Conrado, A.M.C.; Kolling, C.E.; Conrado, P.M.; Garcia Neto, E. Influence of mechanical management and green manure on physical attributes of Oxisol Research Society and Development. Res. Soc. Dev. 2020, 9, e173953258. [Google Scholar] [CrossRef]
- Voisin, R.; Horwitz, P.; Godrich, S.; Sambell, R.; Cullerton, K.; Devine, A. What goes in and what comes out: A scoping review of regenerative agricultural practices. Agroecol. Sustain. Food Syst. 2024, 48, 124–158. [Google Scholar] [CrossRef]
- Zhang, Z.; Peng, X. Bio-tillage: A new perspective for sustainable agriculture. Soil Tillage Res. 2021, 206, 104844. [Google Scholar] [CrossRef]
- Han, E.; Kautz, T.; Perkons, U.; Lüsebrink, M.; Pude, R.; Köpke, U. Quantification of soil biopore density after perennial fodder cropping. Plant Soil 2015, 394, 73–85. [Google Scholar] [CrossRef]
- Silva, G.F.d.; Matusevicius, A.P.O.; Calonego, J.C.; Chamma, L.; Luperini, B.C.O.; Alves, M.d.S.; Leite, H.M.F.; Pinto, E.d.J.; Silva, M.d.A.; Putti, F.F. Soil–Plant Relationships in Soybean Cultivated under Crop Rotation after 17 Years of No-Tillage and Occasional Chiseling. Plants 2022, 11, 2657. [Google Scholar] [CrossRef] [PubMed]
- Ferreira, C.J.B.; Tormena, C.A.; Severiano, E.C.; Zotarelli, L.; Júnior, E.B. Soil compaction influences soil physical quality and soybean yield under long-term no-tillage. Arch. Agron. Soil Sci. 2021, 3, 383–396. [Google Scholar] [CrossRef]
- Azevedo, C.V.G.; Val, B.H.P.; Araújo, L.C.A.; Juhász, A.C.P.; Di Mauro, A.O.; Trevisoli, S.H.U. Genetic Parameters of Soybean Populations Obtained from Crosses between Grain and Food Genotypes. Acta Sci. Agron. 2021, 43, e46968. [Google Scholar] [CrossRef]
- Calonego, J.C.; Raphael, J.P.; Rigon, J.P.; de Oliveira Neto, L.; Rosolem, C.A. Soil compaction management and soybean yields with cover crops under no-till and occasional chiseling. Eur. J. Agron. 2017, 85, 31–37. [Google Scholar] [CrossRef]
- Nagaoka, A.K.; Marques Filho, A.C.; Lanças, K.P. Agricultural Tire Test: Straw Cover Effect on Reducing Soil Compaction by Cargo Vehicles. AgriEngineering 2024, 6, 3016–3029. [Google Scholar] [CrossRef]
- Martínez, I.; Chervet, A.; Weisskopf, P.; Sturny, W.G.; Etana, A.; Steller, M.; Forkman, J.; Keller, T. Two decades of no-till in the Oberacker long-term field experiment: Part I. Crop yield, soil organic carbon and nutrient distribution in the soil profile. Soil Tillage Res. 2016, 163, 141–151. [Google Scholar] [CrossRef]
- Lanças, K.P.; Marques Filho, A.C.; Santana, L.S.; Ferraz, G.A.e.S.; Faria, R.O.; Martins, M.B. Agricultural Tractor Test: A Bibliometric Review. AgriEngineering 2024, 6, 2229–2248. [Google Scholar] [CrossRef]
- Normirzayev, A.R.; Nuriddinov, A.D.; Tukhtabayev, M.A. Undercarriages impact on soil of machine-tractor units during tillage and cultivation of agricultural crops. AIP Conf. Proc. 2023, 2612, 030032. [Google Scholar] [CrossRef]
- Bogunovic, I.; Pereira, P.; Kisic, I.; Sajko, K.; Sraka, M. Tillage management impacts on soil compaction, erosion and crop yield in Stagnosols (Croatia). Catena 2018, 160, 376–384. [Google Scholar] [CrossRef]
- Esteban, D.A.A.; Souza, Z.M.; Tormena, C.A.; Gomes, M.G.S.; Parra, J.A.S.; Júnnyor, W.S.G.; Moraes, M.T. Risk assessment of soil compaction due to machinery traffic used in infield transportation of sugarcane during mechanized harvesting. Soil Tillage Res. 2024, 244, 106206. [Google Scholar] [CrossRef]
- Woldeyohannis, Y.S.; Hiremath, S.S.; Tola, S.; Wako, A. Influence of soil physical and chemical characteristics on soil compaction in farm field. Heliyon 2024, 10, e25140. [Google Scholar] [CrossRef] [PubMed]
- Luz, F.B.; Gonzaga, L.C.; Castioni, G.A.F.; de Lima, R.P.; Carvalho, J.L.N.; Cherubin, M.R. Controlled traffic farming maintains soil physical functionality in sugarcane fields. Geoderma 2023, 432, 116427. [Google Scholar] [CrossRef]
- Bulgakov, V.; Pascuzzi, S.; Nadykto, V.; Adamchuk, V.; Kaminskiy, V.; Kyurchev, V.; Santoro, F. Effects of Tractor and Soil Parameters on the Depth of the Permanent Traffic Lanes in Controlled Traffic Farming Systems. Appl. Sci. 2022, 12, 6620. [Google Scholar] [CrossRef]
- Martins, M.B.; Marques Filho, A.C.; Seron, C.d.C.; Guimarães Júnnyor, W.d.S.; Vendruscolo, E.P.; Bortolheiro, F.P.d.A.P.; Blanco Bertolo, D.M.; Lopes, A.G.C.; Santana, L.S. Controlled Traffic Farm: Fuel Demand and Carbon Emissions in Soybean Sowing. AgriEngineering 2024, 6, 1794–1806. [Google Scholar] [CrossRef]
- Benković, R.; Šumanovac, L.; Jug, D.; Jug, I.; Japundžić-Palenkić, B.; Mirosavljević, K.; Popijač, M.; Benković-Lačić, T. Influence of Aggregated Tillage Implements on Fuel Consumption and Wheel Slippage. Teh. Vjesn. 2021, 28, 956–962. [Google Scholar] [CrossRef]
- Botta, G.F.; Antille, D.L.; Ghelfi, D.G.; Rivero, D.; Ezquerra-Canalejo, A. Quantifying the wheeled area of a random traffic, no-tillage soybean production system. In 2023 ASABE Annual International Meeting; American Society of Agricultural and Biological Engineers: Saint Joseph, MI, USA, 2023; p. 1. [Google Scholar] [CrossRef]
- Colombi, T.; Keller, T. Developing strategies to recover crop productivity after soil compaction—A plant eco-physiological perspective. Soil Tillage Res. 2019, 191, 156–161. [Google Scholar] [CrossRef]
- Bareta Junior, E.; Genú, A.M.; Rampim, L.; Umburanas, R.C.; Pott, C.A. Critical limits of soil physical attributes for corn and black oat in a Xanthic Hapludox. Rev. Ciência Agron. 2022, 53, e20207533. [Google Scholar] [CrossRef]
- Santos, H.G.; Jacomine, P.K.T.; Anjos, L.H.C.; Oliveira, V.Á.; Lumbreras, J.F.; Coelho, M.R.; Almeida, J.A.; de Filho, J.C.A.; Oliveira, J.B.; Cunha, T.J.F. Sistema Brasileiro de Classificação de Solos; Centro Nacional de Pesquisa de Solos: Rio de Janeiro, Brazil, 2018; ISBN 978-85-7035-198-2. [Google Scholar]
- IUSS Working Group. World Reference Base for Soil Resources 2014: International Soil Classification System for Naming Soils and Creating Legends for Soil Maps; FAO: Rome, Italy, 2015. [Google Scholar]
- Silva, J.A.G.; de Pinho Costa, K.A.; da Costa, S.E.; da Silva, A.G.; Vilela, L.; Leandro, W.M.; Muniz, M.P.; da Silva, L.M.; Mendonça, K.T.M.; Barros, V.M. Efficiency of desiccation, decomposition and release of nutrients in the biomass of forage plants of the genus brachiaria after intercropping with sorghum in integrated systems for soybean productivity. Commun. Soil Sci. Plant Anal. 2024, 55, 1644–1662. [Google Scholar] [CrossRef]
- Zhang, G.; Yang, H.; Zhang, W.; Bezemer, T.M.; Liang, W.; Li, Q.; Li, L. Interspecific interactions between crops influence soil functional groups and networks in a maize/soybean intercropping system. Agric. Ecosyst. Environ. 2023, 355, 108595. [Google Scholar] [CrossRef]
- Côrt, A.S.D.; Pacheco, L.P.; Guedes, T.R.M.; Silva, L.S.; Greco, T.M.; de Macedo, K.S.; Batista, E.R.; de Souza, E.D.; da Silva, I.A.G.; Crusciol, C.A.C. Crop rotation with Species Diversification During Off-season Impact the Nutrient Cycling in No-tillage System. J. Soil Sci. Plant Nutr. 2025, 25, 5427–5438. [Google Scholar] [CrossRef]
- Silva, G.F.; Calonego, J.C.; Luperini, B.C.O.; Chamma, L.; Alves, E.R.; Rodrigues, S.A.; Putti, F.F.; da Silva, V.M.; de Almeida Silva, M. Soil—Plant Relationships in Soybean Cultivated under Conventional Tillage and Long-Term No-Tillage. Agronomy 2022, 12, 697. [Google Scholar] [CrossRef]
- Jacobs, A.A.; Evans, R.S.; Allison, J.K.; Garner, E.R.; Kingery, W.L.; McCulley, R.L. Cover crops and no-tillage reduce crop production costs and soil loss, compensating for lack of short-term soil quality improvement in a maize and soybean production system. Soil Tillage Res. 2022, 218, 105310. [Google Scholar] [CrossRef]
- Anda, A.; Simon-Gáspár, B.; Soós, G. The Application of a Self-Organizing Model for the Estimation of Crop Water Stress Index (CWSI) in Soybean with Different Watering Levels. Water 2021, 13, 3306. [Google Scholar] [CrossRef]
- Hussein, M.A.; Antille, D.L.; Kodur, S.; Chen, G.; Tullberg, J.N. Controlled traffic farming effects on productivity of grain sorghum, rainfall and fertiliser nitrogen use efficiency. J. Agric. Food Res. 2021, 3, 100111. [Google Scholar] [CrossRef]
- Silva, M.A.; Nascente, A.S.; Frasca, L.L.M.; Rezende, C.C.; Ferreira, E.A.S.; Filipi, M.C.C.; Lanna, A.C.; Ferreira, E.P.B.; Lacerda, M.C. Isolated and Mixed Cover Crops to Improve Soil Quality and Commercial Crops in the Cerrado. Res. Soc. Dev. 2021, 10, e11101220008. [Google Scholar] [CrossRef]
- Girardello, V.C.; Amado, T.J.C.; Santi, A.L.; Lanzabova, M.E.; Tasca, A. Resistência do solo a penetração e desenvolvimento radicular da soja sob sistema plantio direto com tráfego controlado de máquinas agrícolas. Sci. Agropecu. 2017, 2, 86–96. [Google Scholar] [CrossRef]
- Sivarajan, S.; Maharlooei, M.; Bajwa, S.G.; Nowatzki, J. Impact of soil compaction due to wheel traffic on corn and soybean growth, development and yield. Soil Tillage Res. 2018, 175, 234–243. [Google Scholar] [CrossRef]
- Godwin, R.J.; White, D.R.; Dickin, E.T.; Kaczorowska-Dolowy, M.; Millington, W.A.; Pope, E.K.; Misiewicz, P.A. The effects of traffic management systems on the yield and economics of crops grown in deep, shallow and zero tilled sandy loam soil over eight years. Soil Tillage Res. 2022, 223, 105465. [Google Scholar] [CrossRef]
- Tamirat, T.W.; Pedersen, S.M.; Farquharson, R.J.; de Bruin, S.; Forristal, P.D.; Sørensen, C.G.; Nuyttens, D.; Pedersen, H.H.; Thomsen, M.N. Controlled traffic farming and field traffic management: Perceptions of farmers groups from Northern and Western European countries. Soil Tillage Res. 2022, 217, 105288. [Google Scholar] [CrossRef]





Disclaimer/Publisher’s Note: The statements, opinions and data contained in all publications are solely those of the individual author(s) and contributor(s) and not of MDPI and/or the editor(s). MDPI and/or the editor(s) disclaim responsibility for any injury to people or property resulting from any ideas, methods, instructions or products referred to in the content. |
© 2026 by the authors. Licensee MDPI, Basel, Switzerland. This article is an open access article distributed under the terms and conditions of the Creative Commons Attribution (CC BY) license.
Share and Cite
Bortolheiro, F.P.d.A.P.; Martins, M.B.; Filho, A.C.M.; Ribeiro, V.; Vendruscolo, E.P.; Seron, C.d.C.; Costa, E.B.; Tenório Neto, J.; Guimarães Júnnyor, W.d.S. Effects of Combination of Cover Crops and Controlled Agricultural Machinery Traffic on Soybean Performance and Yield. AgriEngineering 2026, 8, 85. https://doi.org/10.3390/agriengineering8030085
Bortolheiro FPdAP, Martins MB, Filho ACM, Ribeiro V, Vendruscolo EP, Seron CdC, Costa EB, Tenório Neto J, Guimarães Júnnyor WdS. Effects of Combination of Cover Crops and Controlled Agricultural Machinery Traffic on Soybean Performance and Yield. AgriEngineering. 2026; 8(3):85. https://doi.org/10.3390/agriengineering8030085
Chicago/Turabian StyleBortolheiro, Fernanda Pacheco de Almeida Prado, Murilo Battistuzzi Martins, Aldir Carpes Marques Filho, Vanessa Ribeiro, Eduardo Pradi Vendruscolo, Cássio de Castro Seron, Eder Barbosa Costa, Joaquim Tenório Neto, and Wellingthon da Silva Guimarães Júnnyor. 2026. "Effects of Combination of Cover Crops and Controlled Agricultural Machinery Traffic on Soybean Performance and Yield" AgriEngineering 8, no. 3: 85. https://doi.org/10.3390/agriengineering8030085
APA StyleBortolheiro, F. P. d. A. P., Martins, M. B., Filho, A. C. M., Ribeiro, V., Vendruscolo, E. P., Seron, C. d. C., Costa, E. B., Tenório Neto, J., & Guimarães Júnnyor, W. d. S. (2026). Effects of Combination of Cover Crops and Controlled Agricultural Machinery Traffic on Soybean Performance and Yield. AgriEngineering, 8(3), 85. https://doi.org/10.3390/agriengineering8030085

